Effect of Yerba Mate and Silk Fibroin Nanoparticles on the Migration Properties in Ethanolic Food Simulants and Composting Disintegrability of Recycled PLA Nanocomposites
Abstract
1. Introduction
2. Materials and Methods
2.1. Materials
2.2. Extraction of Yerba Mate Nanoparticles (YMN)
2.3. Obtention of the Silk Fibroin Nanoparticles (SFN)
2.4. Mechanical Recycling of PLA and Preparation of the Nanocomposites
2.5. Overall Migration Tests
2.6. Disintegration under Composting Conditions
2.7. Characterization Techniques
2.8. Statistical Analysis
3. Results and Discussion
3.1. Migration to the Food Simulants
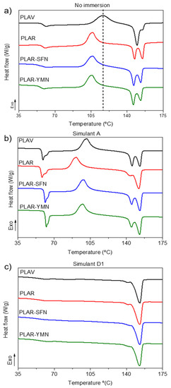
3.2. Structural Changes after Immersion in the Food Simulants
3.3. Variation in the Properties of the Materials as a Result of the Immersion in Food Simulants
3.4. Disintegration under Industrial Composting Conditions
4. Conclusions
Supplementary Materials
Author Contributions
Funding
Institutional Review Board Statement
Informed Consent Statement
Data Availability Statement
Conflicts of Interest
References
- Reddy, M.M.; Vivekanandhan, S.; Misra, M.; Bhatia, S.K.; Mohanty, A.K. Biobased Plastics and Bionanocomposites: Current Status and Future Opportunities. Prog. Polym. Sci. 2013, 38, 1653–1689. [Google Scholar] [CrossRef]
 - Farah, S.; Anderson, D.G.; Langer, R. Physical and Mechanical Properties of PLA, and their Functions in Widespread Applications—A Comprehensive Review. Adv. Drug Deliv. Rev. 2016, 107, 367–392. [Google Scholar] [CrossRef] [PubMed]
 - Raquez, J.; Habibi, Y.; Murariu, M.; Dubois, P. Polylactide (PLA)-Based Nanocomposites. Prog. Polym. Sci. 2013, 38, 1504–1542. [Google Scholar] [CrossRef]
 - Castro-Aguirre, E.; Iñiguez-Franco, F.; Samsudin, H.; Fang, X.; Auras, R. Poly(Lactic Acid)—Mass Production, Processing, Industrial Applications, and End of Life. Adv. Drug Deliv. Rev. 2016, 107, 333–366. [Google Scholar] [CrossRef]
 - Arrieta, P.M.; Samper, D.M.; Aldas, M.; López, J. On the use of PLA-PHB Blends for Sustainable Food Packaging Applications. Materials 2017, 10, 1008. [Google Scholar] [CrossRef] [PubMed]
 - Luzi, F.; Torre, L.; Kenny, J.M.; Puglia, D. Bio- and Fossil-Based Polymeric Blends and Nanocomposites for Packaging: Structure—Property Relationship. Materials 2019, 12, 471. [Google Scholar] [CrossRef] [PubMed]
 - IfBB—Institute for Bioplastics and Biocomposites. Biopolymers Facts and Statistics 2020; Hochschule Hannover University of Applied Sciences and Arts: Hannover, Germany, 2020. [Google Scholar]
 - Kale, G.; Auras, R.; Singh, S.P. Comparison of the Degradability of Poly(Lactide) Packages in Composting and Ambient Exposure Conditions. Packag. Technol. Sci. 2007, 20, 49–70. [Google Scholar] [CrossRef]
 - Arrieta, M.P. Influence of Plasticizers on the Compostability of Polylactic Acid. J. Appl. Res. Technol. Eng. 2021, 2, 1–9. [Google Scholar] [CrossRef]
