Utilizing Pyrolysis–Gas Chromatography/Mass Spectrometry for Monitoring and Analytical Characterization of Microplastics in Polychaete Worms
Abstract
:1. Introduction
2. Materials and Methods
2.1. Sampling Site and Sample Collection
2.2. Extraction and Isolation of Microplastics
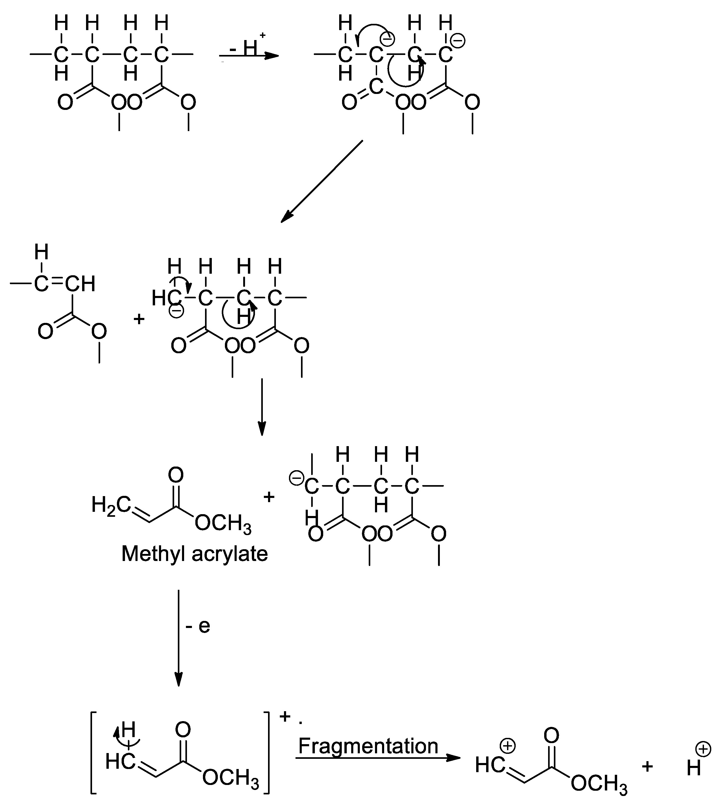
2.3. Chemical Analysis for Microplastic Identification Using Py-GC/MS
2.4. Multivariate and Statistical Analysis
2.5. Quality Assurance and Control
3. Results and Discussion
4. Conclusions
Supplementary Materials
Author Contributions
Funding
Institutional Review Board Statement
Informed Consent Statement
Data Availability Statement
Acknowledgments
Conflicts of Interest
References
- Kim, S.G. The evolution of coastal wetland policy in developed countries and Korea. Ocean Coast. Manag. 2010, 53, 562–569. [Google Scholar] [CrossRef]
- Suckall, N.; Tompkins, E.; Stringer, L. Identifying trade-offs between adaptation, mitigation and development in community responses to climate and socio-economic stresses: Evidence from Zanzibar, Tanzania. Appl. Geogr. 2014, 46, 111–121. [Google Scholar] [CrossRef]
- Förstner, U.; Wittmann, G.T. Metal Pollution in the Aquatic Environment; Springer Science & Business Media: New York, NY, USA, 2012; pp. 9–21. [Google Scholar]
- Drury, B.; Rosi-Marshall, E.; Kelly, J.J. Wastewater treatment effluent reduces the abundance and diversity of benthic bacterial communities in urban and suburban rivers. Appl. Environ. Microbiol. 2013, 79, 1897–1905. [Google Scholar] [CrossRef] [PubMed] [Green Version]
- Ali, M.F.; Siddiqui, M.N. Thermal and catalytic decomposition behaviour of PVC mixed plastic waste with petroleum residue. J. Anal. Appl. Pyrolysis 2005, 74, 282–289. [Google Scholar] [CrossRef]
- Liptow, C.; Tillman, A.M.A. comparative life cycle assessment study of polyethylene based on sugarcane and crude oil. J. Ind. Ecol. 2012, 16, 420–435. [Google Scholar] [CrossRef]
- Müller, Y.K.; Wernicke, T.; Pittroff, M.; Witzig, C.S.; Strock, F.R.; Klinger, J.; Zumbülte, N. Microplastic analysis—Are we measuring the same? Results on the first global comparative study for microplastic analysis in a water sample. Anal. Bioanal. Chem. 2020, 412, 555–560. [Google Scholar] [CrossRef]
- Browne, M.A. Sources and pathways of microplastics to habitats. In Marine Anthropogenic Litter; Springer International Publishing: New York, NY, USA, 2015; pp. 229–244. [Google Scholar]
- Ribic, C.A.; Sheavly, S.B.; Rugg, D.J.; Erdmann, E.S. Trends and drivers of marine debris on the Atlantic coast of the United States 1997–2007. Mar. Pollut. Bull. 2010, 60, 1231–1242. [Google Scholar] [CrossRef]
