Process Characterization of Polyvinyl Acetate Emulsions Applying Inline Photon Density Wave Spectroscopy at High Solid Contents
Abstract
1. Introduction
2. Materials and Methods
2.1. Synthesis of Polyvinyl Acetate Dispersions
2.2. Analysis of Polymer Emulsions
2.3. Photon Density Wave Spectroscopy
3. Results and Discussion
3.1. Dispersion Analysis
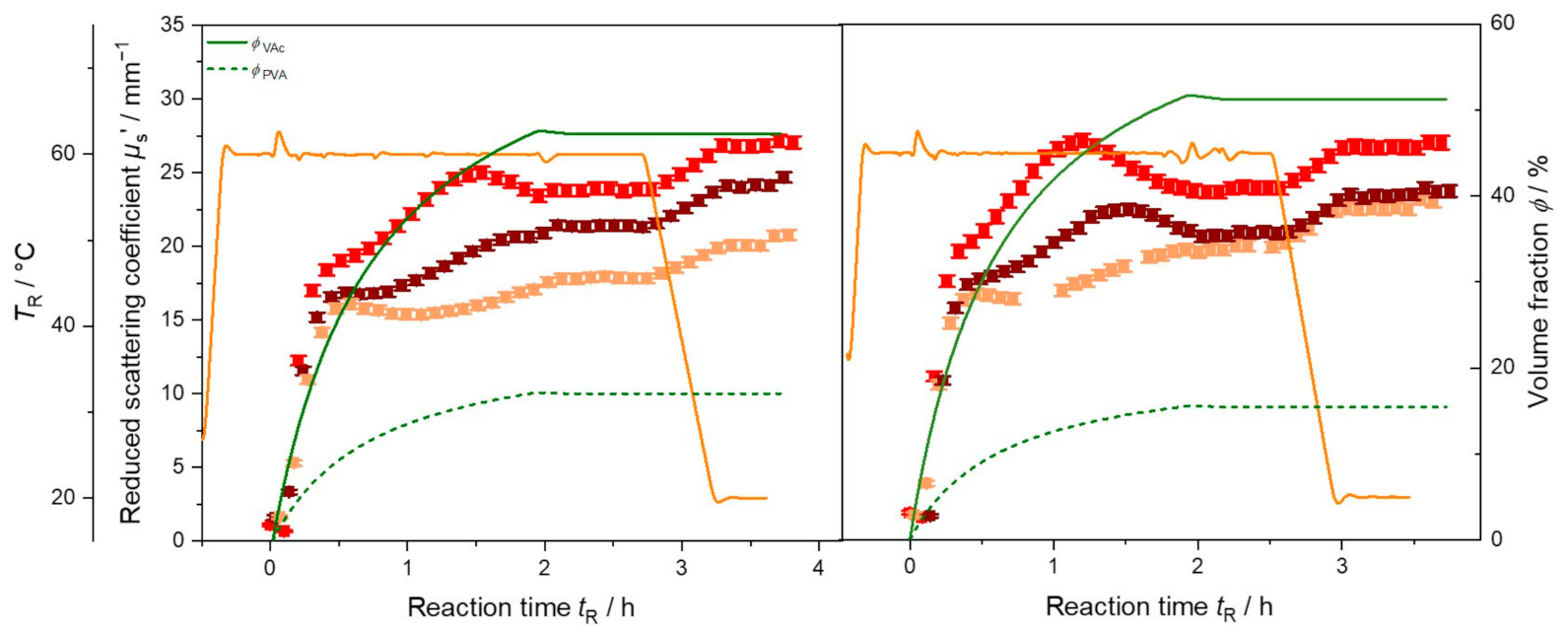
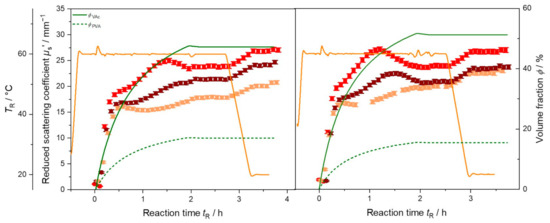
3.2. Polymerization Monitoring Using PDW Spectroscopy
3.3. Comparison to Offline Size Analysis
3.4. Inline Process Control Using PDW Spectroscopy
4. Conclusions and Further Research
Supplementary Materials
Author Contributions
Funding
Informed Consent Statement
Data Availability Statement
Conflicts of Interest
References
- Yilmaz, F.; Yamak, H.B. Emulsion Polymerization: Effects of Polymerization Variables on the Properties of Vinyl Acetate Based Emulsion Polymers; InTech: Rijeka, Croatia, 2013; ISBN 978-953-51-0941-9. [Google Scholar]
- Anastas, P.T.; Warner, J.C. Green Chemistry: Theory and Practice; Oxford University Press: New York, NY, USA, 2000; p. 30. ISBN 978-0-198-50698-0. [Google Scholar]
- Behr, A.; Agar, D.W.; Jörissen, J.; Vorholt, A.J. Einführung in die technische Chemie, 2nd ed.; Springer Spektrum: Wiesbaden, Germany, 2016; ISBN 13. [Google Scholar]
- Tieke, B. Makromolekulare Chemie, 3rd ed.; Wiley-VCH: Weinheim, Germany, 2014; ISBN 978-3-527-68351-2. [Google Scholar]
- Lerche, D.; Miller, R.; Schaeffler, M. Dispersionseigenschaften 2D-Rheologie, 3D-Rheologie, Stabilitaet, 1. Auflage; Eigenverlag: Berlin-Potsdam, Germany, 2015; ISBN 978-3-00-045864-4. [Google Scholar]
- Zhang, Y.; Pang, B.; Yang, S.; Fang, W.; Yang, S.; Yuan, T.-Q.; Sun, R.-C. Improvement in Wood Bonding Strength of Poly (Vinyl Acetate-Butyl Acrylate) Emulsion by Controlling the Amount of Redox Initiator. Materials 2018, 11, 89. [Google Scholar] [CrossRef]
- Sekeri, S.H.; Ibrahim, M.N.M.; Umar, K.; Yaqoob, A.A.; Azmi, M.N.; Hussin, M.H.; Othman, M.B.H.; Malik, M.F.I.A. Preparation and Characterization of Nanosized Lignin from Oil Palm (Elaeis Guineensis) Biomass as a Novel Emulsifying Agent. Int. J. Biol. Macromol. 2020, 164, 3114–3124. [Google Scholar] [CrossRef]
- Atanase, L.I.; Bistac, S.; Riess, G. Effect of Poly(Vinyl Alcohol-Co-Vinyl Acetate) Copolymer Blockiness on the Dynamic Interfacial Tension and Dilational Viscoelasticity of Polymer–Anionic Surfactant Complex at the Water-1-Chlorobutane Interface. Soft Matter 2015, 11, 2665–2672. [Google Scholar] [CrossRef] [PubMed]
- Atanase, L.; Riess, G. Thermal Cloud Point Fractionation of Poly(Vinyl Alcohol-Co-Vinyl Acetate): Partition of Nanogels in the Fractions. Polymers 2011, 3, 1065–1075. [Google Scholar] [CrossRef]
