Photo-Actuation of Liquid Crystalline Elastomer Materials Doped with Visible Absorber Dyes under Quasi-Daylight
Abstract
1. Introduction
2. Experimental
2.1. Preparation of Materials
2.2. Characterization Methods
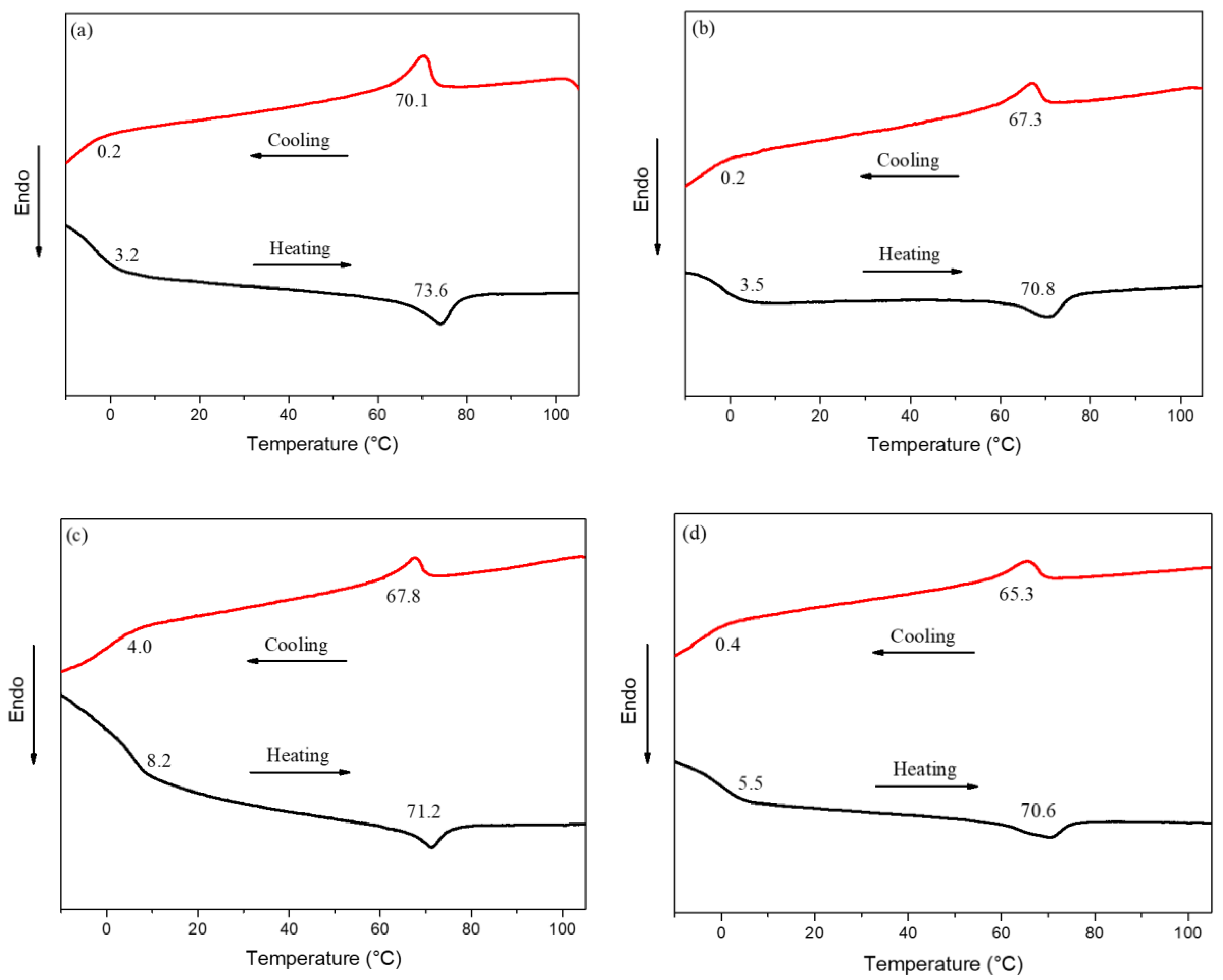
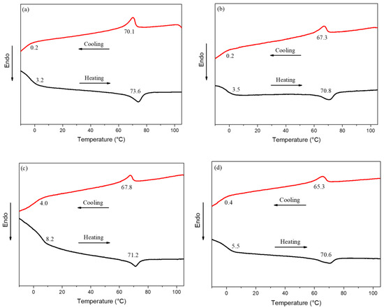
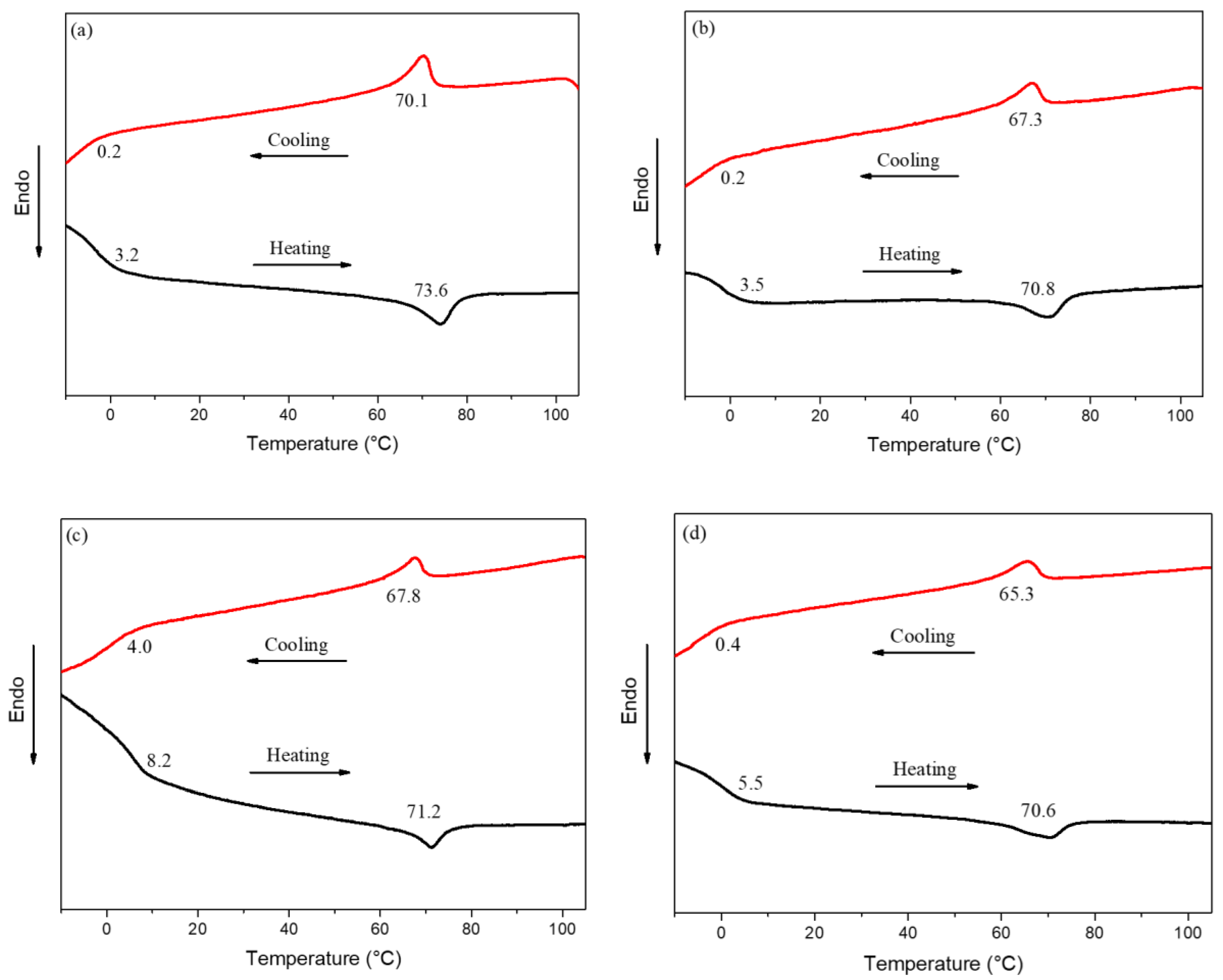
3. Results and Discussion
4. Conclusions
Supplementary Materials
Author Contributions
Funding
Acknowledgments
Conflicts of Interest
References and Notes
- Kupfer, J.; Finkelmann, H. Nematic liquid single-crystal elastomers. Die Makromolekulare Chemie Rapid Commun. 1991, 12, 717–726. [Google Scholar] [CrossRef]
- Yu, H.; Ikeda, T. Photocontrollable liquid-crystalline actuators. Adv. Mater. 2011, 23, 2149–2180. [Google Scholar] [CrossRef] [PubMed]
- Tylkowski, B.; Trojanowska, A.; Marturano, V.; Nowak, M.; Marciniak, L.; Giamberini, M.; Ambrogi, V.; Cerruti, P. Power of light-functional complexes based on azobenzene molecules. Coord. Chem. Rev. 2017, 351, 205–217. [Google Scholar] [CrossRef]
- Ula, S.W.; Traugutt, N.A.; Volpe, R.H.; Patel, R.R.; Yu, K.; Yakacki, C.M. Liquid crystal elastomers: An introduction and review of emerging technologies. Liq. Cryst. Rev. 2018, 6, 78–107. [Google Scholar] [CrossRef]
- White, T.J. Photomechanical effects in liquid crystalline polymer networks and elastomers. J. Polym. Sci. Part B Polym. Phys. 2018, 56, 695–705. [Google Scholar] [CrossRef]
- Warner, M.; Terentjev, E.M. Liquid Crystal Elastomers; Oxford University Press: Oxford, UK, 2007. [Google Scholar]
- Winkler, M.; Kaiser, A.; Krause, S.; Finkelmann, H.; Schmidt, A.M. Liquid crystal elastomers with magnetic actuation. Macromol. Symp. 2010, 291–292, 186–192. [Google Scholar] [CrossRef]
- Herrera-Posada, S.; Mora-Navarro, C.; Ortiz-Bermudez, P.; Torres-Lugo, M.; McElhinny, K.M.; Evans, P.G.; Calcagno, B.O.; Acevedo, A. Magneto-responsive liquid crystalline elastomer nanocomposites as potential candidates for dynamic cell culture substrates. Mater. Sci. Eng. C 2016, 65, 369–378. [Google Scholar] [CrossRef]
- Jiang, H.R.; Li, C.S.; Xue, Z.H. Actuators based on liquid crystalline elastomer materials. Nanoscale 2013, 5, 5225–5240. [Google Scholar] [CrossRef]
