Crystal Structure and Mechanical Properties of Uniaxially Stretched PA612/SiO2 Films
Abstract
:1. Introduction
2. Materials and Methods
2.1. Materials
2.2. Preparation of the PA612/SiO2 Composite and Film
2.3. Preparation of Uniaxially Stretched Films
2.4. Transmission Electron Microscopy (TEM)
2.5. Differential Scanning Calorimetry (DSC)
2.6. Wide-Angle X-Ray Diffraction (WAXD)
2.7. Two-Dimensional Wide-Angle X-Ray Scattering (2D-WAXS)
2.8. Dynamic Mechanical Thermal Analysis (DMA)
2.9. Tensile Testing
3. Results
3.1. Morphology of SiO2 in Films
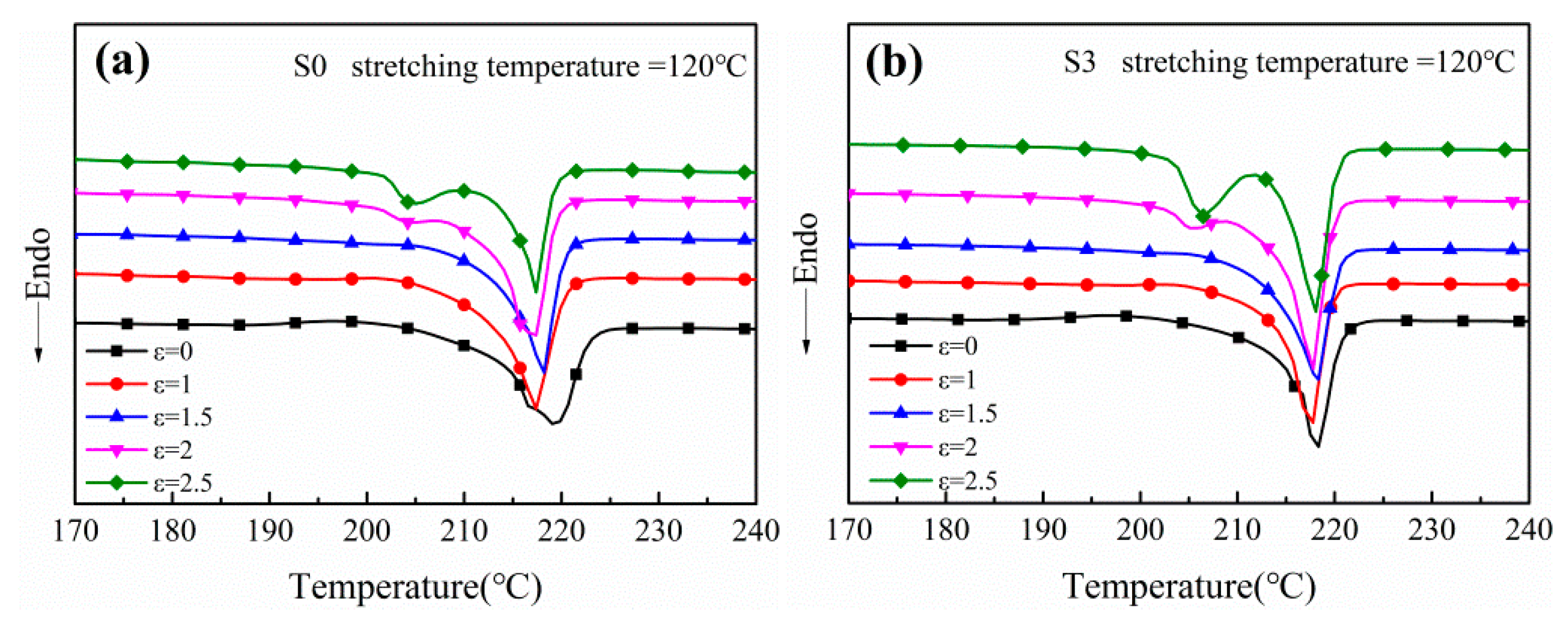
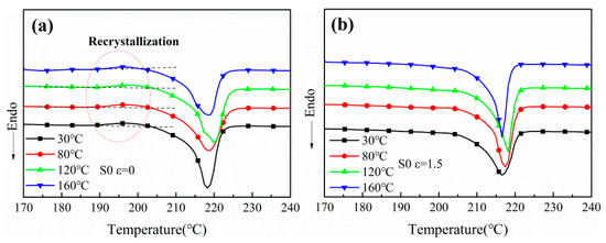
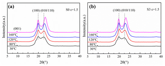
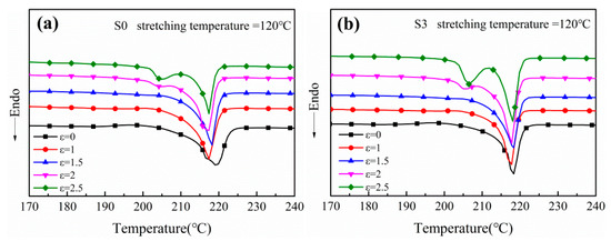
3.2. Crystallization Behavior of Uniaxial Stretched PA612 and PA612/SiO2 Films
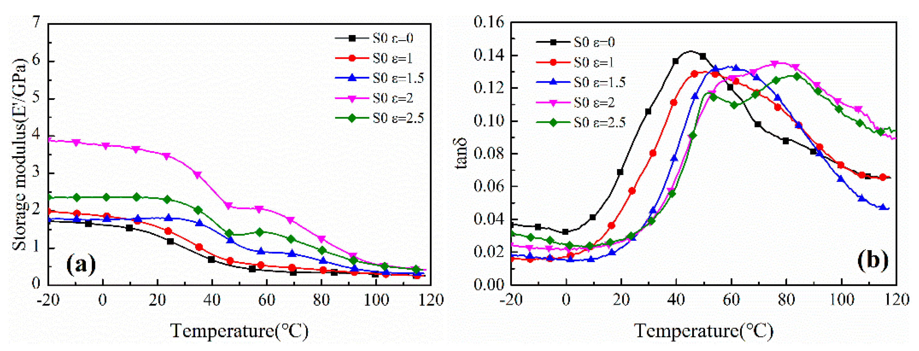
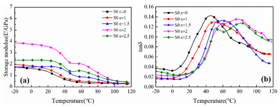
3.3. Mechanical Properties of Uniaxial Stretched PA612/SiO2 Films
4. Conclusions
Author Contributions
Acknowledgments
Conflicts of Interest
References
- Funk, I.; Rimmel, N.; Schorsch, C.; Sieber, V.; Schmid, J. Production of dodecanedioic acid via biotransformation of low cost plant-oil derivatives using Candida tropicalis. J. Ind. Microbiol. Biotechnol. 2017, 44, 1491–1502. [Google Scholar] [CrossRef]
- Qian, M.; Sun, Y.; Xu, X.; Liu, L.; Song, P.; Yu, Y.; Wang, H.; Qian, J. 2D-alumina platelets enhance mechanical and abrasion properties of PA612 via interfacial hydrogen-bond interactions. Chem. Eng. J. 2017, 308, 760–771. [Google Scholar] [CrossRef]
- Li, H.B.; Wu, J.W.; Huang, Y.Q.; Runt, J.; Huang, C.M.; Huang, K.S.; Yeh, J.T. Properties of polyamide 612/poly(vinyl alcohol) blends and their impact on free volume and oxygen barrier properties. J. Polym. Res. 2018, 25. [Google Scholar] [CrossRef]
- Menchaca, C.; Manoun, B.; Martínez-Barrera, G.; Castaño, V.M.; López-Valdivia, H. In situ high-temperature Raman study of crystalline nylon 6,12 fibers gamma-irradiated in argon atmosphere. J. Phys. Chem. Solids 2006, 67, 2111–2118. [Google Scholar] [CrossRef]
- Thanki, P.N.; Ramesh, C.; Singh, R.P. Photo-irradiation induced morphological changes in nylon 66. Polymer 2001, 42, 535–538. [Google Scholar] [CrossRef]
- Badr, Y.; Ali, Z.A.; Zahran, A.H.; Khafagy, R.M. Characterization of gamma irradiated polyethylene films by DSC and X-ray diffraction techniques. Polym. Int. 2000, 49, 1555–1560. [Google Scholar] [CrossRef]