- Atanase, L.-I.; Boscher, V.; Lasuye, T.; Stasik, B.; Riess, G. Colloidal Characteristics of Vinyl Alcohol-Vinyl Acetate Copolymers by Complex Formation with Sodium Dodecyl Sulphate. Rev. Roum. Chim. 2009, 54, 557–581. [Google Scholar]
- Chern, C.S. Emulsion Polymerization Mechanisms and Kinetics. Prog. Polym. Sci. 2006, 31, 443–486. [Google Scholar] [CrossRef]
- Sajjadi, S. Particle Formation under Monomer-Starved Conditions in the Semibatch Emulsion Polymerization of Styrene. J. Polym. Sci. 2001, 39, 3940–3952. [Google Scholar] [CrossRef]
- Suzuki, A.; Yano, M.; Saiga, T.; Kikuchi, K.; Okaya, T. Study on the Initial Stage of Emulsion Polymerization of Vinyl Acetate Using Poly(Vinyl Alcohol) as a Protective Colloid. Colloid Polym. Sci. 2003, 281, 337–342. [Google Scholar] [CrossRef]
- Agirre, A.; Calvo, I.; Weitzel, H.-P.; Hergeth, W.-D.; Asua, J.M. Semicontinuous Emulsion Co-Polymerization of Vinyl Acetate and VeoVa10. Ind. Eng. Chem. Res. 2014, 53, 9282–9295. [Google Scholar] [CrossRef]
- Agirre, A.; Weitzel, H.-P.; Hergeth, W.-D.; Asua, J.M. Process Intensification of VAc–VeoVa10 Latex Production. Chem. Eng. J. 2015, 266, 34–47. [Google Scholar] [CrossRef]
- Lepizzera, S.M.; Hamielec, A.E. Nucleation of Particles in Seeded Emulsion Polymerization of Vinyl Acetate with Poly(Vinyl Alcohol) as Emulsifier. Macromol. Chem. Phys. 1994, 195, 3103–3115. [Google Scholar] [CrossRef]
- Finetti, F.; Lugli, M.; Saija, L.M. Industrial Production of Poly Vinyl Acetate Dispersions: Relationship Between Latex Properties and Polymerization Start-Up Temperature. Polym. Plast. Technol. Eng. 2013, 52, 1133–1139. [Google Scholar] [CrossRef]
- Kongr, X.Z.; Pichot, C.; Guillot, J. Characterization of Particle Surface and Morphology in Vinyl Acetate-Butyl Acrylate Emulsion Copolymers—Influence of the Copolymerization Pathway. Colloid Polym. Sci. 1987, 265, 791–802. [Google Scholar] [CrossRef]
- Harner, R.S.; Ressler, R.J.; Briggs, R.L.; Hitt, J.E.; Larsen, P.A.; Frank, T.C. Use of a Fiber-Optic Turbidity Probe to Monitor and Control Commercial-Scale Unseeded Batch Crystallizations. Org. Process Res. Dev. 2009, 13, 114–124. [Google Scholar] [CrossRef]
- Muenzberg, M.; Hass, R.; Dinh Duc Khanh, N.; Reich, O. Limitations of Turbidity Process Probes and Formazine as Their Calibration Standard. Anal. Bioanal. Chem. 2017, 409, 719–728. [Google Scholar] [CrossRef] [PubMed]
- Muenzberg, M.; Hass, R.; Reich, O. In-Line Characterization of Phase Inversion Temperature Emulsification by Photon Density Wave Spectroscopy. SOFW J. 2013, 139, 38–46. [Google Scholar]
- Hass, R.; Muenzberg, M.; Bressel, L.; Reich, O. Industrial Applications of Photon Density Wave Spectroscopy for In-Line Particle Sizing. Appl. Opt. 2013, 52, 1423. [Google Scholar] [CrossRef]