 - Haider, T.; Völker, C.; Kramm, J.; Landfester, K.; Wurm, F.R. Plastics of the Future? the Impact of Biodegradable Polymers on the Environment and on Society. Angew. Chem. Int. Ed. 2019, 58, 50–62. [Google Scholar] [CrossRef]
 - Niaounakis, M. Recycling of Biopolymers—The Patent Perspective. Eur. Polym. J. 2019, 114, 464–475. [Google Scholar] [CrossRef]
 - Briassoulis, D.; Pikasi, A.; Hiskakis, M. Recirculation Potential of Post-Consumer/Industrial Bio-Based Plastics through Mechanical Recycling—Techno-Economic Sustainability Criteria and Indicators. Polym. Degrad. Stab. 2020, 109217. [Google Scholar] [CrossRef]
 - European Comission. A European Strategy for Plastics in a Circular Economy; European Comission: Brussels, Belgium, 2018. [Google Scholar]
 - De Andrade, M.F.; Souza, P.M.; Cavalett, O.; Morales, A.R. Life Cycle Assessment of Poly(Lactic Acid) (PLA): Comparison between Chemical Recycling, Mechanical Recycling and Composting. J. Polym. Environ. 2016, 24, 372–384. [Google Scholar] [CrossRef]
 - Maga, D.; Hiebel, M.; Thonemann, N. Life Cycle Assessment of Recycling Options for Polylactic Acid. Resour. Conserv. Recycl. 2019, 149, 86–96. [Google Scholar] [CrossRef]
 - Samper, M.D.; Bertomeu, D.; Arrieta, M.P.; Ferri, J.M.; López-Martínez, J. Interference of Biodegradable Plastics in the Polypropylene Recycling Process. Materials 2018, 11, 1886. [Google Scholar] [CrossRef] [PubMed]
 - McLauchlin, A.R.; Ghita, O.; Gahkani, A. Quantification of PLA Contamination in PET during Injection Moulding by in-Line NIR Spectroscopy. Polym. Test. 2014, 38, 46–52. [Google Scholar] [CrossRef]
 - Beltrán, F.R.; Lorenzo, V.; Acosta, J.; de la Orden, M.U.; Urreaga, J.M. Effect of Simulated Mechanical Recycling Processes on the Structure and Properties of Poly(Lactic Acid). J. Environ. Manag. 2018, 216, 25–31. [Google Scholar] [CrossRef] [PubMed]
 - Beltrán, F.R.; Infante, C.; de la Orden, M.U.; Urreaga, J.M. Mechanical Recycling of Poly(Lactic Acid): Evaluation of a Chain Extender and a Peroxide as Additives for Upgrading the Recycled Plastic. J. Clean. Prod. 2019, 219, 46–56. [Google Scholar] [CrossRef]
 - Tuna, B.; Ozkoc, G. Effects of Diisocyanate and Polymeric Epoxidized Chain Extenders on the Properties of Recycled Poly(Lactic Acid). J. Polym. Environ. 2017, 25, 983–993. [Google Scholar] [CrossRef]
 - Beltrán, F.R.; Climent-Pascual, E.; de la Orden, M.U.; Urreaga, J.M. Effect of Solid-State Polymerization on the Structure and Properties of Mechanically Recycled Poly(Lactic Acid). Polym. Degrad. Stab. 2020, 171, 109045. [Google Scholar] [CrossRef]
 - Beltrán, F.R.; de la Orden, M.U.; Urreaga, J.M. Amino-Modified Halloysite Nanotubes to Reduce Polymer Degradation and Improve the Performance of Mechanically Recycled Poly(Lactic Acid). J. Polym. Environ. 2018, 26, 4046–4055. [Google Scholar] [CrossRef]
