Investigating the Effects of Cement and Polymer Grouting on the Shear Behavior of Rock Joints
Abstract
:1. Introduction
2. Experimental Program
2.1. Joint Fabrication Procedure
2.2. Grouting
2.3. Direct Shear Testing
3. Results and Discussions
3.1. Effects of Grouting on Shear Strength of Rock Joints
3.1.1. Shear Strength vs. Normal Stress Curves
3.1.2. Normal Stiffness and Shear Stiffness of the Grouted Rock Joints
3.1.3. Effect of Roughness
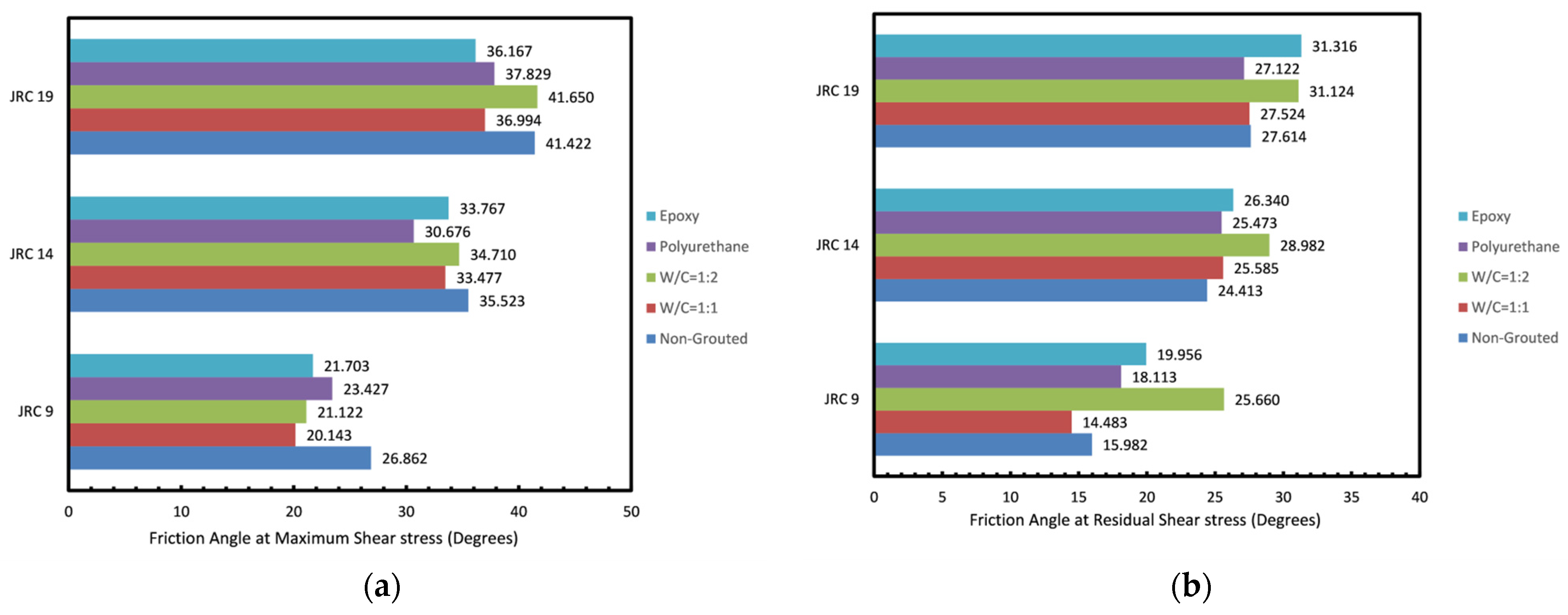
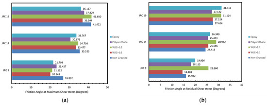
3.1.4. Effect of Grout Type and Mixture Ratio
3.1.5. Effect of Joint Size
4. Conclusions
Author Contributions
Funding
Data Availability Statement
Conflicts of Interest
References
- Harrison, D.M. The Grouting Handbook: A Step-by-Step Guide for Foundation Design and Machinery Installation; Elsevier: Amsterdam, The Netherlands, 2013. [Google Scholar]
- Paulatto, E.; Carstensen, S. Rock Grouting In Copenhagen Limestone—The Cityringen Experience. Procedia Eng. 2017, 191, 719–728. [Google Scholar] [CrossRef]
- Zolfaghari, A.; Bidar, A.S.; Javan, M.M.; Haftani, M.; Mehinrad, A. Evaluation of rock mass improvement due to cement grouting by Q-system at Bakhtiary dam site. Int. J. Rock Mech. Min. Sci. 2015, 74, 38–44. [Google Scholar] [CrossRef]
- Li, Y.; Li, D.; Wu, C. A new shear strength criterion of three-dimensional rock joints. Rock Mech. Rock Eng. 2020, 53, 1477–1483. [Google Scholar] [CrossRef]
- Wang, G.; Zhang, Y.; Jiang, Y.; Liu, P.; Guo, Y.; Liu, J.; Ma, M.; Wang, K.; Wang, S. Shear behaviour and acoustic emission characteristics of bolted rock joints with different roughnesses. Rock Mech. Rock Eng. 2018, 51, 1885–1906. [Google Scholar] [CrossRef]
- Abolfazli, M.; Fahimifar, A. An investigation on the correlation between the joint roughness coefficient (JRC) and joint roughness parameters. Constr. Build. Mater. 2020, 259, 120415. [Google Scholar] [CrossRef]
- Tebeta, R.; Fattahi, A.; Ahmed, N. Experimental and numerical study on HDPE/SWCNT nanocomposite elastic properties considering the processing techniques effect. Microsyst. Technol. 2020, 26, 2423–2441. [Google Scholar] [CrossRef]
- Le, H.; Sun, S.; Wei, J. Influence of types of grouting materials on compressive strength and crack behavior of rocklike specimens with single grout-infilled flaw under axial loads. J. Mater. Civ. Eng. 2019, 31, 06018022. [Google Scholar] [CrossRef]
- Teymen, A. Effect of mineral admixture types on the grout strength of fully-grouted rockbolts. Constr. Build. Mater. 2017, 145, 376–382. [Google Scholar] [CrossRef]
- Anagnostopoulos, C.; Papaliangas, T.; Manolopoulou, S.; Dimopoulos, T. Physical and mechanical properties of chemically grouted sand. Tunn. Undergr. Space Technol. 2011, 26, 718–724. [Google Scholar] [CrossRef]
- Barton, N. Review of a new shear-strength criterion for rock joints. Eng. Geol. 1973, 7, 287–332. [Google Scholar] [CrossRef]