- Lehmann, W.; Skupin, H.; Tolksdorf, C.; Gebhard, E.; Zentel, R.; Kruger, P.; Losche, M.; Kremer, F. Giant lateral electrostriction in ferroelectric liquid-crystalline elastomers. Nature 2001, 410, 447–450. [Google Scholar] [CrossRef]
- de Jeu, W.H. Liquid Crystal Elastomers: Materials and Applications; Aachen University: Aachen, Germany, 2012. [Google Scholar]
- Michal, B.T.; McKenzie, B.M.; Felder, S.E.; Rowan, S.J. Photo-, Thermo- and Metallo-responsive shape memory and actuating liquid crystalline elastomers. Macromolecules 2015, 48, 3239–3246. [Google Scholar] [CrossRef]
- de Haan, L.T.; Verjans, J.M.N.; Broer, D.J.; Bastiaansen, C.W.M.; Schenning, A.P.H.J. Humidity-responsive liquid crystalline polymer actuators with an asymmetry in the molecular trigger that bend, fold, and curl. J. Am. Chem. Soc. 2014, 136, 10585–10588. [Google Scholar] [CrossRef] [PubMed]
- Liu, Y.Y.; Xu, B.; Sun, S.T.; Wei, J.; Wu, L.M.; Yu, Y.L. Humidity- and Photo-induced mechanical actuation of crosslinked liquid crystal polymers. Adv. Mater. 2017, 29, 1604792. [Google Scholar] [CrossRef] [PubMed]
- Boothby, J.M.; Kim, H.; Ware, T.H. Shape changes in chemoresponsive liquid crystal elastomers. Sens. Actuators B Chem. 2017, 240, 511–518. [Google Scholar] [CrossRef]
- Li, C.S.; Liu, Y.; Huang, X.Z.; Jiang, H.R. Direct sun-driven artificial heliotropism for solar energy harvesting based on a photo-thermomechanical liquid-crystal elastomer nanocomposite. Adv. Funct. Mater. 2012, 22, 5166–5174. [Google Scholar] [CrossRef]
- Tang, R.; Liu, Z.; Xu, D.; Liu, J.; Yu, L.; Yu, H. Optical pendulum generator based on photomechanical liquid-crystalline actuators. ACS Appl. Mater. Interfaces 2015, 7, 8393–8397. [Google Scholar] [CrossRef] [PubMed]
- Gelebart, A.H.; McBride, M.; Schenning, A.P.H.J.; Bowman, C.N.; Broer, D.J. Photoresponsive fiber array: Toward mimicking the collective motion of cilia for transport applications. Adv. Funct. Mater. 2016, 26, 5322–5327. [Google Scholar] [CrossRef]
- Lu, X.L.; Guo, S.W.; Tong, X.; Xia, H.S.; Zhao, Y. Tunable photocontrolled motions using stored strain energy in malleable azobenzene liquid crystalline polymer actuators. Adv. Mater. 2017, 29, 1606467. [Google Scholar] [CrossRef]
