Solution-Processable NiOx:PMMA Hole Transport Layer for Efficient and Stable Inverted Organic Solar Cells
Abstract
1. Introduction
2. Materials and Methods
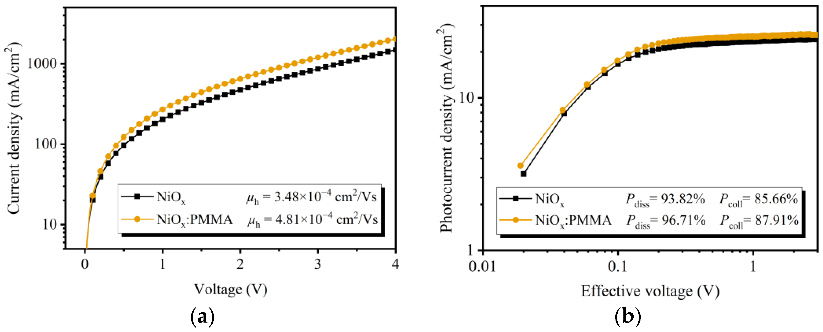
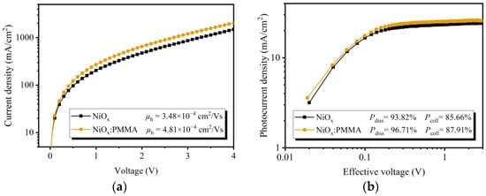
3. Results and Discussion
4. Conclusions
Supplementary Materials
Author Contributions
Funding
Institutional Review Board Statement
Informed Consent Statement
Data Availability Statement
Conflicts of Interest
References
- Zhang, J.Q.; Tan, H.S.; Guo, X.G.; Facchetti, A.; Yan, H. Material Insights and Challenges for Non-Fullerene Organic Solar Cells Based on Small Molecular Acceptors. Nat. Energy 2018, 3, 720–731. [Google Scholar] [CrossRef]
- Fu, H.T.; Wang, Z.H.; Sun, Y.M. Polymer Donors for High-Performance Non-Fullerene Organic Solar Cells. Angew. Chem. Int. Ed. 2019, 58, 4442–4453. [Google Scholar] [CrossRef]
- Jin, J.; Wang, Q.; Ma, K.; Shen, W.; Belfiore, L.A.; Bao, X.; Tang, J. Recent Developments of Polymer Solar Cells with Photovoltaic Performance over 17%. Adv. Funct. Mater. 2023, 33, 2213324. [Google Scholar] [CrossRef]
- Zhang, Y.; Lang, Y.; Li, G. Recent Advances of Non-Fullerene Organic Solar Cells: From Materials and Morphology to Devices and Applications. Ecomat 2023, 5, e12281. [Google Scholar] [CrossRef]
- Xue, R.M.; Zhang, J.W.; Li, Y.W.; Li, Y.F. Organic Solar Cell Materials toward Commercialization. Small 2018, 14, 24. [Google Scholar] [CrossRef]
- Wang, G.D.; Adil, M.A.; Zhang, J.Q.; Wei, Z.X. Large-Area Organic Solar Cells: Material Requirements, Modular Designs, and Printing Methods. Adv. Mater. 2019, 31, 34. [Google Scholar] [CrossRef]
- Fukuda, K.; Yu, K.; Someya, T. The Future of Flexible Organic Solar Cells. Adv. Energy Mater. 2020, 10, 10. [Google Scholar] [CrossRef]
- Speller, E.M.; Clarke, A.J.; Luke, J.; Lee, H.K.H.; Durrant, J.R.; Li, N.; Wang, T.; Wong, H.C.; Kim, J.S.; Tsoi, W.C.; et al. From Fullerene Acceptors to Non-Fullerene Acceptors: Prospects and Challenges in the Stability of Organic Solar Cells. J. Mater. Chem. A 2019, 7, 23361–23377. [Google Scholar] [CrossRef]
- Litzov, I.; Brabec, C.J. Development of Efficient and Stable Inverted Bulk Heterojunction (BHJ) Solar Cells Using Different Metal Oxide Interfaces. Materials 2013, 6, 5796–5820. [Google Scholar] [CrossRef]
- Wang, K.; Liu, C.; Meng, T.Y.; Yi, C.; Gong, X. Inverted Organic Photovoltaic Cells. Chem. Soc. Rev. 2016, 45, 2937–2975. [Google Scholar] [CrossRef]
- Gevorgyan, S.A.; Heckler, I.M.; Bundgaard, E.; Corazza, M.; Hosel, M.; Sondergaard, R.R.; Benatto, G.A.D.; Jorgensen, M.; Krebs, F.C. Improving, Characterizing and Predicting the Lifetime of Organic Photovoltaics. J. Phys. D Appl. Phys. 2017, 50, 35. [Google Scholar] [CrossRef]
- Zhang, Y.W.; Samuel, I.D.W.; Wang, T.; Lidzey, D.G. Current Status of Outdoor Lifetime Testing of Organic Photovoltaics. Adv. Sci. 2018, 5, 17. [Google Scholar] [CrossRef]
- Duan, L.P.; Uddin, A. Progress in Stability of Organic Solar Cells. Adv. Sci. 2020, 7, 39. [Google Scholar] [CrossRef]