- Asano, T.; Imaizumi, K.; Tohyama, N.; Yoshida, S. Investigation of the Melt-Crystallization of Polypropylene by a Temperature Slope Method. J. Macromol. Sci. Phys. 2006, 43, 639–654. [Google Scholar] [CrossRef]
- Yoshida, T.; Asano, T.; Matsuura, M.; Miyashita, N.; Kitabatake, J.; Hatanaka, I.; Seri, K.; Calleja, F.J.B.; Giri, L. Structure and mechanical properties of nylon 6.12 prepared by temperature slope crystallization. I. Crystallization of oriented spherulitic textures. J. Macromol. Sci. Phys. 2006, 36, 789–798. [Google Scholar] [CrossRef]
- Wang, L.L.; Dong, X.; Gao, Y.; Huang, M.; Han, C.C.; Zhu, S.; Wang, D. Transamidation determination and mechanism of long chain-based aliphatic polyamide alloys with excellent interface miscibility. Polymer 2015, 59, 16–25. [Google Scholar] [CrossRef]
- Wang, L.L.; Dong, X.; Huang, M.; Müller, A.J.; Wang, D. The effect of microstructural evolution during deformation on the post-yielding behavior of self-associated polyamide blends. Polymer 2017, 117, 231–242. [Google Scholar] [CrossRef]
- Wang, L.L.; Dong, X.; Wang, X.R.; Zhu, G.Y.; Li, H.Q.; Wang, D.J. High performance long chain polyamide/calcium silicate whisker nanocomposites and the effective reinforcement mechanism. Chin. J. Polym. Sci. Engl. Ed. 2016, 34, 991–1000. [Google Scholar] [CrossRef]
- Ramesh, C. New Crystalline Transitions in Nylons 4,6, 6,10, and 6,12 Using High Temperature X-ay Diffraction Studie. Macromolecules 1999, 32, 3721–3726. [Google Scholar] [CrossRef]
- Takashige, M.; Kanai, T. Physical properties of biaxially oriented PA6 film for simultaneous stretching and sequential processing. J. Polym. Eng. 2011, 31, 29–35. [Google Scholar] [CrossRef]
- Kanai, T.; Okuyama, Y.; Takashige, M. Dynamics and structure development for biaxial stretching PA6/MXD6 blend packaging films. Adv. Polym. Technol. 2018, 37, 2828–2837. [Google Scholar] [CrossRef]
- Kanai, T.; Okuyama, Y.; Takashige, M. Dynamics and structure development for biaxial stretching polyamide 6 films. Adv. Polym. Technol. 2018, 37, 2894–2904. [Google Scholar] [CrossRef]
- Liu, X.; Liu, Y.; Yang, J.; Wang, W.; Lai, D.; Mao, L.; Zheng, W.; Yang, J.; Chen, X. Effects of the biaxial orientation on the mechanical and optical properties and shrinkage of polyamide 6–66-montmorillonite-nanosilica nanocomposite films. J. Appl. Polym. Sci. 2019, 136, 47504. [Google Scholar] [CrossRef]
- Rhee, S.; White, J.L. Crystalline structure and morphology of biaxially oriented polyamide-11 films. J. Polym. Sci. Part B Polym. Phys. 2002, 40, 2624–2640. [Google Scholar] [CrossRef]
