Sign in to use this feature.

Years

Between: -

Subjects

remove_circle_outline
remove_circle_outline
remove_circle_outline
remove_circle_outline
remove_circle_outline
remove_circle_outline
remove_circle_outline
remove_circle_outline
remove_circle_outline

Journals

remove_circle_outline
remove_circle_outline
remove_circle_outline
remove_circle_outline

Article Types

Countries / Regions

remove_circle_outline
remove_circle_outline

Search Results (284)

Search Parameters:
Keywords = Py-GC/MS

Order results
Result details
Results per page
Select all
Export citation of selected articles as:
31 pages, 5840 KB  
Article
Catalytic Conversion of Lignin for the Selective Preparation of Valuable Compounds
by Aleš Ház, Nikola Honzová, Veronika Jančíková, Matúš Majerčiak and Michal Jablonský
Processes 2026, 14(6), 894; https://doi.org/10.3390/pr14060894 - 11 Mar 2026
Viewed by 442
Abstract
Lignin valorization is a central objective of modern biorefinery research. This study investigates the catalytic depolymerization of two technical lignins, kraft lignin from beech hardwood and natron lignin from annual plants, via two complementary routes: analytical catalytic pyrolysis (Py-GC/MS, 300–600 °C) and hydrogenolysis [...] Read more.
Lignin valorization is a central objective of modern biorefinery research. This study investigates the catalytic depolymerization of two technical lignins, kraft lignin from beech hardwood and natron lignin from annual plants, via two complementary routes: analytical catalytic pyrolysis (Py-GC/MS, 300–600 °C) and hydrogenolysis (250–310 °C, Ru/C, isopropanol/H2). In Py-GC/MS experiments, noble-metal catalysts on carbon supports (Ru/C, Pd/C, RuPd/C) were screened. Relative compound distributions revealed phenolic derivatives as the dominant products, with Ru/C yielding the highest conversion for lignin from annual plants at 500 °C and Pd/C proving most selective for hardwood lignin at 400 °C. Hydrogenolysis was optimized through a five-level, three-factor central composite design, varying temperature, residence time, and catalyst loading. Lignin conversion ranged from 64 to 83 wt% and bio-oil yield from 69 to 89 wt%. A regression model identified optimal conditions at 295 °C, 32 min, and 17 wt% Ru/C. Catalyst regeneration via solvent washing, H2O2 oxidation, and controlled thermal treatment resulted in only an 8% decrease in lignin conversion. The results demonstrate that lignin origin, catalyst type, and depolymerization pathway jointly govern product selectivity, highlighting clear strategies for targeted phenolic compound production. Full article
(This article belongs to the Special Issue Kinetic Modeling of Biomass Pyrolysis Processes (2nd Edition))
Show Figures

Graphical abstract

12 pages, 1685 KB  
Technical Note
The Challenge of Matrix Interference in Quantitative Analysis of PM2.5 Microplastics Using Pyrolysis–Gas Chromatography-Mass Spectrometry
by Marco Mattonai, William Pipkin, Ai Shiono, Makoto Niwa and Atsushi Watanabe
Atmosphere 2026, 17(3), 247; https://doi.org/10.3390/atmos17030247 - 27 Feb 2026
Viewed by 472
Abstract
We evaluated the effect of ammonium sulfate, a major component of airborne particulate matter, in the quantification of airborne micro- and nanoplastics (AMNPs) by analytical pyrolysis–gas chromatography-mass spectrometry (Py-GC/MS). Analytical pyrolysis has shown promising potential in providing mass-based information on AMNPs, which are [...] Read more.
We evaluated the effect of ammonium sulfate, a major component of airborne particulate matter, in the quantification of airborne micro- and nanoplastics (AMNPs) by analytical pyrolysis–gas chromatography-mass spectrometry (Py-GC/MS). Analytical pyrolysis has shown promising potential in providing mass-based information on AMNPs, which are compatible with established standard protocols to monitor airborne particulate matter. Py-GC/MS can be performed with little to no sample preparation, minimizing the risk of polymer loss or sample contamination. However, reactive components of particulate matter, such as inorganic salts, can interfere with the Py-GC/MS measurement of polymers, leading to over/underestimation of the polymer content and instrument contamination. In this study, we have shown that ammonium sulfate can generate matrix interference in the quantification of AMNPs in PM2.5. We have provided a solution to this issue based on water rinsing of the particulate matter directly inside the pyrolysis crucible, avoiding sample loss and preventing instrument contamination. Full article
(This article belongs to the Special Issue Micro- and Nanoplastics in the Atmosphere)
Show Figures

