Synthesis of New S-Triazine Bishydrazino and Bishydrazido-Based Polymers and Their Application in Flame-Retardant Polypropylene Composites
Abstract
:1. Introduction
2. Materials and Methods
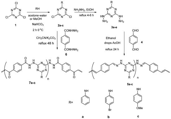
2.1. Synthesis of 2,4-Bishydrazino-6-Substituted S-Triazine Derivatives, 3a–c
2.2. Synthesis of Polymer-Based S-Triazine Bishydrazino Derivatives, 5a–c
2.3. Synthesis of Polymer-Based S-Triazine Bishydrazido Derivatives, 7a–c
2.4. UL-94 Test for Flame Retardant of PP Composites
3. Results
3.1. Synthesis of Polymers
3.2. Characterization of Polymers 5a–c and 7a–c
3.2.1. Solubility
3.2.2. FT-IR Spectrum Analysis
3.2.3. X-ray Diffraction (XRD) Analysis
3.2.4. Scanning Electron Microscope (SEM)
3.2.5. Thermogravimetric Analysis (TGA)
3.2.6. Differential Scanning Calorimetry (DSC)
3.2.7. Flammability of Neat PP and Its Composites UL-94
4. Conclusions
Supplementary Materials
Author Contributions
Funding
Institutional Review Board Statement
Informed Consent Statement
Data Availability Statement
Acknowledgments
Conflicts of Interest
References
- Zhang, F.; Wang, Y.; Jin, Y.; Zhang, J. Simulated Effects of Physical Parameters on Heat Transfer of Intumescent Fire-Retardant Polypropylene during Burning. J. Macromol. Sci. Part B Phys. 2011, 50, 1185–1195. [Google Scholar] [CrossRef]
- Shao, Z.-B.; Deng, C.; Tan, Y.; Chen, M.-J.; Chen, L.; Wang, Y.-Z. Flame retardation of polypropylene via a novel intumescent flame retardant: Ethylenediamine-modified ammonium polyphosphate. Polym. Degrad. Stab. 2014, 106, 88–96. [Google Scholar] [CrossRef]
- Röder, H.; Vogl, O. 17th international Herman F. Mark Symposium: Polypropylene—A material of the future. Prog. Polym. Sci. 1999, 24, 1205–1215. [Google Scholar] [CrossRef] [Green Version]
- Wu, W.; Zhao, W.; Gong, X.; Sun, Q.; Cao, X.; Su, Y.; Yu, B.; Li, R.K.; Vellaisamy, R.A. Surface decoration of Halloysite nanotubes with POSS for fire-safe thermoplastic polyurethane nanocomposites. J. Mater. Sci. Technol. 2022, 101, 107–117. [Google Scholar] [CrossRef]
- Wu, W.; He, H.; Liu, T.; Wei, R.; Cao, X.; Sun, Q.; Venkatesh, S.; Yuen, K.K.R.; Roy, V.A.; Li, R.K. Synergetic enhancement on flame retardancy by melamine phosphate modified lignin in rice husk ash filled P34HB biocomposites. Compos. Sci. Technol. 2018, 168, 246–254. [Google Scholar] [CrossRef]
- Hu, X.-P.; Li, W.-Y.; Wang, Y.-Z. Synthesis and characterization of a novel nitrogen-containing flame retardant. J. Appl. Polym. Sci. 2004, 94, 1556–1561. [Google Scholar] [CrossRef]
- Wang, W.; Wen, P.; Zhan, J.; Hong, N.; Cai, W.; Gui, Z.; Hu, Y. Synthesis of a novel charring agent containing pentaerythritol and triazine structure and its intumescent flame retardant performance for polypropylene. Polym. Degrad. Stab. 2017, 144, 454–463. [Google Scholar] [CrossRef]
- Li, B.; Xu, M. Effect of a novel charring–foaming agent on flame retardancy and thermal degradation of intumescent flame retardant polypropylene. Polym. Degrad. Stab. 2006, 91, 1380–1386. [Google Scholar] [CrossRef]