 - Beltrán, F.R.; Arrieta, M.P.; Gaspar, G.; de la Orden, M.U.; Urreaga, J.M. Effect of Iignocellulosic Nanoparticles Extracted from Yerba Mate (Ilex paraguariensis) on the Structural, Thermal, Optical and Barrier Properties of Mechanically Recycled Poly(Lactic Acid). Polymers 2020, 12, 1690. [Google Scholar] [CrossRef]
 - Beltrán, F.R.; Gaspar, G.; Chomachayi, M.D.; Jalali-Arani, A.; Lozano-Pérez, A.A.; Cenis, J.L.; María, U.; Pérez, E.; Urreaga, J.M. Influence of Addition of Organic Fillers on the Properties of Mechanically Recycled PLA. Environ. Sci. Pollut. Res. 2020, 28, 24291–24304. [Google Scholar] [CrossRef]
 - Villegas, C.; Arrieta, M.P.; Rojas, A.; Torres, A.; Faba, S.; Toledo, M.J.; Gutierrez, M.A.; Zavalla, E.; Romero, J.; Galotto, M.J.; et al. PLA/Organoclay Bionanocomposites Impregnated with Thymol and Cinnamaldehyde by Supercritical Impregnation for Active and Sustainable Food Packaging. Compos. Part B Eng. 2019, 176, 107336. [Google Scholar] [CrossRef]
 - Arrieta, M.P.; Peponi, L.; López, D.; Fernández-García, M. Recovery of Yerba Mate (Ilex paraguariensis) Residue for the Development of PLA-Based Bionanocomposite Films. Ind. Crops Prod. 2018, 111, 317–328. [Google Scholar] [CrossRef]
 - Deladino, L.; Anbinder, P.S.; Navarro, A.S.; Martino, M.N. Encapsulation of Natural Antioxidants Extracted from Ilex paraguariensis. Carbohydr. Polym. 2008, 71, 126–134. [Google Scholar] [CrossRef]
 - De Mejía, E.G.; Song, Y.S.; Heck, C.I.; Ramírez-Mares, M. Yerba Mate Tea (Ilex paraguariensis): Phenolics, Antioxidant Capacity and in Vitro Inhibition of Colon Cancer Cell Proliferation. J. Funct. Foods 2010, 2, 23–34. [Google Scholar] [CrossRef]
 - Chomachayi, M.D.; Jalali-arani, A.; Beltrán, F.R.; de la Orden, M.U.; Urreaga, J.M. Biodegradable Nanocomposites Developed from PLA/PCL Blends and Silk Fibroin Nanoparticles: Study on the Microstructure, Thermal Behavior, Crystallinity and Performance. J. Polym. Environ. 2020, 28, 1252–1264. [Google Scholar] [CrossRef]
 - Gong, Y.; Li, L.; Gong, D.; Yin, H.; Zhang, J. Biomolecular Evidence of Silk from 8500 Years Ago. PLoS ONE 2016, 11, e0168042. [Google Scholar]
 - Huang, W.; Ling, S.; Li, C.; Omenetto, F.G.; Kaplan, D.L. Silkworm Silk-Based Materials and Devices Generated using Bio-Nanotechnology. Chem. Soc. Rev. 2018, 47, 6486–6504. [Google Scholar] [CrossRef] [PubMed]
 - Arrieta, M.P.; Castro-Lopez, M.D.; Rayón, E.; Barral-Losada, L.F.; López-Vilariño, J.M.; López, J.; González-Rodríguez, M.V. Plasticized Poly(Lactic Acid)–Poly(Hydroxybutyrate) (PLA–PHB) Blends Incorporated with Catechin Intended for Active Food-Packaging Applications. J. Agric. Food Chem. 2014, 62, 10170–10180. [Google Scholar] [CrossRef]
