Stabilization and Valorization of Beer Bagasse to Obtain Bioplastics
Abstract
1. Introduction
2. Materials and Methods
2.1. Materials
2.2. Bagasse Stabilization
2.3. Bioplastic Processing
2.4. Characterization Techniques
2.4.1. Bagasse Characterization
2.4.2. Blend Characterization
2.4.3. Bioplastic Characterization
2.5. Statistical Analysis
3. Results and Discussion
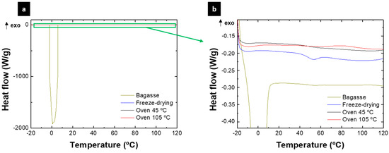
3.1. Bagasse Stabilization
3.2. Blend
3.3. Bioplastics
4. Conclusions
Supplementary Materials
Author Contributions
Funding
Institutional Review Board Statement
Data Availability Statement
Acknowledgments
Conflicts of Interest
References
- Neves, S.A.; Marques, A.C. Drivers and barriers in the transition from a linear economy to a circular economy. J. Clean. Prod. 2022, 341, 130865. [Google Scholar] [CrossRef]
- Carrillo, M. Measuring Progress towards Sustainability in the European Union within the 2030 Agenda Framework. Mathematics 2022, 10, 2095. [Google Scholar] [CrossRef]
- Mussatto, S.I. Brewer’s spent grain: A valuable feedstock for industrial applications. J. Sci. Food Agric. 2014, 94, 1264–1275. [Google Scholar] [CrossRef]
- Ferrari, J.L.; Villagra, S.; Claps, L.; Tittonel, P. Reutilización de bagazo de cebada cervecera por secado y peletización como suplemento forrajero. Inst. Nac. Tecnol. Agropecu. 2019, 67, 43. [Google Scholar]
- Statistas Global Beer Production 1998–2021. Available online: https://www.statista.com/statistics/270275/worldwide-beer-production/ (accessed on 3 March 2023).
- Aliyu, S.; Bala, M. Brewer’s spent grain: A review of its potentials and applications. African J. Biotechnol. 2011, 10, 324–331. [Google Scholar] [CrossRef]
- Mussatto, S.I. Biotechnological Potential of Brewing Industry By-Products. In Biotechnology for Agro-Industrial Residues Utilisation; Springer Netherlands: Dordrecht, The Netherlands, 2009; pp. 313–326. [Google Scholar]
- Mussatto, S.I.; Dragone, G.; Roberto, I.C. Brewers’ spent grain: Generation, characteristics and potential applications. J. Cereal Sci. 2006, 43, 1–14. [Google Scholar] [CrossRef]
- Ortiz, I.; Torreiro, Y.; Molina, G.; Maroño, M.; Sánchez, J.M. A Feasible Application of Circular Economy: Spent Grain Energy Recovery in the Beer Industry. Waste Biomass Valorization 2019, 10, 3809–3819. [Google Scholar] [CrossRef]
- Moran-Aguilar, M.G.; Costa-Trigo, I.; Calderón-Santoyo, M.; Domínguez, J.M.; Aguilar-Uscanga, M.G. Production of cellulases and xylanases in solid-state fermentation by different strains of Aspergillus niger using sugarcane bagasse and brewery spent grain. Biochem. Eng. J. 2021, 172, 108060. [Google Scholar] [CrossRef]
- Ribau Teixeira, M.; Guarda, E.C.; Freitas, E.B.; Galinha, C.F.; Duque, A.F.; Reis, M.A.M. Valorization of raw brewers’ spent grain through the production of volatile fatty acids. N. Biotechnol. 2020, 57, 4–10. [Google Scholar] [CrossRef]
- Pilla, S. (Ed.) Handbook of Bioplastics and Biocomposites Engineering Applications; Wiley: Salem, MA, USA, 2011; ISBN 9780470626078. [Google Scholar]