- Rothon, R.; Hornsby, P. Flame retardant effects of magnesium hydroxide. Polym. Degrad. Stab. 1996, 54, 383–385. [Google Scholar] [CrossRef]
- Zhou, J.; Wang, J.; Tao, Y.; Fang, L.; Sun, J.; Fang, Q. New Triazine-Based Polymers with Low Dielectric Constants and High Thermostability Derived from Biorenewable Anethole and Thermocrosslinkable Benzocyclobutene. ACS Sustain. Chem. Eng. 2018, 6, 5620–5626. [Google Scholar] [CrossRef]
- Sagar, A.D.; Salunkhe, M.M.; Wadgaonkar, P.P.; Sarawade, B.D.; Mahajan, S.S. Synthesis and Characterization of Aromatic Polyamides Containing s-Triazine Rings in the Main Chain. J. Polym. Sci. A Polym. Chem. 1997, 35, 1077–1085. [Google Scholar] [CrossRef]
- Blotny, G. Recent Applications of 2,4,6-Trichloro-1,3,5-triazine and Its Derivatives in Organic Synthesis. ChemInform 2006, 37. [Google Scholar] [CrossRef]
- Xie, M.; Wei, W.; Jiang, Z.; Xu, Y.; Xie, J. Carbon nitride nanowires/nanofibers: A novel template-free synthesis from a cyanuric chloride–melamine precursor towards enhanced adsorption and visible-light photocatalytic performance. Ceram. Int. 2016, 42, 4158–4170. [Google Scholar] [CrossRef]
- Lee, D.-Y.; Chang, G.-D. Quantitative liquid chromatography–electrospray ionization-mass spectrometry analysis of amine-containing metabolites derivatized with cyanuric chloride and methylamine isotopologues. J. Chromatogr. A 2015, 1388, 60–68. [Google Scholar] [CrossRef]
- Karakaya, N.O.; Uysal, S. The synthesis and characterization of s-Triazine polymer complexes containing epoxy groups. J. Mol. Struct. 2020, 1203, 127370. [Google Scholar] [CrossRef]
- Sharma, A.; Sheyi, R.; Kumar, A.; El-Faham, A.; De La Torre, B.G.; Albericio, F. Investigating Triorthogonal Chemoselectivity. Effect of Azide Substitution on the Triazine Core. Org. Lett. 2019, 21, 7888–7892. [Google Scholar] [CrossRef]
- Sheyi, R.; Sharma, A.; El-Faham, A.; De La Torre, B.G.; Albericio, F. Phenol as a Modulator in the Chemical Reactivity of 2,4,6-Trichloro-1,3,5-triazine: Rules of the Game II. Aust. J. Chem. 2020, 73, 352–356. [Google Scholar] [CrossRef]
- Grate, J.W.; Mo, K.; Daily, M.D. Triazine-Based Sequence-Defined Polymers with Side-Chain Diversity and Backbone–Backbone Interaction Motifs. Angew. Chem. 2016, 128, 3993–3998. [Google Scholar] [CrossRef]
- Wu, Q.; Guo, J.; Fei, B.; Li, X.; Sun, J.; Gu, X.; Li, H.; Zhang, S. Synthesis of a novel polyhydroxy triazine-based charring agent and its effects on improving the flame retardancy of polypropylene with ammonium polyphosphate and zinc borate. Polym. Degrad. Stab. 2020, 175, 109123. [Google Scholar] [CrossRef]
- Zhou, J.; Wang, J.; Jin, K.; Sun, J.; Fang, Q. s-Triazine-based functional monomers with thermocrosslinkable propargyl units: Synthesis and conversion to the heat-resistant polymers. Polymer 2016, 102, 301–307. [Google Scholar] [CrossRef]
- Wen, P.; Wang, X.; Wang, B.; Yuan, B.; Zhou, K.; Song, L.; Hu, Y.; Yuen, K.K.R. One-pot synthesis of a novel s-triazine-based hyperbranched charring foaming agent and its enhancement on flame retardancy and water resistance of polypropylene. Polym. Degrad. Stab. 2014, 110, 165–174. [Google Scholar] [CrossRef]