- Guin, T.; Settle, M.J.; Kowalski, B.A.; Auguste, A.D.; Beblo, R.V.; Reich, G.W.; White, T.J. Layered liquid crystal elastomer actuators. Nat. Commun. 2018, 9, 2531. [Google Scholar] [CrossRef]
- Bi, M.; He, Y.F.; Wang, Y.C.; Yang, W.L.; Qin, B.; Xu, J.J.; Wang, X.X.; Wang, B.S.; Dong, Y.M.; Gao, Y.C.; et al. Incorporated azobenzene crosslinked liquid crystalline polymer nanocomposite. Polymers 2019, 11, 735. [Google Scholar] [CrossRef]
- Iamsaard, S.; Asshoff, S.J.; Matt, B.; Kudernac, T.T.; Cornelissen, J.J.L.M.; Fletcher, S.P.; Katsonis, N. Conversion of light into macroscopic helical motion. Nat. Chem. 2014, 6, 229–235. [Google Scholar] [CrossRef]
- Shahsavan, H.; Yu, L.; Jakil, A.; Zhao, B.X. Smart biomimetic micro/nanostructures based on liquid crystal elastomers and networks. Soft Matter 2017, 13, 8006–8022. [Google Scholar] [CrossRef] [PubMed]
- Wani, O.M.; Zeng, H.; Priimagi, A. A light-driven artificial flytrap. Nat. Commun. 2017, 8, 15546. [Google Scholar] [CrossRef] [PubMed]
- Zuo, B.; Wang, M.; Lin, B.-P.; Yang, H. Photomodulated tri-color-changing artificial flowers. Chem. Mater. 2018, 30, 8079–8088. [Google Scholar] [CrossRef]
- Schuhladen, S.; Preller, F.; Rix, R.; Petsch, S.; Zentel, R.; Zappe, H. Iris-like tunable aperture employing liquid-crystal elastomers. Adv. Mater. 2014, 26, 7247–7251. [Google Scholar] [CrossRef]
- Lv, J.A.; Liu, Y.Y.; Wei, J.; Chen, E.Q.; Qin, L.; Yu, Y.L. Photocontrol of fluid slugs in liquid crystal polymer microactuators. Nature 2016, 537, 179–184. [Google Scholar] [CrossRef]
- Zeng, H.; Wani, O.M.; Wasylczyk, P.; Kaczmarek, R.; Priimagi, A. Self-regulating iris based on light-actuated liquid crystal elastomer. Adv. Mater. 2017, 29, 1701814. [Google Scholar] [CrossRef]
- Zeng, H.; Wasylczyk, P.; Parmeggiani, C.; Martella, D.; Burresi, M.; Wiersma, D.S. Light-fueled microscopic walkers. Adv. Mater. 2015, 27, 3883–3887. [Google Scholar] [CrossRef]
- He, Q.G.; Wang, Z.J.; Wang, Y.; Minori, A.; Tolley, M.T.; Cai, S.Q. Electrically controlled liquid crystal elastomer–based soft tubular actuator with multimodal actuation. Sci. Adv. 2019, 5, eaax5746. [Google Scholar] [CrossRef]