- Wang, Y.W.; Lee, J.H.; Hou, X.Y.; Labanti, C.; Yan, J.; Mazzolini, E.; Parhar, A.; Nelson, J.; Kim, J.S.; Li, Z. Recent Progress and Challenges toward Highly Stable Nonfullerene Acceptor-Based Organic Solar Cells. Adv. Energy Mater. 2021, 11, 41. [Google Scholar] [CrossRef]
- Sun, K.; Zhang, S.P.; Li, P.C.; Xia, Y.J.; Zhang, X.; Du, D.H.; Isikgor, F.H.; Ouyang, J.Y. Review on Application of Pedots and PEDOT: PSS in Energy Conversion and Storage Devices. J. Mater. Sci. Mater. Electron. 2015, 26, 4438–4462. [Google Scholar] [CrossRef]
- Fan, X.; Xu, B.G.; Liu, S.H.; Cui, C.H.; Wang, J.Z.; Yan, F. Transfer-Printed PEDOT:PSS Electrodes Using Mild Acids for High Conductivity and Improved Stability with Application to Flexible Organic Solar Cells. ACS Appl. Mater. Interfaces 2016, 8, 14029–14036. [Google Scholar] [CrossRef]
- Kadem, B.Y.; Al-Hashimi, M.; Hasan, A.S.; Kadhim, R.G.; Rahaq, Y.; Hassan, A.K. The Effects of the PEDOT:PSS Acidity on the Performance and Stability of P3HT:PCBM-Based Oscs. J. Mater. Sci. Mater. Electron. 2018, 29, 19287–19295. [Google Scholar] [CrossRef]
- Li, X.C.; Xie, F.X.; Zhang, S.Q.; Hou, J.H.; Choy, W.C.H. Moox and V2Ox as Hole and Electron Transport Layers through Functionalized Intercalation in Normal and Inverted Organic Optoelectronic Devices. Light: Sci. Appl. 2015, 4, 7. [Google Scholar] [CrossRef]
- Ouyang, D.; Huang, Z.F.; Choy, W.C.H. Solution-Processed Metal Oxide Nanocrystals as Carrier Transport Layers in Organic and Perovskite Solar Cells. Adv. Funct. Mater. 2019, 29, 18. [Google Scholar] [CrossRef]
- Zhan, T.; Ren, P.; Huang, X.F.; Zhang, X.Y.; Chen, G.T.; Xiong, J.; Xue, X.G.; Cai, P.; Zhang, J.; Chen, J.W. A Solution-Processed, Ultraviolet-Irradiation-Derived WO3 Film as Anode Interface Layer for High-Performance Non-Fullerene Organic Solar Cells. Sol. Energy 2021, 216, 211–216. [Google Scholar] [CrossRef]
- Manders, J.R.; Tsang, S.W.; Hartel, M.J.; Lai, T.H.; Chen, S.; Amb, C.M.; Reynolds, J.R.; So, F. Solution-Processed Nickel Oxide Hole Transport Layers in High Efficiency Polymer Photovoltaic Cells. Adv. Funct. Mater. 2013, 23, 2993–3001. [Google Scholar] [CrossRef]
- Jung, J.; Kim, D.L.; Oh, S.H.; Kim, H.J. Stability Enhancement of Organic Solar Cells with Solution-Processed Nickel Oxide Thin Films as Hole Transport Layers. Sol. Energy Mater. Sol. Cells 2012, 102, 103–108. [Google Scholar] [CrossRef]
- Yu, W.; Shen, L.; Ruan, S.; Meng, F.; Wang, J.; Zhang, E.; Chen, W. Performance Improvement of Inverted Polymer Solar Cells Thermally Evaporating Nickel Oxide as an Anode Buffer Layer. Sol. Energy Mater. Sol. Cells 2012, 98, 212–215. [Google Scholar] [CrossRef]
- Huang, S.; Wang, Y.; Shen, S.; Tang, Y.; Yu, A.; Kang, B.; Silva, S.R.P.; Lu, G. Enhancing The Performance of Polymer Solar Cells Using Solution-Processed Copper Doped Nickel Oxide Nanoparticles as Hole Transport Layer. J. Colloid Interface Sci. 2019, 535, 308–317. [Google Scholar] [CrossRef]
- Kim, J.K. PEG-Assisted Sol-Gel Synthesis of Compact Nickel Oxide Hole-Selective Layer with Modified Interfacial Properties for Organic Solar Cells. Polymers 2019, 11, 120. [Google Scholar] [CrossRef]
