Acetylation Modification of Waste Polystyrene and Its Use as a Crude Oil Flow Improver
Abstract
:1. Introduction
2. Materials and Methods
2.1. Material
2.2. Modification of Polystyrene
2.3. FT-IR Characterization
2.4. Viscosity Measurement
2.5. Pour Point Test
2.6. Optical Microscopy Analysis
3. Results
3.1. IR Spectrum Analysis
3.2. Effect of Mixed Solvents on Viscosity and Pour Point
3.3. Dissolution Effect of Reaction Product and Diesel Oil
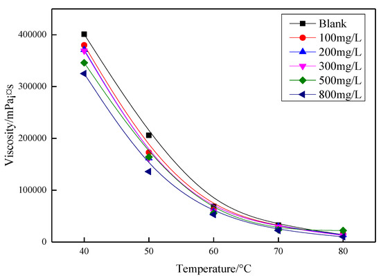
3.4. Viscosity Reduction Performance
3.5. Pour Point Depressing on Henan Oil
3.6. Wax Crystal Microscope Analysis
3.7. Mechanism
4. Conclusions
Author Contributions
Funding
Institutional Review Board Statement
Informed Consent Statement
Data Availability Statement
Acknowledgments
Conflicts of Interest
References
- Gu, X.; Li, Y.; Yan, J.; Zhang, J.; Wu, Y.; Wang, M.; Zhao, J.; Chen, G. Synthesis and Investigation of a Spiro Diborate as a Clean Viscosity-Reducer and Pour Point Depressor for Crude Oil. Pet. Chem. 2019, 59, 570–574. [Google Scholar]
- Gu, X.; Zhang, F.; Li, Y.; Zhang, J.; Chen, S.; Qu, C.; Chen, G. Investigation of cationic surfactants as clean flow improvers for crude oil and a mechanism study. J. Pet. Sci. Eng. 2018, 164, 87–90. [Google Scholar] [CrossRef]
- Zhou, Z.; Zhang, W.; Zhang, F.; Zhang, X.; Dong, S.; Zhang, J.; Chen, G. Synthesis of barium alkylbenzene sulfonate and its behavior as a flow improver for crude oil. Comptes Rendus Chim. 2021, 24, 83–89. [Google Scholar] [CrossRef]
- Chen, G.; Li, Y.; Zhao, W.; Qu, K.; Ning, Y.; Zhang, J. Investigation of cyclohexanone pentaerythritol ketal as a clean flow improver for crude oil. Fuel Process. Technol. 2015, 133, 64–68. [Google Scholar] [CrossRef]
- He, C.; Ding, Y.; Chen, J.; Wang, F.; Gao, C.; Zhang, S.; Yang, M. Influence of the nano-hybrid pour point depressant on flow properties of waxy crude oil. Fuel 2015, 167, 40–48. [Google Scholar] [CrossRef]
- Deka, B.; Sharma, R.; Mandal, A.; Mahto, V. Synthesis and evaluation of oleic acid based polymeric additive as pour point depressant to improve flow properties of Indian waxy crude oil. J. Pet. Sci. Eng. 2018, 170, 105–111. [Google Scholar] [CrossRef]
- Al-Sabagh, A.M.; Noor El-Din, M.R.; Morsi, R.E.; Elsabee, M.Z. Styrene-Maleic Anhydride Copolymer Esters as Flow Improvers of Waxy Crude Oil. J. Dispers. Sci. Technol. 2009, 30, 420–426. [Google Scholar] [CrossRef]
- Zhang, J.; Guo, Z.; Du, W.; Gu, X.; Wang, M.; Zhang, Z.; Ma, Y.; Chen, G. Preparation and Performance of Vegetable Oils Fatty Acids Hydroxylmethyl Triamides as Crude Oil Flow Improvers. Pet. Chem. 2018, 58, 1070–1075. [Google Scholar] [CrossRef]
- El-Ghazawy, R.A.; Ayman, M.A.; Khalid, I.K. Modified maleic anhydride-co-octadecene copolymers as flow improver for waxy Egyptian crude oil. J. Pet. Sci. Eng. 2014, 122, 411–419. [Google Scholar] [CrossRef]
- Akinyemi, O.P.; Udonne, J.D.; Oyedeko, K.F. Study of effects of blend of plant seed oils on wax deposition tendencies of Nigerian waxy crude oil. J. Pet. Sci. Eng. 2017, 161, 551–558. [Google Scholar] [CrossRef]
- Du, W.; Li, Y.; Yun, B.; Zhang, J.; Zhang, R.; Chen, G. Synthesis of cyclohexanone-alcohol hemiketals and evaluation as flow improver for waxy crude oil. Pet. Sci. Technol. 2019, 37, 796–803. [Google Scholar] [CrossRef]
- Al-Sabagh, A.M.; Khidr, T.T.; Moustafa, H.M.; Mishrif, M.R.; Al-Damasy, M.H. Investigating the synergistic effect between oil soluble surfactants and styrene–maleic anhydride copolymers to enhance the flow properties of waxy crude oil. Pet. Sci. Technol. 2017, 35, 1381–1388. [Google Scholar] [CrossRef]