- Mohamed, R.M.; Yusoh, K. A Review on the Recent Research of Polycaprolactone (PCL). Adv. Mater. Res. 2015, 1134, 249–255. [Google Scholar] [CrossRef]
- Aguado, R.; Espinach, F.X.; Vilaseca, F.; Tarrés, Q.; Mutjé, P.; Delgado-Aguilar, M. Approaching a Zero-Waste Strategy in Rapeseed (Brassica napus) Exploitation: Sustainably Approaching Bio-Based Polyethylene Composites. Sustainability 2022, 14, 7942. [Google Scholar] [CrossRef]
- García-Depraect, O.; Bordel, S.; Lebrero, R.; Santos-Beneit, F.; Börner, R.A.; Börner, T.; Muñoz, R. Inspired by nature: Microbial production, degradation and valorization of biodegradable bioplastics for life-cycle-engineered products. Biotechnol. Adv. 2021, 53, 107772. [Google Scholar] [CrossRef]
- Xia, Q.; Chen, C.; Yao, Y.; Li, J.; He, S.; Zhou, Y.; Li, T.; Pan, X.; Yao, Y.; Hu, L. A strong, biodegradable and recyclable lignocellulosic bioplastic. Nat. Sustain. 2021, 4, 627–635. [Google Scholar] [CrossRef]
- Castanho, M.N.; Souza do Prado, K.; Paiva, J.M.F. Developing thermoplastic corn starch composites filled with brewer’s spent grain for applications in biodegradable films. Polym. Compos. 2022, 43, 811–826. [Google Scholar] [CrossRef]
- Mendes, J.F.; Norcino, L.B.; Manrich, A.; Pinheiro, A.C.M.; Oliveira, J.E.; Mattoso, L.H.C. Development, physical-chemical properties, and photodegradation of pectin film reinforced with malt bagasse fibers by continuous casting. J. Appl. Polym. Sci. 2020, 137, 49178. [Google Scholar] [CrossRef]
- Thomas, K.R.; Rahman, P.K.S.M. Brewery wastes. Strategies for sustainability. A review. Asp. Appl. Biol. 2006, 8, 147–153. [Google Scholar]
- Kerr, W.L.; Ward, C.D.W.; McWatters, K.H.; Resurreccion, A.V.A. Effect of Milling and Particle Size on Functionality and Physicochemical Properties of Cowpea Flour. Cereal Chem. J. 2000, 77, 213–219. [Google Scholar] [CrossRef]
- Jiménez-Rosado, M.; Rubio-Valle, J.F.; Perez-Puyana, V.; Guerrero, A.; Romero, A. Comparison between pea and soy protein-based bioplastics obtained by injection molding. J. Appl. Polym. Sci. 2021, 138, 50412. [Google Scholar] [CrossRef]
- AOAC International. Official Methods of Analysis of AOAC International; AOAC International: Rockville, MD, USA, 2005; ISBN 9780935584752. [Google Scholar]
- Perera, C.; Brown, R.H. A new method for lipid extraction at ambient temperature. Cienc. Tecnol. Aliment. 1996, 1, 13–18. [Google Scholar] [CrossRef]
- He, J.; Chen, L.; Chu, B.; Zhang, C. Determination of Total Polysaccharides and Total Flavonoids in Chrysanthemum morifolium Using Near-Infrared Hyperspectral Imaging and Multivariate Analysis. Molecules 2018, 23, 2395. [Google Scholar] [CrossRef]
- ISO 527-2:2012; Plastics—Determination of Tensile Properties-Part 2: Test Conditions for Moulding and Extrusion Plastics. AENOR: Madrid, Spain, 2012.
- ASTM D570-98; Standard Test Method for Water Absorption Of Plastics. ASTM International: West Conshohocken, PE, USA, 2005.
- ISO 20200:2004; Plastics—Determination of the Degree of Disintegration of Plastic Materials under Simulated Composting Conditions in a Laboratory-Scale Test. ISO: London, UK, 2004.