- Zha, W.S.; Gu, H.M.; Pan, W.; Sun, X.; Han, Y.F.; Li, Z.Y.; Weng, X.F.; Luo, Q.; Yang, S.F.; Ma, C.Q. Controllable Synthesis and N-Doping of Hmoox Nanoparticle Inks through Simple Photoreduction for Solution-Processed Organic Photovoltaics. Chem. Eng. J. 2021, 425, 10. [Google Scholar] [CrossRef]
- Song, C.; Huang, X.; Zhan, T.; Ding, L.; Li, Y.; Xue, X.; Lin, X.; Peng, H.; Cai, P.; Duan, C.; et al. Annealing-Insensitive, Alcohol-Processed MoOx Hole Transport Layer for Universally Enabling High-Performance Conventional and Inverted Organic Solar Cells. ACS Appl. Mater. Interfaces 2022, 14, 40851–40861. [Google Scholar] [CrossRef]
- Alkarsifi, R.; Avalos-Quiroz, Y.A.; Perkhun, P.; Liu, X.J.; Fahlman, M.; Bharwal, A.K.; Ruiz, C.M.; Duche, D.; Simon, J.J.; Videlot-Ackermann, C.; et al. Organic-Inorganic Doped Nickel Oxide Nanocrystals for Hole Transport Layers in Inverted Polymer Solar Cells with Color Tuning. Mat. Chem. Front. 2021, 5, 418–429. [Google Scholar] [CrossRef]
- Tran, H.N.; Dao, D.Q.; Yoon, Y.J.; Shin, Y.S.; Choi, J.S.; Kim, J.Y.; Cho, S. Inverted Polymer Solar Cells with Annealing-Free Solution-Processable NiO. Small 2021, 17, 10. [Google Scholar] [CrossRef] [PubMed]
- Lian, X.M.; Chen, J.H.; Shan, S.Q.; Wu, G.; Chen, H.Z. Polymer Modification on the NiOx Hole Transport Layer Boosts Open-Circuit Voltage to 1.19 V for Perovskite Solar Cells. ACS Appl. Mater. Interfaces 2020, 12, 46340–46347. [Google Scholar] [CrossRef]
- Wang, Z.J.; Fan, P.; Zhang, D.Y.; Yang, G.J.; Yu, J.S. Enhanced Efficiency and Stability of P-I-N Perovskite Solar Cells Using PMMA Doped PTAA as Hole Transport Layers. Synth. Met. 2020, 265, 8. [Google Scholar] [CrossRef]
- Ma, S.; Pang, S.; Dong, H.; Xie, X.; Liu, G.; Dong, P.; Liu, D.; Zhu, W.; Xi, H.; Chen, D.; et al. Stability Improvement of Perovskite Solar Cells By The Moisture-Resistant PMMA:Spiro-Ometad Hole Transport Layer. Polymers 2022, 14, 343. [Google Scholar] [CrossRef] [PubMed]
- Xia, P.; Guo, D.; Lin, S.; Liu, S.; Huang, H.; Kong, D.; Gao, Y.; Zhang, W.; Hu, Y.; Zhou, C. Simultaneous Improvement of The Power Conversion Efficiency and Stability of Perovskite Solar Cells By Doping PMMA Polymer in Spiro-Ometad-Based Hole-Transporting Layer. Solar RRL 2021, 5, 2100408. [Google Scholar] [CrossRef]
- Reid, O.G.; Munechika, K.; Ginger, D.S. Space Charge Limited Current Measurements on Conjugated Polymer Films Using Conductive Atomic Force Microscopy. Nano Letters 2008, 8, 1602–1609. [Google Scholar] [CrossRef] [PubMed]
- Koster, L.J.A.; Mihailetchi, V.D.; Ramaker, R.; Blom, P.W.M. Light Intensity Dependence of Open-Circuit Voltage of Polymer: Fullerene Solar Cells. Appl. Phys. Lett. 2005, 86, 123509. [Google Scholar] [CrossRef]
- Khlyabich, P.P.; Burkhart, B.; Thompson, B.C. Compositional Dependence of the Open-Circuit Voltage in Ternary Blend Bulk Heterojunction Solar Cells Based on Two Donor Polymers. J. Am. Chem. Soc. 2012, 134, 9074–9077. [Google Scholar] [CrossRef]