- Qian, X.J.; Chen, Q.M.; Yang, Y.; Xu, Y.S.; Li, Z.; Wang, Z.H.; Wu, Y.H.; Wei, Y.; Ji, Y. Untethered recyclable tubular actuators with versatile locomotion for soft continuum robots. Adv. Mater. 2018, 30, 1801103. [Google Scholar] [CrossRef]
- Kularatne, R.S.; Kim, H.; Boothby, J.M.; Ware, T.H. Liquid crystal elastomer actuators: Synthesis, alignment, and applications. J. Polym. Sci. Part B Polym. Phys. 2017, 55, 395–411. [Google Scholar] [CrossRef]
- Yang, L.; Setyowati, K.; Li, A.; Gong, S.; Chen, J. Reversible infrared actuation of carbon nanotube-liquid crystalline elastomer nanocomposites. Adv. Mater. 2008, 20, 2271–2275. [Google Scholar] [CrossRef]
- Ji, Y.; Huang, Y.Y.; Rungsawang, R.; Terentjev, E.M. Dispersion and alignment of carbon nanotubes in liquid crystalline polymers and elastomers. Adv. Mater. 2010, 22, 3436–3440. [Google Scholar] [CrossRef] [PubMed]
- Li, C.; Liu, Y.; Lo, C.-W.; Jiang, H. Reversible white-light actuation of carbon nanotube incorporated liquid crystalline elastomer nanocomposites. Soft Matter 2011, 7, 7511–7516. [Google Scholar] [CrossRef]
- Camargo, C.J.; Campanella, H.; Marshall, J.E.; Torras, N.; Zinoviev, K.; Terentjev, E.M.; Esteve, J. Localised actuation in composites containing carbon nanotubes and liquid crystalline elastomers. Macromol. Rapid Commun. 2011, 32, 1953–1959. [Google Scholar] [CrossRef] [PubMed]
- Marshall, J.E.; Ji, Y.; Torras, N.; Zinoviev, K.; Terentjev, E.M. Carbon-nanotube sensitized nematic elastomer composites for IR-visible photo-actuation. Soft Matter 2012, 8, 1570–1574. [Google Scholar] [CrossRef]
- Li, C.S.; Huang, X.Z.; Li, C.H.; Jiang, H.R. Reversible photo actuated bulk nanocomposite with nematic liquid crystalline elastomer matrix. Mol. Cryst. Liq. Cryst. 2015, 608, 146–156. [Google Scholar] [CrossRef]
- Wang, M.; Sayed, S.M.; Guo, L.X.; Lin, B.P.; Zhang, X.Q.; Sun, Y.; Yang, H. Multi-stimuli responsive carbon nanotube incorporated polysiloxane azobenzene liquid crystalline elastomer composites. Macromolecules 2016, 49, 663–671. [Google Scholar] [CrossRef]
- Kohlmeyer, R.R.; Chen, J. Wavelength-selective, IR light-driven hinges based on liquid crystalline elastomer composites. Angew. Chem. Int. Ed. 2013, 52, 9234–9237. [Google Scholar] [CrossRef]