 - Arrieta, M.P.; de Dicastillo, C.L.; Garrido, L.; Roa, K.; Galotto, M.J. Electrospun PVA Fibers Loaded with Antioxidant Fillers Extracted from Durvillaea Antarctica Algae and their Effect on Plasticized PLA Bionanocomposites. Eur. Polym. J. 2018, 103, 145–157. [Google Scholar] [CrossRef]
 - Lozano-Pérez, A.A.; Rivero, H.C.; Hernández, M.D.; Pagán, A.; Montalbán, M.G.; Víllora, G.; Cénis, J.L. Silk Fibroin Nanoparticles: Efficient Vehicles for the Natural Antioxidant Quercetin. Int. J. Pharm. 2017, 518, 11–19. [Google Scholar] [CrossRef] [PubMed]
 - Carissimi, G.; Lozano-Pérez, A.A.; Montalbán, M.G.; Aznar-Cervantes, S.; Cenis, J.L.; Víllora, G. Revealing the Influence of the Degumming Process in the Properties of Silk Fibroin Nanoparticles. Polymers 2019, 11, 2045. [Google Scholar] [CrossRef] [PubMed]
 - Ajisawa, A. Dissolution of Silk Fibroin with Calciumchloride/Ethanol Aqueous Solution; Studies on the Dissolution of Silk Fibroin. (IX). J. Sericult. Sci. Jpn. 1998, 67, 91–94. [Google Scholar]
 - Chariyachotilert, C.; Joshi, S.; Selke, S.E.M.; Auras, R. Assessment of the Properties of Poly(L-Lactic Acid) Sheets Produced with Differing Amounts of Postconsumer Recycled Poly(L-Lactic Acid). J. Plast. Film Sheeting 2012, 28, 314–335. [Google Scholar] [CrossRef]
 - European Comission. Commission Regulation (EU) No 10/2011 of 14 January 2011 on Plastic Materials and Articles Intended to Come into Contact with Food; European Comission: Brussels, Belgium, 2011. [Google Scholar]
 - International Organization for Standarization. ISO 1186-1 Materials and Articles in Contact with Foodstuffs. Plastics. Part 1: Guide to the Selection of Conditions and Test Methods for Overall Migration; International Organization for Standarization: Geneve, Switzerland, 2002. [Google Scholar]
 - International Organization for Standarization. ISO 20200: Determination of the Degree of Disintegration of Plastic Materials under Simulated Composting Conditions in a Laboratory-Scale Test; International Organization for Standarization: Geneve, Switzerland, 2016. [Google Scholar]
 - Arrieta, M.P.; Rivera, K.A.; Salgado, C.; Richa, A.M.; López, D.; Peponi, L. Degradation Under Composting Conditions of Lysine-Modified Polyurethane Based on PCL obtained by Lipase Biocatalysis. Polym. Degrad. Stab. 2018, 152, 139–146. [Google Scholar] [CrossRef]
 - Meaurio, E.; López-Rodríguez, N.; Sarasua, J.R. Infrared Spectrum of Poly(L-Lactide): Application to Crystallinity Studies. Macromolecules 2006, 39, 9291–9301. [Google Scholar] [CrossRef]
 - Fortunati, E.; Peltzer, M.; Armentano, I.; Torre, L.; Jiménez, A.; Kenny, J.M. Effects of Modified Cellulose Nanocrystals on the Barrier and Migration Properties of PLA Nano-Biocomposites. Carbohydr. Polym. 2012, 90, 948–956. [Google Scholar] [CrossRef]