- Qi, H.; Liu, S.; Chen, X.; Shen, C.; Gao, S. The flame retardant and thermal performances of polypropylene with a novel intumescent flame retardant. J. Appl. Polym. Sci. 2020, 137, 49047. [Google Scholar] [CrossRef]
- He, Y.; Liu, Q.; Liu, F.; Huang, C.; Peng, C.; Yang, Q.; Wang, H.; Hu, J.; Liu, H. Porous organic polymer bifunctionalized with triazine and thiophene groups as a novel adsorbent for removing Cu (II). Microporous Mesoporous Mater. 2016, 233, 10–15. [Google Scholar] [CrossRef]
- Gomes, R.; Bhaumik, A. A new triazine functionalized luminescent covalent organic framework for nitroaromatic sensing and CO2 storage. RSC Adv. 2016, 6, 28047–28054. [Google Scholar] [CrossRef]
- Wu, M.-X.; Yang, Y.-W. Applications of covalent organic frameworks (COFs): From gas storage and separation to drug delivery. Chin. Chem. Lett. 2017, 28, 1135–1143. [Google Scholar] [CrossRef]
- Liu, A.; Zhang, J.; Lv, X. Novel hydrazine-bridged covalent triazine polymer for CO2 capture and catalytic conversion. Chin. J. Catal. 2018, 39, 1320–1328. [Google Scholar] [CrossRef]
- Yu, C.-H.; Huang, C.-H.; Tan, C.-S. A Review of CO2 Capture by Absorption and Adsorption. Aerosol Air Qual. Res. 2012, 12, 745–769. [Google Scholar] [CrossRef] [Green Version]
- Puthiaraj, P.; Lee, Y.-R.; Zhang, S.; Ahn, W.-S. Triazine-based covalent organic polymers: Design, synthesis and applications in heterogeneous catalysis. J. Mater. Chem. A 2016, 4, 16288–16311. [Google Scholar] [CrossRef]
- Zhang, Q.; He, C.; Yin, P.; Shreeve, J.M. Insensitive Nitrogen-Rich Materials Incorporating the Nitroguanidyl Functionality. Chem.—Asian J. 2014, 9, 212–217. [Google Scholar] [CrossRef]
- El-Faham, A.; Osman, S.M.; Al-Lohedan, H.A.; El-Mahdy, G.A. Hydrazino-methoxy-1,3,5-triazine Derivatives’ Excellent Corrosion Organic Inhibitors of Steel in Acidic Chloride Solution. Molecules 2016, 21, 714. [Google Scholar] [CrossRef] [Green Version]
- El-Mahdy, G.A.; Al-Rasheed, H.H.; Al Alshaikh, M.; Al-Lohedan, H.A.; El-Faham, A. 2,4-Dihydrazino-6-Morpholino-1,3,5-Triaizne (DHMT) and 2,4-Dihydrazino-6-Piperidino-1,3,5-Triaizne (DHPT) as Promising Corrosion Inhibitors of Steel in Acidic Media. Int. J. Electrochem. Sci. 2016, 5459–5472. [Google Scholar] [CrossRef]
- Gamez, P.; Reedijk, J. 1,3,5-Triazine-Based Synthons in Supramolecular Chemistry. Eur. J. Inorg. Chem. 2006, 2006, 29–42. [Google Scholar] [CrossRef]
- Sharma, A.; El-Faham, A.; de la Torre, B.G.; Albericio, F. Exploring the Orthogonal Chemoselectivity of 2,4,6-Trichloro-1,3,5-Triazine (TCT) as a Trifunctional Linker with Different Nucleophiles: Rules of the Game. Front. Chem. 2018, 6, 516. [Google Scholar] [CrossRef] [PubMed] [Green Version]
- Wen, P.; Feng, X.; Kan, Y.; Hu, Y.; Yuen, R.K. Synthesis of a novel triazine-based polymeric flame retardant and its application in polypropylene. Polym. Degrad. Stab. 2016, 134, 202–210. [Google Scholar] [CrossRef]
- Xu, L.; Tan, X.; Xu, R.; Xie, J.; Lei, C. Influence of functionalized molybdenum disulfide (MoS 2 ) with triazine derivatives on the thermal stability and flame retardancy of intumescent Poly(lactic acid) system. Polym. Compos. 2019, 40, 2244–2257. [Google Scholar] [CrossRef]