- Li, C.S.; Liu, Y.; Huang, X.Z.; Li, C.H.; Jiang, H.R. Light actuation of graphene-oxide incorporated liquid crystalline elastomer nanocomposites. Mol. Cryst. Liq. Cryst. 2015, 616, 83–92. [Google Scholar] [CrossRef]
- Yang, Y.K.; Zhan, W.J.; Peng, R.G.; He, C.G.; Pang, X.C.; Shi, D.; Jiang, T.; Lin, Z.Q. Graphene-Enabled Superior and Tunable Photomechanical Actuation in Liquid Crystalline Elastomer Nanocomposites. Adv. Mater. 2015, 27, 6376–6381. [Google Scholar] [CrossRef]
- Wei, R.B.; Wang, Z.C.; Zhang, H.X.; Liu, X.B. Photo-responsive liquid crystalline elastomer with reduced chemically modified graphene oxide. Liq. Cryst. 2016, 43, 1009–1016. [Google Scholar] [CrossRef]
- Liu, X.; Wei, R.; Hoang, P.T.; Wang, X.; Liu, T.; Keller, P. Reversible and rapid laser actuation of liquid crystalline elastomer micropillars with inclusion of gold nanoparticles. Adv. Funct. Mater. 2015, 25, 3022–3032. [Google Scholar] [CrossRef]
- Yang, H.; Liu, J.J.; Wang, Z.F.; Guo, L.X.; Keller, P.; Lin, B.P.; Sun, Y.; Zhang, X.Q. Near-infrared-responsive gold nanorod/liquid crystalline elastomer composites prepared by sequential thiol-click chemistry. Chem. Commun. 2015, 51, 12126–12129. [Google Scholar] [CrossRef] [PubMed]
- Gutierrez-Cuevas, K.G.; Wang, L.; Xue, C.M.; Singh, G.; Kumar, S.; Urbasc, A.; Li, Q. Near infrared light-driven liquid crystal phase transition enabled by hydrophobic mesogen grafted plasmonic gold nanorods. Chem. Commun. 2015, 51, 9845–9848. [Google Scholar] [CrossRef]
- Liu, X.; Wang, X.; Liu, T.; Keller, P. Gold nanoparticles incorporated nematic gel micropillars capable of laser actuation at room temperature. Macromolecules 2016, 49, 8322–8331. [Google Scholar] [CrossRef]
- Zhang, J.D.; Wang, J.; Zhao, L.N.; Yang, W.L.; Bi, M.; Wang, Y.C.; Niu, H.Y.; Li, Y.X.; Wang, B.S.; Gao, Y.C.; et al. Photo responsive silver nanoparticles incorporated liquid crystalline elastomer nanocomposites based on surface plasmon resonance. Chem. Res. Chin. Univ. 2017, 33, 839–846. [Google Scholar] [CrossRef]
- Lu, X.L.; Zhang, H.; Fei, G.X.; Yu, B.; Tong, X.; Xia, H.S.; Zhao, Y. Liquid-crystalline dynamic networks doped with gold nanorods showing enhanced photocontrol of actuation. Adv. Mater. 2018, 30, 1706597. [Google Scholar] [CrossRef]
