The Methylene Spacer Matters: The Structural and Luminescent Effects of Positional Isomerism of n-Methylpyridyltriazole Carboxylate Semi-Rigid Ligands in the Structure of Zn(II) Based Coordination Polymers
Abstract
1. Introduction
2. Results and Discussion
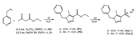
2.1. Syntheses
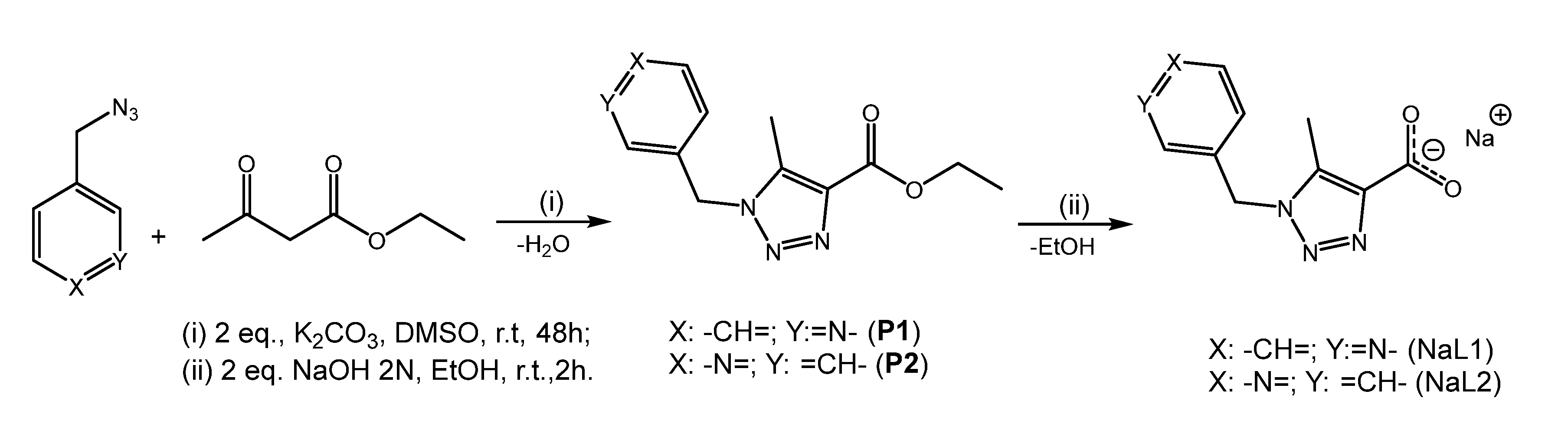
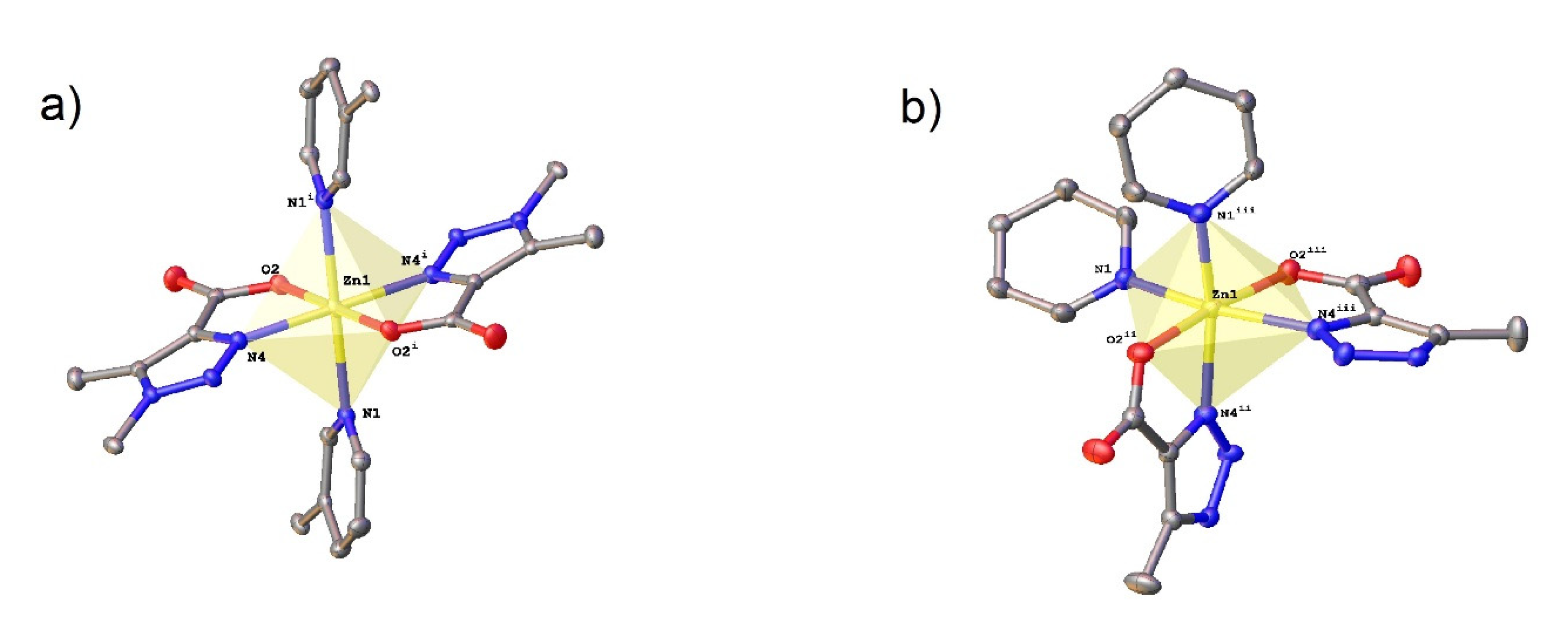
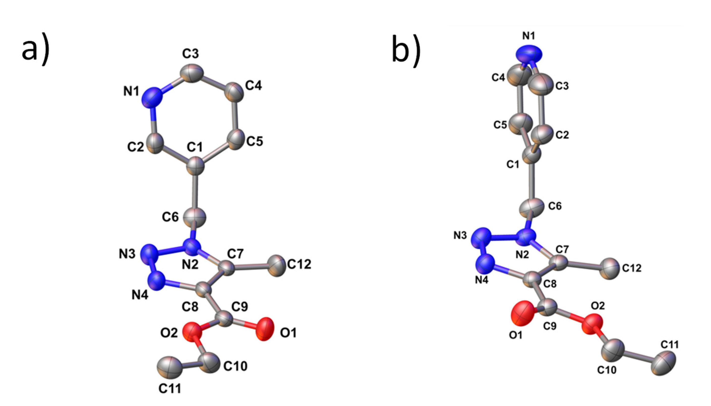
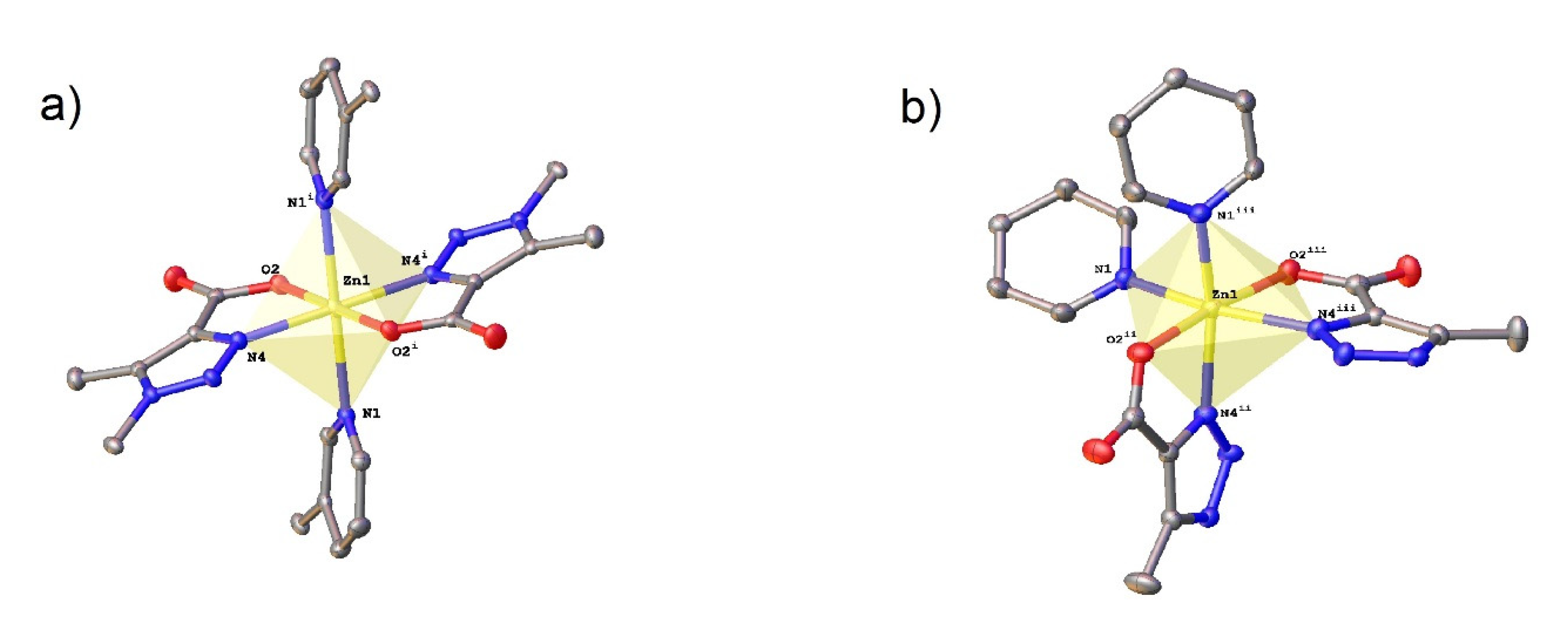
2.2. Crystallographic Studies
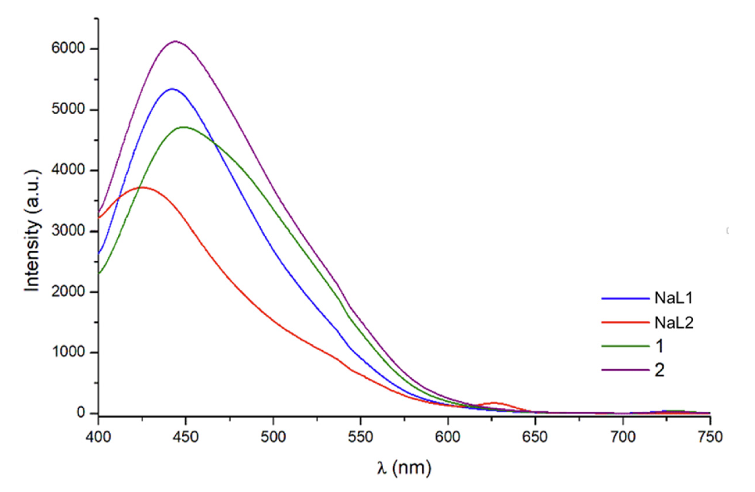
2.3. Luminescent Properties
2.4. Thermogravimetry (TG) Analyses
3. Materials and Methods
3.1. Materials and General Procedures
3.2. Characterization
3.3. X-ray Powder Diffraction
3.4. Single-Crystal X-ray Diffraction
3.5. General Procedure for the Syntheses of NaL1 and NaL2
3.6. General Procedure Syntheses for 1D CPs [Zn(L1)]n (1) and [Zn(L2)·4H2O]n (2)
4. Conclusions
Supplementary Materials
Author Contributions
Funding
Acknowledgments
Conflicts of Interest
References
- Chen, C.T.; Suslick, K.S. One-Dimensional Coordination Polymers: Applications to Material Science. Coord Chem. Rev. 1993, 128, 293–322. [Google Scholar] [CrossRef]
- Stavila, V.; Talin, A.A.; Allendorf, M.D. MOF-Based Electronic and Opto-Electronic Devices. Chem. Soc. Rev. 2014, 43, 5994–6010. [Google Scholar] [CrossRef] [PubMed]
- Givaja, G.; Amo-Ochoa, P.; Gómez-García, C.J.; Zamora, F. Electrical Conductive Coordination Polymers. Chem. Soc. Rev. 2012, 41, 115–147. [Google Scholar] [CrossRef] [PubMed]
- Soni, S.; Bajpai, P.K.; Arora, C. A Review on Metal-Organic Framework: Synthesis, Properties and Application. Charact. Appl. Nanomater. 2018, 2, 87–106. [Google Scholar] [CrossRef]
- Baumann, A.E.; Burns, D.A.; Liu, B.; Thoi, V.S. Metal-Organic Framework Functionalization and Design Strategies for Advanced Electrochemical Energy Storage Devices. Commun. Chem. 2019, 2, 86. [Google Scholar] [CrossRef]
- Ghanbari, T.; Abnisa, F.; Wan Daud, W.M.A. A Review on Production of Metal Organic Frameworks (MOF) for CO2 Adsorption. Sci. Total Environ. 2020, 707, 135090. [Google Scholar] [CrossRef]