- Shanak, H.; Ehses, K.H.; Götz, W.; Leibenguth, P.; Pelster, R. X-ray diffraction investigations of α-polyamide 6 films: Orientation and structural changes upon uni- and biaxial drawing. J. Mater. Sci. 2008, 44, 655–663. [Google Scholar] [CrossRef]
- Cai, Z.; Meng, X.; Ye, H.; Cong, C.; Wang, Y.; Cui, L.; Zhou, Q. Reinforcing polyamide 1212 nanocomposites with aligned carbon nanofibers. Mater. Des. 2014, 63, 691–698. [Google Scholar] [CrossRef]
- Penel-Pierron, L.; Séguéla, R.; Lefebvre, J.-M.; Miri, V.; Depecker, C.; Jutigny, M.; Pabiot, J.J. Structural and mechanical behavior of nylon6 films. II. Uniaxial and biaxial drawing. J. Polym. Sci. Part B Polym. Phys. 2001, 39, 1224–1236. [Google Scholar] [CrossRef]
- Rusu, G.; Rusu, E.; Zaltariov, M.F. Anionic Nylon 612/TiO2 Composite Materials: Synthesis, Characterization and Properties. J. Inorg. Organomet. Polym. Mater. 2016, 27, 225–248. [Google Scholar] [CrossRef]
- Hasan, M.M.; Zhou, Y.; Mahfuz, H.; Jeelani, S. Effect of SiO2 nanoparticle on thermal and tensile behavior of nylon-6. Mater. Sci. Eng. A 2006, 429, 181–188. [Google Scholar] [CrossRef]
- Xu, S.; Zhao, X.; Ye, L. Mechanical and crystalline properties of monomer casting Nylon-6/SiO2 composites prepared via in situpolymerization. Polym. Eng. Sci. 2013, 53, 1809–1822. [Google Scholar] [CrossRef]
- Rusu, G.; Rusu, E. Nylon 6/SiO2 nanocomposites synthesized by in situAnionic polymerization. High Perform. Polym. 2016, 18, 355–375. [Google Scholar] [CrossRef]
- Xiao, X.; Cai, Z.; Qian, K. Structure evolution of polyamide (11)’s crystalline phase under uniaxial stretching and increasing temperature. J. Polym. Res. 2017, 24, 1–8. [Google Scholar] [CrossRef]
- Ishak, Z.A.M.; Berry, J.P. Hygrothermal aging studies of short carbon fiber reinforced nylon 66. J. Appl. Polym. Sci. 1994, 51, 2145–2155. [Google Scholar] [CrossRef]
- Zhang, Q.X.; Yu, Z.Z.; Yang, M.; Ma, J.; Mai, Y.W. Multiple melting and crystallization of nylon66/montmorillonite nanocomposites. J. Polym. Sci. Part B Polym. Phys. 2003, 41, 2861–2869. [Google Scholar] [CrossRef]
- Maïza, S.; Lefebvre, X.; Brusselle-Dupend, N.; Klopffer, M.H.; Cangémi, L.; Castagnet, S.; Grandidier, J.C. Physicochemical and mechanical degradation of polyamide 11 induced by hydrolysis and thermal aging. J. Appl. Polym. Sci. 2019, 136, 47628. [Google Scholar] [CrossRef]
- Peterlin, A. Molecular model of drawing polyethylene and polypropylene. J. Mater. Sci. 1971, 6, 490–508. [Google Scholar] [CrossRef]
