Abstract
Sorptive removal of hexavalent chromium (Cr(VI)) bears the advantages of simple operation and easy construction. Customized polymeric materials are the attracting adsorbents due to their selectivity, chemical and mechanical stabilities. The mostly investigated polymeric materials for removing Cr(VI) were reviewed in this work. Assembling of robust functional groups, reduction of self-aggregation, and enhancement of stability and mechanical strength, were the general strategies to improve the performance of polymeric adsorbents. The maximum adsorption capacities of these polymers toward Cr(VI) fitted by Langmuir isotherm model ranged from 3.2 to 1185 mg/g. Mechanisms of complexation, chelation, reduction, electrostatic attraction, anion exchange, and hydrogen bonding were involved in the Cr(VI) removal. Influence factors on Cr(VI) removal were itemized. Polymeric adsorbents performed much better in the strong acidic pH range (e.g., pH 2.0) and at higher initial Cr(VI) concentrations. The adsorption of Cr(VI) was an endothermic reaction, and higher reaction temperature favored more robust adsorption. Anions inhibited the removal of Cr(VI) through competitive adsorption, while that was barely affected by cations. Factors that affected the regeneration of these adsorbents were summarized. To realize the goal of industrial application and environmental protection, removal of the Cr(VI) accompanied by its detoxication through reduction is highly encouraged. Moreover, development of adsorbents with strong regeneration ability and low cost, which are robust for removing Cr(VI) at trace levels and a wider pH range, should also be an eternally immutable subject in the future. Work done will be helpful for developing more robust polymeric adsorbents and for promoting the treatment of Cr(VI)-containing wastewater.
1. Introduction
Chromium and its compounds are widely used in a variety of industries, such as electroplating, tanning leather, printing, and dyeing [1], making it the major heavy metal pollutant in industrial wastewater. Chromium commonly exists in trivalent (Cr(III) and hexavalent (Cr(VI)) states in aqueous solutions [2]. Cr(VI) is a top-priority pollutant and it is much more toxic and mobile than Cr(III) [3]. Removal of Cr(VI) from wastewater is in urgent need for protecting the safety of aquatic environment. Because of the advantages of simple operation and easy construction, removal of Cr(VI) using the natural and synthetic adsorbents has become one of the most preferred choices [4]. An ideal adsorbent is expected to have high selectivity and affinity toward Cr(VI), and at the meantime, it should be nontoxic, cheap, and readily available [5]. However, most easily available natural adsorbents (e.g., clay, metal hydroxides, chitosan, and cellulose) were hard to realize this target due to their insufficient adsorption ability, weak mechanical and thermal stability, and difficulty in regeneration [6]. Thus, the development of a more efficient Cr(VI) adsorbent is still an exigent mission.
Bearing the merits of low-cost, large surface area, high selectivity, and high adsorption capacity, polymeric materials have attracted increasing attention in removing Cr(VI) [5], which can be reflected by the sharply increasing papers published in this field (more than 300 papers in recent decades). Polypyrrole (PPy), polyaniline (PANI), polysaccharides, chitosan, and cellulose have been applied for removing Cr(VI) in wastewater [7,8,9,10,11] (Figure 1). Mechanisms of ion exchange, electrostatic attraction, ligand exchange, reduction, chelation, and hydrogen bonding were involved in Cr(VI) removal. The exact driving forces of Cr(VI) removal depended on the physicochemical properties of polymers. For example, polymers rich in amine, imine, and catechol functional groups are capable of reducing Cr(VI) to Cr(III) to increase its removal [12]. Self-agglomeration, which might result in the reduction of active sites and difficulty of reuse, is an obstacle for industrial application of polymers [13]. Thus, considerable researches have focused on the modification of the surface structures of polymers to minimize the self-agglomeration and assemble more robust functional groups to enhance the adsorption of Cr(VI) and to simplify the reuse of these materials [14,15]. Strategies, including coating on the other substrate materials [13], reconstructing the structure of polymers through crosslinking and hybridization [14,16], grafting functional groups and branched chains [17], and acting as a scaffold to combine with other absorbents [18], are applied. For example, PPy coated molybdenum disulfide organic–inorganic composites exhibited much higher sorption capacity for Cr(VI) than neat PPy (257.7 vs. 151.3 mg/g) [19]. Loading of PANI onto the neodymium-doped Zn-Al layered double hydroxide dramatically enhanced the sorptive removal of Cr(VI) compared to the raw layered double hydroxide [20]. Meanwhile, the maximum adsorption capacity of core/shell-like alginate@ polyethylenimine composites for Cr(VI) was calculated to be 497.1 mg/g based on Langmuir isotherm at the concentration of 0–600 mg/L under pH 2.0 [21]. Despite the rapid progresses in this field, there is lack of a comprehensive overview to conclude the work done, not done, and need to be done. Therefore, a systematic review covered the newly published papers is in urgent need to indicate the direction of designing more effective adsorbents and to promote the industrial application of these newly designed materials.
Figure 1.
The chemical structures of several selected polymers. Reproduced from Refs. [22,23,24].
Herein, the recent progress in designing and applying polymeric materials for removing Cr(VI) is systematically reviewed. The physiochemical properties and their performance in removing Cr(VI) are compared with each other. The mechanisms of these newly designed polymeric materials are delineated, and the differences between these sorbents are analyzed. The influencing factors that affected the adsorption are also highlighted. Finally, the challenges and perspectives for capturing Cr(VI) using polymeric materials are proposed. Work done will help in the development of cost-effective sorbents for removing Cr(VI)-containing wastewater.
2. Polymers Used for Cr(VI) Removal
2.1. Polypyrrole (PPy)-Based Adsorbents
Chigondo et al. had previously reviewed the removal of Cr(VI) using PPy-based adsorbents [7]. They summarized the removal efficiencies of varied PPy adsorbents, and the mechanisms of Cr(VI) removal and methods for the regeneration of these PPy-based adsorbents were also reported [7]. Bearing the merits of reputable environmental stability, extraordinary conductance, desirable redox properties, ease of processing, and rich in amine groups, PPy has shown great prospects in sorptive removal of Cr(VI) (Table 1). The positively charged nitrogen atoms in the polymer chain of PPy are capable of binding Cr(VI) to facilitate its adsorption, and at the meantime resulting in the reduction of Cr(VI) to Cr(III) [25]. Both effects facilitate Cr(VI) removal. However, self-agglomeration often occurs in pure PPy due to the strong π-π interactions between the main chains (shown in Figure 2), making it difficult to disperse in water phase, which in turn results in the decrease of its surface area and adsorption capacities [26]. Moreover, separating the PPy powder from the reaction mixture is also challenging [27]. To counteract these adverse effects, strategies of innovating synthesis method to modify the surface properties of PPy and developing composites are applied. Except for bulk PPy powder, free standing PPy films at the air/water interface were also formed during the rapid mixing of the pyrrole monomer and FeCl3 [28], which increased the positive surface charge density on PPy surface and thus reduced the agglomeration when compared to the method of dropwise addition of PPy monomer to FeCl3 solutions. As a consequence, the Cr(VI) removal efficiency increased from 40.2% to 69.5% [28]. Meanwhile, PPy-based magnetic materials were also prepared to enhance the recovery of PPy [29]. The surface PPy functionalized sepiolite fiber was prepared by assembling PPy on the sepiolite fiber surface, which had features of magnetism and floatation [26]. Thus, this newly prepared adsorbent can be easily recovered from the waterbody through magnetic field [26], and the maximum adsorption capacity toward Cr(VI) at concentrations of 10–100 mg/L achieved 108.9 mg/g obtained by Langmuir isotherm model at pH 2.0 and 25 °C [26]. The synthesis of PPy-based composites using biochar [30], molybdenum disulphide [31], clay [32], cellulose [33], and graphene oxide [34] were also been documented in present literatures. The mechanisms of enhanced Cr(VI) removal involved in the above PPy-based composites were also the reduction of agglomeration and the increase of active sites. As shown in Table 1, these PPy-based adsorbents have Brunauer–Emmett–Teller (BET) surface areas (SBET) of 15.9–149.8 m2/g, and exhibit the maximum adsorption capacity toward Cr(VI) in the range of 103.6 to 961.5 mg/g (Table 1). The isoelectric point of the PPy-based absorbents was 2.3–10.2 and the optimum pH mostly occurred at ~2.0 (Table 1). The redox potential of Cr(VI) decreases with the increasing pH, and Cr(VI) mainly exists in the anionic form in solution [35]. The isoelectric point of PPy is at pH ~ 4.3, and it carries positive charges on its surface in pH < 4.3 solution [36]. The enhanced reduction of Cr(VI) to Cr(III) and the increased electrostatic attractions between chromium and PPy-based adsorbents jointly contributed to Cr(VI) removal at pH ~ 2.0 [35]. Except that the maximum adsorption generally occurred in the strong acid medium, the oxidation of these PPy-based adsorbents might result in the rupture of the polymer chain to reduce the adsorption [7] (Table 1). Therefore, more efforts are necessary to minimize the structural deterioration of PPy-based adsorbents and acid consumption during the removal of Cr(VI).
Figure 2.
The π bond of ppy. Reproduced from Ref. [37].
2.2. Polyaniline (PANI)-Based Adsorbents
The performances and mechanisms of Cr(VI) removal using various PANI modified adsorbents had been summed up previously by Jiang et al. in 2018 [8]. Polyaniline (PANI) is an attractive material which has been widely used for Cr(VI) removal due to its controllable electrical conductivity, excellent redox properties, low price, and simple doping (Table 1) [38]. PANI has both amine and imine groups in its structure, thus it exhibits the reductive potential of Cr(VI) as that of PPy [39]. The ratios of amine and imine functional groups on PANI make it present three oxidation states, i.e., leucoemeraldine (LB), emeraldine (EB), and pernigraniline (PB) [40]. The oxidation states shift from LB to EB and PB during the reduction of Cr(VI) by PANI [41]. The removal of Cr(VI) by PANI is highly affected by solution pH due to the protonation and deprotonation of nitrogen atoms [42]. It is well documented that the redox potential of Cr(VI) increases with the decrease of pH [35], which makes it easier to be reduced to Cr(III) at lower pH. Meanwhile, the general bulky PANI prepared by oxidative polymerization had an isoelectric point of 7.3 [43], and it was positively charged in pH < 7.3 solutions. Electrostatic attraction between the positively charged PANI and Cr(VI) anions could enhance the removal of Cr(VI) in acidic environment [44]. Therefore, the optimum pH used for Cr(VI) removal by PANI was typically in the acidic range [45]. Furthermore, PANI has high resistance against acidic conditions and only dissolves in concentrated sulfuric acid [46]. Despite of these merits of PANI, the specific surface area of the normal bulky is typically low (22.4–31.7 m2/g) to provide sufficient adsorption and reaction sites [43,47]. Besides, the mechanical strength of these bulky PANI powders is low [48]. The ultrafine PANI particles have relatively high specific surface area, while they are hard to be recycled and used directly in flow-through systems [48].
To overcome the adverse effects of PANI alone, PANI composites were synthesized [49]. Preparation of PANI into a well-organized hollow spherical structure using poly(styrene-co-acrylic acid) spheres as a templet dramatically increased its specific surface area and recyclability [50]. The maximum adsorption capacity of Cr(VI) by the hollow spherical PANI reached 601.3 mg/g at pH of 1.0 solution with an initial Cr(VI) concentration of 0–100 mg/L [50]. The maximum removal capacity of Cr(VI) by porous PANI synthesized with the bacteria cell as templates was calculated to be 835.06 mg/g at concentrations of 1–1500 mg/L at pH 1.0 [51]. In addition, more than 90% of Cr(VI) could be reduced to Cr(Ⅲ) by bacteria cell templated porous polyaniline in both acidic and neutral solutions [51]. Coating of PANI on sawdust [52], fibers [53], graphene oxide [54], and inorganic complexes [55], were also documented to enhance the removal of Cr(VI) by increasing the specific surface area [48], the treatment pH [56], hydrophilicity of adsorbents, and enhancing the reduction of Cr(VI) to Cr(III) [13]. It is worth noting that some PANI-based adsorbents showed excellent adsorption performance of Cr(VI) in neutral or nearly neutral solutions and real water. Polyaniline confined in the pores of polystyrene beads presented an adsorption capacity of 233.7 mg/g at near neutral pH (6.0) [48]. The Cr(VI) (initially at 200 mg/L) removal efficiency by polyaniline coated bacterial cellulose (PANI/BC) mat reached higher than 99% at pH 7.0 within 24 h [56]. UiO-66 derived N-doped carbon nanoparticles coated by polyaniline (PANI@NC-600) exhibited similar treatment performance of removal in deionized water as that of in Dushu Lake and Jinji Lake water, indicating the robust ability to counteract the adverse effect brought by water constituents [39]. However, the coated PANI might come off from the composite structure during use of these adsorbents which hindered the reuse of these composites. Moreover, the synthesis of these PANI composites is required to operate in strictly controlled conditions and time consuming (Table 1), which might increase the overall treatment cost. Therefore, more simple and convenient preparation methods are needed to prepare more robust PANI composites which are effective for Cr(VI) removal and feasible for reuse.