- Li, J.R.; Kuppler, R.J.; Zhou, H.C. Selective Gas Adsorption and Separation in Metal-Organic Frameworks. Chem. Soc. Rev. 2009, 38, 1477–1504. [Google Scholar] [CrossRef]
- Resnik, K.P.; Yeh, J.T.; Pennline, H.W. Aqua ammonia process for simultaneous removal of CO2, SO2 and NOx. Int. J. Environ. Technol. Manag. 2004, 4, 89–104. [Google Scholar] [CrossRef]
- Wu, H.; Gong, Q.; Olson, D.H.; Li, J. Commensurate Adsorption of Hydrocarbons and Alcohols in Microporous Metal Organic Frameworks. Chem. Rev. 2012, 112, 836–868. [Google Scholar] [CrossRef]
- Zheng, B.; Yun, R.; Bai, J.; Lu, Z.; Du, L.; Li, Y. Expanded Porous MOF-505 Analogue Exhibiting Large Hydrogen Storage Capacity and Selective Carbon Dioxide Adsorption. Inorg. Chem. 2013, 52, 2823–2829. [Google Scholar] [CrossRef]
- Liu, Y.; Lin, S.; Liu, Y.; Sarkar, A.K.; Bediako, J.K.; Kim, H.Y.; Yun, Y.-S. Super-Stable, Highly Efficient, and Recyclable Fibrous Metal-Organic Framework Membranes for Precious Metal Recovery from Strong Acidic Solutions. Small 2019, 15, 1805242. [Google Scholar] [CrossRef]
- Hu, Z.; Zhao, D. De Facto Methodologies toward the Synthesis and Scale-up Production of UiO-66-Type Metal-Organic Frameworks and Membrane Materials. Dalton Trans. 2015, 44, 19018–19040. [Google Scholar] [CrossRef]
- Xu, B.; Xie, J.; Hu, H.-M.M.; Le Yang, X.-L.; Dong, F.-X.X.; Yang, M.-L.L.; Xue, G.-L.L. Synthesis, Crystal Structure, and Luminescence of Zn/Cd Coordination Polymers with a New Fuctionalized Terpyridyl Carboxylate Ligand. Cryst. Growth Des. 2014, 14, 1629–1641. [Google Scholar] [CrossRef]
- Feng, R.; Jiang, F.-L.; Chen, L.; Yan, C.-F.; Wu, M.-Y.; Hong, M.-C. A Luminescent Homochiral 3D Cd(Ii) Framework with a Threefold Interpenetrating Uniform Net 86. Chem. Commun. 2009, 5296–5298. [Google Scholar] [CrossRef]
- Cui, Y.; Yue, Y.; Qian, G.; Chen, B. Luminescent Functional Metal-Organic Frameworks. Chem. Rev. 2012, 112, 1126–1162. [Google Scholar] [CrossRef]