- Peterlin, A. Dependence of diffusive transport on morphology of crystalline polymers. J. Macromol. Sci. Part B 2006, 11, 57–87. [Google Scholar] [CrossRef]
- Kumar, S.; Satapathy, B.K.; Maiti, S.N. Correlation of morphological parameters and mechanical performance of polyamide-612/poly (ethylene-octene) elastomer blends. Polym. Adv. Technol. 2013, 24, 511–519. [Google Scholar] [CrossRef]
- Song, J.; Liu, J.; Zhang, Y.; Chen, L.; Zhong, Y.; Yang, W. Basalt fibre-reinforced PA1012 composites: Morphology, mechanical properties, crystallization behaviours, structure and water contact angle. J. Compos. Mater. 2014, 49, 415–424. [Google Scholar] [CrossRef]
- Yalcin, B.; Ergungor, Z.; Konishi, Y.; Cakmak, M.; Batur, C. Molecular origins of toughening mechanism in uniaxially stretched nylon 6 films with clay nanoparticles. Polymer 2008, 49, 1635–1650. [Google Scholar] [CrossRef]
- Zhu, P.; Dong, X.; Huang, M.; Wang, L.; Qi, S.; Wang, D. Microstructural evolution underlying the ternary stages of the elastic behaviors for poly(ether-b-amide) copolymer elastomers. J. Polym. Sci. Part B Polym. Phys. 2018, 56, 855–864. [Google Scholar] [CrossRef]
- Holmes, D.R.; Bunn, C.W.; Smith, D.J. The crystal structure of polycaproamide nylon 6. J. Polym. Sci. 1955, 17, 159–177. [Google Scholar] [CrossRef]
- Cai, Z.; Bao, H.; Zhu, C.; Zhu, S.; Huang, F.; Shi, J.; Hu, J.; Zhou, Q. Structure evolution of polyamide 1212 during the uniaxial stretching process: In situ synchrotron wide-angle X-ray diffraction and small-angle X-ray scattering analysis. Ind. Eng. Chem. Res. 2016, 55, 7621–7627. [Google Scholar] [CrossRef]
- Cai, Z.; Liu, X.; Zhou, Q.; Wang, Y.; Zhu, C.; Xiao, X.; Fang, D.; Bao, H. The structure evolution of polyamide 1212 after stretched at different temperatures and its correlation with mechanical properties. Polymer 2017, 117, 249–258. [Google Scholar] [CrossRef]
- Li, Y.; Yu, J.; Guo, Z.X. The influence of silane treatment on nylon 6/nano-SiO2 in situ polymerization. J. Appl. Polym. Sci. 2002, 84, 827–834. [Google Scholar] [CrossRef]
- Wang, Y.; Jiang, Z.; Fu, L.; Lu, Y.; Men, Y. Stretching temperature dependency of lamellar thickness in stress-induced localized melting and recrystallized polybutene-1. Macromolecules 2013, 46, 7874–7879. [Google Scholar] [CrossRef]
- Murakami, S.; Senoo, K.; Toki, S.; Kohjiya, S. Structural development of natural rubber during uniaxial stretching by in situ wide angle X-ray diffraction using a synchrotron radiation. Polymer 2002, 43, 2117–2120. [Google Scholar] [CrossRef]