- Erol, S.; François, B. Efficiency of various grouting materials for borehole heat exchangers. Appl. Therm. Eng. 2014, 70, 788–799. [Google Scholar] [CrossRef]
- Blázquez, C.S.; Martín, A.F.; Nieto, I.M.; García, P.C.; Pérez, L.S.S.; González-Aguilera, D. Analysis and study of different grouting materials in vertical geothermal closed-loop systems. Renew. Energy 2017, 114, 1189–1200. [Google Scholar] [CrossRef]
- Azadi, M.R.; Taghichian, A.; Taheri, A. Optimization of cement-based grouts using chemical additives. J. Rock Mech. Geotech. Eng. 2017, 9, 623–637. [Google Scholar] [CrossRef]
- Zhong, Z.; Deng, R.; Zhang, J.; Hu, X. Fracture properties of jointed rock infilled with mortar under uniaxial compression. Eng. Fract. Mech. 2020, 228, 106822. [Google Scholar] [CrossRef]
- Wu, X.; Jiang, Y.; Gong, B.; Guan, Z.; Deng, T. Shear performance of rock joint reinforced by fully encapsulated rock bolt under cyclic loading condition. Rock Mech. Rock Eng. 2019, 52, 2681–2690. [Google Scholar] [CrossRef]
- Lu, Y.; Wang, L.; Li, Z.; Sun, H. Experimental study on the shear behavior of regular sandstone joints filled with cement grout. Rock Mech. Rock Eng. 2017, 50, 1321–1336. [Google Scholar] [CrossRef]
- Safaei, B.; Davodian, E.; Fattahi, A.; Asmael, M. Calcium carbonate nanoparticles effects on cement plast properties. Microsyst. Technol. 2021, 27, 3059–3076. [Google Scholar] [CrossRef]
- Issa, C.A.; Debs, P. Experimental study of epoxy repairing of cracks in concrete. Constr. Build. Mater. 2007, 21, 157–163. [Google Scholar] [CrossRef]
- Kim, H.-M.; Lee, J.-W.; Yazdani, M.; Tohidi, E.; Nejati, H.R.; Park, E.-S. Coupled viscous fluid flow and joint deformation analysis for grout injection in a rock joint. Rock Mech. Rock Eng. 2018, 51, 627–638. [Google Scholar] [CrossRef]
- Jin, L.; Sui, W.; Xiong, J. Experimental Investigation on Chemical Grouting in a Permeated Fracture Replica with Different Roughness. Appl. Sci. 2019, 9, 2762. [Google Scholar] [CrossRef] [Green Version]
- Ashrafi, H.; Bazli, M.; Najafabadi, E.P.; Oskouei, A.V. The effect of mechanical and thermal properties of FRP bars on their tensile performance under elevated temperatures. Constr. Build. Mater. 2017, 157, 1001–1010. [Google Scholar] [CrossRef]
- Bazli, M.; Ashrafi, H.; Oskouei, A.V. Experiments and probabilistic models of bond strength between GFRP bar and different types of concrete under aggressive environments. Constr. Build. Mater. 2017, 148, 429–443. [Google Scholar] [CrossRef]
- Ashrafi, H.; Bazli, M.; Oskouei, A.V. Enhancement of bond characteristics of ribbed-surface GFRP bars with concrete by using carbon fiber mat anchorage. Constr. Build. Mater. 2017, 134, 507–519. [Google Scholar] [CrossRef]
- Bazli, M.; Li, Y.-L.; Zhao, X.-L.; Raman, R.S.; Bai, Y.; Al-Saadi, S.; Haque, A. Durability of seawater and sea sand concrete filled filament wound FRP tubes under seawater environments. Compos. Part B Eng. 2020, 202, 108409. [Google Scholar] [CrossRef]