- Liao, S.-Y.Y.; Gu, W.; Yang, L.-Y.Y.; Li, T.-H.H.; Zhang, M.; Wang, L.; Liu, X. Three New Metal–Organic Frameworks Constructed from Triazol-Phenyl Polycarboxyl Acid: Synthesis, Crystal Structures and Properties. Polyhedron 2012, 36, 38–44. [Google Scholar] [CrossRef]
- Janiak, C. Engineering Coordination Polymers towards Applications. Dalton Trans. 2003, 2781–2804. [Google Scholar] [CrossRef]
- Czaja, A.U.; Trukhan, N.; Müller, U. Industrial Applications of Metal-Organic Frameworks. Chem. Soc. Rev. 2009, 38, 1284–1293. [Google Scholar] [CrossRef]
- Jiao, L.; Seow, J.Y.R.; Skinner, W.S.; Wang, Z.U.; Jiang, H.-L. Metal–Organic Frameworks: Structures and Functional Applications. Mater. Today 2019, 27, 43–68. [Google Scholar] [CrossRef]
- Masoomi, M.Y.; Morsali, A. Applications of Metal–Organic Coordination Polymers as Precursors for Preparation of Nano-Materials. Coord. Chem. Rev. 2012, 256, 2921–2943. [Google Scholar] [CrossRef]
- He, C.; Liu, D.; Lin, W. Nanomedicine Applications of Hybrid Nanomaterials Built from Metal–Ligand Coordination Bonds: Nanoscale Metal–Organic Frameworks and Nanoscale Coordination Polymers. Chem. Rev. 2015, 115, 11079–11108. [Google Scholar] [CrossRef] [PubMed]
- Peterson, K.; Anderson, J.; Bourne, D.; Charns, M.P.; Gorin, S.S.; Hynes, D.M.; McDonald, K.M.; Singer, S.J.; Yano, E.M. Health Care Coordination Theoretical Frameworks: A Systematic Scoping Review to Increase Their Understanding and Use in Practice. J. Gen. Intern. Med. 2019, 34, 90–98. [Google Scholar] [CrossRef] [PubMed]
- Sun, J.-K.; Yang, X.-D.; Yang, G.-Y.; Zhang, J. Bipyridinium Derivative-Based Coordination Polymers: From Synthesis to Materials Applications. Coord. Chem. Rev. 2019, 378, 533–560. [Google Scholar] [CrossRef]
- Cheng, P.-C.; Wu, M.-H.; Xie, M.-Y.; Huang, W.-J.; He, H.-Y.; Wu, T.-T.; Lo, Y.-C.; Proserpio, D.M.; Chen, J.-D. Construction of N,N′-Di(3-Pyridyl)Adipoamide-Based Zn(Ii) and Cd(Ii) Coordination Networks by Tuning the Isomeric Effect of Polycarboxylate Ligands. CrystEngComm 2013, 15, 10346. [Google Scholar] [CrossRef]