2.3. Cellulose-Based Adsorbents
Cellulose-based adsorbents have been widely used in water treatment, and their modification methods, properties, and application have been reviewed in literature [23,57,58,59]. However, the sorptive removal of Cr(VI) by cellulose-based adsorbents has not been systematically reviewed. Cellulose is the most abundant natural pappolymer, in which the D-glucose monomers are linked with β-1, 4-glycosidic bonds [24]. It can be extracted from wood and annual plants, microbes (bacteria and algae) and animals (tunicates) [60,61]. Different extraction methods result in the varied physical forms of cellulose, such as mats [56], hydrogels [62], foam [63], nanocrystals [64], and nanofibrils [65]. Rich in hydroxyl groups, cellulose shows high affinity toward heavy metals and offers suitable platform for functionalization [66,67]. The structure of cellulose can be modified through blending and grafting of functional components to increase the active sites [64,68]. The cellulose backbone grafted by the desired monomers (e.g., poly(m-aminobenzene sulfonate), and polyethylenimine), which can be further functionalized with known chelating groups (ammonium, amino, etc., Table 1). Amino-functionalized magnetic cellulose nanocomposites achieved a maximum adsorption capacity of 171.5 mg/g toward Cr(VI) of 0–250 mg/L at pH 2.0 and 25 °C, and the adsorbent was easily recovered by magnetic field [68]. Meanwhile, cellulose-based adsorbents with pendant groups of quaternary ammonium and amino for Cr(VI) removal presented a maximum Cr(VI) uptake capacity of 490.3 mg/g at concentrations of 20–700 mg/L at pH 2.0 and 30 °C [69]. Cellulose-based absorbents were reported to treat Cr(VI) at the initial concentrations of 1.0–1000 mg/L (Table 1). For example, acrylamidethiosemicarbazide cellulose aerogels were proven to effectively remove at relatively low levels (i.e., 1.0–20 mg/L) [70]. The removal rate of Cr(VI) reached 99% and the maximum effluent concentration of Cr(VI) was lower than 0.045 mg/L [70]. While, the polyaniline-impregnated nanocellulose composite could remove 84.9% of the Cr(VI) at an initial concentration of 1000 mg/L [67]. Despite that modification of cellulose has dramatically enhanced its ability to remove Cr(VI), the application of this natural polymers is still in the road to improve the adsorption efficiency, enhance the regeneration performance, and simplify the separation process (Table 1).
2.4. Chitosan-Based Adsorbents
Available reviews overviewed the developments of chitosan-based adsorbents in water treatments [71,72], while limited information was available for Cr(VI) removal. Chitosan, which is generated by the deacetylation of chitin, is the second most abundant natural biopolymer [73]. Chitosan has one –NH2 group and two –OH groups in its glucosamine units [74], which facilitate its binding to metal ions by chelation in neutral solutions and by electrostatic attraction in acidic medium, respectively [75]. It has low price and high reactivity toward a variety of contaminants [76]. However, this natural polymer is unstable in pH < 4.0 solutions, which hinders its application [73]. To strengthen the performance of chitosan, several physical and chemical modification methods have been applied [77]. Various forms of chitosan were prepared by physical modifications to increase the specific surface area and the stability of structure, including powder, nanoparticles, gel beads, membranes, sponges, type structure of “honeycomb” and various types of fiber [75]. Meanwhile, chemical modifications which involve uniting the macromolecular chains with each other via cross-linking and inserting functional groups by grafting are also the strategies to increase the adsorption sites and acid-resistance ability [71]. Figure 3 presents the structure of several functional modified chitosan-based absorbents of Cr(VI). The presence of –NH2 and –OH groups provided a platform for modification of chitosan. As shown in Table 1, most of the modified chitosan-based adsorbents performed well under acidic conditions. The maximum adsorption capacity of these chitosan-based adsorbents toward Cr(VI) ranged from 3.2 to 344.8 mg/g and the optimum pH mostly occurred at pH < 4.0 (Table 1). Cross-linked chitosan beads, which were synthesized by 1,2,7,8-diepoxyoctane (DEO) (as a crosslinker) and chitosan beads, exhibited a maximum adsorption capacity of 325.2 mg/g toward Cr(VI) at an initial concentration of 20–500 mg/L and pH 2.0 and 30 °C [10]. Meanwhile, chitosan composites could also overcome the shortage of chitosan alone. For example, the maximum adsorption capacity of graphene oxide/chitosan/ferrite nanocomposites toward Cr(VI) at concentration of 10–125 mg/L at pH 2.0 and 27 °C reached 270.3 mg/g [78], much higher than that of the chitosan alone. Whereas, the progressive hydrolysis of polysaccharide on chitosan during the regeneration by NaOH or acid treatments remains the roadblock of its application [24].
Figure 3.
Several chemical structures of modified chitosan-based adsorbents for Cr(VI). Reproduced from Refs. [10,79,80,81,82].
2.5. Clay-Based Adsorbents
Despite the application of clay-polymer absorbents for removing pollutants has been reviewed in several literatures [83], a review specific for Cr(VI) has not been reported. Endowed with high specific surface area, extraordinary cation exchange capacity (CEC) and cation exchange selectivity, surface hydrophilicity, and surface electronegativity, clay-based absorbents have drawn widespread attention for heavy metal removal [84]. However, the recovery/regeneration of these clays is hard and tedious, and they are sometimes ineffective for removing pollutants at trace levels [85]. The combination of polymers and clays can maximize the advantages of clays. Functional groups, such as hydroxyl (–OH), carboxyl (–COOH) and amine (–NH2) groups, could be easily introduced into the surface or interlayers of clays through polymerization [84]. FTIR spectra of the modified clay, chitosan sodium alginate, and chitosan/alginate/modified clay composite aerogel (CMAC) showed the presence of –OH, –COOH and –NH2 groups (Figure 4). Polymer modified clay can form a specific interaction with contaminants, resulting in strong adsorption or even selective adsorption [84]. Clays, including montmorillonite [86], kaolinites [87], calcium rectorite [88], sepiolite [26], and halloysite [89], have been utilized as fillers in polymers. According to Table 1, the maximum capacity of clay-based absorbents ranged from 42.4 to 714.3 mg/g, and the optimum pH values were mainly at 1.0–2.0. For example, the maximum adsorption capacity of PPy-coated halloysite nanotube nanocomposites toward Cr(VI) was calculated to be 149.3 mg/g at the concentration of 100–500 mg/L under pH 2.0 at 25 °C [90]. PPy coated sepiolite fiber retains the feature of sepiolite fiber templates but have a larger surface area [26]. Noteworthy, the prices varied among the clays and polymers. Thus, the synthesis of green and innovative clay–polymer composites based on low-cost and natural materials could be the direction of future efforts [91]. Moreover, the leaching of metals from metal-doped clay-polymer nanocomposites also deserves attention.
Figure 4.
FTIR spectra of (a) modified clay, chitosan and sodium alginate and (b) chitosan/alginate/modified clay composite aerogel with the ratio of chitosan: sodium alginate: modified clay at 7:3:1.4 (CAMC1), 6:4:1.2 (CAMC2) and 5:5:1 (CAMC3). Reprinted with the permission from Ref. [87]. Copyright 2021 Elsevier.
2.6. Nano-Sized Metals/Metal Oxides Based Polymeric Adsorbents
Metals/metal oxides based polymeric adsorbents for Cr(VI) have not been reviewed before. Nano-zerovalent iron (nZVI), which has a metallic iron core and iron oxide shell, has been applied for Cr(VI) removal [92]. The metallic iron core possesses the well-characterized electron-donating power, while the surface iron hydroxides offer the coordinative/electrostatic functions to attract and adsorb charged ions [92]. Both effects participate in the removal of metal ions. However, nZVI particles are susceptible to agglomeration and surface passivation to reduce their reactivities [93]. Coating of nZVI particles with polymers (e.g., sodium carboxymethyl cellulose [94], chitosan [95], and polyvinylpyrrolidone [92]) can increase the steric hindrance and electrostatic repulsion between the nanoparticles, thereby reducing the agglomeration of these nanoparticles. A polyvinylpyrrolidone stabilized iron-nickel bimetallic nanocomposite (PVP-nZVI/Ni), which was synthesized by sodium borohydride liquid phase reduction method, was effective for Cr(VI) removal at the pH values of 2.0–7.0 [92]. The maximum adsorption of PVP-nZVI/Ni toward Cr(VI) was calculated as 400 mg/g at concentrations of 0–10 mg/L under pH 2.0 at 25 °C [92]. As can be seen in Figure 5, pure nZVI exhibited an obvious chain-like aggregation structure, while PVP-nZVI/Ni after modification showed better dispersion. Additionally, these nano-sized metals based absorbents were also robust for Cr(VI) removal at relatively low Cr(VI) concentrations (Table 1). Nano-sized metal oxides, such as thorium oxide [96], titanium oxide [97], zinc oxide [98], manganese oxide [99], and ferric oxide [100], have also been used for Cr(VI) removal due to their vast surface area, high capacity and selectivity. However, the treatment performances of these sole metal oxides are far from ideal. For example, the highest adsorption capacity of alumina toward Cr(VI) was only 52.1 mg/g [101]. Modifying of metal oxides with polymeric materials improved the Cr(VI) removal. The maximum sorption capacity of xanthated chitosan-wrapped γ-Al2O3 composite toward Cr(VI) reached 110.5 mg/g at concentrations of 10–80 mg/L under pH 3.0 and 25 °C [102]. As shown in Table 1, the BET surface areas of nano-sized metals or metal oxides based absorbents are relatively higher than those of other absorbents, which are in the range of 16.3–272.5 m2/g. The maximum sorption capacities of nano-sized metals or metal oxide based absorbents were in the range of 13.5–549.4 mg/g and the optimum pH often occurred at pH 2.0 (Table 1). For instance, a polyaniline-coated tungsten trioxide biphasic composite showed maximum adsorption capacity of 549.4 mg/g toward Cr(VI) ranging from 0–150 mg/L at pH 2.0 [103]. However, the research on nano-sized metals/metal oxides based polymeric adsorbents is still an emerging field, and more efforts are needed to explore the potential of extensive use of these novel adsorbents in practical production.
Figure 5.
SEM image of nZVI (A); SEM images of PVP-nZVI/Ni (B,C); TEM images of PVP-nZVI/Ni (D,E); EDS of PVP-nZVI/Ni (F). Reprinted with the permission from Ref. [92]. Copyright 2022 Elsevier.