- Seltenrich, N. New link in the food chain? Marine plastic pollution and seafood safety. Environ. Health Perspect. 2015, 123, A34. [Google Scholar] [CrossRef] [Green Version]
- Hamzah, S.R.; Altrawneh, R.S.; Anuar, S.T.; Khalik, W.M.A.W.M.; Kolandhasamy, P.; Ibrahim, Y.S. Ingestion of microplastics by the estuarine polychaete, Namalycastis sp. in the Setiu Wetlands, Malaysia. Mar. Pollut. Bull. 2021, 170, 112617. [Google Scholar] [CrossRef]
- Murray, F.; Cowie, P.R. Plastic contamination in the decapod crustacean Nephrops norvegicus (Linnaeus, 1758). Mar. Pollut. Bull. 2011, 62, 1207–1217. [Google Scholar] [CrossRef]
- Wright, S.L.; Thompson, R.C.; Galloway, T.S. The physical impacts of microplastics on marine organisms: A review. Environ. Pollut. 2013, 178, 483–492. [Google Scholar] [CrossRef] [PubMed]
- Taha, Z.D.; Amin, R.M.; Anuar, S.T.; Abdul Nasser, A.A.; Sohaimi, E.S. Microplastics in seawater and zooplankton: A case study from Terengganu estuary and offshore waters, Malaysia. Sci. Total Environ. 2021, 786, 147466. [Google Scholar] [CrossRef] [PubMed]
- Welden, N.A.; Cowie, P.R. Environment and gut morphology influence microplastic retention in langoustine, Nephrops norvegicus. Environ. Pollut. 2016, 214, 859–865. [Google Scholar] [CrossRef] [PubMed] [Green Version]
- De Sá, L.C.; Luís, L.G.; Guilhermino, L. Effects of microplastics on juveniles of the common goby (Pomatoschistus microps): Confusion with prey, reduction of the predatory performance and efficiency, and possible influence of developmental conditions. Environ. Pollut. 2015, 196, 359–362. [Google Scholar] [CrossRef] [PubMed]
- Peters, C.A.; Bratton, S.P. Urbanization is a major influence on microplastic ingestion by sunfish in the Brazos River Basin, Central Texas, USA. Environ. Pollut. 2016, 210, 380–387. [Google Scholar] [CrossRef] [PubMed]
- Lusher, A.L.; Welden, N.A.; Sobral, P.; Cole, M. Sampling, isolating and identifying microplastics ingested by fish and invertebrates. Anal. Methods 2017, 9, 1346–1360. [Google Scholar] [CrossRef] [Green Version]
- Zaki, M.R.M.; Zaid, S.H.M.; Zainuddin, A.H.; Aris, A.Z. Microplastic pollution in tropical estuary gastropods: Abundance, distribution and potential sources if Klang River estuary, Malaysia. Mar. Pollut. Bull. 2021, 162, 11866. [Google Scholar] [CrossRef]
- Rochman, C.M.; Brookson, C.; Bikker, J.; Djuric, N.; Earn, A.; Bucci, K.; Hung, C. Rethinking microplastics as a diverse contaminant suite. Environ. Toxicol. Chem. 2019, 38, 703–711. [Google Scholar] [CrossRef] [PubMed] [Green Version]
- Ma, Z.F.; Ibrahim, Y.S.; Lee, Y.Y. Microplastic Pollution and Health and Relevance to the Malaysia’s Roadmap to Zero Single-Use Plastics 2018–2030. Malays. J. Med. Sci. 2020, 27, 1–6. [Google Scholar] [CrossRef]