 - Iñiguez-Franco, F.; Auras, R.; Burgess, G.; Holmes, D.; Fang, X.; Rubino, M.; Soto-Valdez, H. Concurrent Solvent Induced Crystallization and Hydrolytic Degradation of PLA by Water-Ethanol Solutions. Polymer 2016, 99, 315–323. [Google Scholar] [CrossRef]
 - Sonchaeng, U.; Iñiguez-Franco, F.; Auras, R.; Selke, S.; Rubino, M.; Lim, L. Poly(Lactic Acid) Mass Transfer Properties. Prog. Polym. Sci. 2018, 86, 85–121. [Google Scholar] [CrossRef]
 - Iñiguez-Franco, F.; Auras, R.; Rubino, M.; Dolan, K.; Soto-Valdez, H.; Selke, S. Effect of Nanoparticles on the Hydrolytic Degradation of PLA-Nanocomposites by Water-Ethanol Solutions. Polym. Degrad. Stab. 2017, 146, 287–297. [Google Scholar] [CrossRef]
 - Brüster, B.; Addiego, F.; Hassouna, F.; Ruch, D.; Raquez, J.M.; Dubois, P. Thermo-Mechanical Degradation of Plasticized Poly(Lactide) After Multiple Reprocessing to Simulate Recycling: Multi-Scale Analysis and Underlying Mechanisms. Polym. Degrad. Stab. 2016, 131, 132–144. [Google Scholar] [CrossRef]
 - Di Lorenzo, M.L. Calorimetric Analysis of the Multiple Melting Behavior of Poly(L-Lactic Acid). J. Appl. Polym. Sci. 2006, 100, 3145–3151. [Google Scholar] [CrossRef]
 - Cui, L.; Imre, B.; Tátraaljai, D.; Pukánszky, B. Physical Ageing of Poly(Lactic Acid): Factors and Consequences for Practice. Polymer 2020, 186, 122014. [Google Scholar] [CrossRef]
 - Celli, A.; Scandola, M. Thermal Properties and Physical Ageing of Poly (L-Lactic Acid). Polymer 1992, 33, 2699–2703. [Google Scholar] [CrossRef]
 - Righetti, M.C.; Gazzano, M.; Delpouve, N.; Saiter, A. Contribution of the Rigid Amorphous Fraction to Physical Ageing of Semi-Crystalline PLLA. Polymer 2017, 125, 241–253. [Google Scholar] [CrossRef]
 - Vyavahare, O.; Ng, D.; Hsu, S.L. Analysis of Structural Rearrangements of Poly(Lactic Acid) in the Presence of Water. J. Phys. Chem. B 2014, 118, 4185–4193. [Google Scholar] [CrossRef]
 - Beltrán, F.R.; de la Orden, M.U.; Lorenzo, V.; Pérez, E.; Cerrada, M.L.; Martínez Urreaga, J. Water-Induced Structural Changes in Poly(Lactic Acid) and PLLA-Clay Nanocomposites. Polymer 2016, 107, 211–222. [Google Scholar] [CrossRef]
 - Badia, J.D.; Santonja-Blasco, L.; Martínez-Felipe, A.; Ribes-Greus, A. Hygrothermal Ageing of Reprocessed Polylactide. Polym. Degrad. Stab. 2012, 97, 1881–1890. [Google Scholar] [CrossRef]
 - Simmons, H.; Kontopoulou, M. Hydrolytic Degradation of Branched PLA Produced by Reactive Extrusion. Polym. Degrad. Stab. 2018, 158, 228–237. [Google Scholar] [CrossRef]
 - Kister, G.; Cassanas, G.; Vert, M. Effects of Morphology, Conformation and Configuration on the IR and Raman Spectra of various Poly(Lactic Acid)S. Polymer 1998, 39, 267–273. [Google Scholar] [CrossRef]
 - Chen, X.; Han, L.; Zhang, T.; Zhang, J. Influence of Crystal Polymorphism on Crystallinity Calculation of Poly(L-Lactic Acid) by Infrared Spectroscopy. Vib. Spectrosc. 2014, 70, 1–5. [Google Scholar] [CrossRef]