- Baudi, S. Food Chemistry; Pearson Education: Ciudad de México, Mexico, 2006. [Google Scholar]
- Hiroshi, S.H.; Guemra, S.; Bosso, A.; de Pádua, A.É.; Rodrigo Ito, M.L. Reducción de proteínas y glucosa por reacción de Maillard en leche con lactosa hidrolisada. Rev. Chil. Nutr. 2020, 47, 14–21. [Google Scholar] [CrossRef]
- Vieira, M.G.A.; da Silva, M.A.; dos Santos, L.O.; Beppu, M.M. Natural-based plasticizers and biopolymer films: A review. Eur. Polym. J. 2011, 47, 254–263. [Google Scholar] [CrossRef]
- Abdullah, J.A.A.; Jiménez-Rosado, M.; Perez-Puyana, V.; Guerrero, A.; Romero, A. Green Synthesis of FexOy Nanoparticles with Potential Antioxidant Properties. Nanomaterials 2022, 12, 2449. [Google Scholar] [CrossRef]
- Felix, M.; Lopez-Osorio, A.; Romero, A.; Guerrero, A. Faba bean protein flour obtained by densification: A sustainable method to develop protein concentrates with food applications. LWT 2018, 93, 563–569. [Google Scholar] [CrossRef]
- Pearson, A. Developments in food proteins. In Soy Proteins; Applied Science Publishers: London, UK, 1983; pp. 67–108. [Google Scholar]
- Byler, D.M.; Susi, H. Examination of the secondary structure of proteins by deconvolved FTIR spectra. Biopolymers 1986, 25, 469–487. [Google Scholar] [CrossRef]
- Muyonga, J.H.; Cole, C.G.B.; Duodu, K.G. Fourier transform infrared (FTIR) spectroscopic study of acid soluble collagen and gelatin from skins and bones of young and adult Nile perch (Lates niloticus). Food Chem. 2004, 86, 325–332. [Google Scholar] [CrossRef]
- Parada, R. Adición de Maltodextrina o Goma Arábica a Pulpa de Fresa para la Obtención de Polvos Liofilizados Durante el Almacenamiento. Licentiate Thesis, Universidad de las Américas Puebla, Puebla, Mexico, 2010. [Google Scholar]
- Perez, V.; Felix, M.; Romero, A.; Guerrero, A. Characterization of pea protein-based bioplastics processed by injection moulding. Food Bioprod. Process. 2016, 97, 100–108. [Google Scholar] [CrossRef]
- Perez-Puyana, V.; Felix, M.; Romero, A.; Guerrero, A. Development of pea protein-based bioplastics with antimicrobial properties. J. Sci. Food Agric. 2017, 97, 2671–2674. [Google Scholar] [CrossRef]
- Álvarez-Castillo, E.; Bengoechea, C.; Guerrero, A. Desarrollo de materiales superabsorbentes a partir de plasma porcino. Influencia de la formulación. Afinidad Rev. Química Teórica Apl. 2019, 76, 103–110. [Google Scholar]
- Cheng, Y.; Liang, K.; Chen, Y.; Gao, W.; Kang, X.; Li, T.; Cui, B. Effect of molecular structure changes during starch gelatinization on its rheological and 3D printing properties. Food Hydrocoll. 2023, 137, 108364. [Google Scholar] [CrossRef]
- Alonso-González, M.; Ramos, M.; Bengoechea, C.; Romero, A.; Guerrero, A. Evaluation of Composition on Processability and Water Absorption of Wheat Gluten-Based Bioplastics. J. Polym. Environ. 2021, 29, 1434–1443. [Google Scholar] [CrossRef]
- Fernández-Espada, L.; Bengoechea, C.; Cordobés, F.; Guerrero, A. Protein/glycerol blends and injection-molded bioplastic matrices: Soybean versus egg albumen. J. Appl. Polym. Sci. 2016, 133, 42980. [Google Scholar] [CrossRef]
- Abdullah, A.H.D.; Putri, O.D.; Fikriyyah, A.K.; Nissa, R.C.; Hidayat, S.; Septiyanto, R.F.; Karina, M.; Satoto, R. Harnessing the Excellent Mechanical, Barrier and Antimicrobial Properties of Zinc Oxide (ZnO) to Improve the Performance of Starch-based Bioplastic. Polym. Technol. Mater. 2020, 59, 1259–1267. [Google Scholar] [CrossRef]
- Beltrán, M.; Marcilla, A. Tecnología de Polímeros. Procesado y Propiedades; Universidad de Alicante: Alicante, Spain, 2015. [Google Scholar]
- Álvarez-Castillo, E.; Del Toro, A.; Aguilar, J.M.; Guerrero, A.; Bengoechea, C. Optimization of a thermal process for the production of superabsorbent materials based on a soy protein isolate. Ind. Crops Prod. 2018, 125, 573–581. [Google Scholar] [CrossRef]
- ASTM D64000-12; Standard Specification for Labeling of Plastics Designed to be Aerobically Composted in Municipal or Industrial Facilities. ASTM International: West Conshohocken, PE, USA, 2012.