- De Frond, H.; Hampton, L.T.; Kotar, S.; Gesulga, K.; Matuch, C.; Lao, W.; Weisberg, S.B.; Wong, C.S.; Rochman, C.M. Monitoring microplastics in drinking water: An interlaboratory study to inform effective methods for quantifying and characterizing microplastics. Chemosphere 2022, 298, 134282. [Google Scholar] [CrossRef]
- Wiesner, Y.; Altmann, K.; Braun, U. Determination of Microplastic Mass Content by Thermal Extraction Desorption Gas Chromatography–Mass Spectrometry. Column 2021, 17, 2–7. [Google Scholar]
- Akoueson, F.; Chbib, C.; Monchy, S.; Paul-Pont, I.; Doyen, P.; Dehaut, A.; Duflos, G. Identification and quantification of plastic additives using Pyrolysis-GC/MS: A review. Sci. Total Environ. 2021, 773, 145073. [Google Scholar] [CrossRef] [PubMed]
- Riess, M.; Thoma, H.; Vierle, O.; Van Eldik, R. Identification of flame retardants in polymers using curie point pyrolysis-gas chromatography/mass spectrometry. J. Anal. Appl. Pyrolysis 2000, 53, 135–148. [Google Scholar] [CrossRef]
- Suratman, S.; Hussein, A.; Tahir, N.M.; Latif, M.T.; Mostapa, R.; Weston, K. Seasonal and spatial variability of selected surface water quality parameters in Setiu wetland, Terengganu, Malaysia. Sains Malays. 2016, 45, 551–558. [Google Scholar]
- Rosli, N.S.; Yahya, N.; Arifin, I.; Bachok, Z. Diversity of polychaeta (Annelida) in the continental shelf of Southern South China Sea. Middle-East J. Sci. Res. 2016, 24, 2086–2092. [Google Scholar]
- WWF (World Wildlife Federation). Sustainable Management of Setiu Wetlands. Available online: http://www.wwf.org.my (accessed on 10 January 2022).
- Ibrahim, N.F.; Ibrahim, Y.S.; Sato, M. New record of an estuarine polychaete, Neanthes glandicincta (Annelida, Nereididae) on the eastern coast of Peninsular Malaysia. ZooKeys 2019, 831, 81. [Google Scholar] [CrossRef] [PubMed]
- Ibrahim, Y.S.; Hamzah, S.R.; Khalik, W.M.A.W.M.; Yusof, K.M.K.K.; Anuar, S.T. Spatiotemporal microplastic occurrence study of Setiu Wetland, South China Sea. Sci. Total Environ. 2021, 788, 147809. [Google Scholar] [CrossRef]
- Junardi; Anggraeni, T.; Ridwan, A.; Yowono, E. Larval development of nypa palm worm Namalycastis rhodochorde (Polychaeta: Nereididae). Nusant. Biosci. 2020, 12, 148–153. [Google Scholar] [CrossRef]
- Hidalgo-Ruz, V.; Gutow, L.; Thompson, R.C.; Thiel, M. Microplastics in the marine environment: A review of the methods used for identification and quantification. Environ. Sci. Technol. 2012, 46, 3060–3075. [Google Scholar] [CrossRef] [PubMed]
- Frontier Laboratories Ltd. Qualitative and Quantitative Analysis if Microplastic Using Pyrolysis-GC/MS (Ver. 1.1); Manual Operation; Frontier Laboratories Ltd.: Koriyama, Japan.