- Tang, W.; Qian, L.; Chen, Y.; Qiu, Y.; Xu, B. Intumescent flame retardant behavior of charring agents with different aggregation of piperazine/triazine groups in polypropylene. Polym. Degrad. Stab. 2019, 169, 108982. [Google Scholar] [CrossRef]
- Soliman, S.M.; El-Faham, A.; Albering, J.H. Synthesis, X-ray crystal structure and DFT studies of two octahedral cobalt(II) complexes with N,N,N-tridentate triazine-type ligand. J. Co-ord. Chem. 2017, 70, 2261–2279. [Google Scholar] [CrossRef]
- Demeshko, S.; Dechert, S.; Meyer, F. Anion-π Interactions in a Carousel Copper(II)-Triazine Complex. J. Am. Chem. Soc. 2004, 126, 4508–4509. [Google Scholar] [CrossRef]
- Zerkowski, J.A.; Seto, C.T.; Whitesides, G.M. Solid-state structures of rosette and crinkled tape motifs derived from the cyanuric acid melamine lattice. J. Am. Chem. Soc. 1992, 114, 5473–5475. [Google Scholar] [CrossRef]
- Ramírez, J.; Stadler, A.-M.; Brelot, L.; Lehn, J.-M. Coordinative, conformational and motional behaviour of triazine-based ligand strands on binding of Pb(II) cations. Tetrahedron 2008, 64, 8402–8410. [Google Scholar] [CrossRef]
- Vilaivan, T.; Saesaengseerung, N.; Jarprung, D.; Kamchonwongpaisan, S.; Sirawaraporn, W.; Yuthavong, Y. Synthesis of Solution-Phase Combinatorial Library of 4,6-Diamino-1,2-dihydro-1,3,5-triazine and Identification of New Leads Against A16V+S108T Mutant Dihydrofolate Reductase of Plasmodium falciparum. Bioorganic Med. Chem. 2002, 11, 217–224. [Google Scholar] [CrossRef]
- Feng, C.; Zhang, Y.; Liu, S.; Chi, Z.; Xu, J. Synthesis of novel triazine charring agent and its effect in intumescent flame-retardant polypropylene. J. Appl. Polym. Sci. 2012, 123, 3208–3216. [Google Scholar] [CrossRef]
- Osman, S.M.; Khattab, S.; Aly, E.-S.A.; Kenawy, E.-R.; El-Faham, A. 1,3,5-Triazine-based polymer: Synthesis, characterization and application for immobilization of silver nanoparticles. J. Polym. Res. 2017, 24, 231. [Google Scholar] [CrossRef]
- Al-Rasheed, H.H.; Sholkamy, E.; Al Alshaikh, M.; Siddiqui, M.R.H.; Al-Obaidi, A.S.; El-Faham, A. Synthesis, Characterization, and Antimicrobial Studies of Novel Series of 2,4-Bis(hydrazino)-6-substituted-1,3,5-triazine and Their Schiff Base Derivatives. J. Chem. 2018, 2018, 1–13. [Google Scholar] [CrossRef] [Green Version]
- Al-Rasheed, H.H.; Mohammady, S.Z.; Dahlous, K.; Siddiqui, M.R.H.; El-Faham, A. Synthesis, characterization, thermal stability and kinetics of thermal degradation of novel polymers based-s-triazine Schiff base. J. Polym. Res. 2020, 27, 1–11. [Google Scholar] [CrossRef]
- Gopi, S.; Kathiresan, M. 1,4-Phenylenediamine based covalent triazine framework as an electro catalyst. Polymer 2017, 109, 315–320. [Google Scholar] [CrossRef]
- Alborzi, A.; Zahmatkesh, S.; Yazdanpanah, A. l-Lysine-derived optically active poly(hydrazide-imide)s: Synthesis, characterization and their application in removal of heavy metal ions. Polym. Bull. 2013, 70, 3359–3372. [Google Scholar] [CrossRef]