- Ma, L.-F.; Li, X.-Q.; Meng, Q.-L.; Wang, L.-Y.; Du, M.; Hou, H.-W. Significant Positional Isomeric Effect on Structural Assemblies of Zn(II) and Cd(II) Coordination Polymers Based on Bromoisophthalic Acids and Various Dipyridyl-Type Coligands. Cryst. Growth Des. 2011, 11, 175–184. [Google Scholar] [CrossRef]
- Cai, H.; Xu, C.; Zhou, Y.-P.; Tong, X.-Q.; Guo, Y. Molecular Tectonics of Mixed-Ligand Metal-Organic Frameworks: Positional Isomeric Effect, and Structural Diversification. J. Mol. Struct. 2016, 1108, 263–268. [Google Scholar] [CrossRef]
- Liu, C.-J.; Zhang, T.-T.; Li, W.-D.; Wang, Y.-Y.; Chen, S.-S. Coordination Assemblies of Zn(II) Coordination Polymers: Positional Isomeric Effect and Optical Properties. Crystals 2019, 9, 664. [Google Scholar] [CrossRef]
- Cisterna, J.; Araneda, C.; Narea, P.; Cárdenas, A.; Llanos, J.; Brito, I. The Positional Isomeric Effect on the Structural Diversity of Cd(II) Coordination Polymers, Using Flexible Positional Isomeric Ligands Containing Pyridyl, Triazole, and Carboxylate Fragments. Molecules 2018, 23, 2634. [Google Scholar] [CrossRef]
- Huang, F.P.; Tian, J.L.; Chen, G.J.; Li, D.D.; Gu, W.; Liu, X.; Yan, S.P.; Liao, D.Z.; Cheng, P. A Case Study of the ZnII-BDC/Bpt Mixed-Ligand System: Positional Isomeric Effect, Structural Diversification and Luminescent Properties. CrystEngComm 2010, 12, 1269–1279. [Google Scholar] [CrossRef]
- Du, M.; Jiang, X.-J.; Zhao, X.-J. Molecular Tectonics of Mixed-Ligand Metal-Organic Frameworks: Positional Isomeric Effect, Metal-Directed Assembly, and Structural Diversification. Inorg. Chem. 2007, 46, 3984–3995. [Google Scholar] [CrossRef]
- Vallejos, J.; Brito, I.; Cárdenas, A.; Bolte, M.; Conejeros, S.; Alemany, P.; Llanos, J. Self-Assembly of Discrete Metallocycles versus Coordination Polymers Based on Cu(I) and Ag(I) Ions and Flexible Ligands: Structural Diversification and Luminescent Properties. Polymers 2016, 8, 46. [Google Scholar] [CrossRef]