 - Fukushima, K.; Tabuani, D.; Dottori, M.; Armentano, I.; Kenny, J.M.; Camino, G. Effect of Temperature and Nanoparticle Type on Hydrolytic Degradation of Poly(Lactic Acid) Nanocomposites. Polym. Degrad. Stab. 2011, 96, 2120–2129. [Google Scholar] [CrossRef]
 - Beltrán, F.R.; Lorenzo, V.; de la Orden, M.U.; Martínez-Urreaga, J. Effect of Different Mechanical Recycling Processes on the Hydrolytic Degradation of Poly(L-Lactic Acid). Polym. Degrad. Stab. 2016, 133, 339–348. [Google Scholar] [CrossRef]
 - Fenoglio, D.; Madrid, D.S.; Moyano, J.A.; Ferrario, M.; Guerrero, S.; Matiacevich, S. Active Food Additive Based on Encapsulated Yerba Mate (Ilex paraguariensis) Extract: Effect of Drying Methods on the Oxidative Stability of a Real Food Matrix (Mayonnaise). J. Food Sci. Technol. 2021, 58, 1574–1584. [Google Scholar] [CrossRef] [PubMed]
 - Pillin, I.; Montrelay, N.; Bourmaud, A.; Grohens, Y. Effect of Thermo-Mechanical Cycles on the Physico-Chemical Properties of Poly(Lactic Acid). Polym. Degrad. Stab. 2008, 93, 321–328. [Google Scholar] [CrossRef]
 - Perego, G.; Cella, G.D.; Bastioli, C. Effect of Molecular Weight and Crystallinity on Poly(Lactic Acid) Mechanical Properties. J. Appl. Polym. Sci. 1996, 59, 37–43. [Google Scholar] [CrossRef]
 - Wang, Y.; Mano, J.F. Effect of Structural Relaxation at Physiological Temperature on the Mechanical Property of Poly(L-Lactic Acid) Studied by Microhardness Measurements. J. Appl. Polym. Sci. 2006, 100, 2628–2633. [Google Scholar] [CrossRef]
 - Pan, P.; Zhu, B.; Inoue, Y. Enthalpy Relaxation and Embrittlement of Poly(L-Lactide) during Physical Aging. Macromolecules 2007, 40, 9664–9671. [Google Scholar] [CrossRef]
 - Badia, J.D.; Ribes-Greus, A. Mechanical Recycling of Polylactide, Upgrading Trends and Combination of Valorization Techniques. Eur. Polym. J. 2016, 84, 22–39. [Google Scholar] [CrossRef]
 - Agüero, A.; Morcillo, D.M.; Quiles-Carrillo, L.; Balart, R.; Boronat, T.; Lascano, D.; Torres-Giner, S.; Fenollar, O. Study of the Influence of the Reprocessing Cycles on the Final Properties of Polylactide Pieces obtained by Injection Molding. Polymers 2019, 11, 1908. [Google Scholar] [CrossRef]
 - Beltrán, F.R.; Arrieta, M.P.; Moreno, E.; Gaspar, G.; Muneta, L.M.; Carrasco-Gallego, R.; Yáñez, S.; Hidalgo-Carvajal, D.; de la Orden, M.U.; Martínez Urreaga, J. Evaluation of the Technical Viability of Distributed Mechanical Recycling of PLA 3D Printing Wastes. Polymers 2021, 13, 1247. [Google Scholar] [CrossRef]
 - Fortunati, E.; Puglia, D.; Santulli, C.; Sarasini, F.; Kenny, J.M. Biodegradation of Phormium Tenax/Poly(Lactic Acid) Composites. J. Appl. Polym. Sci. 2012, 125, E562–E572. [Google Scholar] [CrossRef]
 - Fortunati, E.; Armentano, I.; Iannoni, A.; Barbale, M.; Zaccheo, S.; Scavone, M.; Visai, L.; Kenny, J.M. New Multifunctional Poly(Lactide Acid) Composites: Mechanical, Antibacterial, and Degradation Properties. J. Appl. Polym. Sci. 2012, 124, 87–98. [Google Scholar] [CrossRef]