- Liu, Y.-L.; Chiu, Y.-C.; Chen, T.-Y. Phosphorus-containing polyaryloxydiphenylsilanes with high flame retardance arising from a phosphorus-silicon synergistic effect. Polym. Int. 2003, 52, 1256–1261. [Google Scholar] [CrossRef]
- Van Krevelen, D. Some basic aspects of flame resistance of polymeric materials. Polymer 1975, 16, 615–620. [Google Scholar] [CrossRef]
- Yang, R.; Ma, B.; Zhao, H.; Li, J. Preparation, Thermal Degradation, and Fire Behaviors of Intumescent Flame Retardant Polypropylene with a Charring Agent Containing Pentaerythritol and Triazine. Ind. Eng. Chem. Res. 2016, 55, 5298–5305. [Google Scholar] [CrossRef]
- Wang, Y.; Xu, M.-J.; Li, B. Synthesis of N-methyl triazine-ethylenediamine copolymer charring foaming agent and its enhancement on flame retardancy and water resistance for polypropylene composites. Polym. Degrad. Stab. 2016, 131, 20–29. [Google Scholar] [CrossRef]
- Li, B.; Zhan, Z.; Zhang, H.; Sun, C. Flame Retardancy and Thermal Performance of Polypropylene Treated With the Intumescent Flame Retardant, Piperazine Spirocyclic Phosphoramidate. J. Vinyl Addit. Technol. 2014, 20, 10–15. [Google Scholar] [CrossRef]
- Wen, P.; Wang, D.; Liu, J.; Zhan, J.; Hu, Y.; Yuen, K.K.R. Organically modified montmorillonite as a synergist for intumescent flame retardant against the flammable polypropylene. Polym. Adv. Technol. 2017, 28, 679–685. [Google Scholar] [CrossRef]
- Xu, Z.-Z.; Huang, J.-Q.; Chen, M.-J.; Tan, Y.; Wang, Y.-Z. Flame retardant mechanism of an efficient flame-retardant polymeric synergist with ammonium polyphosphate for polypropylene. Polym. Degrad. Stab. 2013, 98, 2011–2020. [Google Scholar] [CrossRef]
- Aldalbahi, A.; Alotaibi, B.; El-Faham, A. Synthesis, Characterization of sym-2,4,6-trisubstituted-s-Triazine Derivatives and Their Effects on Flame Retardancy of Polypropylene Composites. Processes 2020, 8, 581. [Google Scholar] [CrossRef]











| Compd. | FT-IR (cm−1) |
|---|---|
| 5a | 3320 (NH), 1600, 1490 (C=C), 1550 (C=N), 1270(C-N) |
| 5b | 3330 (NH), 1600, 1490 (C=C), 1550 (C=N), 1270 (C-N) |
| 5c | 3330 (NH), 1600, 1490 (C=C), 1550 (C=N), 1270 (C-N) |
| 7a | 3330 (NH), 1620 (C=O), 1550 (C=N), 1470 (C=C), 1270 (C-N) |
| 7b | 3330 (NH), 1630 (C=O), 1550 (C=N), 1490 (C=C), 1260 (C-N) |
| 7c | 3330 (NH), 1620 (C=O), 1550 (C=N), 1490 (C=C), 1250 (C-N) |
| Polymer | Calculated (%) | Found (%) |
|---|---|---|
| 5a | C, 68.34; N, 26.56; H, 5.10 | C, 66.12; N, 25.01; H, 4.67 |
| 5b | C, 54.70; N, 21.26; H, 3.83 | C, 56.89; N, 22.92; H, 4.95 |
| 5c | C, 65.88; N, 24.26; H, 5.25 | C, 63.28; N, 22.86; H, 5.94 |
| 7a | C, 66.21; N, 27.25; H, 6.54 | C, 64.80; N, 25.90; H, 7.09 |
| 7b | C, 46.17; N, 25.34; H, 3.19 | C, 45.20; N, 26.04; H, 3.72 |
| 7c | C, 54.96; N, 28.48; H, 4.36 | C, 56.46; N, 30.03; H, 4.96 |
| Sample ID | Main Degradation Step (°C) | Mass Loss (%) | Tg | Residue at 800 °C | LOI * (%) |
|---|---|---|---|---|---|
| 5a | 320–460 | 57.88 | 88.50 | 16.52 | 24.11 |
| 5b | 340–450 | 50.50 | 91.60 | 25.00 | 27.50 |
| 5c | 350–450 | 43.70 | 84.80 | 31.55 | 30.12 |