Figure 1

19 pages, 75756 KB  
Article
Early Degradation Behavior of Amber-Based Paint Layers in The Temptation of St Anthony by Salvador Dalí
by Catherine Defeyt, Francisca Vandepitte, Philippe Walter, Edène Derzelle, Nathan de Vries, Daniela Aleccia, Francesca Caterina Izzo and David Strivay
Heritage 2026, 9(2), 85; https://doi.org/10.3390/heritage9020085 - 22 Feb 2026
Viewed by 524
Abstract
The iconic Dali’s painting The Temptation of St. Anthony dated 1946, housed in the Royal Museums of Fine Arts of Belgium since 1965, displays worrying surface conditions in specific areas, notably the figure of St. Anthony. The problematic paint layers similarly exhibit uneven [...] Read more.
The iconic Dali’s painting The Temptation of St. Anthony dated 1946, housed in the Royal Museums of Fine Arts of Belgium since 1965, displays worrying surface conditions in specific areas, notably the figure of St. Anthony. The problematic paint layers similarly exhibit uneven transparency and a rugged surface irrespective of their color, raising questions about whether these features reflect deliberate artistic intent or material degradation. To evidence potential degradation mechanisms and to identify the associated painting materials, Dali’s picture has been investigated through a large panel of imaging and analytical techniques, including digital microscopy, MA-XRF, Raman and FT-IR spectroscopies, XRD and Py-GC–MS. The obtained results were subsequently assessed against the material and technical information collected from Dali’s 50 Secrets of Magic Craftsmanship, as well as against archival photographs. By combining historical and multi-analytical approaches, it was possible to diagnose the altered condition of the artwork, but above all to determine when and how the deterioration patterns took place. Visible changes of appearance occurred prior to 1965 and were most probably already initiated during the curing and drying processes of the paint films. The present study tends to demonstrate the key roles of mobile resin acids from amber, reactive zinc oxide pigment suspected of containing crystal defects, uncured lead-white-rich underlayers, and chlorine environmental contamination, regarding the early and peculiar degradation behavior observed on Dali’s masterpiece. Full article
Show Figures

Graphical abstract

15 pages, 870 KB  
Article
Biodegradability of Innovative Bio-Based Films Enriched with Monoammonium Phosphate
by Sara Paliaga, Luigi Badalucco, Delia Francesca Chillura Martino, Veronica Concetta Ciaramitaro, Silvia Rita Stazi, Enrica Allevato, Vittorio Vinciguerra and Vito Armando Laudicina
Horticulturae 2026, 12(2), 253; https://doi.org/10.3390/horticulturae12020253 - 21 Feb 2026
Viewed by 483
Abstract
The widespread use of conventional plastic mulch films in agriculture contributes significantly to soil pollution due to their non-biodegradable nature. This study explores the potential of novel bio-based mulch films composed of chitosan, carboxymethyl cellulose, and sodium alginate, formulated in different ratios (1:1 [...] Read more.
The widespread use of conventional plastic mulch films in agriculture contributes significantly to soil pollution due to their non-biodegradable nature. This study explores the potential of novel bio-based mulch films composed of chitosan, carboxymethyl cellulose, and sodium alginate, formulated in different ratios (1:1 and 17:3), with or without enrichment with monoammonium phosphate (MAP), to serve as biodegradable films with potential nutrient-releasing functionality as alternatives to conventional plastics. A multi-analytical approach, including elemental and isotopic analysis (EA-IRMS), biodegradation assays, and pyrolysis–gas chromatography–mass spectrometry (Py-GC-MS), was employed to assess their chemical properties, degradation behavior, and environmental compatibility. The results demonstrated that the 1:1 films, both with and without MAP, achieved over 90% biodegradation within 120 days under controlled soil conditions, in agreement with international criteria for soil biodegradability. In contrast, the 17:3 films showed reduced degradation, especially without MAP enrichment, highlighting the influence of polymer composition on microbial degradation. Isotopic tracing confirmed MAP integration and revealed composition-dependent fractionation effects. Py-GC-MS provided structural fingerprints of film components and putatively annotated nitrogen-containing compounds indicative of chitosan presence. Overall, these results demonstrate that the 1:1 films can be considered viable, multifunctional, and soil-friendly alternatives to conventional plastic mulches for sustainable agriculture. Full article
Show Figures