 - Auras, R.; Lim, L.; Selke, S.E.M.; Tsuji, H. Poly(Lactic Acid): Synthesis, Structures, Properties, Processing, and Applications; John Wiley & Sons: Hoboken, NJ, USA, 2010; p. 528. [Google Scholar]
 - Arrieta, M.P.; Fortunati, E.; Dominici, F.; Rayón, E.; López, J.; Kenny, J.M. PLA-PHB/Cellulose Based Films: Mechanical, Barrier and Disintegration Properties. Polym. Degrad. Stab. 2014, 107, 139–149. [Google Scholar] [CrossRef]
 - Lozano-Pérez, A.A.; Montalbán, M.G.; Aznar-Cervantes, S.; Cragnolini, F.; Cenis, J.L.; Víllora, G. Production of Silk Fibroin Nanoparticles using Ionic Liquids and High-Power Ultrasounds. J. Appl. Polym. Sci. 2015, 132. [Google Scholar] [CrossRef]
 - Hu, X.; Kaplan, D.; Cebe, P. Determining Beta-Sheet Crystallinity in Fibrous Proteins by Thermal Analysis and Infrared Spectroscopy. Macromolecules 2006, 39, 6161–6170. [Google Scholar] [CrossRef]
 - Bhat, N.V.; Nadiger, G.S. Crystallinity in Silk Fibers: Partial Acid Hydrolysis and Related Studies. J. Appl. Polym. Sci. 1980, 25, 921–932. [Google Scholar] [CrossRef]
 












| Sample | Description | 
|---|---|
| PLAV | PLA films obtained from extrusion and compression molding of PLA pellets. | 
| PLAR | PLAV films subjected to accelerated aging, washing, and reprocessing. | 
| PLAR-SFN | PLAR with 1 wt.% of silk fibroin nanoparticles. | 
| PLAR-YMN | PLAR with 1 wt.% of Yerba mate nanoparticles. | 
| Sample | Tg (°C)  | Tcc (°C)  | Tm (°C)  | ∆Hcc (J/g)  | ∆Hm (J/g)  | (%)  | (%)  | 
|---|---|---|---|---|---|---|---|
| No immersion | |||||||
| PLAV | 57.7 | 116.8 | 149.9 | 25.8 | 25.9 | 0 | 0 | 
| PLAR | 56.9 | 106.4 | 147.5–155.2 | 25.1 | 25.9 | 1 | 0 | 
| PLAR–SFNs | 55.6 | 106.6 | 146.6–153.4 | 24.8 | 27.5 | 3 | 0 | 
| PLAR–YMNs | 55.2 | 105.8 | 146.2–153.4 | 25.2 | 26.4 | 1 | 0 | 
| After immersion in food simulant A | |||||||
| PLAV | 57.4 | 101.6 | 145.6–153.3 | 24.0 | 28.4 | 5 | 0 | 
| PLAR | 56.4 | 91.4 | 143.9–152.1 | 23.0 | 28.5 | 6 | 0 | 
| PLAR–SFNs | 58.9 | 98.7 | 145.2–153.1 | 22.5 | 27.3 | 5 | 7 | 
| PLAR–YMNs | 60.7 | 97.8 | 145.1–152.3 | 21.3 | 26.0 | 5 | 0 | 
| After immersion in food simulant D1 | |||||||
| PLAV | 53.5 | Not shown | 141.4–153.0 | 0 | 34.4 | 37 | 34 | 
| PLAR | 53.1 | Not shown | 141.4–153.0 | 0 | 32.2 | 35 | 33 | 
| PLAR–SFNs | 53.6 | Not shown | 153.1 | 0 | 32.6 | 35 | 31 | 
| PLAR–YMNs | 54.6 | Not shown | 152.8 | 0 | 32.3 | 35 | 24 | 
| Sample | T10 (°C)  | T50 (°C)  | Tmax (°C)  | 
|---|---|---|---|
| No immersion | |||
| PLAV | 328.2 | 348.9 | 354.5 | 
| PLAR | 323.1 | 350.2 | 359.5 | 
| PLAR–SFNs | 331.2 | 360.4 | 370.0 | 
| PLAR–YMNs | 326.8 | 352.6 | 359.5 | 
| After immersion in simulant A | |||
| PLAV | 327.3 | 343.5 | 347.4 | 