- Bazli, M.; Zhao, X.-L.; Raman, R.S.; Bai, Y.; Al-Saadi, S. Bond performance between FRP tubes and seawater sea sand concrete after exposure to seawater condition. Constr. Build. Mater. 2020, 265, 120342. [Google Scholar] [CrossRef]
- Abolfazli, M.; Fahimifar, A. The effects of rock joint characteristics and normal stress level on the stiffness of rock joints. Arab. J. Geosci. 2020, 13, 984. [Google Scholar] [CrossRef]
- Ridley, A. Assessing the deformation of geomaterials through field measurements. Geomech. Energy Environ. 2021, 27, 100196. [Google Scholar] [CrossRef]
- Faramarzi, L.; Rasti, A.; Abtahi, S.M. An experimental study of the effect of cement and chemical grouting on the improvement of the mechanical and hydraulic properties of alluvial formations. Constr. Build. Mater. 2016, 126, 32–43. [Google Scholar] [CrossRef]
- Salimian, M.; Baghbanan, A.; Hashemolhosseini, H.; Dehghanipoodeh, M.; Norouzi, S. Effect of grouting on shear behavior of rock joint. Int. J. Rock Mech. Min. Sci. 2017, 98, 159–166. [Google Scholar] [CrossRef]
- Bandis, S.; Lumsden, A.; Barton, N. Fundamentals of rock joint deformation. Int. J. Rock Mech. Min. Sci. Geomech. Abstr. 1983, 20, 249–268. [Google Scholar] [CrossRef]
- Asadizadeh, M.; Hossaini, M.F.; Moosavi, M.; Masoumi, H.; Ranjith, P. Mechanical characterisation of jointed rock-like material with non-persistent rough joints subjected to uniaxial compression. Eng. Geol. 2019, 260, 105224. [Google Scholar] [CrossRef]
- Jaeger, J.C.; Cook, N.G.; Zimmerman, R. Fundamentals of Rock Mechanics; John Wiley & Sons: Hoboken, NJ, USA, 2009. [Google Scholar]
- Bahaaddini, M.; Hagan, P.; Mitra, R.; Hebblewhite, B. Scale effect on the shear behaviour of rock joints based on a numerical study. Eng. Geol. 2014, 181, 212–223. [Google Scholar] [CrossRef]
- Usefzadeh, A.; Yousefzadeh, H.; Salari-Rad, H.; Sharifzadeh, M. Empirical and mathematical formulation of the shear behavior of rock joints. Eng. Geol. 2013, 164, 243–252. [Google Scholar] [CrossRef]
- Ge, Y.; Xie, Z.; Tang, H.; Chen, H.; Lin, Z.; Du, B. Determination of shear failure regions of rock joints based on point clouds and image segmentation. Eng. Geol. 2019, 260, 105250. [Google Scholar] [CrossRef]
- Li, Y.; Zhang, Y. Quantitative estimation of joint roughness coefficient using statistical parameters. Int. J. Rock Mech. Min. Sci. 2015, 100, 27–35. [Google Scholar] [CrossRef] [Green Version]
- Yang, Z.; Lo, S.; Di, C. Reassessing the joint roughness coefficient (JRC) estimation using Z 2. Rock Mech. Rock Eng. 2001, 34, 243–251. [Google Scholar] [CrossRef]
- Barton, N. A relationship between joint roughness and joint shear strength. In Proceedings of the Rock Fracture-Proc, International Symposium on Rock Mechanics, Nancy, France, 4–6 October 1971; pp. 1–8. [Google Scholar]