Figure 1

15 pages, 1675 KB  
Article
Pyrolysis of Cellulose with Gallium/HZSM-5 Catalysts via Py/GC-MS
by Hessam Jahangiri, Kamran Keynejad, Mukesh Goel, Khaled Alrashidi, Ali Mubarak Al-Qahtani and Omid Doustdar
Environments 2026, 13(2), 113; https://doi.org/10.3390/environments13020113 - 17 Feb 2026
Viewed by 816
Abstract
Cellulose has received significant attention, given its high demand for the transition to sustainable fuels and renewable energy, addressing the environmental challenges of fossil fuels. Fast pyrolysis is a process that can transform cellulose into bio-oil. Although the bio-oils produced contain considerable amounts [...] Read more.
Cellulose has received significant attention, given its high demand for the transition to sustainable fuels and renewable energy, addressing the environmental challenges of fossil fuels. Fast pyrolysis is a process that can transform cellulose into bio-oil. Although the bio-oils produced contain considerable amounts of oxygen and water, they are highly corrosive and highly viscous, which limits their utility as biofuels. Pyrolysis bio-oils require upgrading to remove oxygen and corrosive components, thereby enhancing their stability for use as biofuels and their environmental sustainability. This study investigates the catalytic pyrolysis of cellulose without a catalyst and with Ga/HZSM-5 catalysts with various gallium loadings (0.3, 3 and 9 wt%) and bulk Ga2O3 catalysts using pyrolysis/gas chromatography–mass spectrometry (Py/GC-MS). The catalytic influence of different gallium loadings on HZSM-5 in cellulose pyrolysis reactions is discussed using a range of characterisation techniques, including ICP, XRD, N2 porosimetry, DRIFTS, and TPRS. The main production of oxygenated compounds (furan, sugar, ketone and phenol) and hydrocarbon products, including total aromatic and monocyclic and polycyclic aromatics, as well as benzene, toluene, xylene (BTX) and naphthalene compounds, using a family of Ga-doped HZSM-5 catalysts for cellulose pyrolysis is investigated for making sustainable cellulose-derived fuel. Ga(3)/HZSM-5 formed the highest amount of aromatics, displaying that aromatic yield depends on the Brønsted-to-Lewis acid balance (2.3 ratio) and total acidity (1.03 mmol·g−1), rather than on gallium loading alone. Full article
Show Figures

Graphical abstract

27 pages, 8601 KB  
Article
Occurrence and Characterization of Acrylate-Based Self-Polishing Copolymer Anti-Fouling Paint Particles (SPC-APPs) in the Sediments of the Yangtze River Estuary
by Can Zhang, Jianhua Zhou and Deli Wu
Toxics 2026, 14(2), 177; https://doi.org/10.3390/toxics14020177 - 17 Feb 2026
Viewed by 1012
Abstract
Acrylate-based self-polishing copolymer antifouling paint particles (SPC-APPs) are persistent micropollutants that act as carriers for biocidal heavy metals, posing significant ecological hazards to aquatic ecosystems. Despite their toxicity, the occurrence, characterization, and metal-leaching risks of SPC-APPs in estuarine environments remain largely understudied. This [...] Read more.
Acrylate-based self-polishing copolymer antifouling paint particles (SPC-APPs) are persistent micropollutants that act as carriers for biocidal heavy metals, posing significant ecological hazards to aquatic ecosystems. Despite their toxicity, the occurrence, characterization, and metal-leaching risks of SPC-APPs in estuarine environments remain largely understudied. This study investigated the contamination characteristics of SPC-APPs in surface sediments from the Yangtze River Estuary, a hotspot of shipping activity. A multi-technique analytical protocol was employed, combining density separation with scanning electron microscopy–energy-dispersive spectroscopy (SEM-EDS), inductively coupled plasma mass spectrometry (ICP-MS), and pyrolysis–gas chromatography/mass spectrometry (Py-GC/MS) to characterize the morphology, quantify particle abundance, and assess the correlation between SPC-APPs and sedimentary heavy metals. SPC-APPs were ubiquitously detected across all sampling sites, with abundances ranging from (0.82 ± 0.15) × 103 to (3.65 ± 0.42) × 103 particles g−1 dry sediment. A distinct distribution property (South Branch > North Branch > offshore shoal) was identified, primarily driven by shipping density and hydrodynamic sorting. Morphologically, particles exhibited irregular, abraded surfaces, with EDS confirming Cu (1.76~5.63 wt%) and Zn (0.27~3.65 wt%) as major metallic components. Py-GC/MS analysis identified specific mass fragments (m/z 41, 69, 87) as diagnostic markers. Strong positive correlations were observed between SPC-APP abundance and sediment Cu (r = 0.82, p < 0.01) and Zn (r = 0.76, p < 0.01) concentrations, indicating that these particles are a primary source of metal contamination. Ecological risk assessment based on sediment quality benchmarks showed that Cu in the South Branch reached 82~91% of the probable effect concentration (PEC), highlighting potential risks to benthic organisms. This study provides critical baseline data on the distribution and speciation of SPC-APPs, underscoring their role as vectors for toxic metals and the need for targeted pollution control in high-shipping-intensity estuarine regions. Full article
(This article belongs to the Section Emerging Contaminants)
Show Figures