2.7. Carbon-Based Absorbents
The removal of pollutants using carbon-based absorbents has been intensively reviewed in the literatures, while how these novel materials could affect the Cr(VI) has rarely been studied [83]. Carbon materials with high specific surface areas and hierarchically porous networks are efficient adsorbents for heavy metals [104]. These carbons include activated carbon (AC), graphene oxide (GO), biochar, carbon nanocomposites, carbon nanotubes, carbon sponges, carbon aerogels, and carbon membranes [104]. Theoretically, all of the organic materials can act as the precursor of AC. The porous structure and surface properties of AC determined the sorptive removal of Cr(VI) [105]. GO has large amounts of oxygenated functional groups arranged in sp2-hybridized shape, which forms a honeycomb structure [106]. This unique structure of GO promotes the formation of a network with Cr(VI) through covalent and ionic bonds [106]. Biochar has a high specific area and abundant functional groups on its surface, which exhibits good performance in treating Cr(VI) [107]. However, the reuse of AC is hard [108], the agglomeration of GO is serious [109], and the surface of biochar is typically negatively charged to resist the adsorption of anions [3]. These adverse effects hinder Cr(VI) removal by carbon materials. The combination of carbon materials and polymers provides a solution to improve the Cr(VI) removal. Coating of polysulfide rubber on activated carbon increased the Cr(VI) removal by 8.0% [108]. GO modified by poly(allylamine hydrochloride) cross-linked amino exhibited a maximum adsorption capacity of 373.1 mg/g for Cr(VI) at the concentrations of 10–780 mg/L at pH 2.0 and room temperature, which was ~9 times higher than that of pure GO [4]. What’ more, it also performed well in eliminating Cr(VI) at low concentrations, which reduced Cr(VI) from 9.9 to 0.004 mg/L within 10 s with the dosing of 50 mg modified GO [4]. Yang et al. also reported that magnetic corncob (MBC/PPy) performed well to removing Cr(VI) at low concentrations [30]. The maximum adsorption capacity of MBC/PPy was calculated to be 19.23 mg/g at concentrations of 20–60 mg/L at pH 5.3 and 20 °C [30]. Furthermore, MBC/PPy was proven to reduce Cr(VI) [30]. Cr(VI) and Cr(III) accounted for 20.6% and 79.4% of the total absorbed Cr, respectively [30]. Table 1 shows the performance of carbon-based adsorbents. The BET surface areas of carbon-based material absorbents are 11.2–688.6 m2/g (Table 1). The maximum adsorption capacities of these carbon-based adsorbents toward Cr(VI) ranges from 8.9 to 1185.0 mg/g (Table 1). The initial Cr(VI) concentrations investigated are in the range of 2.0–2500 mg/L (Table 1). Thus, carbon-based materials absorbents show great potential to eliminate Cr(VI) in wastewater with various initial concentrations. However, the overall costs of these carbon-based polymers are high, and the recovery efficiencies and selectivity for Cr(VI) are low. Thus, more researches are imperative to reduce the treatment cost and to enhance the reusability of these materials to address the selective adsorption of Cr(VI) under complicated conditions.
Table 1.
Summary of removal of Cr(VI) using polymeric adsorbents.
3. Mechanisms of Cr(VI) Removal
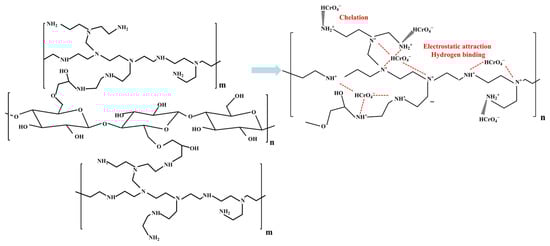
The driving force of Cr(VI) removal varies by the properties of the adsorbents and the working conditions. Techniques, including Fourier transform infrared spectroscopy, X-ray photoelectron spectroscopy, and X-ray absorption near edge structure spectroscopy are generally used to elucidate the mechanism of Cr(VI) removal [7,139]. Mechanisms of electrostatic attraction, anion exchange, chelation, complexation, and hydrogen bonding are involved in Cr(VI) removal (Figure 6). Different functional groups play different roles in Cr(VI) removal. As shown in Table 1, nitrogen-containing groups in polymers exhibit a pronounced effect on Cr(VI) removal. –NH– and –N= groups are easy to protonate to –NH2+– and –NH+= in acidic medium, respectively [51]. Electrostatic attractions between these positively charged sites and Cr(VI) anions (i.e., HCrO4− and Cr2O72−) could enhance Cr(VI) removal [140]. Oxidation of –NH– to =N– by Cr(VI) generates Cr(III) [141], which has strong affinity toward amine groups [142]. Besides, these nitrogen-containing groups could also improve the hydrophilicity and the charge density of the polymer surfaces, which are helpful for Cr(VI) removal [137]. The doped nitrogen on polymers creates more basic sites which are capable of providing more delocalized electrons to enhance the reduction of Cr(VI) [137]. Meanwhile, the doped-N also results in charge redistribution, which may subsequently induce the adjacent C atoms to exhibit the feature of Lewis bases to bind Cr(III) ions (Cr3+ and Cr(OH)2+) [137]. Furthermore, nitrogen atoms have a strong ability to accept electrons, and the carbon atoms adjacent to them generally carry net positive charges, which contribute to the Cr(VI) removal through electrostatic attraction [137]. Except that, hydrogen bond force, coordination interaction, cation exchange and chelating interaction, are also involved in the adsorption of Cr(VI) introduced by nitrogen-containing groups [64,143]. Because of the presence of electron-donating groups (e.g., amine/imine groups, carboxyl, hydroxyl, and phenol) in polymeric materials (Table 1), the reduction of Cr(VI) to Cr(III) often occurs during the reactions between these adsorbents and Cr(VI). Figure 7 exhibited the XPS spectrum of terminal amino hyper branched polymer modified graphene oxide adsorbents (GO-HBP-NH2-TEPA) after the adsorption of Cr(VI). The presence of characteristic peaks of Cr(III) (~34.6%) confirmed the reduction of Cr(VI) by amine groups on the GO-HBP-NH2-TEPA (Figure 7). Carboxyl and hydroxyl groups are effective for Cr(III) removal through complexation or chelation mechanisms [30,141]. The doping of anions into the structure of polymers can enhance Cr(VI) via anionic exchange mechanism, and Cl− and SO42− are the two most common doping anions [18,144]. For the specific types of adsorbents, the main driving force of Cr(VI) removal are varied with each other. Electrostatic attraction and anion exchange are the main driving force of Cr(VI) removal by PPy based adsorbents due to the presence of amino groups and Cl− in their structures (Figure 8). The removal of Cr(VI) by PANI-based composites is mainly attributed to the electrostatic interaction and reduction caused by the presence of imine and amino groups (Figure 8). It is worth noting that hydroxyl groups on the cellulose- and chitosan-based absorbents play a significant role in the chromium removal through chelation. At the meantime, the imine and amino groups also contribute to the adsorption of Cr(VI) on the cellulose- and chitosan-based absorbents through electrostatic interaction (Table 1). Figure 9 shows the Cr(VI) adsorption through electrostatic attraction, hydrogen binding and chelation with amino groups on polyethyleneimine-grafted magnetic cellulose. Electrostatic attraction, ion exchange, chelation, and reduction all work during the treatment of Cr(VI) by clay-based adsorbents (Table 1), while the main driving force is hard to be identified. The hydroxyl, quinoid imine, imine and amino groups facilitate nano-sized metals or metal oxides- and carbon-based materials absorbents to immobilize Cr(VI) by electrostatic interactions and reduction (Table 1). These mechanisms often work together to realize the efficient Cr(VI) removal, and they are hard to be quantified. In spite of this, an in-depth investigation of the mechanism for Cr(VI) removal becomes even more important on designing more robust adsorbents.
Figure 6.
Mechanistic schematic diagram for Cr(VI) removal by polymeric adsorbents.
Figure 7.
Cr2p XPS spectrum of terminal amino hyperbranched polymer modified graphene oxide adsorbents (GO-HBP-NH2-TEPA) after the adsorption of Cr(VI). Reprinted with the permission of Ref. [145]. Copyright 2019 Elsevier.
Figure 8.
Adsorption of Chromium ions on the (a) polypyrrole and (b) polyaniline.
Figure 9.
Mechanistic schematic diagram of Cr(VI) adsorption on polyethyleneimine-grafted magnetic cellulose. Reproduced from Ref. [120].
4. Factors Affecting Cr(VI) Removal
4.1. Solution pH
Solution pH, which affects both the surface characteristics of the adsorbent and the forms of Cr(VI) [146], is a critical factor determining the adsorption process. Generally, the removal of Cr(VI) by polymeric absorbents decreases with the increase of pH [147]. The maximum adsorption mostly occurred at pH values of 2.0–4.0 (Table 1). As shown in Figure 10, the speciation of Cr(VI) shifts from H2CrO4 to HCrO4− and CrO42− as the solution pH increases from 1.0 to higher than 6.0. Meanwhile, the redox potential of Cr(VI) decreases with its deprotonation, making Cr(VI) easier to be reduced to Cr(III) in acidic medium [39]. Kera et al. analyzed the concentrations of Cr(VI) and Cr(III) in solutions during the sorptive removal of Cr(VI) using PPy-PANI/Fe3O4 nanocomposite at the initial concentrations of 2.0–12.0 (Figure 11) [136]. The presence of Cr(III) and the absence of Cr(VI) at initial pH values of 2.0 and 3.0 confirmed the reduction of Cr(VI) to Cr(III) by the PPy-PANI/Fe3O4 nanocomposite (Figure 11). –NH2 and –OH are easy to protonate to –NH3+ and –OH2+, respectively, which facilitate the sportive removal of Cr(VI) anions via electrostatic attraction and hydrogen bonding [148]. The positive charges on adsorbent surfaces increase with the decrease of pH, which is favorable for the adsorption of anionic Cr(VI) species through electrostatic attraction [149]. Sorbents with higher pHpzc carry more positive charges than those of with lower pHpzc. Moreover, OH− may compete with Cr(VI) for the adsorption sites to reduce Cr(VI) removal [150]. To broaden the pH range of Cr(VI) removal, the synthesis of sorbents with high pHpzc could be a direction.
Figure 10.
Chemical speciation of (a) Cr(VI) and (b) Cr(III) at the solution pH of 0–14.0.
Figure 11.
Cr speciation in solutions obtained by IC–ICP–MS chromatograms during the reactions between Cr(VI) and magnetic PPy–PANI/Fe3O4 nanocomposite. Reproduced with the permission from Ref. [136]. Copyright 2017 Elsevier.
4.2. Initial Cr(VI) Concentration
The maximum adsorption capacities of adsorbents increase with the initial concentration of Cr(VI), while the actual Cr(VI) removal efficiencies decreases with its concentration [39]. For example, the adsorption capacity of UiO-66 derived N-doped carbon nanoparticles coated by PANI toward Cr(VI) increased from 99.2 to 306.4 mg/g as the initial Cr(VI) concentration increased from 40 to 60 mg/L, while the removal efficiency of Cr(VI) decreased from 99.2% to 76.6% (Figure 12). Increasing the Cr(VI) concentration could enhance the mass transfer between the liquid and solid phases to maximize the utilization of the active sites on polymers [151]. However, because of the limited available active sites on the absorbent, the percent of Cr(VI) removed could be higher in the system with lower initial Cr(VI) concentration. Therefore, adsorbents, which are suitable for the removal of Cr(VI) at low concentrations needed to be further explored.
Figure 12.
The effects of initial Cr(VI) concentration on the removal efficiency and adsorption capacity of UiO-66 derived N-doped carbon nanoparticles coated by PANI toward Cr(VI). Reproduced with the permission from Ref. [39]. Copyright 2019 Elsevier.
4.3. Dosage of the Adsorbents
There is no doubt that Cr(VI) removal increases with the rise of the adsorbents dosage [65]. A higher dosage of the adsorbents can provide more active sites to react and adsorb Cr(VI) [138]. As shown in Figure 13, as the dose of absorbent increased from 0 to 5 g/L, the residual concentration of Cr(VI) significantly diminished from 271.2 to below 0.05 mg/L. However, increasing the adsorbent dose to a certain extent could also result in the agglomeration to reduce adsorption [138]. Moreover, the high amount of adsorbent used could make the recycling of adsorbents difficult and thus increasing the overall treatment cost. Taken together, the dosage of adsorbent should be optimized to maximize the adsorption of Cr(VI) and to minimize the overall treatment cost.
Figure 13.
The effects of the adsorbent (poly(allylamine hydrochloride) covalently cross-linked amino-modified graphene oxide) dose on Cr(VI) removal. Reprinted with permission from Ref [4]. Copyright 2021 Elsevier.
4.4. Reaction Temperature
The adsorption of Cr(VI) is an endothermic reaction [100]. Increasing the reaction temperature can enhance the adsorption of Cr(VI), which can be explained by the following aspects. Firstly, rising of the temperature can increase the collision probability of Cr(VI) to react with the active sites. Secondly, increasing the temperature may decrease the viscosity of the solution to enhance the diffusion of Cr(VI) [50]. However, the high temperature could also result in the damage to active binding sites, weakening of binding forces, and a high cost of operation [100]. Thus, the adsorption of Cr(VI) typically operates at normal temperature.