| PLAR | 323.6 | 350.8 | 356.0 | 
| PLAR–SFNs | 325.9 | 353.4 | 362.8 | 
| PLAR–YMNs | 318.7 | 348.5 | 357.8 | 
| After immersion in simulant D1 | |||
| PLAV | 324.2 | 341.4 | 345.5 | 
| PLAR | 313.4 | 341.0 | 348.5 | 
| PLAR–SFNs | 327.5 | 353.2 | 359.6 | 
| PLAR–YMNs | 319.3 | 349.0 | 356.6 | 
| Sample | Disintegration Time (Day)  | Intrinsic Viscosity (mL/g)  | T10 (°C)  | Tmax (°C)  | 
|---|---|---|---|---|
| PLAV | 0 | 159 ± 1 | 328.2 | 354.5 | 
| 4 | 93 ± 2 | 282.5 | 319.3 | |
| 11 | 24 ± 1 | 266.1 | 339.2 | |
| PLAR | 0 | 135 ± 1 | 323.1 | 359.5 | 
| 4 | 77 ± 1 | 295.5 | 333.6 | |
| 11 | 17 ± 1 | 263.1 | 340.5 | |
| PLAR–SFNs | 0 | 119 ± 2 | 331.2 | 369.1 | 
| 4 | 79 ± 3 | 312.0 | 344.1 | |
| 11 | 27 ± 1 | 301.7 | 336.9 | |
| PLAR–YMNs | 0 | 133 ± 5 | 317.9 | 355.2 | 
| 4 | 90 ± 3 | 302.8 | 335.3 | |
| 11 | 32 ± 1 | 296.0 | 336.9 | 
Publisher’s Note: MDPI stays neutral with regard to jurisdictional claims in published maps and institutional affiliations.  | 
© 2021 by the authors. Licensee MDPI, Basel, Switzerland. This article is an open access article distributed under the terms and conditions of the Creative Commons Attribution (CC BY) license (https://creativecommons.org/licenses/by/4.0/).
Share and Cite
Beltrán, F.R.; Arrieta, M.P.; Elena Antón, D.; Lozano-Pérez, A.A.; Cenis, J.L.; Gaspar, G.; de la Orden, M.U.; Martínez Urreaga, J. Effect of Yerba Mate and Silk Fibroin Nanoparticles on the Migration Properties in Ethanolic Food Simulants and Composting Disintegrability of Recycled PLA Nanocomposites. Polymers 2021, 13, 1925. https://doi.org/10.3390/polym13121925
Beltrán FR, Arrieta MP, Elena Antón D, Lozano-Pérez AA, Cenis JL, Gaspar G, de la Orden MU, Martínez Urreaga J. Effect of Yerba Mate and Silk Fibroin Nanoparticles on the Migration Properties in Ethanolic Food Simulants and Composting Disintegrability of Recycled PLA Nanocomposites. Polymers. 2021; 13(12):1925. https://doi.org/10.3390/polym13121925
Chicago/Turabian StyleBeltrán, Freddys R., Marina P. Arrieta, Diego Elena Antón, Antonio A. Lozano-Pérez, José L. Cenis, Gerald Gaspar, María U. de la Orden, and Joaquín Martínez Urreaga. 2021. "Effect of Yerba Mate and Silk Fibroin Nanoparticles on the Migration Properties in Ethanolic Food Simulants and Composting Disintegrability of Recycled PLA Nanocomposites" Polymers 13, no. 12: 1925. https://doi.org/10.3390/polym13121925
APA StyleBeltrán, F. R., Arrieta, M. P., Elena Antón, D., Lozano-Pérez, A. A., Cenis, J. L., Gaspar, G., de la Orden, M. U., & Martínez Urreaga, J. (2021). Effect of Yerba Mate and Silk Fibroin Nanoparticles on the Migration Properties in Ethanolic Food Simulants and Composting Disintegrability of Recycled PLA Nanocomposites. Polymers, 13(12), 1925. https://doi.org/10.3390/polym13121925
        
                                                