| Sample | Stage I/Mass Loss (%) | Stage II/Mass Loss (%) | Stage III/Mass Loss (%) | Tg | Residue at 800 °C | LOI * (%) |
|---|---|---|---|---|---|---|
| 7a | 280–335/10 | 335–440/29 | 470–630/24 | 140 | 24.32 | 27.23 |
| 7b | 250–430/38 | - | 430–620/34 | 150 | 30.90 | 29.86 |
| 7c | 250–330/6 | 330–430/23 | 440–650/31 | 129 | 33.38 | 30.85 |
| Sample | PP% | AFR% | APP% | UL94 | drip |
|---|---|---|---|---|---|
| PP neat | 100 | 0 | 0 | N/R | Yes |
| F1-5a | 75 | 25 | 0 | N/R | Yes |
| F1-5b | 75 | 25 | 0 | N/R | Yes |
| F1-5c | 75 | 25 | 0 | N/R | Yes |
| F2-5a | 75 | 12.50 | 12.50 | V2 | Yes |
| F2-5b | 75 | 12.50 | 12.50 | V2 | Yes |
| F2-5c | 75 | 12.50 | 12.50 | V-2a | Yes |
| F3-5a | 75 | 8.33 | 16.66 | V1c | NO |
| F3-5b | 75 | 8.33 | 16.66 | V1 | NO |
| F3-5c | 75 | 8.33 | 16.66 | V0b | NO |
| F1-7a | 75 | 25 | 0 | N/R | Yes |
| F1-7b | 75 | 25 | 0 | N/R | Yes |
| F1-7c | 75 | 25 | 0 | N/R | Yes |
| F2-7a | 75 | 12.50 | 12.5 | V2 | Yes |
| F2-7b | 75 | 12.50 | 12.5 | V2 | Yes |
| F2-7c | 75 | 12.50 | 12.5 | V2 | Yes |
| F3-7a | 75 | 8.33 | 16.66 | V1 | NO |
| F3-7b | 75 | 8.33 | 16.66 | V1 | NO |
| F3-7c | 75 | 8.33 | 16.66 | V0 | NO |
| Flame Retardant | PP% | APP% | IFR% | LOI | UL94 | Ref. |
|---|---|---|---|---|---|---|
| PEPADC | 70 | 24 | 30 | 35.5 | V-0 | [50] |
| CNCA-DA | 70 | 20 | 30 | 35.6 | V-0 | [42] |
| MTEC | 76 | 18.24 | 24 | 29.6 | V-0 | [51] |
| CFA | 70 | 22.5 | 30 | 35.2 | V-0 | [52] |
| HCFA | 80 | 15 | 20 | 29 | V-1 | [53] |
| PTPA | 75 | 20 | 25 | 33.0 | V-1 | [54] |
| F3-5c | 75 | 16.66 | 25 | 30.12 | V-0 | This work |
| F3-7c | 75 | 16.66 | 25 | 30.85 | V-0 | This work |
Publisher’s Note: MDPI stays neutral with regard to jurisdictional claims in published maps and institutional affiliations. |
© 2022 by the authors. Licensee MDPI, Basel, Switzerland. This article is an open access article distributed under the terms and conditions of the Creative Commons Attribution (CC BY) license (https://creativecommons.org/licenses/by/4.0/).
Share and Cite
Aldalbahi, A.; AlOtaibi, B.S.; Thamer, B.M.; El-Faham, A. Synthesis of New S-Triazine Bishydrazino and Bishydrazido-Based Polymers and Their Application in Flame-Retardant Polypropylene Composites. Polymers 2022, 14, 784. https://doi.org/10.3390/polym14040784
Aldalbahi A, AlOtaibi BS, Thamer BM, El-Faham A. Synthesis of New S-Triazine Bishydrazino and Bishydrazido-Based Polymers and Their Application in Flame-Retardant Polypropylene Composites. Polymers. 2022; 14(4):784. https://doi.org/10.3390/polym14040784
Chicago/Turabian StyleAldalbahi, Ali, Bander S. AlOtaibi, Badr M. Thamer, and Ayman El-Faham. 2022. "Synthesis of New S-Triazine Bishydrazino and Bishydrazido-Based Polymers and Their Application in Flame-Retardant Polypropylene Composites" Polymers 14, no. 4: 784. https://doi.org/10.3390/polym14040784
APA StyleAldalbahi, A., AlOtaibi, B. S., Thamer, B. M., & El-Faham, A. (2022). Synthesis of New S-Triazine Bishydrazino and Bishydrazido-Based Polymers and Their Application in Flame-Retardant Polypropylene Composites. Polymers, 14(4), 784. https://doi.org/10.3390/polym14040784