4.5. Co-Existing Ions
Cr(VI) coexists with various types of metal ions and anions in wastewater. The selectivity of the polymeric adsorbents is the prerequisite to realize efficient Cr(VI) removal in a complex matrix [73]. Because of the electrostatic repulsion between the protonated adsorbent and cations in acidic solution, cations barely affect the adsorption of Cr(VI) [109]. Meanwhile, H+ could also contend with the cations to minimize their interference on Cr(VI) adsorption [31]. However, the presence of anions (especially at high levels) can compete the adsorption sites to inhibit the Cr(VI) removal [102]. Meanwhile, the electrostatic repulsion between the Cr(VI) anions and the co-existing anions could be the another reason for inhibition [122]. Moreover, the thickness of the electrically diffused double layer between Cr(VI)-oxyanions and absorbents increased with the presence of coexisting anions, which could weaken the electrostatic attraction between Cr(VI) and the sorbent [146]. The inhibition effect increases with the charge carried by the anions [152]. The influence of co-existing ions on Cr(VI) adsorption can be assessed by the separation factor (SF). As shown in Figure 14, the SF was as high as 103 − 104, suggesting the high selectivity of PEI grafted amino-functionalized graphene oxide nanosheets (GONN) toward Cr(VI) in the presence of coexistent cations. SO42− showed a higher influence on the adsorption of Cr(VI) on the GONN than Cl− and NO3− because of the higher affinity of the amino ligands on GONN for SO42− [109]. Grafting and ion-templating are useful methods to increase the selectivity and feasibility of adsorbents for Cr(VI) in multi-ions system [153], and more efforts are needed.
Figure 14.
(a) The separation factor of coexistence cations and removal efficiency of cations in the mixture containing 100 mg/g coexisting ions, (b) The adsorption capacity of PEI grafted amino-functionalized graphene oxide nanosheets toward Cr(VI) with co-existing anions. Reprinted with the permission of Ref. [109]. Copyright 2020 Elsevier.
4.6. Other Factors
Other factors, such as the contents of raw materials and preparation methods, could also influence Cr(VI) removal. Hosseinzadeh and Asl et al. prepared a novel poly(pyrrole)-based magnetic hydrogel nanocomposite using free-radical copolymerization of acrylic acid, pyrrole, and acrylamide monomers with the subsequent in situ synthesis of magnetic Fe3O4 nanoparticles [110]. The removal of Cr(VI) increased with the increase of the acrylic acid and acrylamide monomer concentrations due to the increased number of functional groups and the enhanced swelling capacity [110]. As the concentrations of acrylic acid and acrylamide monomers increased from 0.51 to 2.8 mol/L, the adsorption capacities of Cr(VI) increased from 43 to 122 and from 12 to 88 mg/g, respectively [110]. The presence of Fe3O4 nanoparticles, which increased the number of –OH groups and strengthened the overall porosity of the adsorbents, enhanced Cr(VI) removal [110]. Chitosan-stabilized nanostructured iron oxide (CT-Fe beads) was synthesized by the direct incorporation of FeCl2·4H2O into the chitosan gel. The magnetic iron oxide produced together with chitosan was identified as magnetite (Fe3O4). The removal rates of Cr(VI) by CT-Fe beads with different ratios of Fe(II) are shown in Figure 15. The removal rates by CT beads without Fe(II) and with 0.35, 0.7, and 1.4 g Fe(II) were 24.83%, 39.78%, 70.40%, and 73.58, respectively. The result was due to the metal active sites generated by the complexation of Fe with O and N atoms on the chitosan surface, which facilitated the reduction of Cr(VI). Because of the masking of active groups on the polymers, kaolin had shown adverse effects on Cr(VI) removal induced by polymeric adsorbents [127]. The preparation methods of the absorbents have shown a pronounced effect on Cr(VI) removal. For example, prolonging the polymerization time of PPy-coated sepiolite fiber could promote Cr(VI) removal due to a more complete reaction [26]. PPy synthesized through rapid mixing method generated both of bulk ppy and a homogenous ppy film, which were favorable for Cr(VI) removal, while the conventional chemical oxidation method only generated bulk ppy [28].
Figure 15.
Effect of different ratios of Fe(II) on the removal rate of Cr(VI) by chitosan (CT) beads (CT-Fe 10% w/w for 0.35 g Fe(II); CT-Fe 20% w/w for 0.70 g Fe(II); CT-Fe 40% w/w) for 1.40 g Fe(II)). Reproduced with the permission from Ref. [14]. Copyright 2018 Elsevier.
5. Regeneration of Absorbents
The reusability of the absorbents is an important factor that determines the application of plyometric adsorbents. The stronger the affinity of the adsorbent toward Cr(VI) is, the harder it is for of Cr(VI) to be desorbed. Various reagents, including H2O, 0.1 M thiourea, 0.1 M ethylenediaminetetraacetic acid (EDTA), 0.1 M HCl, and 0.1 M NaOH, were used to desorb Cr(VI) adsorbed on lignin/poly(vinyl alcohol) blend fibers [151]. The maximum desorption efficiency (~60%) was found in 1.0 M NaOH, while those of the others were lower than 20% [151]. Similar results were found for magnetic mesoporous carbon nanospheres, the Cr(VI) removal efficiencies decreased from 100% in the first cycle to 86.4 ± 7.1% in the second cycle and then to 69.7 ± 3.2% in the third cycle using 1.0 M NaOH as the regenerative reagent [154]. The application of HCl was also documented. The Cr(VI) removal efficiencies of PANI coated bacterial cellulose mat (PANi/BC mat) were ~100% in the first two cycles but 82% and 56% for the third and fourth cycles, respectively [56], in which 0.1 M HCl was used as the desorption agent [56]. The decline of Cr(VI) removal in the subsequent cycles could be explained by the partial damage of polymer structure by the strong acid/alkali treatment. Reagents with mild reactivities could be a more preferred choice. The adsorption capacity of hyper crosslinked mesoporous poly(ionic liquid)s (PVIm-6-SCD) toward Cr(VI) remained constant even after five-cycles of reuse [155]. During the process, Cr(VI) was desorbed using KBr via the ion-exchange mechanism [156]. Taken together, the development of mild reagents for desorbing Cr(VI) and the synthesis of polymers with strong chemical stabilities are necessary to promote the reuse of polymeric adsorbents.
6. Conclusions and Perspectives
Polymeric adsorbents, which are easy to assess functional groups, have shown robust performance in removing Cr(VI). Electron donating groups, amine/imine groups, carboxyl, hydroxyl, and phenol, facilitated the sorptive removal of Cr(VI) through reduction. Meanwhile, the presence of carboxyl and hydroxyl groups could enhance Cr(VI) removal through complexation or chelation mechanisms. Enrich in amino and imino groups, PPy- and PANI-based adsorbents are the most widely used polymeric adsorbents for Cr(VI) removal. However, their structural deterioration during the reduction process hindered their industrial application. Cellulose- and chitosan-based absorbents were environmentally friendly, while they were hard to be regenerated. Clay-based adsorbents were in low cost, while their adsorption capacities were need to be further improved. Nano-sized metals/metal oxides based polymeric adsorbents are in the emerging field with little available information on the Cr(VI) removal, thus more researched are needed. Carbon-based absorbents has shown robust performance on Cr(VI) removal, while they were non-selective and has relatively high price. Sorptive removal of Cr(VI) is generally endothermic, and the better performance of these polymeric adsorbents often occurred at higher temperature. The presence of anions and DOM could inhibited the Cr(VI) due to the competitive adsorption, while cations barely affected the process. Despite these progress, the industrial application of these novel materials are hindered by types of factors, such as the low efficiency, the high cost, the potential of second-pollution, and the complex of synthesis method. Following aspects are needed to bear in mind to synthesis more robust polymeric adsorbents and to promote their industrial application.
- (1)
- Emphasize of detoxification
The toxicity of Cr(VI) is far greater than that of Cr(III) [157]. Since the adsorbed Cr(VI) ions could also have the potential to release from the adsorbents, reduction of Cr(VI) to Cr(III) is necessary. A sound strategy for Cr(VI) removal is reduction of Cr(VI) to Cr(III) and then removal of Cr(III) simultaneously to achieve the goal of detoxification and chromium removal. Oxygen-containing, nitrogen functional groups, and other electron-donating groups can act as the effective electron donors to reduce Cr(VI) [139,157]. Thus, the introduction of electron-donating groups to adsorbents could be effective for Cr(VI) detoxification.
- (2)
- Highlights the removal of Cr(VI) at trace levels
Since Cr(VI) is harmful to human beings even in the extremely low concentration (i.e., 50 μg/L) [158], removal of Cr(VI) to satisfy this standard is necessary. The main advantage of adsorption method is capable of removing pollutants at relatively low levels when compared to that of chemical method. However, most of the researches were performed at relatively high levels of Cr(VI) (mg/L) (Table 1). It is well known that, sorptive removal of pollutants at relatively low levels is harder than that of at high levels due to weaker mass transfer. Despite the high removal rate and the maximum adsorption capacity of Cr(VI) being all high enough (Table 1), the residual Cr(VI) could also be higher than 50 μg/L. Thus, the polymeric material design should paid more emphasize on the removal efficiency of Cr(VI) at low concentrations to maximize the advantage of adsorption method.
- (3)
- Development of absorbents for extensive reaction conditions
Works regarding Cr(VI) removal are mostly limited to batch experiments on a laboratory scale (Table 1). Meanwhile, the optimum pH values for most polymeric adsorbents are in the strong acidic conditions, which are hard for industrial application. Moreover, the treatment performances of these polymeric adsorbents were little investigated in real wastewater. Despite several factors are evaluated on Cr(VI) removal, they are far to reflect the realistic conditions of the wastewater. The fundamental consideration of material design is the practical application. Thus, the realistic scenarios of Cr(VI) removal should be more emphasized in the future work, and the materials design should to cope with the complexity of Cr(VI)-containing water matrix.
- (4)
- Emphasizing of cost reduction
The regeneration and reusability of polymeric adsorbents are the two key factors determining the feasibility and sustainability of the adsorbents, which could not only save the treatment costs but also grantee the environmental friendly. Meanwhile, exploring of the natural polymers for Cr(VI) removal is also the cost-saving method. According to the previous report, the application of biomaterials in heavy metal removal as adsorbents declined by 20% of the investment cost, 36% of the operation cost and 28% of the entire treatment cost matched with several conventional technologies [100]. The application of natural raw materials such as clay or polysaccharides can minimize the cost of production of polymeric composites with a high contaminant removal capacity [91]. So the natural and low-cost raw materials for the production of the absorbents are recommended.
Author Contributions
Conceptualization, X.X. and Z.Z.; methodology, X.X.; investigation, X.Y.; writing—original draft preparation, X.Y. and J.L.; writing—review and editing, X.X., L.L. and Z.Z.; supervision, X.X. and Z.Z.; project administration, L.L.; funding acquisition, L.L. and X.X. All authors have read and agreed to the published version of the manuscript.
Funding
This work was supported in parts by the National Key Research and Development Program of China (2022YFD1700101), Natural Science Foundation of China (42077380), Natural Science Foundation of Hunan Province (2021JJ30358), and the Science and Technology Innovation Program of Hunan Province (2021GK4056).
Institutional Review Board Statement
Not applicable.
Data Availability Statement
Data sharing is not applicable.
Conflicts of Interest
The authors declare no conflict of interest.