- Tang, C.W.; VanSlyke, S.A. Organic Electroluminescent Diodes. Appl. Phys. Lett. 1987, 51, 913–915. [Google Scholar] [CrossRef]
- Metelitsa, A.V.; Burlov, A.S.; Bezuglyi, S.O.; Borodkina, I.G.; Bren, V.A.; Garnovskii, A.D.; Minkin, V.I. Luminescent Complexes with Ligands Containing C=N Bond. Russ. J. Coord. Chem. 2006, 32, 858–868. [Google Scholar] [CrossRef]
- Yang, W.; Schmider, H.; Wu, Q.; Zhang, Y.; Wang, S. Syntheses, Structures, and Fluxionality of Blue Luminescent Zinc(II) Complexes: Zn(2,2‘,2‘ ‘-Tpa)Cl2, Zn(2,2‘,2‘ ‘-Tpa)2 (O2 CCF3)2, and Zn(2,2‘,3‘ ‘-Tpa)4 (O2 CCF3)2 (Tpa = Tripyridylamine). Inorg. Chem. 2000, 39, 2397–2404. [Google Scholar] [CrossRef]
- Sano, T.; Nishio, Y.; Hamada, Y.; Takahashi, H.; Usuki, T.; Shibata, K. Design of Conjugated Molecular Materials for Optoelectronics. J. Mater. Chem. 2000, 10, 157–161. [Google Scholar] [CrossRef]
- Yu, G.; Yin, S.; Liu, Y.; Shuai, Z.; Zhu, D. Structures, Electronic States, and Electroluminescent Properties of a Zinc(II) 2-(2-Hydroxyphenyl)Benzothiazolate Complex. J. Am. Chem. Soc. 2003, 125, 14816–14824. [Google Scholar] [CrossRef]
- Larionov, S.v.; Savels’eva, Z.A.; Klevtsova, R.F.; Glinskaya, L.A.; Uskov, E.M.; Popov, S.A.; Tkachev, A.V. Crystal Structure and Photoluminescence of the Optically Active Complex [ZnL1Cl2], Where L1 = Pyrazolylquinoline—A Derivative of Monoterpenoid (+)-3-Carene. J. Struct. Chem. 2010, 51, 519–525. [Google Scholar] [CrossRef]
- Vallejos, J.; Brito, I.; Cárdenas, A.; Bolte, M.; Llanos, J.; López-rodríguez, M.; Lavín, V.; Martín, I.R. A Direct White-Light-Emitting Coordination Polymers with Tunable Green–White Photoluminescence by Variation of Counterion. Inorg. Chem. Commun. 2014, 39, 14–20. [Google Scholar] [CrossRef]
- Vallejos, J.; Brito, I.; Cárdenas, A.; Bolte, M.; Llanos, J.; López-Rodríguez, M. A Novel Double-Stranded Staircase Cu(I)-Iodide Coordination Polymer Based on Bis(4-Pyridyl-Carboxylate) Ligand with Flexible Propyl Spacer. Inorg. Chem. Commun. 2012, 24, 59–62. [Google Scholar] [CrossRef]