- Cowan, S.R.; Roy, A.; Heeger, A.J. Recombination in Polymer-Fullerene Bulk Heterojunction Solar Cells. Phys. Rev. B 2010, 82, 245207. [Google Scholar] [CrossRef]
- Tran, H.N.; Lee, H.; Park, C.B.; Krishna, N.V.; Wibowo, F.T.A.; Jang, S.Y.; Kim, J.Y.; Cho, S. Solution-Processable Nickel Oxide Hole Transport Layer for A Polymer Donor with A Deep HOMO Level. Adv. Mater. Interfaces 2022, 9, 202201274. [Google Scholar] [CrossRef]
- Chen, W.; Zhang, S.; Liu, Z.; Wu, S.; Chen, R.; Pan, M.; Yang, Z.; Zhu, H.; Liu, S.; Tang, J.; et al. A Tailored Nickel Oxide Hole-Transporting Layer to Improve the Long-Term Thermal Stability of Inorganic Perovskite Solar Cells. Solar RRL 2019, 3, 201900346. [Google Scholar] [CrossRef]
- Kaneko, R.; Kanda, H.; Sugawa, K.; Otsuki, J.; Islam, A.; Nazeeruddin, M.K. Perovskite Solar Cells Using Surface-Modified Niox Nanoparticles as Hole Transport Materials in N-I-P Configuration. Solar RRL 2019, 3, 1900172. [Google Scholar] [CrossRef]
- Hiremath, A.; Murthy, A.A.; Thipperudrappa, S.; Bharath, K.N. Nanoparticles Filled Polymer Nanocomposites: A Technological Review. Cogent Eng. 2021, 8, 1991229. [Google Scholar] [CrossRef]









| PMMA Doping Ratio | VOC (avg.) (V) | JSC (avg.) (mA/cm2) | FF (avg.) (%) | PCE (avg.) 1 (%) | Max. PCE (%) |
|---|---|---|---|---|---|
| Without PMMA | 0.852 ± 0.007 | 22.58 ± 0.37 | 66.71 ± 0.52 | 12.86 ± 0.15 | 13.06 |
| PMMA 1% | 0.852 ± 0.004 | 24.35 ± 0.28 | 69.01 ± 0.77 | 14.32 ± 0.18 | 14.51 |
| PMMA 3% | 0.853 ± 0.006 | 24.92 ± 0.13 | 70.33 ± 0.45 | 14.95 ± 0.12 | 15.11 |
| PMMA 5% | 0.851 ± 0.011 | 24.11 ± 0.22 | 68.76 ± 0.88 | 14.11 ± 0.10 | 14.25 |
Disclaimer/Publisher’s Note: The statements, opinions and data contained in all publications are solely those of the individual author(s) and contributor(s) and not of MDPI and/or the editor(s). MDPI and/or the editor(s) disclaim responsibility for any injury to people or property resulting from any ideas, methods, instructions or products referred to in the content. |
© 2023 by the authors. Licensee MDPI, Basel, Switzerland. This article is an open access article distributed under the terms and conditions of the Creative Commons Attribution (CC BY) license (https://creativecommons.org/licenses/by/4.0/).
Share and Cite
Kong, T.; Yang, G.; Fan, P.; Yu, J. Solution-Processable NiOx:PMMA Hole Transport Layer for Efficient and Stable Inverted Organic Solar Cells. Polymers 2023, 15, 1875. https://doi.org/10.3390/polym15081875
Kong T, Yang G, Fan P, Yu J. Solution-Processable NiOx:PMMA Hole Transport Layer for Efficient and Stable Inverted Organic Solar Cells. Polymers. 2023; 15(8):1875. https://doi.org/10.3390/polym15081875
Chicago/Turabian StyleKong, Tianyu, Genjie Yang, Pu Fan, and Junsheng Yu. 2023. "Solution-Processable NiOx:PMMA Hole Transport Layer for Efficient and Stable Inverted Organic Solar Cells" Polymers 15, no. 8: 1875. https://doi.org/10.3390/polym15081875
APA StyleKong, T., Yang, G., Fan, P., & Yu, J. (2023). Solution-Processable NiOx:PMMA Hole Transport Layer for Efficient and Stable Inverted Organic Solar Cells. Polymers, 15(8), 1875. https://doi.org/10.3390/polym15081875