- Jacob, L.I.; Pauer, W. In-Line Monitoring of Latex-Particle Size during Emulsion Polymerizations with a High Polymer Content of More than 60%. RSC Adv. 2020, 10, 26528–26534. [Google Scholar] [CrossRef]
- Bressel, K.; Müller, W.; Leser, M.E.; Reich, O.; Hass, R.; Wooster, T.J. Depletion-Induced Flocculation of Concentrated Emulsions Probed by Photon Density Wave Spectroscopy. Langmuir 2020, 36, 3504–3513. [Google Scholar] [CrossRef] [PubMed]
- Gutschmann, B.; Schiewe, T.; Weiske, M.T.H.; Neubauer, P.; Hass, R.; Riedel, S.L. In-Line Monitoring of Polyhydroxyalkanoate (PHA) Production during High-Cell-Density Plant Oil Cultivations Using Photon Density Wave Spectroscopy. Bioengineering 2019, 6, 85. [Google Scholar] [CrossRef]
- Häne, J.; Brühwiler, D.; Ecker, A.; Hass, R. Real-Time Inline Monitoring of Zeolite Synthesis by Photon Density Wave Spectroscopy. Microporous Mesoporous Mater. 2019, 288, 109580. [Google Scholar] [CrossRef]
- Bressel, L.; Hass, R.; Reich, O. Particle Sizing in Highly Turbid Dispersions by Photon Density Wave Spectroscopy. J. Quant. Spectrosc. Radiat. Transf. 2013, 126, 122–129. [Google Scholar] [CrossRef]
- Bressel, L. Bedeutung Der Abhaengigen Streuung Für Die Optischen Eigenschaften Hochkonzentrierter Dispersionen. Doctoral’s Dissertation, University of Potsdam, Potsdam, Germany, 2016. [Google Scholar]
- Bressel, L.; Wolter, J.; Reich, O. Particle Sizing in Highly Turbid Dispersions by Photon Density Wave Spectroscopy: Bidisperse Systems. J. Quant. Spectrosc. Radiat. Transf. 2015, 162, 213–220. [Google Scholar] [CrossRef]
- Zecha, H.; Weitz, H.-P. Method for Producing Vinyl Ester Polymers Having Specifically Settable Dispersity and Low Polydispersity. U.S. Patent 9,650,507 B2, 16 May 2017. [Google Scholar]
- Damas, C.; Leprince, T.; Ngo, T.H.V.; Coudert, R. Behavior Study of Polyvinyl Alcohol Aqueous Solution in Presence of Short Chain Micelle-Forming Polyols. Colloid Polym. Sci. 2008, 286, 999–1007. [Google Scholar] [CrossRef]
- Hass, R. Angewandte Photonendichtewellen Spektroskopie. Doctoral Dissertation, University of Potsdam, Potsdam, Germany, 2011. [Google Scholar]
- Hass, R.; Reich, O. Photon Density Wave Spectroscopy for Dilution-Free Sizing of Highly Concentrated Nanoparticles During Starved–feed Polymerization. ChemPhysChem 2011, 12, 2572–2575. [Google Scholar] [CrossRef]
- Hass, R.; Munzke, D.; Reich, O. Inline-Partikelgrößenmesstechniken für Suspensionen und Emulsionen. Chem. Ing. Tech. 2010, 82, 477–490. [Google Scholar] [CrossRef]
- Reich, O. Photonendichtewellenspektroskopie mit Intensitaetsmodulierten Diodenlasern. Doctoral’s Dissertation, University of Potsdam, Potsdam, Gemany, 2005. [Google Scholar]
- Flory, P.J. The Mechanism of Vinyl Polymerizations. J. Am. Chem. Soc. 1937, 59, 241–253. [Google Scholar] [CrossRef]