- Le, H.; Sun, S.; Kulatilake, P.H.S.W.; Wei, J. Effect of grout in-filling, flaw thickness and inclination angle on strength and failure pattern of rock-like specimens with single flaw. Arab. J. Geosci. 2019, 12, 670. [Google Scholar] [CrossRef]
- Yang, T.; Liu, H.; Tang, C. Scale effect in macroscopic permeability of jointed rock mass using a coupled stress–damage–flow method. Eng. Geol. 2017, 228, 121–136. [Google Scholar] [CrossRef]
- Zdravković, L.; Potts, D.M.; Taborda, D.M. Integrating laboratory and field testing into advanced geotechnical design. Geomech. Energy Environ. 2021, 27, 100216. [Google Scholar] [CrossRef]
- Barton, N.; Bandis, S. Technical Note: Some Effects of Scale on the Shear Strength of Joints. Int. J. Rock Mech. Min. Sci. 1980, 17, 69–73. [Google Scholar] [CrossRef]
- Barton, N.; Bandis, S. Effects of block size on the shear behavior of jointed rock. In Proceedings of the 23rd US Symposium on Rock Mechanics (USRMS), Berkeley, CA, USA, 25–27 August 1982. [Google Scholar]














| Density (kg/m3) | W/P * Ratio | Uniaxial Compressive Strength (N/mm2) | Elastic Modulus (N/mm2) | Setting Time (Mins) | Expansion Ratio (%) | |
|---|---|---|---|---|---|---|
| Dental plaster | 2630 | 0.25 | 48.6 | 29,400 | 15 | 0.05–0.25 |
| Grout Type | “w/c” or “A/B *” Ratio | Density (kg/m3) | Tensile Strength (N/mm2) | Internal Friction Angle (Degrees) | Cohesion (N/mm2) | Elastic Modulus (N/mm2) | Viscosity (at 30°-mPa·s) |
|---|---|---|---|---|---|---|---|
| Cement | 1:1 | 1492 | 2.4 | 38.76 | 4.23 | 17,600 | 580 |
| Cement | 1:2 | 1750 | 2.7 | 53.24 | 7.49 | 18,500 | 730 |
| Epoxy | 2:1 | 1100 | 37 | 13.66 | 25.73 | 1800 | 220 |
| Polyurethane | - | 1110 | 3 | 11.49 | 8.12 | 1630 | 4000 |
Publisher’s Note: MDPI stays neutral with regard to jurisdictional claims in published maps and institutional affiliations. |
© 2022 by the authors. Licensee MDPI, Basel, Switzerland. This article is an open access article distributed under the terms and conditions of the Creative Commons Attribution (CC BY) license (https://creativecommons.org/licenses/by/4.0/).
Share and Cite
Abolfazli, M.; Bazli, M.; Heydari, H.; Fahimifar, A. Investigating the Effects of Cement and Polymer Grouting on the Shear Behavior of Rock Joints. Polymers 2022, 14, 1229. https://doi.org/10.3390/polym14061229
Abolfazli M, Bazli M, Heydari H, Fahimifar A. Investigating the Effects of Cement and Polymer Grouting on the Shear Behavior of Rock Joints. Polymers. 2022; 14(6):1229. https://doi.org/10.3390/polym14061229
Chicago/Turabian StyleAbolfazli, Milad, Milad Bazli, Hossein Heydari, and Ahmad Fahimifar. 2022. "Investigating the Effects of Cement and Polymer Grouting on the Shear Behavior of Rock Joints" Polymers 14, no. 6: 1229. https://doi.org/10.3390/polym14061229
APA StyleAbolfazli, M., Bazli, M., Heydari, H., & Fahimifar, A. (2022). Investigating the Effects of Cement and Polymer Grouting on the Shear Behavior of Rock Joints. Polymers, 14(6), 1229. https://doi.org/10.3390/polym14061229