Figure 1

16 pages, 10320 KB  
Article
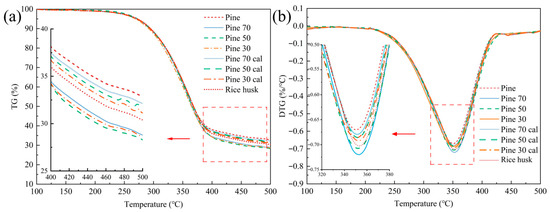
The Catalytic Effect of Rice Husk Ash on Pine Pyrolysis Based on a Three-Component System
by Xianning Liu, Xiaoyu Hu, Di Wu, Mengzhu Yu and Dengyu Chen
Coatings 2026, 16(2), 244; https://doi.org/10.3390/coatings16020244 - 13 Feb 2026
Viewed by 513
Abstract
Biomass is characterized by its diversity and wide availability. Co-pyrolysis technology is considered a promising approach for high-quality conversion and high-value utilization of biomass, representing a critical pathway toward environmental sustainability. This study selected rice husk and pine as representative herbaceous and woody [...] Read more.
Biomass is characterized by its diversity and wide availability. Co-pyrolysis technology is considered a promising approach for high-quality conversion and high-value utilization of biomass, representing a critical pathway toward environmental sustainability. This study selected rice husk and pine as representative herbaceous and woody biomass materials. Using a thermogravimetric analyzer (TGA) and Py-GC/MS, we systematically investigated the synergistic effects during co-pyrolysis, examined their underlying mechanisms, and analyzed changes in product distribution. The results indicate that the blend containing 30% rice husk exhibited the most pronounced synergistic effect. Specifically, the experimental char yield and pyrolysis activation energy were 9.7% and 10.5% lower than the theoretically calculated values, respectively. Both the blending ratio and heating rate were found to significantly influence these synergistic interactions. The observed synergy is attributed to the migration of alkali metals from rice husk ash, which enhances reaction rates and promotes specific pathways such as cellulose ring-opening cleavage and hemicellulose deacetylation. Consequently, the product distribution shifts toward lighter compounds, including aldehydes, ketones, and alcohols. This study clarifies the central catalytic role of herbaceous biomass ash and highlights the critical function of alkali metal migration in regulating product selectivity, thereby providing theoretical support for efficient pyrolytic conversion. Full article
(This article belongs to the Special Issue Multifunctional Thin Films from Hybrid Biopolymers and Nanomaterials)
Show Figures