References
- Owlad, M.; Aroua, M.; Daud, W.; Baroutian, S. Removal of Hexavalent Chromium-Contaminated Water and Wastewater: A Review. Water Air Soil Pollut. 2009, 200, 59–77. [Google Scholar] [CrossRef]
- Bokare, A.; Choi, W. Advanced oxidation process based on the Cr(III)/Cr(VI) redox cycle. Environ. Sci. Technol. 2011, 45, 9332–9338. [Google Scholar] [CrossRef]
- Spellman, C., Jr.; Smyntek, P.; Cravotta, C., 3rd; Tasker, T.; Strosnider, W. Pollutant co-attenuation via in-stream interactions between mine drainage and municipal wastewater. Water Res. 2022, 214, 118173. [Google Scholar] [CrossRef]
- Bao, S.; Yang, W.; Wang, Y.; Yu, Y.; Sun, Y. Highly efficient and ultrafast removal of Cr(VI) in aqueous solution to ppb level by poly(allylamine hydrochloride) covalently cross-linked amino-modified graphene oxide. J. Hazard. Mater. 2021, 409, 124470. [Google Scholar] [CrossRef] [PubMed]
- Alaba, P.; Oladoja, N.; Sani, Y.; Ayodele, O.; Mohammed, I.; Olupinla, S.; Daud, W. Insight into wastewater decontamination using polymeric adsorbents. J. Environ. Chem. Eng. 2018, 6, 1651–1672. [Google Scholar] [CrossRef]
- Behera, A.; Sahu, S.; Pahi, S.; Singh, S.; Mahapatra, B.; Patel, R. Polypyrrole modified zirconium (IV) phosphate nanocomposite: An effective adsorbent for Cr(VI) removal by adsorption-reduction mechanism. Mater. Chem. Phys. 2022, 290, 126540. [Google Scholar] [CrossRef]
- Chigondo, M.; Nyamunda, B.; Maposa, M.; Chigondo, F. Polypyrrole-based adsorbents for Cr(VI) ions remediation from aqueous solution: A review. Water Sci. Technol. 2022, 85, 1600–1619. [Google Scholar] [CrossRef]
- Jiang, Y.; Liu, Z.; Zeng, G.; Liu, Y.; Shao, B.; Li, Z.; Liu, Y.; Zhang, W.; He, Q. Polyaniline-based adsorbents for removal of hexavalent chromium from aqueous solution: A mini review. Environ. Sci. Pollut. Res. 2018, 25, 6158–6174. [Google Scholar] [CrossRef] [PubMed]
- Orooji, Y.; Nezafat, Z.; Nasrollahzadeh, M.; Kamali, T. Polysaccharide-based (nano)materials for Cr(VI) removal. Int. J. Biol. Macromol. 2021, 188, 950–973. [Google Scholar] [CrossRef] [PubMed]
- Vakili, M.; Deng, S.; Li, T.; Wang, W.; Wang, W.; Yu, G. Novel crosslinked chitosan for enhanced adsorption of hexavalent chromium in acidic solution. Chem. Eng. J. 2018, 347, 782–790. [Google Scholar] [CrossRef]
- Dong, L.; Deng, R.; Xiao, H.; Chen, F.; Zhou, Y.; Li, J.; Chen, S.; Yan, B. Hierarchical polydopamine coated cellulose nanocrystal microstructures as efficient nanoadsorbents for removal of Cr (VI) ions. Cellulose 2019, 26, 6401–6414. [Google Scholar] [CrossRef]
- Dong, K.; Liu, Q.; Wei, G.; Hu, T.; Yao, J.; Zhang, X.; Gao, T. Mussel-inspired magnetic adsorbent: Adsorption/reduction treatment for the toxic Cr(VI) from simulated wastewater. J. Appl. Polym. Sci. 2018, 135, 46530. [Google Scholar] [CrossRef]
- Qiu, B.; Xu, C.; Sun, D.; Wang, Q.; Gu, H.; Zhang, X.; Weeks, B.; Hopper, J.; Ho, T.; Guo, Z.; et al. Polyaniline coating with various substrates for hexavalent chromium removal. Appl. Surf. Sci. 2015, 334, 7–14. [Google Scholar] [CrossRef]
- Chagas, P.B.; de Carvalho, L.; Gaetano, A.; Nogueira, F.E.; Correa, A.; Guimaraes, I. Nanostructured oxide stabilized by chitosan: Hybrid composite as an adsorbent for the removal of chromium (VI). J. Environ. Chem. Eng. 2018, 6, 1008–1019. [Google Scholar] [CrossRef]
- Amalraj, A.; Selvi, M.; Rajeswari, A.; Pius, A. Preparation and characterization of aspartic acid doped polypyrrole for the efficient removal of Cr(VI) from aqueous solution. J. Water Process Eng. 2016, 11, 162–173. [Google Scholar] [CrossRef]
- Mei, J.; Zhang, H.; Li, Z.; Ou, H. A novel tetraethylenepentamine crosslinked chitosan oligosaccharide hydrogel for total adsorption of Cr(VI). Carbohydr. Polym. 2019, 224, 115154. [Google Scholar] [CrossRef]
- Goddeti, S.; Maity, A.; Ray, S. Polypyrrole-coated gum ghatti-grafted poly(acrylamide) composite for the selective removal of hexavalent chromium from waste water. Int. J. Biol. Macromol. 2020, 164, 2851–2860. [Google Scholar] [CrossRef]
- Fang, W.; Jiang, X.; Luo, H.; Geng, J. Synthesis of graphene/SiO2@polypyrrole nanocomposites and their application for Cr(VI) removal in aqueous solution. Chemosphere 2018, 197, 594–602. [Google Scholar] [CrossRef]
- Xiang, L.; Niu, C.G.; Tang, N.; Lv, X.X.; Guo, H.; Li, Z.W.; Liu, H.Y.; Lin, L.S.; Yang, Y.Y.; Liang, C. Polypyrrole coated molybdenum disulfide composites as adsorbent for enhanced removal of Cr(VI) in aqueous solutions by adsorption combined with reduction. Chem. Eng. J. 2021, 408, 127281. [Google Scholar] [CrossRef]
- Wani, A.; Khan, A.; Manea, Y.; Salem, M.; Shahadat, M. Selective adsorption and ultrafast fluorescent detection of Cr(VI) in wastewater using neodymium doped polyaniline supported layered double hydroxide nanocomposite. J. Hazard. Mater. 2021, 416, 125754. [Google Scholar] [CrossRef]
- Jiang, X.; An, Q.D.; Xiao, Z.Y.; Zhai, S.R.; Shi, Z. Versatile core/shell-like alginate@polyethylenimine composites for efficient removal of multiple heavy metal ions (Pb2+, Cu2+ CrO42−): Batch and fixed bed studies. Mater. Res. Bull. 2019, 118, 110526. [Google Scholar] [CrossRef]
- Eskandari, E.; Kosari, M.; Farahani, M.; Khiavi, N.; Saeedikhani, M.; Katal, R.; Zarinejad, M. A review on polyaniline-based materials applications in heavy metals removal and catalytic processes. Sep. Purif. Technol. 2020, 231, 115901. [Google Scholar] [CrossRef]
- Hokkanen, S.; Bhatnagar, A.; Sillanpää, M. A review on modification methods to cellulose-based adsorbents to improve adsorption capacity. Water Res. 2016, 91, 156–173. [Google Scholar] [CrossRef] [PubMed]
- Da Silva Alves, D.; Healy, B.; Pinto, L.; Cadaval, T.; Breslin, C. Recent Developments in Chitosan-Based Adsorbents for the Removal of Pollutants from Aqueous Environments. Molecules 2021, 26, 594. [Google Scholar] [CrossRef] [PubMed]
- Wei, C.; German, S.; Basak, S.; Rajeshwar, K. Reduction of Hexavalent Chromium in Aqueous Solutions by Polypyrrole. J. Electrochem. Soc. 1993, 140, L60–L62. [Google Scholar] [CrossRef]
- Zhou, Q.; Huang, J.; Zhang, X.; Gao, Y. Assembling polypyrrole coated sepiolite fiber as efficient particle adsorbent for chromium (VI) removal with the feature of convenient recycling. Appl. Clay Sci. 2018, 166, 307–317. [Google Scholar] [CrossRef]
- Ji, J.; Xiong, H.; Zhu, Z.; Li, L.; Huang, Y.; Yu, X. Fabrication of polypyrrole/chitosan nanocomposite aerogel monolith for removal of Cr(VI). J. Polym. Environ. 2018, 26, 1979–1985. [Google Scholar] [CrossRef]
- Majumdar, S.; Moral, R.; Mahanta, D. Rapid mixing polymerization: A simple method for preparation of free standing polypyrrole film and powder for the removal of anionic pollutants. Colloids Surf. A-Physicochem. Eng. Asp. 2020, 595, 124643. [Google Scholar] [CrossRef]
- Maponya, T.; Ramohlola, K.; Kera, N.; Modibane, K.; Maity, A.; Katata-Seru, L.; Hato, M. Influence of magnetic nanoparticles on modified polypyrrole/m-phenylediamine for adsorption of Cr(VI) from Aqueous solution. Polymers 2020, 12, 679. [Google Scholar] [CrossRef]
- Yang, Y.; Chen, N.; Feng, C.; Li, M.; Gao, Y. Chromium removal using a magnetic corncob biochar/polypyrrole composite by adsorption combined with reduction: Reaction pathway and contribution degree. Colloids Surf. A-Physicochem. Eng. Asp. 2018, 556, 201–209. [Google Scholar] [CrossRef]
- Chen, M.; Guo, Q.; Cui, J.; Lv, W.; Yao, Y. Enhanced sorption and reduction of Cr(VI) by the flowerlike nanocomposites combined with molybdenum disulphide and polypyrrole. Environ. Technol. 2022, 43, 2796–2808. [Google Scholar] [CrossRef] [PubMed]
- Setshedi, K.; Bhaumik, M.; Songwane, S.; Onyango, M.; Maity, A. Exfoliated polypyrrole-organically modified montmorillonite clay nanocomposite as a potential adsorbent for Cr(VI) removal. Chem. Eng. J. 2013, 222, 186–197. [Google Scholar] [CrossRef]
- Shao, Y.; Fan, Z.; Zhong, M.; Xu, W.; He, C.; Zhang, Z. Polypyrrole/bacterial cellulose nanofiber composites for hexavalent chromium removal. Cellulose 2021, 28, 2229–2240. [Google Scholar] [CrossRef]
- Wang, H.; Yuan, X.; Wu, Y.; Chen, X.; Leng, L.; Wang, H.; Li, H.; Zeng, G. Facile synthesis of polypyrrole decorated reduced graphene oxide–Fe3O4 magnetic composites and its application for the Cr(VI) removal. Chem. Eng. J. 2015, 262, 597–606. [Google Scholar] [CrossRef]
- Sun, X.F.; Ma, Y.; Liu, X.W.; Wang, S.G.; Gao, B.Y.; Li, X.M. Sorption and detoxification of chromium(VI) by aerobic granules functionalized with polyethylenimine. Water Res. 2010, 44, 2517–2524. [Google Scholar] [CrossRef] [PubMed]
- Zhang, J.; Yan, X.; Liu, J.; Sun, Y.; Guo, Z.; Wang, L.; Wang, X.; Wang, Z.; Fan, L.; Feng, J.; et al. A strategy to facilitate the sedimentation and bactericidal properties of polypyrrole for fluoride removal from water. Sep. Purif. Technol. 2022, 287, 120619. [Google Scholar] [CrossRef]
- Jiang, Z. Study on Regeneration of Bombyx Mori Waste Silk. Master’s Thesis, Soochow University, Suzhou, China, 2016. [Google Scholar]
- Sun, C.; Xiong, B.; Pan, Y.; Cui, H. Adsorption removal of tannic acid from aqueous solution by polyaniline: Analysis of operating parameters and mechanism. J. Colloid Interface Sci. 2017, 487, 175–181. [Google Scholar] [CrossRef]
- Lai, Y.; Wang, F.; Zhang, Y.; Ou, P.; Wu, P.; Fang, Q.; Chen, Z.; Li, S. UiO-66 derived N-doped carbon nanoparticles coated by PANI for simultaneous adsorption and reduction of hexavalent chromium from waste water. Chem. Eng. J. 2019, 378, 122069. [Google Scholar] [CrossRef]
- Huang, W.-S.; Humphrey, B.; MacDiarmid, A. Polyaniline, a novel conducting polymer. Morphology and chemistry of its oxidation and reduction in aqueous electrolytes. J. Chem. Society. Faraday Trans. 1 Phys. Chem. Condens. Phases 1986, 82, 2385–2400. [Google Scholar] [CrossRef]