- Fischer, M.; Scholz-Böttcher, B.M. Simultaneous trace identification and quantification of common types of microplastics in environmental samples by pyrolysis-gas chromatography-mass spectrometry. Environ. Sci. Technol. 2017, 51, 5052–5060. [Google Scholar] [CrossRef]
- Khalik, W.M.A.W.; Ibrahim, Y.S.; Anuar, S.T.; Govindasamy, S.; Baharuddin, N.F. Microplastics analysis in Malaysian marine waters: A field study of Kuala Nerus and Kuantan. Mar. Pollut. Bull. 2018, 135, 451–457. [Google Scholar] [CrossRef] [PubMed]
- Koh, H.L.; Teh, S.Y.; Khang, X.Y.; Raja Barizan, R.S. Mangrove Forests: Protection Against and Resilience to Coastal Disturbances. J. Trop. For. Sci. 2018, 30, 446–460. [Google Scholar] [CrossRef]
- Suratman, S.; Latif, M.T. Reassessment of nutrient status in Setiu Wetland, Terengganu, Malaysia. Asian J. Chem. 2015, 271, 239–242. [Google Scholar] [CrossRef]
- Isobe, A.; Iwasaki, S.; Uchida, K.; Tokai, T. Abundance of non-conservative microplastics in the upper ocean from 1957 to 2066. Nat. Commun. 2019, 10, 417. [Google Scholar] [CrossRef] [PubMed] [Green Version]
- Su, L.; Cai, H.; Kolandhasamy, P.; Wu, C.; Rochman, C.M.; Shi, H. Using the Asian clam as an indicator of microplastic pollution in freshwater ecosystems. Environ. Pollut. 2018, 234, 347–355. [Google Scholar] [CrossRef] [PubMed]
- Huang, D.; Li, X.; Ouyang, Z.; Zhao, X.; Wu, R.; Zhang, C.; Lin, C.; Li, Y.; Guo, X. The occurrence and abundance of microplastics in surface water and sediment of the West River downstream, in the south of China. Sci. Total Environ. 2021, 156, 143857. [Google Scholar] [CrossRef]
- Ariffin, B.E.H. Effect of Monsoons on Beach Morphodynamics in the East Coast of Peninsular Malaysia: Examples from Kuala Terengganu Coast. Ph.D. Thesis, Geomorphology, Universiteé de Bretagne Sud, Lorient, France, 2017. [Google Scholar]
- Jaritkhuan, S.; Damrongrojwattana, P.; Chewprecha, B.; Kunbou, V. Diversity of polychaetes in mangrove forest, Prasae Estuary, Rayong Province, Thailand. Chiang Mai J. Sci. 2016, 44, 816–823. [Google Scholar]
- Fadhullah, W.; Syakir, M.I. Polychaetes as Ecosystem Engineers: Agents of Sustainable Technologies. In Renewable Energy and Sustainable Technologies for Building and Environmental Applications; Springer International Publishing: New York, NY, USA, 2016; pp. 137–150. [Google Scholar]
- Herringshaw, L.G.; Sherwood, O.A.; McIlroy, D. Ecosystem engineering by bioturbating polychaetes in event bed microcosms. Palaios 2010, 25, 46–58. [Google Scholar] [CrossRef]
- Otegui, M.B.; Brauko, K.M.; Pagliosa, P.R. Matching ecological functioning with polychaete morphology: Consistency patterns along sedimentary habitats. J. Sea Res. 2016, 114, 13–21. [Google Scholar] [CrossRef]
- Rodriguez, V.F.; Mesa, M.H.L. Polychaetes (Annelida: Polychaeta) as biological indicators of marine pollution: Cases in Colombia. Manag. Environ. 2015, 18, 189–204. [Google Scholar]
- Jang, M.; Shim, W.J.; Han, G.M.; Song, K.Y.; Hong, S.H. Formation of microplastics by polychaetes Marphysa sanguinea inhabiting expanded polystyrene marine debris. Mar. Pollut. Bull. 2018, 131, 365–369. [Google Scholar] [CrossRef] [PubMed]