- Xu, J.J.; Chen, S.; Yang, W.L.; Qin, B.; Wang, X.X.; Wang, Y.C.; Cao, M.S.; Gao, Y.C.; Li, C.S.; Dong, Y.M. Photo actuation of liquid crystalline elastomer nanocomposites with incorporated gold nanoparticles based on surface plasmon resonance. Soft Matter 2019, 15, 6116–6126. [Google Scholar] [CrossRef]
- Liu, W.; Guo, L.X.; Lin, B.P.; Zhang, X.Q.; Sun, Y.; Yang, H. Near-infrared responsive liquid crystalline elastomers containing photothermal conjugated polymers. Macromolecules 2016, 49, 4023–4030. [Google Scholar] [CrossRef]
- Marshall, J.E.; Terentjev, E.M. Photo-sensitivity of dye-doped liquid crystal elastomers. Soft Matter 2013, 9, 8547–8551. [Google Scholar] [CrossRef]
- de Haan, L.T.; Gimenez-Pinto, V.; Konya, A.; Nguyen, T.S.; Verjans, J.; Sánchez-Somolinos, C.; Selinger, J.V.; Selinger, R.L.; Broer, D.J.; Schenning, A.P. Accordion-like actuators of multiple 3D patterned liquid crystal polymer films. Adv. Funct. Mater. 2014, 24, 1251–1258. [Google Scholar] [CrossRef]
- Guo, L.-X.; Liu, M.-H.; Sayed, S.M.; Lin, B.-P.; Keller, P.; Zhang, X.-Q.; Sun, Y.; Yang, H. A calamitic mesogenic near-infrared absorbing croconaine dye/liquid crystalline elastomer composite. Chem. Sci. 2016, 7, 4400–4406. [Google Scholar] [CrossRef] [PubMed]
- Wang, M.; Lin, B.-P.; Yang, H. A plant tendril mimic soft actuator with phototunable bending and chiral twisting motion modes. Nat. Commun. 2016, 7, 13981. [Google Scholar] [CrossRef] [PubMed]
- Liu, L.; Liu, M.-H.; Deng, L.-L.; Lin, B.-P.; Yang, H. Near-infrared chromophore functionalized soft actuator with ultrafast photoresponsive speed and superior mechanical property. J. Am. Chem. Soc. 2017, 139, 11333–11336. [Google Scholar] [CrossRef] [PubMed]
- Ge, F.J.; Yang, R.; Tong, X.; Camerel, F.; Zhao, Y. Multifunctional dye-doped liquid crystal polymer actuator: Light-guided transportation, turning in locomotion and autonomous motion. Angew. Chem. Int. Ed. 2018, 57, 11758–11763. [Google Scholar] [CrossRef] [PubMed]
- Zuo, B.; Wang, M.; Lin, B.P.; Yang, H. Visible and infrared three-wavelength modulated multi-directional actuators. Nat. Commun. 2019, 10, 4539. [Google Scholar] [CrossRef] [PubMed]
- Mulder, M. Basic Principles of Membrane Technology; Twente University: Enschede, The Netherlands, 1999. [Google Scholar]