- Farrell, S.; Breslin, C. Reduction of Cr(VI) at a Polyaniline Film: Influence of Film Thickness and Oxidation State. Environ. Sci. Technol. 2004, 38, 4671–4676. [Google Scholar] [CrossRef]
- Eisazadeh, H. Removal of chromium from waste water using polyaniline. J. Appl. Polym. Sci. 2007, 104, 1964–1967. [Google Scholar] [CrossRef]
- Hu, Q.; Sun, D.; Ma, Y.; Qiu, B.; Guo, Z. Conductive polyaniline nanorods enhanced methane production from anaerobic wastewater treatment. Polymer 2017, 120, 236–243. [Google Scholar] [CrossRef]
- Singh, N.; Rachna, K. Copper ferrite-Polyaniline nanocomposite and its application for Cr (VI) ion removal from aqueous solution. Environ. Nanotechnol. Monit. Manag. 2020, 14, 100301. [Google Scholar] [CrossRef]
- Samadi, A.; Xie, M.; Li, J.; Shon, H.; Zheng, C.; Zhao, S. Polyaniline-based adsorbents for aqueous pollutants removal: A review. Chem. Eng. J. 2021, 418, 129425. [Google Scholar] [CrossRef]
- Rajasekharan, V.; Stalin, T.; Viswanathan, S.; Manisankar, P. Electrochemical evaluation of anticorrosive performance of organic acid doped polyaniline based coatings. Int. J. Electrochem. Sci. 2013, 8, 11327–11336. [Google Scholar]
- Wang, J.; Zhang, K.; Zhao, L. Sono-assisted synthesis of nanostructured polyaniline for adsorption of aqueous Cr(VI): Effect of protonic acids. Chem. Eng. J. 2014, 239, 123–131. [Google Scholar] [CrossRef]
- Ding, J.; Pu, L.; Wang, Y.; Wu, B.; Yu, A.; Zhang, X.; Pan, B.; Zhang, Q.; Gao, G. Adsorption and reduction of Cr(VI) together with Cr(III) sequestration by polyaniline confined in pores of polystyrene beads. Environ. Sci. Technol. 2018, 52, 12602–12611. [Google Scholar] [CrossRef]
- Karthik, R.; Meenakshi, S. Adsorption study on removal of Cr(VI) ions by polyaniline composite. Desalination Water Treat. 2015, 54, 3083–3093. [Google Scholar] [CrossRef]
- Chang, H.; Meng, Q.; Liu, D.; Wu, Y.; Yang, Z.; Sun, B.; Liu, F.; Liu, Y. Synthesis of hollow spherical polyaniline by using poly(styrene-co-acrylic acid) sphere as the template for high adsorption of Cr(VI). J. Appl. Polym. Sci. 2022, 139, e52822. [Google Scholar] [CrossRef]
- Gong, K.; Guo, S.; Zhao, Y.; Hu, Q.; Liu, H.; Sun, D.; Li, M.; Qiu, B.; Guo, Z. Bacteria cell templated porous polyaniline facilitated detoxification and recovery of hexavalent chromium. J. Mater. Chem. A 2018, 6, 16824–16832. [Google Scholar] [CrossRef]
- Khalkhali, R.; Aliakbar, A.; Masoudi, M. Chromium (VI) removal from aqueous solutions using polyaniline coated on sawdust. J. Polym. Mater. 2005, 22, 75. [Google Scholar]
- Li, T.; Qin, Z.; Shen, Y.; Xu, X.; Liu, N.; Zhang, Y. Polyaniline nanofibers formed by seed polymerization through heat treatment for synergistic enhancement of Cr(VI) removal. Mater. Lett. 2019, 252, 130–133. [Google Scholar] [CrossRef]
- Han, X.; Liu, Y.; Xiong, L.; Huang, H.; Zhang, Q.; Li, L.; Yu, X.; Wei, L. Facile Assembly of Polyaniline/Graphene Oxide Composite Hydrogels as Adsorbent for Cr(VI) Removal. Polym. Compos. 2019, 40, E1777–E1785. [Google Scholar] [CrossRef]
- Parthiban, E.; Kalaivasan, N.; Sudarsan, S. Dual Responsive (pH and Magnetic) Nanocomposites Based on Fe3O4@Polyaniline/Itaconic Acid: Synthesis, Characterization and Removal of Toxic Hexavalent Chromium from Tannery Wastewater. J. Inorg. Organomet. Polym. Mater. 2020, 30, 4677–4690. [Google Scholar] [CrossRef]
- Jahan, K.; Kumar, N.; Verma, V. Removal of hexavalent chromium from potable drinking using a polyaniline-coated bacterial cellulose mat. Environ. Sci.-Water Res. Technol. 2018, 4, 1589–1603. [Google Scholar] [CrossRef]
- Eleryan, A.; El Nemr, A.; Idris, A.; Alghamdi, M.; El-Zahhar, A.; Said, T.; Sahlabji, T. Feasible and eco-friendly removal of hexavalent chromium toxicant from aqueous solutions using chemically modified sugarcane bagasse cellulose. Toxin Rev. 2021, 40, 835–846. [Google Scholar] [CrossRef]
- Wu, J.H.; He, C.Y. Advances in Cellulose-Based Sorbents for Extraction of Pollutants in Environmental Samples. Chromatographia 2019, 82, 1151–1169. [Google Scholar] [CrossRef]
- Jain, P.; De, A.; Singh, N. Cellulose-Based Materials for Water Purification. ChemistrySelect 2022, 7, e202200121. [Google Scholar] [CrossRef]
- Zhao, Y.; Li, J. Excellent chemical and material cellulose from tunicates: Diversity in cellulose production yield and chemical and morphological structures from different tunicate species. Cellulose 2014, 21, 3427–3441. [Google Scholar] [CrossRef]
- Habibi, Y.; Lucia, L.; Rojas, O. Cellulose nanocrystals: Chemistry, self-assembly, and applications. Chem. Rev. 2010, 110, 3479–3500. [Google Scholar] [CrossRef]
- Hosseini, H.; Mousavi, S. Bacterial cellulose/polyaniline nanocomposite aerogels as novel bioadsorbents for removal of hexavalent chromium: Experimental and simulation study. J. Clean. Prod. 2021, 278, 123817. [Google Scholar] [CrossRef]
- Zhang, S.; Zhang, S.; Li, W.; Pei, Y.; Liu, B.; Yang, H. PEI-functionized cellulose foam for the visual recognition and removal of Cr(VI). Mater. Lett. 2021, 293, 129685. [Google Scholar] [CrossRef]
- Park, S.H.; Shin, S.; Park, C.; Jeon, S.; Gwon, J.; Lee, S.Y.; Kim, S.J.; Kim, H.J.; Lee, J.H. Poly(acryloyl hydrazide)-grafted cellulose nanocrystal adsorbents with an excellent Cr(VI) adsorption capacity. J. Hazard. Mater. 2020, 394, 122512. [Google Scholar] [CrossRef]
- Yu, Y.; An, L.; Bae, J.; Heo, J.; Chen, J.; Jeong, H.; Kim, Y. A novel biosorbent from hardwood cellulose nanofibrils grafted with Poly(m-Aminobenzene Sulfonate) for adsorption of Cr(VI). Front. Bioeng. Biotechnol. 2021, 9, 682070. [Google Scholar] [CrossRef]
- Xia, L.; Huang, Z.; Zhong, L.; Xie, F.; Tang, C.; Tsui, C. Bagasse cellulose grafted with an amino-terminated hyperbranched polymer for the removal of Cr(VI) from aqueous solution. Polymers 2018, 10, 931. [Google Scholar] [CrossRef]
- Kumar, N.; Kardam, A.; Jain, V.; Nagpal, S. A rapid, reusable polyaniline-impregnated nanocellulose composite-based system for enhanced removal of chromium and cleaning of waste water. Sep. Sci. Technol. 2020, 55, 1436–1448. [Google Scholar] [CrossRef]
- Sun, X.; Yang, L.; Li, Q.; Zhao, J.; Li, X.; Wang, X.; Liu, H. Amino-functionalized magnetic cellulose nanocomposite as adsorbent for removal of Cr(VI): Synthesis and adsorption studies. Chem. Eng. J. 2014, 241, 175–183. [Google Scholar] [CrossRef]
- Liang, X.; Liang, B.; Wei, J.; Zhong, S.; Zhang, R.; Yin, Y.; Zhang, Y.; Hu, H.; Huang, Z. A cellulose-based adsorbent with pendant groups of quaternary ammonium and amino for enhanced capture of aqueous Cr (VI). Int. J. Biol. Macromol. 2020, 148, 802–810. [Google Scholar] [CrossRef]
- Pei, R.; Li, Q.; Liu, J.; Yang, G.; Wu, Q.; Wu, M.; Tong, S.; Lv, Y.; Ye, X.; Liu, Y. Adsorption/reduction behaviors of modified cellulose aerogels for the removal of low content of Cr (VI). J. Polym. Environ. 2020, 28, 2199–2210. [Google Scholar] [CrossRef]
- Kyzas, G.; Bikiaris, D. Recent modifications of chitosan for adsorption applications: A critical and systematic review. Mar. Drugs 2015, 13, 312–337. [Google Scholar] [CrossRef]
- Kumar, M.R. A review of chitin and chitosan applications. React. Funct. Polym. 2000, 46, 1–27. [Google Scholar] [CrossRef]
- Upadhyay, U.; Sreedhar, I.; Singh, S.; Patel, C.; Anitha, K. Recent advances in heavy metal removal by chitosan based adsorbents. Carbohydr. Polym. 2021, 251, 117000. [Google Scholar] [CrossRef]
- Ravi, T.; Jabasingh, S. Preparation and characterization of higher degree-deacetylated chitosan-coated magnetic adsorbent for the removal of chromium(VI) from its aqueous mixture. J. Appl. Polym. Sci. 2018, 135, 45878. [Google Scholar] [CrossRef]
- Guibal, E. Interactions of metal ions with chitosan-based sorbents: A review. Sep. Purif. Technol. 2004, 38, 43–74. [Google Scholar] [CrossRef]
- Francis, A.; Zaini, M.; Muhammad, I.; Abdulsalam, S.; El-Nafaty, U. Physicochemical modification of chitosan adsorbent: A perspective. Biomass Convers. Biorefinery 2021, 1–19. [Google Scholar] [CrossRef]
- Jesús, M.S.; Hernán, H.M.; Rubén, R.N. An overview of the chemical modifications of chitosan and their advantages. Green Mater. 2018, 6, 131–142. [Google Scholar] [CrossRef]
- Samuel, M.; Shah, S.; Subramaniyan, V.; Qureshi, T.; Bhattacharya, J.; Singh, N. Preparation of graphene oxide/chitosan/ferrite nanocomposite for Chromium(VI) removal from aqueous solution. Int. J. Biol. Macromol. 2018, 119, 540–547. [Google Scholar] [CrossRef]
- Samuel, M.; Bhattacharya, J.; Raj, S.; Santhanam, N.; Singh, H.; Singh, N. Efficient removal of Chromium(VI) from aqueous solution using chitosan grafted graphene oxide (CS-GO) nanocomposite. Int. J. Biol. Macromol. 2019, 121, 285–292. [Google Scholar] [CrossRef]
- De Andrade Neto, J.; Pereira, G.; de Araujo Morandim-Giannetti, A. Lignocellulosic derivative and chitosan bioadsorbent: Synthesis, characterization, and performance in chromium adsorption. J. Appl. Polym. Sci. 2020, 137, 49208. [Google Scholar] [CrossRef]
- Anush, S.; Vishalakshi, B.; Chandan, H.; Geetha, B. Heterocyclic modification of chitosan for the adsorption of Cu (II) and Cr (VI) ions. Sep. Sci. Technol. 2018, 53, 1979–1990. [Google Scholar] [CrossRef]
- Eliodorio, K.; Pereira, G.; de Araujo Morandim-Giannetti, A. Functionalized chitosan with butylammonium ionic liquids for removal of Cr(VI) from aqueous solution. J. Appl. Polym. Sci. 2021, 138, 49912. [Google Scholar] [CrossRef]
- Liu, P. Polymer modified clay minerals: A review. Appl. Clay Sci. 2007, 38, 64–76. [Google Scholar] [CrossRef]
- Zhang, T.; Wang, W.; Zhao, Y.; Bai, H.; Wen, T.; Kang, S.; Song, G.; Song, S.; Komarneni, S. Removal of heavy metals and dyes by clay-based adsorbents: From natural clays to 1D and 2D nano-composites. Chem. Eng. J. 2021, 420, 127574. [Google Scholar] [CrossRef]