- Toki, S.; Sics, I.; Ran, S.; Liu, L.; Hsiao, B.S.; Murakami, S.; Senoo, K.; Kohjiya, S. New insights into structural development in natural rubber during uniaxial deformation by in situ synchrotron X-ray diffraction. Macromolecules 2002, 35, 6578–6584. [Google Scholar] [CrossRef]












| Strain | Stretching Temperature (°C) | Melting Temperature (°C) | Melting Enthalpy (J/g) | Crystallinity (%) |
|---|---|---|---|---|
| 0 | 30 | 218.2 | 68.47 | 26.5 |
| 0 | 80 | 218.6 | 62.25 | 24.12 |
| 0 | 120 | 219.1 | 63.69 | 24.69 |
| 0 | 160 | 218.6 | 62.79 | 24.34 |
| 1.5 | 30 | 216.8 | 65.12 | 25.24 |
| 1.5 | 80 | 217.5 | 67.97 | 26.34 |
| 1.5 | 120 | 218.3 | 70.54 | 27.34 |
| 1.5 | 160 | 216.5 | 71.01 | 27.52 |
| Sample | Strain | Melting Temperature (°C) | Melting Enthalpy (J/g) | Low Temperature Melting Enthalpy (J/g) | Crystallinity (%) |
|---|---|---|---|---|---|
| S0 | 0 | 219.1 | 63.69 | _ | 24.69 |
| S0 | 1 | 217.3 | 66.64 | _ | 25.8 |
| S0 | 1.5 | 219.8 | 70.54 | _ | 27.34 |
| S0 | 2 | 217.3 | 87.88 | 1.02 | 34.06 |
| S0 | 2.5 | 217.3 | 72.48 | 6.71 | 28.09 |
| S3 | 0 | 218.3 | 64.31 | _ | 25.60 |
| S3 | 1 | 217.7 | 66.36 | _ | 26.52 |
| S3 | 1.5 | 218.3 | 75.34 | _ | 30.10 |
| S3 | 2 | 217.7 | 83.18 | 3.68 | 33.2 |
| S3 | 2.5 | 218.1 | 90.11 | 17.29 | 36.01 |
| Strain | ε = 0 | ε = 1 | ε = 1.5 | ε = 2 | ε = 2.5 |
|---|---|---|---|---|---|
| S0 (Tg/°C) | 45.2 | 50.5 | 58.6 | 62.1/79.35 | 50.2/81.4 |
| S3 (Tg/°C) | 74.0 | 79.0 | 81.0 | 82.9 | 84.2 |
© 2020 by the authors. Licensee MDPI, Basel, Switzerland. This article is an open access article distributed under the terms and conditions of the Creative Commons Attribution (CC BY) license (http://creativecommons.org/licenses/by/4.0/).
Share and Cite
Wu, Y.; Huang, A.; Fan, S.; Liu, Y.; Liu, X. Crystal Structure and Mechanical Properties of Uniaxially Stretched PA612/SiO2 Films. Polymers 2020, 12, 711. https://doi.org/10.3390/polym12030711
Wu Y, Huang A, Fan S, Liu Y, Liu X. Crystal Structure and Mechanical Properties of Uniaxially Stretched PA612/SiO2 Films. Polymers. 2020; 12(3):711. https://doi.org/10.3390/polym12030711
Chicago/Turabian StyleWu, Yichao, Anmin Huang, Shuhong Fan, Yuejun Liu, and Xiaochao Liu. 2020. "Crystal Structure and Mechanical Properties of Uniaxially Stretched PA612/SiO2 Films" Polymers 12, no. 3: 711. https://doi.org/10.3390/polym12030711
APA StyleWu, Y., Huang, A., Fan, S., Liu, Y., & Liu, X. (2020). Crystal Structure and Mechanical Properties of Uniaxially Stretched PA612/SiO2 Films. Polymers, 12(3), 711. https://doi.org/10.3390/polym12030711