- Jelinska, N.; Tupureina, V. Poly (Vinyl Alcohol)/Poly (Vinyl Acetate) Blend Films. Sci. J. Riga Tech. Univ. 2010, 21, 7. [Google Scholar]







| Synthesis | Volume VVAc /mL | Feed Rate VAc /mL min−1 | Feed Rate PVA /mL min−1 | Volume VAA /mL | Volume VNaPS /mL |
|---|---|---|---|---|---|
| VAc_1 | 350 | 4.52 | 2.46 | 31.66 | 31.66 |
| VAc_1.5 | 525 | 4.52 | 1.64 | 44.55 | 44.55 |
| VAc_1.6 | 560 | 4.52 | 1.53 | 50.66 | 50.66 |
| VAc_1.8 | 630 | 4.52 | 1.36 | 53.33 | 53.33 |
| VAc_2 | 700 | 4.52 | 1.23 | 63.33 | 63.33 |
| Component | Dosed Volume V1 /mL | Target Volume V2 /mL | Fraction /% |
|---|---|---|---|
| Monomer VAc | 339.16 | 350 | 96.90 |
| PVA solution 15.7% (w/w) | 184.125 | 190 | 96.90 |
| Initiator solution 4.5% (w/w) NaPS | 34.6 | 31.6 | 109.29 |
| Initiator solution 3.5% (w/w) AA | 34.6 | 31.6 | 109.29 |
| Catalyst FAS | 0.009 | 0.009 | 100 |
| Total dispersion mass | 743.96 | 745.67 |
| Synthesis | VVAc/mL | ρP/g cm−3 | n (λ = 637 nm) |
|---|---|---|---|
| VAc_1 | 300 | 1.2015 ± 0.0004 | 1.4797 ± 0.0007 |
| VAc_1.5 | 525 | 1.2026 ± 0.0001 | 1.4827 ± 0.0010 |
| VAc_1.6 | 560 | 1.2055 ± 0.0001 | 1.4851 ± 0.0011 |
| VAc_1.8 | 630 | 1.2023 ± 0.0003 | 1.4906 ± 0.0007 |
| VAc_2 | 700 | -*1 | -*1 |
Publisher’s Note: MDPI stays neutral with regard to jurisdictional claims in published maps and institutional affiliations. |
© 2021 by the authors. Licensee MDPI, Basel, Switzerland. This article is an open access article distributed under the terms and conditions of the Creative Commons Attribution (CC BY) license (http://creativecommons.org/licenses/by/4.0/).
Share and Cite
Schlappa, S.; Brenker, L.J.; Bressel, L.; Hass, R.; Münzberg, M. Process Characterization of Polyvinyl Acetate Emulsions Applying Inline Photon Density Wave Spectroscopy at High Solid Contents. Polymers 2021, 13, 669. https://doi.org/10.3390/polym13040669
Schlappa S, Brenker LJ, Bressel L, Hass R, Münzberg M. Process Characterization of Polyvinyl Acetate Emulsions Applying Inline Photon Density Wave Spectroscopy at High Solid Contents. Polymers. 2021; 13(4):669. https://doi.org/10.3390/polym13040669
Chicago/Turabian StyleSchlappa, Stephanie, Lee Josephine Brenker, Lena Bressel, Roland Hass, and Marvin Münzberg. 2021. "Process Characterization of Polyvinyl Acetate Emulsions Applying Inline Photon Density Wave Spectroscopy at High Solid Contents" Polymers 13, no. 4: 669. https://doi.org/10.3390/polym13040669
APA StyleSchlappa, S., Brenker, L. J., Bressel, L., Hass, R., & Münzberg, M. (2021). Process Characterization of Polyvinyl Acetate Emulsions Applying Inline Photon Density Wave Spectroscopy at High Solid Contents. Polymers, 13(4), 669. https://doi.org/10.3390/polym13040669