- Quan, H.; Xing, L. The effect of hydrogen bonds between flow improvers with asphaltene for heavy crude oil. Fuel 2019, 237, 276–282. [Google Scholar] [CrossRef]
- Mao, J.; Liu, J.; Wang, H.; Yang, X.; Zhang, Z.; Yang, B.; Zhao, J. Novel terpolymers as viscosity reducing agent for Tahe super heavy oil. RSC Adv. 2017, 7, 19257–19261. [Google Scholar] [CrossRef] [Green Version]
- Chen, G.; Yuan, W.; Bai, Y.; Zhao, W.; Zhang, J.; Wu, Y.; Gu, X.; Chen, S.; Yu, H. Synthesis of pour point depressant for heavy oil from waste organic glass. Pet. Chem. 2018, 58, 85–88. [Google Scholar] [CrossRef]
- Gu, X.; Gao, L.; Li, Y.; Chen, S.; Zhang, J.; Du, W.; Qu, C.; Chen, G. Performance and Mechanism of Span Surfactants as Clean Flow Improvers for Crude Oil. Pet. Chem. 2020, 60, 140–145. [Google Scholar]
- Deshmukh, S.; Bharambe, D.P. The Improvement of Low Temperature Flow Characteristics of Waxy Crude Oil Using Multifunctional Polymeric Additives. Pet. Sci. Technol. 2014, 32, 1333–1339. [Google Scholar] [CrossRef]
- Ghanavati, M.; Shojaei, M.J.; Ahmad, R.S.A. Effects of Asphaltene Content and Temperature on Viscosity of Iranian Heavy Crude Oil: Experimental and Modeling Study. Energy Fuels 2013, 27, 7217–7232. [Google Scholar] [CrossRef]
- Chen, G.; Zhou, Z.; Shi, X.; Zhang, X.; Dong, S.; Zhang, J. Synthesis of alkylbenzenesulfonate and its behavior as flow improver in crude oil. Fuel 2021, 288, 119644. [Google Scholar] [CrossRef]
- Xu, J.; Guo, Z.; Zhang, F.; Wang, D.; Wang, Z.; Zhang, Y.; Chen, G. Preparation of Crude Oil Flow Improver from Vegetable Oil and the Performance Evaluation. Key Eng. Mater. 2018, 777, 226–231. [Google Scholar] [CrossRef]








| Pour Point, °C | Saturated HC, % | Aromatic HC, % | Resin, % | Asphaltene, % |
|---|---|---|---|---|
| 23.5 | 26.98 | 28.47 | 34.12 | 10.43 |
| Concentration, mg/L | 0 | 100 | 200 | 300 | 500 | 800 |
| Pour Point, °C | 23.5 | 22.2 | 21.8 | 21.4 | 21.1 | 20.7 |
| Concentration (mg/L) | Pour Point | ||||
|---|---|---|---|---|---|
| 1:1 | 1:2 | 1:4 | 1:9 | 1:10 | |
| 0 | 23.5 | 23.5 | 23.5 | 23.5 | 23.5 |
| 100 | 22.8 | 21.1 | 20.6 | 21.0 | 21.3 |
| 300 | 21.7 | 19.0 | 18.7 | 20.2 | 19.0 |
| 500 | 19.6 | 19.7 | 17.9 | 18.6 | 17.1 |
| 800 | 17.2 | 17.7 | 16.2 | 16.5 | 15.9 |
| 1000 | 16.3 | 16.0 | 14.7 | 14.9 | 15.1 |
Publisher’s Note: MDPI stays neutral with regard to jurisdictional claims in published maps and institutional affiliations. |
© 2021 by the authors. Licensee MDPI, Basel, Switzerland. This article is an open access article distributed under the terms and conditions of the Creative Commons Attribution (CC BY) license (https://creativecommons.org/licenses/by/4.0/).
Share and Cite
Zhang, W.; Slaný, M.; Zhang, J.; Liu, Y.; Zang, Y.; Li, Y.; Chen, G. Acetylation Modification of Waste Polystyrene and Its Use as a Crude Oil Flow Improver. Polymers 2021, 13, 2505. https://doi.org/10.3390/polym13152505
Zhang W, Slaný M, Zhang J, Liu Y, Zang Y, Li Y, Chen G. Acetylation Modification of Waste Polystyrene and Its Use as a Crude Oil Flow Improver. Polymers. 2021; 13(15):2505. https://doi.org/10.3390/polym13152505
Chicago/Turabian StyleZhang, Wangyuan, Michal Slaný, Jie Zhang, Yifan Liu, Yunlei Zang, Yongfei Li, and Gang Chen. 2021. "Acetylation Modification of Waste Polystyrene and Its Use as a Crude Oil Flow Improver" Polymers 13, no. 15: 2505. https://doi.org/10.3390/polym13152505
APA StyleZhang, W., Slaný, M., Zhang, J., Liu, Y., Zang, Y., Li, Y., & Chen, G. (2021). Acetylation Modification of Waste Polystyrene and Its Use as a Crude Oil Flow Improver. Polymers, 13(15), 2505. https://doi.org/10.3390/polym13152505