- Vallejos, J.; Brito, I.; Cárdenas, A.; Llanos, J.; Bolte, M. Mercury coordination polymers with flexible ethane-1,2-diyl-bis-(pyridyl-3-carboxylate): Synthesis, structures, thermal and luminescent properties. J. Solid State Chem. 2015, 223, 17–22. [Google Scholar] [CrossRef]
- Narea, P.; Cisterna, J.; Cárdenas, A.; Amo-Ochoa, P.; Zamora, F.; Climent, C.; Alemany, P.; Conejeros, S.; Llanos, J.; Brito, I. Crystallization Induced Enhanced Emission in Two New Zn(II) and Cd(II) Supramolecular Coordination Complexes with the 1-(3,4-Dimethylphenyl)-5-Methyl-1H-1,2,3-Triazole-4-Carboxylate Ligand. Polymers 2020, 12, 1756. [Google Scholar] [CrossRef] [PubMed]
- Narea, P.; Hernández, B.; Cisterna, J.; Cárdenas, A.; Llanos, J.; Amo-Ochoa, P.; Zamora, F.; Priego, J.L.; Cortijo, M.; Delgado, G.E.; et al. Heterobimetallic Three-Dimensional 4d-4f Coordination Polymers Based on 5-Methyl-1-(Pyridyn-4-Ylmethyl)-1H-1,2,3-Triazole-3,4-Dicarboxylate. J. Solid State Chem. 2022, 310, 123027. [Google Scholar] [CrossRef]
- Hernández, B.; Narea, P.; Espinoza, D.; Navarrete, A.; Aguirre, G.; Delgado, G.E.; Cárdenas, A.; Brito, I.; Cisterna, J. Novel Zn(II) and Cd(II) Coordination Polymers Derived from 1,2,3-Triazole-1,3-Diketone Ligand. Syntheses and Structural, Thermal, Computational, and Luminescent Studies. J. Solid State Chem. 2022, 312, 123156. [Google Scholar] [CrossRef]
- Kamalraj, V.R.; Senthil, S.; Kannan, P. One-Pot Synthesis and the Fluorescent Behavior of 4-Acetyl-5-Methyl-1,2,3-Triazole Regioisomers. J. Mol. Struct. 2008, 892, 210–215. [Google Scholar] [CrossRef]
- Robin, A.Y.; Fromm, K.M. Coordination Polymer Networks with O- and N-Donors: What They Are, Why and How They Are Made. Coord. Chem. Rev. 2006, 250, 2127–2157. [Google Scholar] [CrossRef]
- Rietveld, H.M. Line Profiles of Neutron Powder-Diffraction Peaks for Structure Refinement. Acta Crystallogr. 1967, 22, 151–152. [Google Scholar] [CrossRef]
- Rodriguez-Carvajal, J. FullProf Program. Available online: https://www.ill.eu/sites/fullprof/php/FullProf_News_2021.htm (accessed on 27 December 2022).