- Kusch, P. Pyrolysis-gas Chromatography: Mass Spectrometry of Polymeric Materials; World Scientific: London, UK, 2018. [Google Scholar]
- Fries, E.; Dekiff, J.H.; Willmeyer, J.; Nuelle, M.T.; Ebert, M.; Remy, D. Identification of polymer types and additives in marine microplastic particles using pyrolysis-GC/MS and scanning electron microscopy. Environ. Sci. Processes Impacts 2013, 15, 1949–1956. [Google Scholar] [CrossRef] [Green Version]
- Hahladakis, J.N.; Velis, C.A.; Weber, R.; Iacovidou, E.; Purnell, P. An overview of chemical additives present in plastics: Migration, release, fate and environmental impact during their use, disposal and recycling. J. Hazard. Mater. 2018, 344, 179–199. [Google Scholar] [CrossRef]
- Tsuge, S.; Ohtani, H.; Watanabe, C. Pyrolysis-GC/MS Data Book of Synthetic Polymers: Pyrograms, Thermograms and MS of Pyrolyzates; Elsevier Science & Technology: London, UK, 2011. [Google Scholar]
- Dümichen, E.; Eisentraut, P.; Celina, M.; Braun, U. Automated thermal extraction-desorption gas chromatography mass spectrometry: A multifunctional tool for comprehensive characterization of polymers and their degradation products. J. Chromatogr. A 2019, 1592, 133–142. [Google Scholar] [CrossRef] [PubMed]
- Pham, D.D.; Cho, J. Low-energy catalytic methanolysis of poly(ethyleneterephthalate). Green Chem. 2021, 23, 511–525. [Google Scholar] [CrossRef]
- Yu, J.; Sun, I.; Ma, C.; Qiao, Y.; Yao, H. Thermal degradation of PVC: A review. Waste Manag. 2016, 48, 300–314. [Google Scholar] [CrossRef] [PubMed]
- Jan, M.R.; Shah, J.; Rahim, A. Recovery of styrene monomer from waste polystyrene using catalytic degradation. Am. Lab. 2008, 40, 12–14. [Google Scholar]
- Jansson, K.D.; Zawodny, C.P.; Wampler, T.P. Determination of polymer additives using analytical pyrolysis. J. Anal. Appl. Pyrolysis 2007, 79, 353–361. [Google Scholar] [CrossRef]
- Tibbetts, J.; Krause, S.; Lynch, I.; Smith, G.H.S. Abundance, distribution, and drivers of microplastic contamination in urban river environments. Water 2018, 10, 1597. [Google Scholar] [CrossRef] [Green Version]
- Nasa, J.L.; Biale, G.; Ferriani, B.; Trevisan, R.; Colombini, M.P.; Modugno, F. Plastics in heritage science: Analytical pyrolysis techniques applied to objects of design. Molecules 2020, 25, 1705. [Google Scholar] [CrossRef] [Green Version]





| Sampling Sites | Latitude | Longitude |
|---|---|---|
| S1 | 5°43′21.48″ N | 102°40′13.87″ E |
| S2 | 5°41′30.77″ N | 102°41′54.98″ E |
| S3 | 5°40′54.46″ N | 102°42′33.25″ E |
| S4 | 5°39’49.27″ N | 102°43’57.69″ E |
| Polymer | Characteristic Compound | Main Characteristic Ion (m/z) | Sub Characteristic Ion (m/z) | Retention Time (min) |
|---|---|---|---|---|
| PE | 1,20-Heneicosadiene | 82 | 294 | 15.427 |
| PP | 2,4-Dimethyl-1-heptene | 126 | 70 | 6.052 |
| PS | Styrene trimer | 91 | 312 | 19.96 |
| ABS | 2-Phenethly-4-phenylpent-4-enentrile | 170 | 91 | 17.17 |
| SBR | 4-phenylcyclohexene | 104 | 158 | 11.016 |
| PMMA | Methyl methacrylate | 100 | 69 | 4.328 |