Figure 1

19 pages, 9644 KB  
Article
Contrasting Catalytic Pathways in Lignin Pyrolysis: Deoxygenative Cracking over HZSM-5 Versus Repolymerization–Coking over Activated Carbon
by Hao Ma, Yue Hu, Huixia Zhu, Qimeng Jiang and Tianying Chen
Polymers 2026, 18(3), 408; https://doi.org/10.3390/polym18030408 - 4 Feb 2026
Cited by 1 | Viewed by 619
Abstract
Catalytic pyrolysis is a crucial technology for lignin valorization, where the catalyst support itself can play a pivotal role in influencing the catalytic process. This study systematically investigates and compares the distinct catalytic effects of two commonly used catalyst supports, HZSM-5 zeolite and [...] Read more.
Catalytic pyrolysis is a crucial technology for lignin valorization, where the catalyst support itself can play a pivotal role in influencing the catalytic process. This study systematically investigates and compares the distinct catalytic effects of two commonly used catalyst supports, HZSM-5 zeolite and activated carbon (AC), during lignin pyrolysis. Macrokinetic analysis was conducted using TGA coupled with the Friedman kinetic model to determine the apparent activation energies (Ea) and coke yields. The evolution of functional groups was analyzed using Py-GC/MS coupled with quantitative functional group indexing. Additionally, the evolution of small-molecule gases during catalytic pyrolysis was monitored using TGA-FTIR. The results demonstrate differences in the catalytic pathways promoted by HZSM-5 and AC. HZSM-5 effectively deoxygenated lignin by removing methoxy and hydroxyl groups, resulting in a reduction in Ea by 83 kJ/mol at 80% conversion and suppression of coke formation. In contrast, AC, exploiting its large specific surface area as a reaction platform, promoted the conversion of methoxy groups into methyl and hydroxyl functional groups, rather than directly removing them. Moreover, the use of AC led to a marked increase in Ea, and the coke yield increased by 2.5%. This study provides valuable insights for the rational design of efficient catalyst systems for biomass conversion. Full article
(This article belongs to the Section Biobased and Biodegradable Polymers)
Show Figures

Graphical abstract

13 pages, 1677 KB  
Article
Research and Conservation of Carved Lacquer Horse-Hoof-Shaped Box from Yulin, Shaanxi Province
by Yutong Chen, Qing Niu, Yu Qin, Haiqin Yang, Jingjing Cao, Zhijiang Wu, Zijie Zou, Cheng Xue and Xin Liu
Coatings 2026, 16(2), 180; https://doi.org/10.3390/coatings16020180 - 31 Jan 2026
Cited by 1 | Viewed by 395
Abstract
The carved lacquer horse-hoof-shaped box excavated from Yulin, Shaanxi Province, represents a typical example of lacquerware preservation in the arid environment of northern China, exhibiting multiple deterioration phenomena, including substrate deformation, lacquer film peeling, and pigment fading. To systematically analyze its structural composition [...] Read more.
The carved lacquer horse-hoof-shaped box excavated from Yulin, Shaanxi Province, represents a typical example of lacquerware preservation in the arid environment of northern China, exhibiting multiple deterioration phenomena, including substrate deformation, lacquer film peeling, and pigment fading. To systematically analyze its structural composition and craftsmanship features, this study employed multiple analytical techniques, including ultra-depth microscopy, scanning electron microscopy with energy-dispersive X-ray spectroscopy (SEM-EDS), confocal laser micro-Raman spectroscopy (Raman), Fourier transform infrared spectroscopy (FT-IR), X-ray diffraction (XRD), and pyrolysis-gas chromatography/mass spectrometry (Py-GC/MS). Based on these analyses, a targeted conservation protocol was developed. Results revealed that the carved lacquer horse-hoof-shaped box has a wooden substrate structure, with the lacquer ash layer composed of mixed materials, including calcium carbonate (CaCO3), quartz (SiO2), and hydroxyapatite (Ca10(PO4)6(OH)2). The lacquer film layer contains Chinese lacquer and plant oils, with cinnabar applied as surface decoration. Based on these findings, a stratified reinforcement conservation strategy was proposed: under dynamic monitoring with optical fiber sensors and three-dimensional scanning, the wooden substrate was reinforced with moisture-curable polyurethane (MCPU), the lacquer ash layer was strengthened with acrylic emulsion (Primal AC33), aged areas were restored with nano calcium hydroxide (Ca(OH)2) aqueous dispersion, and polyethylene glycol (PEG 400) poultice application was implemented to restore the flexibility of the lacquer film. This research significantly enhanced the integrity and stability of the carved lacquer horse-hoof-shaped box, providing practical evidence and technical references for the scientific conservation of lacquerware excavated from arid regions of northern China. Full article
(This article belongs to the Special Issue Research and Conservation of Ancient Lacquer)
Show Figures