- Buruga, K.; Song, H.; Shang, J.; Bolan, N.; Jagannathan, T.; Kim, K.H. A review on functional polymer-clay based nanocomposite membranes for treatment of water. J. Hazard. Mater. 2019, 379, 120584. [Google Scholar] [CrossRef]
- Wisniewska, M.; Fijalkowska, G.; Karpisz, K.S. The mechanism of anionic polyacrylamide adsorption on the montmorillonite surface in the presence of Cr(VI) ions. Chemosphere 2018, 211, 524–534. [Google Scholar] [CrossRef]
- Khan, M.; Chowdhury, M.; Rahman, M. Biobased amphoteric aerogel derived from amine-modified clay-enriched chitosan/alginate for adsorption of organic dyes and chromium (VI) ions from aqueous solution. Mater. Today Sustain. 2021, 13, 100077. [Google Scholar] [CrossRef]
- Xu, Y.; Chen, J.; Chen, R.; Yu, P.; Guo, S.; Wang, X. Adsorption and reduction of chromium(VI) from aqueous solution using polypyrrole/calcium rectorite composite adsorbent. Water Res. 2019, 160, 148–157. [Google Scholar] [CrossRef] [PubMed]
- Zhou, T.; Li, C.; Jin, H.; Lian, Y.; Han, W. Effective Adsorption/reduction of Cr(VI) oxyanion by Halloysite@Polyaniline hybrid nanotubes. ACS Appl. Mater. Interfaces 2017, 9, 6030–6043. [Google Scholar] [CrossRef]
- Ballav, N.; Choi, H.; Mishra, S.; Maity, A. Polypyrrole-coated halloysite nanotube clay nanocomposite: Synthesis, characterization and Cr(VI) adsorption behaviour. Appl. Clay Sci. 2014, 102, 60–70. [Google Scholar] [CrossRef]
- Mukhopadhyay, R.; Bhaduri, D.; Sarkar, B.; Rusmin, R.; Hou, D.; Khanam, R.; Sarkar, S.; Biswas, J.; Vithanage, M.; Bhatnagar, A.; et al. Clay-polymer nanocomposites: Progress and challenges for use in sustainable water treatment. J. Hazard. Mater. 2020, 383, 121125. [Google Scholar] [CrossRef]
- Huang, J.; Zhao, D.; Zhao, Y.; Tu, Y.; Wang, R. Polyvinylpyrrolidone supported nZVI/Ni bimetallic nanoparticles for enhanced high-performance removal of aqueous Cr(VI). Chem. Phys. Lett. 2022, 791. [Google Scholar] [CrossRef]
- Mondal, A.; Arora, M.; Dubey, B.; Mumford, K. Comparative assessment of the characteristics and Cr(VI) removal activity of the bimetallic Fe/Cu nanoparticles pre- and post-coated with carboxymethyl cellulose. Chem. Eng. J. 2022, 444. [Google Scholar] [CrossRef]
- Yu, Q.; Guo, J.; Muhammad, Y.; Li, Q.; Lu, Z.; Yun, J.; Liang, Y. Mechanisms of enhanced hexavalent chromium removal from groundwater by sodium carboxymethyl cellulose stabilized zerovalent iron nanoparticles. J. Environ. Manag. 2020, 276, 111245. [Google Scholar] [CrossRef] [PubMed]
- Fan, H.; Ren, H.; Ma, X.; Zhou, S.; Huang, J.; Jiao, W.; Qi, G.; Liu, Y. High-gravity continuous preparation of chitosan-stabilized nanoscale zero-valent iron towards Cr(VI) removal. Chem. Eng. J. 2020, 390, 124639. [Google Scholar] [CrossRef]
- Sahu, S.; Sahu, U.; Patel, R. Modified thorium oxide polyaniline core–shell nanocomposite and its application for the efficient removal of Cr(VI). J. Chem. Eng. Data 2019, 64, 1294–1304. [Google Scholar] [CrossRef]
- Gebru, K.; Das, C. Removal of chromium (VI) ions from aqueous solutions using amine-impregnated TiO2 nanoparticles modified cellulose acetate membranes. Chemosphere 2018, 191, 673–684. [Google Scholar] [CrossRef]
- Bao, C.; Chen, M.; Jin, X.; Hu, D.; Huang, Q. Efficient and stable photocatalytic reduction of aqueous hexavalent chromium ions by polyaniline surface-hybridized ZnO nanosheets. J. Mol. Liq. 2019, 279, 133–145. [Google Scholar] [CrossRef]
- Naicker, C.; Nombona, N.; van Zyl, W. Fabrication of novel magnetic chitosan/graphene-oxide/metal oxide nanocomposite beads for Cr(VI) adsorption. Chem. Pap. 2020, 74, 529–541. [Google Scholar] [CrossRef]
- Sarojini, G.; Babu, S.; Rajamohan, N.; Kumar, P.; Rajasimman, M. Surface modified polymer-magnetic-algae nanocomposite for the removal of chromium-equilibrium and mechanism studies. Environ. Res. 2021, 201, 111626. [Google Scholar] [CrossRef]
- Xu, X.; Yu, Q.; Lv, Z.; Song, J.; He, M. Synthesis of high-surface-area rod-like alumina materials with enhanced Cr(VI) removal efficiency. Microporous Mesoporous Mater. 2018, 262, 140–147. [Google Scholar] [CrossRef]
- Zhang, W.; Long, A.; Ou, J.; Zeng, X.; Wang, J.; Wang, B.; Wang, H.; He, Q.; Tang, M.; Zhou, L.; et al. Enhanced removal of hexavalent chromium from aqueous solution by functional polymer-wrapped gamma-alumina composite adsorbent. Environ. Technol. Innov. 2021, 24, 101954. [Google Scholar] [CrossRef]
- Hsini, A.; Naciri, Y.; Laabd, M.; Bouziani, A.; Navío, J.; Puga, F.; Boukherroub, R.; Lakhmiri, R.; Albourine, A. Development of a novel PANI@WO3 hybrid composite and its application as a promising adsorbent for Cr(VI) ions removal. J. Environ. Chem. Eng. 2021, 9, 105885. [Google Scholar] [CrossRef]
- Liu, Y.-J.; Liu, S.; Li, Z.W.; Ma, M.G.; Wang, B. A microwave synthesized mesoporous carbon sponge as an efficient adsorbent for Cr(VI) removal. RSC Adv. 2018, 8, 7892–7898. [Google Scholar] [CrossRef] [PubMed]
- Zeng, G.; Hong, C.; Zhang, Y.; You, H.; Shi, W.; Du, M.; Ai, N.; Chen, B. Adsorptive removal of Cr(VI) by sargassum horneri-based activated carbon coated with chitosan. Water Air Soil Pollut. 2020, 231, 77. [Google Scholar] [CrossRef]
- Chinnathambi, A.; Alahmadi, T. Facile synthesis of Fe3O4 anchored polyaniline intercalated graphene oxide as an effective adsorbent for the removal of hexavalent chromium and phosphate ions. Chemosphere 2021, 272, 129851. [Google Scholar] [CrossRef]
- Lyu, H.; Tang, J.; Huang, Y.; Gai, L.; Zeng, E.; Liber, K.; Gong, Y. Removal of hexavalent chromium from aqueous solutions by a novel biochar supported nanoscale iron sulfide composite. Chem. Eng. J. 2017, 322, 516–524. [Google Scholar] [CrossRef]
- Mortazavian, S.; Saber, A.; Hong, J.; Bae, J.H.; Chun, D.; Wong, N.; Gerrity, D.; Batista, J.; Kim, K.; Moon, J. Synthesis, characterization, and kinetic study of activated carbon modified by polysulfide rubber coating for aqueous hexavalent chromium removal. J. Ind. Eng. Chem. 2019, 69, 196–210. [Google Scholar] [CrossRef]
- Bao, S.; Yang, W.; Wang, Y.; Yu, Y.; Sun, Y.; Li, K. PEI grafted amino-functionalized graphene oxide nanosheets for ultrafast and high selectivity removal of Cr(VI) from aqueous solutions by adsorption combined with reduction: Behaviors and mechanisms. Chem. Eng. J. 2020, 399, 125762. [Google Scholar] [CrossRef]
- Hosseinzadeh, H.; Asl, M. Enhanced removal of Cr(VI) from aqueous solutions using Poly(Pyrrole)-g-Poly(Acrylic Acid-co-Acrylamide)/Fe3O4 magnetic hydrogel nanocomposite adsorbent. Chem. Biochem. Eng. Q. 2019, 33, 19–33. [Google Scholar] [CrossRef]
- Zhan, Y.; Wan, X.; He, S.; He, Y. Sulfonated poly(arylene ether nitrile)/polypyrrole core/shell nanofibrous mat: An efficient absorbent for the removal of hexavalent chromium from aqueous solution. J. Chem. Technol. Biotechnol. 2018, 93, 1432–1442. [Google Scholar] [CrossRef]
- Zhan, Y.; He, S.; Wan, X.; Zhang, J.; Liu, B.; Wang, J.; Li, Z. Easy-handling bamboo-like polypyrrole nanofibrous mats with high adsorption capacity for hexavalent chromium removal. J. Colloid Interface Sci. 2018, 529, 385–395. [Google Scholar] [CrossRef]
- Liu, X.; Liao, Y.; Gao, H. Enhancement adsorption of hexavalent chromium from aqueous solution on polypyrrole using ethylamine group. J. Dispersion Sci. Technol. 2018, 39, 1394–1402. [Google Scholar] [CrossRef]
- Olad, A.; Bastanian, M.; Aber, S.; Zebhi, H. Ion-crosslinked carboxymethyl cellulose/polyaniline bio-conducting interpenetrated polymer network: Preparation, characterization and application for an efficient removal of Cr(VI) from aqueous solution. Iran. Polym. J. 2021, 30, 105–119. [Google Scholar] [CrossRef]
- Seo, J.; Choi, C.; Bae, J.; Jeong, H.; Lee, S.H.; Kim, Y. Preparation of a lignin/polyaniline composite and its application in Cr(VI) removal from aqueous solutions. Bioresources 2019, 14, 9169–9182. [Google Scholar] [CrossRef]
- Kumar, R.; Ansari, M.; Alshahrie, A.; Darwesh, R.; Parveen, N.; Yadav, S.; Barakat, M.; Cho, M. Adsorption modeling and mechanistic insight of hazardous chromium on para toluene sulfonic acid immobilized-polyaniline@CNTs nanocomposites. J. Saudi Chem. Soc. 2019, 23, 188–197. [Google Scholar] [CrossRef]
- Bhaumik, M.; Gupta, V.; Maity, A. Synergetic enhancement of Cr(VI) removal from aqueous solutions using polyaniline@Ni(OH)2 nanocomposites adsorbent. J. Environ. Chem. Eng. 2018, 6, 2514–2527. [Google Scholar] [CrossRef]
- Hsini, A.; Benafqir, M.; Naciri, Y.; Laabd, M.; Bouziani, A.; Ez-zahery, M.; Lakhmiri, R.; Alem, N.; Albourine, A. Synthesis of an arginine-functionalized polyaniline@FeOOH composite with high removal performance of hexavalent chromium ions from water: Adsorption behavior, regeneration and process capability studies. Colloids Surf. Physicochem. Eng. Asp. 2021, 617, 126274. [Google Scholar] [CrossRef]
- Song, L.; Liu, F.; Zhu, C.; Li, A. Facile one-step fabrication of carboxymethyl cellulose based hydrogel for highly efficient removal of Cr(VI) under mild acidic condition. Chem. Eng. J. 2019, 369, 641–651. [Google Scholar] [CrossRef]
- Li, Y.; Zhu, H.; Zhang, C.; Cheng, M.; He, H. PEI-grafted magnetic cellulose for Cr (VI) removal from aqueous solution. Cellulose 2018, 25, 4757–4769. [Google Scholar] [CrossRef]
- Xue, F.; He, H.; Zhu, H.; Huang, H.; Wu, Q.; Wang, S. Structural design of a cellulose-based solid amine adsorbent for the complete removal and colorimetric detection of Cr (VI). Langmuir 2019, 35, 12636–12646. [Google Scholar] [CrossRef]
- Zhang, H.; Peng, L.; Chen, A.; Shang, C.; Lei, M.; He, K.; Luo, S.; Shao, J.; Zeng, Q. Chitosan-stabilized FeS magnetic composites for chromium removal: Characterization, performance, mechanism, and stability. Carbohydr. Polym. 2019, 214, 276–285. [Google Scholar] [CrossRef]