- Allen, F.H.; Kennard, O.; Watson, D.G.; Brammer, L.; Orpen, A.G.; Taylor, R. Tables of Bond Lengths Determined by X-Ray and Neutron-Diffraction. Part 1. Bond Lengths in Organic-Compounds. J. Chem. Soc. Perkin. Trans. 1987, 2, S1–S19. [Google Scholar] [CrossRef]
- Brito, I.; Kesternich, V.; Pérez-Fehrmann, M.; Araneda, C.; Cárdenas, A. Crystal Structure of Ethyl 5-Methyl-1-(Pyridin-3-Yl)-1H-1,2,3-Triazole-4-Carboxylate, C11H12N4O2. Z. Für Krist. -New Cryst. Struct. 2017, 232, 1011–1012. [Google Scholar] [CrossRef]
- Bernstein, J.; Davis, R.E.; Shimoni, L.; Chang, N.-L. Patterns in Hydrogen Bonding: Functionality and Graph Set Analysis in Crystals. Angew. Chem. Int. Ed. Engl. 1995, 34, 1555–1573. [Google Scholar] [CrossRef]
- Stoughton, R.W.; Rollefson, G.K. The Influence of Ionic Strength on the Quenching of Fluorescence in Aqueous Solutions. J. Am. Chem. Soc. 1939, 61, 2634–2638. [Google Scholar] [CrossRef]
- Song, J.; Duan, B.-F.; Lu, J.-F.; Wu, R.; Du, Q.-C. Hydrothermal Synthesis of Three Zinc(II) Coordination Polymers from 0D to 2D: Synthesis, Structure, Luminescence Properties and Effect of Auxiliary Ligand on Their Structural Architectures. J. Mol. Struct. 2019, 1195, 252–258. [Google Scholar] [CrossRef]
- Ejarque, D.; Calvet, T.; Font-Bardia, M.; Pons, J. Steric Crowding of a Series of Pyridine Based Ligands Influencing the Photophysical Properties of Zn (II) Complexes. CrystEngComm 2021, 23, 6199–6213. [Google Scholar] [CrossRef]
- Wang, X.-M.; Chen, S.; Fan, R.-Q.; Zhang, F.-Q.; Yang, Y.-L. Facile Luminescent Tuning of Zn II /Hg II Complexes Based on Flexible, Semi-Rigid and Rigid Polydentate Schiff Bases from Blue to Green to Red: Structural, Photophysics, Electrochemistry and Theoretical Calculations Studies. Dalton Trans. 2015, 44, 8107–8125. [Google Scholar] [CrossRef]
- Green, A.P.; Buckley, A.R. Solid State Concentration Quenching of Organic Fluorophores in PMMA. Phys. Chem. Chem. Phys. 2015, 17, 1435–1440. [Google Scholar] [CrossRef]
- Zhu, H.; Han, C.; Li, Y.-H.; Cui, G.-H. Two New Coordination Polymers Containing Long Flexible Bis(Benzimidazole) Ligand as Luminescent Chemosensors for Acetylacetone and Hg(II) Ions Detection. J. Solid State Chem. 2020, 282, 121132. [Google Scholar] [CrossRef]
- Bruker AXS INC. APEX3 Package. In APEX3, SAINT and SADABS; Bruker AXS Inc.: Madison, WI, USA, 2016. [Google Scholar]
- Sheldrick, G.M. Crystal Structure Refinement with SHELXL. Acta Crystallogr. C Struct. Chem. 2015, 71, 3–8. [Google Scholar] [CrossRef]
- Dolomanov, O.V.; Bourhis, L.J.; Gildea, R.J.; Howard, J.A.K.; Puschmann, H. OLEX2: A Complete Structure Solution, Refinement and Analysis Program. J. Appl. Crystallogr. 2009, 42, 339–341. [Google Scholar] [CrossRef]










| Compound | λmax (exc/nm) * | λmax (em/nm) * | ϕ (int/%) | ϕ (ext/%) |
|---|---|---|---|---|
| NaL1 | 357 | 443 | 0.125 | 0.053 |
| NaL2 | 316 | 425 | 0.647 | 0.289 |
| 1 | 367 | 450 | 1.440 | 0.511 |
| 2 | 366 | 445 | 0.114 | 0.041 |
| Compound | P1 | P2 | 1D-[Zn(L1)]n (1) | 1D-[Zn(L2)⋅4H2O]n (2) |
|---|---|---|---|---|
| Empirical Formula | C12H14N4O2 | C12H14N4O2 | C20H18N8O4Zn | C20H26N8O8Zn |
| Formula mass, g mol−1 | 246.27 | 246.27 | 499.79 | 571.86 |
| Collection T, K | 296.15 | 295.59 | 296.29 | 295.68 |
| crystal system | monoclinic | orthorhombic | monoclinic | monoclinic |
| space group | P21/c | P212121 | C2/c | C2/c |
| a (Å) | 11.762(3) | 4.8453(4) | 15.1822(10) | 19.4229(8) |
| b (Å) | 12.989(4) | 10.7088(7) | 9.0877(6) | 9.3153(3) |
| c (Å) | 8.171(2) | 24.2892(17) | 15.1810(10) | 14.5061(6) |
| β (°) | 91.736(18) | 90 | 107.249(2) | 104.285(3) |
| V (Å3) | 1247.8(6) | 1260.30(16) | 2000.3(2) | 2543.44(17) |
| Z | 4 | 4 | 4 | 4 |