| Sample | Moisture (%) | Lipids (%) | Ash (%) | Proteins (%) | Polysaccharides (%) | Others (%) |
|---|---|---|---|---|---|---|
| Bagasse | 75.6 ± 0.4 a | 0.4 ± 0.1 c | 1.0 ± 0.1 c | 2.8 ± 0.2 c | 18.1 ± 0.5 d | 2.1 ± 1.5 b |
| Freeze-drying | 5.1 ± 0.1 b | 7.3 ± 0.1 a | 4.1 ± 0.2 b | 20.4 ± 0.8 a | 60.2 ± 0.8 c | 2.9 ± 1.3 ab |
| Oven 45 °C | 3.7 ± 0.2 c | 4.4 ± 0.2 b | 4.7 ± 0.1 a | 19.4 ± 0.7 b | 62.5 ± 0.4 b | 5.3 ± 1.1 a |
| Oven 105 °C | 0.8 ± 0.3 d | 4.4 ± 0.1 b | 4.7 ± 0.1 a | 18.4 ± 0.4 b | 67.4 ± 0.3 a | 4.3 ± 0.8 ab |
| Bioplastics | Tensile Parameters | Flexural Parameters | |||
|---|---|---|---|---|---|
| Young’s Modulus (MPa) | Maximum Stress (MPa) | Strain at Break (%) | E′1 (MPa) | tan δ1 (-) | |
| 70 °C | 32 ± 20 b | 0.21 ± 0.02 b | 6.1 ± 0.5 b | 2 ± 1 c | 0.40 ± 0.05 a |
| 90 °C | 37 ± 2 b | 0.29 ± 0.01 a | 8.9 ± 0.3 a | 30 ± 1 b | 0.29 ± 0.03 b |
| 110 °C | 152 ± 5 a | 0.30 ± 0.02 a | 1.8 ± 0.1 c | 90 ± 5 a | 0.23 ± 0.03 b |
| Bioplastics | Water Uptake Capacity (%) | Soluble Matter Loss (%) | Biodegradation Time (Days) | ||||
|---|---|---|---|---|---|---|---|
| 2 h | 24 h | 48 h | 2 h | 24 h | 48 h | ||
| 70 °C | 252 ± 50 a | - | - | 57 ± 14 c | - | - | 24 C |
| 90 °C | 210 ± 12 a | 224 ± 10 a | 225 ± 15 a | 60 ± 6 c | 61 ± 10 c | 63 ± 8 c | 35 B |
| 110 °C | 150 ± 14 b | 171 ± 13 b | 164 ± 12 b | 56 ± 7 c | 56 ± 4 c | 57 ± 6 c | 40 A |
Disclaimer/Publisher’s Note: The statements, opinions and data contained in all publications are solely those of the individual author(s) and contributor(s) and not of MDPI and/or the editor(s). MDPI and/or the editor(s) disclaim responsibility for any injury to people or property resulting from any ideas, methods, instructions or products referred to in the content. |
© 2023 by the authors. Licensee MDPI, Basel, Switzerland. This article is an open access article distributed under the terms and conditions of the Creative Commons Attribution (CC BY) license (https://creativecommons.org/licenses/by/4.0/).
Share and Cite
Castro-Criado, D.; Abdullah, J.A.A.; Romero, A.; Jiménez-Rosado, M. Stabilization and Valorization of Beer Bagasse to Obtain Bioplastics. Polymers 2023, 15, 1877. https://doi.org/10.3390/polym15081877
Castro-Criado D, Abdullah JAA, Romero A, Jiménez-Rosado M. Stabilization and Valorization of Beer Bagasse to Obtain Bioplastics. Polymers. 2023; 15(8):1877. https://doi.org/10.3390/polym15081877
Chicago/Turabian StyleCastro-Criado, Daniel, Johar Amin Ahmed Abdullah, Alberto Romero, and Mercedes Jiménez-Rosado. 2023. "Stabilization and Valorization of Beer Bagasse to Obtain Bioplastics" Polymers 15, no. 8: 1877. https://doi.org/10.3390/polym15081877
APA StyleCastro-Criado, D., Abdullah, J. A. A., Romero, A., & Jiménez-Rosado, M. (2023). Stabilization and Valorization of Beer Bagasse to Obtain Bioplastics. Polymers, 15(8), 1877. https://doi.org/10.3390/polym15081877