Figure 1

22 pages, 4116 KB  
Article
Specific Impact of the Layered Nanomodifiers—Graphene Nanoplates, and Na+ Montmorillonite on Thermal Degradation of Polylactic Acid: Mechanism and Kinetics
by Sergey Lomakin, Elena Koverzanova, Sergey Usachev, Natalia Shilkina, Anatoliy Khvatov, Natalia Erina, Svetlana Rogovina, Olga Kuznetsova, Valentina Siracusa, Alexander Berlin and Alexey Iordanskii
Polymers 2026, 18(3), 347; https://doi.org/10.3390/polym18030347 - 28 Jan 2026
Cited by 1 | Viewed by 483
Abstract
The aim of this study is to investigate the impact of layered nanomodifiers with distinct chemical structure and morphology, namely graphene nanoplates (GnP) and sodium montmorillonite (Na-MMT), on thermal degradation of polylactic acid (PLA). The exploration was performed with thermogravimetric analysis (TGA), differential [...] Read more.
The aim of this study is to investigate the impact of layered nanomodifiers with distinct chemical structure and morphology, namely graphene nanoplates (GnP) and sodium montmorillonite (Na-MMT), on thermal degradation of polylactic acid (PLA). The exploration was performed with thermogravimetric analysis (TGA), differential scanning calorimetry (DSC), and pyrolytic gas chromatography–mass spectrometry (PyGCMS). The findings revealed a catalytic effect of Na-MMT on PLA thermal destabilization, manifested in accelerated degradation and the notable change in the composition of pyrolysis products. In contrast, the incorporation of graphene nanoplates into the PLA matrix induced a “barrier effect”: it imposed diffusion limitations on the emission of volatile degradation products during pyrolysis, which enhanced the thermal stability of the PLA/GnP composite and led to quantitative alterations in the distribution of major pyrolysis products. To elucidate the underlying degradation pathways, authors proposed a model kinetic analysis of thermal degradation for both PLA/GnP and PLA/Na-MMT composites. The analysis clearly distinguished the mechanistic differences between the two systems: while Na-MMT promotes catalytic decomposition, GnP primarily acts as the physical barrier retarding mass transport and delaying the thermal degradation development. Good alignment of theoretical model–kinetic predictions with Pyrolysis–GC/MS observations confirms the robustness of the suggested kinetic modeling method. Full article
(This article belongs to the Special Issue Degradation and Stability of Polymer-Based Systems: 2nd Edition)
Show Figures

Graphical abstract

22 pages, 2631 KB  
Article
Impact of Anaerobic Pyrolysis Temperature on the Formation of Volatile Hydrocarbons in Wheat Straw
by Kamil Roman, Dominika Szadkowska and Jan Szadkowski
Materials 2026, 19(2), 436; https://doi.org/10.3390/ma19020436 - 22 Jan 2026
Viewed by 319
Abstract
The anaerobic thermal decomposition of plant biomass produces raw materials such as wood charcoal, wood oil, or biogas, which can be used to replace conventional fossil fuels. This enables the development of environmentally friendly alternatives to traditional fuels without the need to develop [...] Read more.
The anaerobic thermal decomposition of plant biomass produces raw materials such as wood charcoal, wood oil, or biogas, which can be used to replace conventional fossil fuels. This enables the development of environmentally friendly alternatives to traditional fuels without the need to develop new technologies, such as engines. The aim of the study was to verify the substances produced during the anaerobic thermal decomposition process of wheat straw. Measurement was carried out by pyrolysis at eight selected temperatures between 350 °C and 1050 °C, with an increase of 100 °C. The analysis was performed on a pyrolyzer coupled to a gas chromatograph (PY/GC-MS). An ANOVA test was used to detect the significance of the results. Based on the ANOVA analysis, the distribution of compound classes in the three temperature regimes was statistically significant. Phenolic compounds reached their highest relative abundance (or relative content) at 650 °C, while PAHs (polycyclic aromatic hydrocarbons) were absent below 550 °C and increased sharply above 850 °C. The results illustrate the thermal decomposition pathway of straw biomass: low-temperature pyrolysis favors the formation of oxygen-rich bio-oils, while higher temperatures increase aromatic condensation and PAH production. Full article
(This article belongs to the Section Green Materials)
Show Figures