- Du, X.; Kishima, C.; Zhang, H.; Miyamoto, N.; Kano, N. Removal of Chromium(VI) by Chitosan Beads Modified with Sodium Dodecyl Sulfate (SDS). Appl. Sci. 2020, 10, 4745. [Google Scholar] [CrossRef]
- Zheng, C.; Zheng, H.; Sun, Y.; Xu, B.; Wang, Y.; Zheng, X.; Wang, Y. Simultaneous adsorption and reduction of hexavalent chromium on the poly (4-vinyl pyridine) decorated magnetic chitosan biopolymer in aqueous solution. Bioresour. Technol. 2019, 293, 122038. [Google Scholar] [CrossRef]
- De Andrade Neto, J.; Pereira, G.; Morandim-Giannetti, A. Chitosan and corn stover derivative bioadsorbent: Characterization and application in hexavalent chromium adsorption processes. Cellulose 2020, 27, 6317–6331. [Google Scholar] [CrossRef]
- Sethy, T.; Sahoo, P. Highly toxic Cr (VI) adsorption by (chitosan-g-PMMA)/silica bionanocomposite prepared via emulsifier-free emulsion polymerisation. Int. J. Biol. Macromol. 2019, 122, 1184–1190. [Google Scholar] [CrossRef] [PubMed]
- Zhang, Y.; Chen, S.; Feng, X.; Yu, J.; Jiang, X. Self-assembly of sponge-like kaolin/chitosan/reduced graphene oxide composite hydrogels for adsorption of Cr(VI) and AYR. Environ. Sci. Pollut. Res. 2019, 26, 28898–28908. [Google Scholar] [CrossRef] [PubMed]
- Zhang, Y.; Lan, G.; Liu, Y.; Zhang, T.; Qiu, H.; Li, F.; Yan, J.; Lu, Y. Enhanced adsorption of Cr (VI) from aqueous solution by zirconium impregnated chitosan microspheres: Mechanism and equilibrium. Sep. Sci. Technol. 2021, 56, 2532–2545. [Google Scholar] [CrossRef]
- Wang, L.; Muhammad, H.; Laipan, M.; Fan, X.; Guo, J.; Li, Y. Enhanced removal of Cr(VI) and Mo(VI) from polluted water using L-cysteine doped polypyrrole/bentonite composite. Appl. Clay Sci. 2022, 217, 106387. [Google Scholar] [CrossRef]
- Mdlalose, L.; Balogun, M.; Setshedi, K.; Chimuka, L.; Chetty, A. Performance evaluation of polypyrrole-montmorillonite clay composite as a re-usable adsorbent for Cr(VI) remediation. Polym. Bull. 2021, 78, 4685–4697. [Google Scholar] [CrossRef]
- Zou, X.Y.; Xiao, F.; Liu, S.; Cao, X.; Li, L.; Chen, M.; Dong, L.; Lyu, X.; Gai, Y. Preparation and application of CPC/Keggin-Al-30 modified montmorillonite composite for Cr (VI) removal. J. Water Process Eng. 2020, 37, 101348. [Google Scholar] [CrossRef]
- Abdullah, N.; Yusof, N.; Shah, M.A.; Ikhsan, S.; Ng, Z.C.; Maji, S.; Lau, W.; Jaafar, J.; Ismail, A.; Ariga, K. Hydrous ferric oxide nanoparticles hosted porous polyethersulfone adsorptive membrane: Chromium (VI) adsorptive studies and its applicability for water/wastewater treatment. Environ. Sci. Pollut. Res. 2019, 26, 20386–20399. [Google Scholar] [CrossRef] [PubMed]
- Elumalai, P.; Shanmugavel, S. Performance of copper oxide nanoparticles treated polyaniline-itaconic acid based magnetic sensitive polymeric nanocomposites for the removal of chromium ion from industrial wastewater. Polym.-Plast. Technol. Mater. 2021, 60, 2042–2056. [Google Scholar] [CrossRef]
- Debnath, M.; Rahman, M.; Minami, H.; Rahman, M.; Alam, M.; Sharafat, M.; Hossain, M.; Ahmad, H. Single step modification of micrometer-sized polystyrene particles by electromagnetic polyaniline and sorption of chromium(VI) metal ions from water. J. Appl. Polym. Sci. 2019, 136, 47524. [Google Scholar] [CrossRef]
- Long, F.L.; Niu, C.G.; Tang, N.; Guo, H.; Li, Z.W.; Yang, Y.Y.; Lin, L.S. Highly efficient removal of hexavalent chromium from aqueous solution by calcined Mg/Al-layered double hydroxides/polyaniline composites. Chem. Eng. J. 2021, 404, 127084. [Google Scholar] [CrossRef]
- Kera, N.; Bhaumik, M.; Pillay, K.; Ray, S.; Maity, A. Selective removal of toxic Cr(VI) from aqueous solution by adsorption combined with reduction at a magnetic nanocomposite surface. J. Colloid Interface Sci. 2017, 503, 214–228. [Google Scholar] [CrossRef]
- Geng, J.; Liang, Q.; Yu, W.; Chen, W.; Lu, G.; Luo, H. Enhanced removal of Cr(VI) from aqueous solutions by polymer-mediated nitrogen-rich reduced graphene oxide. J. Hazard. Mater. 2022, 436, 129184. [Google Scholar] [CrossRef] [PubMed]
- Shoaib, A.; El Nemr, A.; El Sikaily, A.; Masoud, M.; Ramadan, M. Amidoxime modification of polyacrylonitrile/Pterocladia capillacea-derived activated carbon composite for adsorption of toxic chromium from aquatic environment. Carbon Lett. 2022, 32, 513–535. [Google Scholar] [CrossRef]
- Dubey, R.; Bajpai, J.; Bajpai, A. Green synthesis of graphene sand composite (GSC) as novel adsorbent for efficient removal of Cr (VI) ions from aqueous solution. J. Water Process Eng. 2015, 5, 83–94. [Google Scholar] [CrossRef]
- Tang, W.; Wu, Y.; Xu, A.; Gao, T.; Wei, Y.; Zhou, G. Hybrid porous hypercrosslinking polyanilines: Facile Friedel-Crafts preparation, CO2 capture and Cr(VI) removal properties. J. Porous Mater. 2019, 26, 1495–1505. [Google Scholar] [CrossRef]
- Li, Y.; Wen, J.; Xue, Z.; Yin, X.; Yuan, L.; Yang, C. Removal of Cr(VI) by polyaniline embedded polyvinyl alcohol/sodium alginate beads-Extension from water treatment to soil remediation. J. Hazard. Mater. 2022, 426, 127809. [Google Scholar] [CrossRef]
- Deng, S.; Bai, R. Removal of trivalent and hexavalent chromium with aminated polyacrylonitrile fibers: Performance and mechanisms. Water Res. 2004, 38, 2424–2432. [Google Scholar] [CrossRef] [PubMed]
- Wang, Z.; Wang, Y.; Cao, S.; Liu, S.; Chen, Z.; Chen, J.; Chen, Y.; Fu, J. Fabrication of core@shell structural Fe-Fe2O3@PHCP nanochains with high saturation magnetization and abundant amino groups for hexavalent chromium adsorption and reduction. J. Hazard. Mater. 2020, 384, 121483. [Google Scholar] [CrossRef]
- Li, Y.; Gao, Y.; Zhang, Q.; Wang, R.; Li, C.; Mao, J.; Guo, L.; Wang, F.; Zhang, Z.; Wang, L. Flexible and free-standing pristine polypyrrole membranes with a nanotube structure for repeatable Cr(VI) ion removal. Sep. Purif. Technol. 2021, 258, 117981. [Google Scholar] [CrossRef]
- Kong, Q.; Wei, J.; Hu, Y.; Wei, C. Fabrication of terminal amino hyperbranched polymer modified graphene oxide and its prominent adsorption performance towards Cr(VI). J. Hazard. Mater. 2019, 363, 161–169. [Google Scholar] [CrossRef] [PubMed]
- Zimmermann, A.; Mecabô, A.; Fagundes, T.; Rodrigues, C. Adsorption of Cr(VI) using Fe-crosslinked chitosan complex (Ch-Fe). J. Hazard. Mater. 2010, 179, 192–196. [Google Scholar] [CrossRef]
- Zhao, G.; Huang, X.; Tang, Z.; Huang, Q.; Niu, F.; Wang, X. Polymer-based nanocomposites for heavy metal ions removal from aqueous solution: A review. Polym. Chem. 2018, 9, 3562–3582. [Google Scholar] [CrossRef]
- Wang, X.L.; Guo, D.M.; An, Q.D.; Xiao, Z.Y.; Zhai, S.R. High-efficacy adsorption of Cr(VI) and anionic dyes onto β-cyclodextrin/chitosan/hexamethylenetetramine aerogel beads with task-specific, integrated components. Int. J. Biol. Macromol. 2019, 128, 268–278. [Google Scholar] [CrossRef]
- Acharya, R.; Lenka, A.; Parida, K. Magnetite modified amino group based polymer nanocomposites towards efficient adsorptive detoxification of aqueous Cr (VI): A review. J. Mol. Liq. 2021, 337, 116487. [Google Scholar] [CrossRef]
- Zhang, L.; Niu, W.; Sun, J.; Zhou, Q. Efficient removal of Cr(VI) from water by the uniform fiber ball loaded with polypyrrole: Static adsorption, dynamic adsorption and mechanism studies. Chemosphere 2020, 248, 126102. [Google Scholar] [CrossRef]
- Kwak, H.; Woo, H.; Kim, E.; Lee, K. Water-resistant lignin/poly(vinyl alcohol) blend fibers for removal of hexavalent chromium. Fibers Polym. 2018, 19, 1175–1183. [Google Scholar] [CrossRef]
- Ghadikolaei, N.; Kowsari, E.; Balou, S.; Moradi, A.; Taromi, F. Preparation of porous biomass-derived hydrothermal carbon modified with terminal amino hyperbranched polymer for prominent Cr(VI) removal from water. Bioresour. Technol. 2019, 288, 121545. [Google Scholar] [CrossRef] [PubMed]
- Luo, Z.; Xu, J.; Zhu, D.; Wang, D.; Xu, J.; Jiang, H.; Geng, W.; Wei, W.; Lian, Z. Ion-imprinted polypropylene fibers fabricated by the plasma-mediated grafting strategy for efficient and selective adsorption of Cr(VI). Polymers 2019, 11, 1508. [Google Scholar] [CrossRef] [PubMed]
- Wang, G.; Gao, G.; Yang, S.; Wang, Z.; Jin, P.; Wei, J. Magnetic mesoporous carbon nanospheres from renewable plant phenol for efficient hexavalent chromium removal. Microporous Mesoporous Mater. 2021, 310, 110623. [Google Scholar] [CrossRef]
- Xie, Y.; Lin, J.; Liang, J.; Li, M.; Fu, Y.; Wang, H.; Tu, S.; Li, J. Hypercrosslinked mesoporous poly(ionic liquid)s with high density of ion pairs: Efficient adsorbents for Cr(VI) removal via ion-exchange. Chem. Eng. J. 2019, 378, 122107. [Google Scholar] [CrossRef]
- Costa, M. Potential hazards of hexavalent chromate in our drinking water. Toxicol. Appl. Pharmacol. 2003, 188, 1–5. [Google Scholar] [CrossRef]
- Rodríguez, F.; Gutiérrez, S.; Ibanez, J.; Bravo, J.; Batina, N. The efficiency of toxic chromate reduction by a conducting polymer (polypyrrole): Influence of electropolymerization conditions. Environ. Sci. Technol. 2000, 34, 2018–2023. [Google Scholar] [CrossRef]
- Gorzin, F.; Abadi, M.B.R. Adsorption of Cr(VI) from aqueous solution by adsorbent prepared from paper mill sludge: Kinetics and thermodynamics studies. Adsorpt. Sci. Technol. 2017, 36, 149–169. [Google Scholar] [CrossRef]
Disclaimer/Publisher’s Note: The statements, opinions and data contained in all publications are solely those of the individual author(s) and contributor(s) and not of MDPI and/or the editor(s). MDPI and/or the editor(s) disclaim responsibility for any injury to people or property resulting from any ideas, methods, instructions or products referred to in the content. |
© 2023 by the authors. Licensee MDPI, Basel, Switzerland. This article is an open access article distributed under the terms and conditions of the Creative Commons Attribution (CC BY) license (https://creativecommons.org/licenses/by/4.0/).