- The strain rate can be reflected by the taken irradiation time for reaching final contraction strain (shown in Figure 7, Figure 8, Figure 9 and Figure 10). A shorter taken irradiation time for reaching final contraction strain reflects a higher strain rate.
- Descalzo, A.B.; Rurack, K. On the signalling pathways and Cu-II-mediated anion indication of N-meso-substituted heptamethine cyanine dyes. Chem. Eur. J. 2009, 15, 3173–3185. [Google Scholar] [CrossRef]
- Qian, G.; Wang, Z.Y. Near-Infrared organic compounds and emerging applications. Chem.-Asian J. 2010, 5, 1006–1029. [Google Scholar] [CrossRef]
- Jia, N.; He, C.Y.; Wang, S.; Song, W.N.; Chen, Z.M.; Zu, Y.L.; Gao, Y.C.; Dong, Y.L. Effect of central metals and peripheral substituents on the third-order nonlinear optical properties of tetra-benzimidazole and benzothiazole substituted phthalocyanines. Opt. Mater. 2018, 76, 81–89. [Google Scholar] [CrossRef]














© 2019 by the authors. Licensee MDPI, Basel, Switzerland. This article is an open access article distributed under the terms and conditions of the Creative Commons Attribution (CC BY) license (http://creativecommons.org/licenses/by/4.0/).
Share and Cite
Qin, B.; Yang, W.; Xu, J.; Wang, X.; Li, X.; Li, C.; Gao, Y.; Wang, Q.-e. Photo-Actuation of Liquid Crystalline Elastomer Materials Doped with Visible Absorber Dyes under Quasi-Daylight. Polymers 2020, 12, 54. https://doi.org/10.3390/polym12010054
Qin B, Yang W, Xu J, Wang X, Li X, Li C, Gao Y, Wang Q-e. Photo-Actuation of Liquid Crystalline Elastomer Materials Doped with Visible Absorber Dyes under Quasi-Daylight. Polymers. 2020; 12(1):54. https://doi.org/10.3390/polym12010054
Chicago/Turabian StyleQin, Ban, Wenlong Yang, Jiaojiao Xu, Xiuxiu Wang, Xiangman Li, Chensha Li, Yachen Gao, and Qiao-e Wang. 2020. "Photo-Actuation of Liquid Crystalline Elastomer Materials Doped with Visible Absorber Dyes under Quasi-Daylight" Polymers 12, no. 1: 54. https://doi.org/10.3390/polym12010054
APA StyleQin, B., Yang, W., Xu, J., Wang, X., Li, X., Li, C., Gao, Y., & Wang, Q.-e. (2020). Photo-Actuation of Liquid Crystalline Elastomer Materials Doped with Visible Absorber Dyes under Quasi-Daylight. Polymers, 12(1), 54. https://doi.org/10.3390/polym12010054