Graphical abstract

22 pages, 6975 KB  
Article
Towards a Comprehensive Understanding of Microplastics and Antifouling Paint Particles from Ship-Hull Derusting Wastewater and Their Emissions into the Marine Environment
by Can Zhang, Yufan Chen, Wenbin Zhao, Jianhua Zhou and Deli Wu
J. Mar. Sci. Eng. 2026, 14(2), 195; https://doi.org/10.3390/jmse14020195 - 17 Jan 2026
Cited by 1 | Viewed by 483
Abstract
Microplastics (MPs) and Antifouling Paint Particles (APPs) are pervasive anthropogenic pollutants that threaten global ecosystems, with distinct yet overlapping environmental behaviors and toxic impacts. MPs disperse widely in aquatic systems via runoff and wastewater; their toxicity stems from physical, chemical, and synergistic effects. [...] Read more.
Microplastics (MPs) and Antifouling Paint Particles (APPs) are pervasive anthropogenic pollutants that threaten global ecosystems, with distinct yet overlapping environmental behaviors and toxic impacts. MPs disperse widely in aquatic systems via runoff and wastewater; their toxicity stems from physical, chemical, and synergistic effects. APPs are concentrated in coastal zones, estuaries, and shipyard areas, and are acutely toxic due to their high metal and biocide content. This study systematically characterized the composition, concentration, and size distribution of common MPs and APPs in ship-hull derusting wastewater produced by ultra-high-pressure water jetting, using pyrolysis-gas chromatography/mass spectrometry (Py-GC/MS) coupled with particle size analysis. The wastewater exhibited a total suspended solids (TSS) concentration of 20.04 g·L−1, within which six types of MPs were identified at 3.29 mg·L−1 in total and APPs were quantified at 330.25 mg·L−1, representing 1.65% of TSS. The residual fraction primarily consisted of algae, biological debris, and inorganic particles. Particle size distribution ranged from 3.55 to 111.47 μm, with a median size (D50) of 31 μm, while APPs were mainly 5–100 μm, with 81.4% < 50 μm. Extrapolation to the annual treated ship-hull surface area in 2024 indicated the generation of ~57,440 m3 wastewater containing ~0.2 tons of MPs and ~19 tons of APPs. These findings highlight the magnitude of pollutant release from ship maintenance activities and underscore the urgent need for targeted treatment technologies and regulatory policies to mitigate microplastic pollution in marine environments. Full article
(This article belongs to the Section Marine Hazards)
Show Figures

Figure 1

23 pages, 4533 KB  
Article
Environmental Filtering Drives Microbial Community Shifts and Functional Niche Differentiation of Fungi in Waterlogged and Dried Archeological Bamboo Slips
by Liwen Zhong, Weijun Li, Guoming Gao, Yu Wang, Cen Wang and Jiao Pan
J. Fungi 2026, 12(1), 66; https://doi.org/10.3390/jof12010066 - 14 Jan 2026
Viewed by 651
Abstract
Changes in preservation conditions act as an important environmental filter driving shifts in microbial communities. However, the precise identities, functional traits, and ecological mechanisms of the dominant agents driving stage-specific deterioration remain insufficiently characterized. This study investigated microbial communities and dominant fungal degraders [...] Read more.
Changes in preservation conditions act as an important environmental filter driving shifts in microbial communities. However, the precise identities, functional traits, and ecological mechanisms of the dominant agents driving stage-specific deterioration remain insufficiently characterized. This study investigated microbial communities and dominant fungal degraders in waterlogged versus dried bamboo slips using amplicon sequencing, multivariate statistics, and microbial isolation. Results revealed compositionally distinct communities, with dried slips sharing only a small proportion of operational taxonomic units (OTUs) with waterlogged slips, while indicating the persistence of a subset of taxa across preservation states. A key discovery was the dominance of Fonsecaea minima (92% relative abundance) at the water-solid-air interface of partially submerged slips. Scanning electron microscopy (SEM) and pyrolysis-gas chromatography/mass spectrometry (Py-GC/MS) indicate that this fungus forms melanin-rich, biofilm-like surface structures, suggesting enhanced surface colonization and stress resistance. In contrast, the fungal community isolated from dried slips was characterized by Apiospora saccharicola associated with detectable xylanase activity. Meanwhile, the xerophilic species Xerogeomyces pulvereus dominated (99% relative abundance) the storage box environment. Together, these results demonstrate that preservation niches select for fungi with distinct functional traits, highlighting the importance of stage-specific preservation strategies that consider functional traits rather than taxonomic identity alone. Full article
(This article belongs to the Special Issue Mycological Research in Cultural Heritage Protection)
Show Figures