| ρcalcd (gcm−3) | 1311 | 1298 | 1.660 | 1.493 |
| Crystal size (mm) | 0.485 × 0.15 × 0.12 | 0.558 × 0.321 × 0.295 | 0.21 × 0.17 × 0.09 | 0.147 × 0.112 × 0.058 |
| Radiation type | CuKα | CuKα | MoKα | CuKα |
| F(000) | 520.0 | 520.0 | 1024.0 | 1184.0 |
| abs coeff (mm−1) | 0.766 | 0.758 | 1.277 | 1.875 |
| 2θ range (°) | 7.52–130.394 | 7.278–30.966 | 5.586–58.298 | 9.396–130.302 |
| range h,k,l | −13/13, −15/15, −8/9 | −4 / 5, −11/12, −27 / 25 | −20 / 20, −12/ 12, −20 / 20 | −22 / 22, −10 /10, −16 / 17 |
| No. total refl. | 13201 | 10636 | 34975 | 20229 |
| No. unique refl. | 2121 [Rint = 0.0671, Rsigma = 0.0485] | 2130 [Rint = 0.0363, Rsigma = 0.0278] | 3956 [Rint = 0.0817, Rsigma = 0.0444] | 2156 [Rint = 0.1433, Rsigma = 0.0824] |
| Comp. θmax (%) | 99/ 65.197 | 98/ 65.483 | 100/29.149 | 99/65.151 |
| Max/min transmission | 0.753/0.607 | 0.753/0.635 | 0.665/0.514 | 0.753/0.622 |
| Data/Restraints/Parameters | 2121/0/165 | 2130/0/165 | 3956/0/153 | 2156/0/176 |
| Final R [I > 2σ(I)] | R1 = 0.0553, wR2 = 0.1238 | R1 = 0.0436, wR2 = 0.1008 | R1 = 0.0457, wR2 = 0.0765 | R1 = 0.0506, wR2 = 0.0972 |
| R indices (all data) | R1 = 0.0805, wR2 = 0.1388 | R1 = 0.0516, wR2 = 0.1058 | R1 = 0.0878, wR2 = 0.0867 | R1 = 0.1012, wR2 = 0.1129 |
| Goodness of fit / F2 | 1049 | 1097 | 1.116 | 1.025 |
| Largest diff. Peak/hole (eÅ−3) | 0.16/−0.41 | 0.16/−0.25 | 0.33/−0.39 | 0.29/−0.43 |
| Flack Parameter | --- | 0.11(13) | --- | --- |
Disclaimer/Publisher’s Note: The statements, opinions and data contained in all publications are solely those of the individual author(s) and contributor(s) and not of MDPI and/or the editor(s). MDPI and/or the editor(s) disclaim responsibility for any injury to people or property resulting from any ideas, methods, instructions or products referred to in the content. |
© 2023 by the authors. Licensee MDPI, Basel, Switzerland. This article is an open access article distributed under the terms and conditions of the Creative Commons Attribution (CC BY) license (https://creativecommons.org/licenses/by/4.0/).
Share and Cite
Narea, P.; Hernández, B.; Cisterna, J.; Cárdenas, A.; Amo-Ochoa, P.; Zamora, F.; Delgado, G.E.; Llanos, J.; Brito, I. The Methylene Spacer Matters: The Structural and Luminescent Effects of Positional Isomerism of n-Methylpyridyltriazole Carboxylate Semi-Rigid Ligands in the Structure of Zn(II) Based Coordination Polymers. Polymers 2023, 15, 888. https://doi.org/10.3390/polym15040888
Narea P, Hernández B, Cisterna J, Cárdenas A, Amo-Ochoa P, Zamora F, Delgado GE, Llanos J, Brito I. The Methylene Spacer Matters: The Structural and Luminescent Effects of Positional Isomerism of n-Methylpyridyltriazole Carboxylate Semi-Rigid Ligands in the Structure of Zn(II) Based Coordination Polymers. Polymers. 2023; 15(4):888. https://doi.org/10.3390/polym15040888
Chicago/Turabian StyleNarea, Pilar, Benjamín Hernández, Jonathan Cisterna, Alejandro Cárdenas, Pilar Amo-Ochoa, Félix Zamora, Gerzon E. Delgado, Jaime Llanos, and Iván Brito. 2023. "The Methylene Spacer Matters: The Structural and Luminescent Effects of Positional Isomerism of n-Methylpyridyltriazole Carboxylate Semi-Rigid Ligands in the Structure of Zn(II) Based Coordination Polymers" Polymers 15, no. 4: 888. https://doi.org/10.3390/polym15040888
APA StyleNarea, P., Hernández, B., Cisterna, J., Cárdenas, A., Amo-Ochoa, P., Zamora, F., Delgado, G. E., Llanos, J., & Brito, I. (2023). The Methylene Spacer Matters: The Structural and Luminescent Effects of Positional Isomerism of n-Methylpyridyltriazole Carboxylate Semi-Rigid Ligands in the Structure of Zn(II) Based Coordination Polymers. Polymers, 15(4), 888. https://doi.org/10.3390/polym15040888