| PC | 4-Isopropenylphenol | 134 | 119 | 10.696 |
| PVC | Naphthalene | 128 | 115 | 9 |
| PU | 4,4′-Methylenedianiline | 198 | 106 | 17.25 |
| PET | Benzophenone | 182 | 105 | 13.608 |
| N-6 | Ɛ-Caprolactam | 113 | 85 | 10.677 |
| N-66 | Cyclopentanone | 84 | 55 | 5.637 |
| Period and Station | 1st | 2nd | 3rd | 4th | ||||||||||||
|---|---|---|---|---|---|---|---|---|---|---|---|---|---|---|---|---|
| S1 | S2 | S3 | S4 | S1 | S2 | S3 | S4 | S1 | S2 | S3 | S4 | S1 | S2 | S3 | S4 | |
| PE | + | + | - | - | - | + | + | - | + | - | + | + | + | + | + | - |
| PP | + | + | + | - | + | - | + | + | + | + | + | + | - | + | + | + |
| PS | - | - | - | - | + | - | + | - | + | - | - | - | - | - | + | - |
| PVC | ++ | ++ | ++ | ++ | ++ | ++ | ++ | ++ | ++ | ++ | ++ | ++ | ++ | ++ | ++ | ++ |
| ABS | - | - | - | - | - | - | - | - | - | - | - | - | - | - | - | - |
| PET | - | - | - | - | + | - | + | + | - | - | - | - | - | - | - | - |
| PC | - | - | - | - | - | - | - | - | - | - | - | - | - | - | - | - |
| PMMA | + | + | - | - | - | + | + | - | + | - | - | - | - | - | + | - |
| N-6 | - | - | - | - | + | - | + | + | - | + | - | + | - | + | + | - |
| N-66 | - | - | - | - | - | - | - | - | - | - | - | - | - | - | - | - |
| PU | - | - | - | - | - | - | - | - | - | - | - | - | - | - | - | - |
| SBR | - | - | - | - | - | - | - | - | - | - | - | - | - | - | - | - |
Publisher’s Note: MDPI stays neutral with regard to jurisdictional claims in published maps and institutional affiliations. |
© 2022 by the authors. Licensee MDPI, Basel, Switzerland. This article is an open access article distributed under the terms and conditions of the Creative Commons Attribution (CC BY) license (https://creativecommons.org/licenses/by/4.0/).
Share and Cite
Anuar, S.T.; Altarawnah, R.S.; Mohd Ali, A.A.; Lee, B.Q.; Khalik, W.M.A.W.M.; Yusof, K.M.K.K.; Ibrahim, Y.S. Utilizing Pyrolysis–Gas Chromatography/Mass Spectrometry for Monitoring and Analytical Characterization of Microplastics in Polychaete Worms. Polymers 2022, 14, 3054. https://doi.org/10.3390/polym14153054
Anuar ST, Altarawnah RS, Mohd Ali AA, Lee BQ, Khalik WMAWM, Yusof KMKK, Ibrahim YS. Utilizing Pyrolysis–Gas Chromatography/Mass Spectrometry for Monitoring and Analytical Characterization of Microplastics in Polychaete Worms. Polymers. 2022; 14(15):3054. https://doi.org/10.3390/polym14153054
Chicago/Turabian StyleAnuar, Sabiqah Tuan, Raad Shaher Altarawnah, Ahmad Ammarluddin Mohd Ali, Bai Qin Lee, Wan Mohd Afiq Wan Mohd Khalik, Ku Mohd Kalkausar Ku Yusof, and Yusof Shuaib Ibrahim. 2022. "Utilizing Pyrolysis–Gas Chromatography/Mass Spectrometry for Monitoring and Analytical Characterization of Microplastics in Polychaete Worms" Polymers 14, no. 15: 3054. https://doi.org/10.3390/polym14153054
APA StyleAnuar, S. T., Altarawnah, R. S., Mohd Ali, A. A., Lee, B. Q., Khalik, W. M. A. W. M., Yusof, K. M. K. K., & Ibrahim, Y. S. (2022). Utilizing Pyrolysis–Gas Chromatography/Mass Spectrometry for Monitoring and Analytical Characterization of Microplastics in Polychaete Worms. Polymers, 14(15), 3054. https://doi.org/10.3390/polym14153054