Figure 1

34 pages, 3942 KB  
Article
Microplastics Across Interconnected Aquatic Matrices: A Comparative Study of Marine, Riverine, and Wastewater Matrices in Northern Greece
by Nina Maria Ainali, Dimitrios N. Bikiaris and Dimitra A. Lambropoulou
Appl. Sci. 2026, 16(2), 772; https://doi.org/10.3390/app16020772 - 12 Jan 2026
Viewed by 621
Abstract
Microplastics (MPs) and nanoplastics (NPs) have emerged as pervasive pollutants across different aquatic systems on a global basis, yet integrated assessments linking wastewater, riverine, and marine environments remain scarce. The present study provides the first comprehensive evaluation of MPs in three interconnected aquatic [...] Read more.
Microplastics (MPs) and nanoplastics (NPs) have emerged as pervasive pollutants across different aquatic systems on a global basis, yet integrated assessments linking wastewater, riverine, and marine environments remain scarce. The present study provides the first comprehensive evaluation of MPs in three interconnected aquatic matrices of Northern Greece, namely surface seawater from the Thermaic Gulf, surface freshwater from the Axios River, and influent and effluent wastewaters from the Thessaloniki WWTP (Sindos). During two sampling periods spanning late 2023 and spring 2024, suspected MPs were isolated, morphologically classified by stereomicroscopy, and chemically characterized through pyrolysis–gas chromatography/mass spectrometry (Py–GC/MS). MPs were ubiquitously detected in all substrates, exhibiting distinct spatial and compositional patterns. Seawater samples displayed moderate concentrations (1.5–4.8 items m−3) dominated by fibers and fragments, while riverine samples contained slightly higher levels (0.5–2.5 items m−3), enriched in fibrous forms and polyolefins (PE, PP). Wastewater influents showed the highest MP abundance (78–200 items L−1; 155.6–392.3 µg L−1), decreasing significantly in effluents (11–44 items L−1; 27.8–74.3 µg L−1), corresponding to a removal efficiency of 81–87.5%, being the first indicative removal efficiencies in a Greek WWTP. Among the different polymers detected, polyethylene, polypropylene, and poly(ethylene terephthalate) were identified as the most prevalent polymers across all matrices. Interestingly, a shift toward smaller size classes (125–500 µm) in effluents indicated in-plant fragmentation processes, while increased concentrations during December coincided with increased rainfall, highlighting the influence of hydrological conditions on MP fluxes. The combined morphological and polymer-specific approach provides a holistic zunderstanding of MP transport from inland to marine systems, establishing essential baseline data for Mediterranean environments and reinforcing the need for integrated monitoring and mitigation strategies. Full article
Show Figures

Graphical abstract

19 pages, 1817 KB  
Article
Volatiles Generated in the Pyrolysis of Greenhouse Vegetable Waste
by Sergio Medina, Ullrich Stahl, Fernando Gómez, Angela N. García and Antonio Marcilla
Biomass 2026, 6(1), 2; https://doi.org/10.3390/biomass6010002 - 4 Jan 2026
Viewed by 490
Abstract
Waste valorization is a necessary activity for the development of the circular economy. Pyrolysis as a waste valorization pathway has been extensively studied, as it allows for obtaining different fractions with diverse and valuable applications. The joint analysis of results generated by thermogravimetry [...] Read more.
Waste valorization is a necessary activity for the development of the circular economy. Pyrolysis as a waste valorization pathway has been extensively studied, as it allows for obtaining different fractions with diverse and valuable applications. The joint analysis of results generated by thermogravimetry (TGA) and analytical pyrolysis (Py-GC/MS) allows for the characterization of waste materials and the assessment of their potential as sources of energy, value-added chemicals and biochar, as well as providing awareness for avoiding potential harmful emissions if the process is performed without proper control or management. In the present study, these techniques were employed on three greenhouse plant residues (broccoli, tomato, and zucchini). Analytical pyrolysis was conducted at eight temperatures ranging from 100 to 800 °C, investigating the evolution of compounds grouped by their functional groups, as well as the predominant compounds of each biomass. It was concluded that the decomposition of biomass initiates between 300–400 °C, with the highest generation of volatiles occurring around 500–600 °C, where pyrolytic compounds span a wide range of molecular weights. The production of organic acids, ketones, alcohols, and furan derivatives peaks around 500 °C, whereas alkanes, alkenes, benzene derivatives, phenols, pyrroles, pyridines, and other nitrogenous compounds increase with temperature up to 700–800 °C. The broccoli biomass exhibited a higher yield of alcohols and furan derivatives, while zucchini and tomato plants, compared to broccoli, were notable for their nitrogen-containing groups (pyridines, pyrroles, and other nitrogenous compounds). Full article
Show Figures

Figure 1

Back to TopTop