Sequencing of Side-Chain Liquid Crystalline Copolymers by Matrix-Assisted Laser Desorption/Ionization Tandem Mass Spectrometry
Abstract
1. Introduction
2. Materials and Methods
2.1. Materials
2.2. NMR and GPC Experiments
2.3. MALDI-MS and MS/MS Experiments
2.4. Molecular Weight and Comonomer Content Analysis
3. Results and Discussion
3.1. MALDI-MS Analysis of SCLC Copolymers
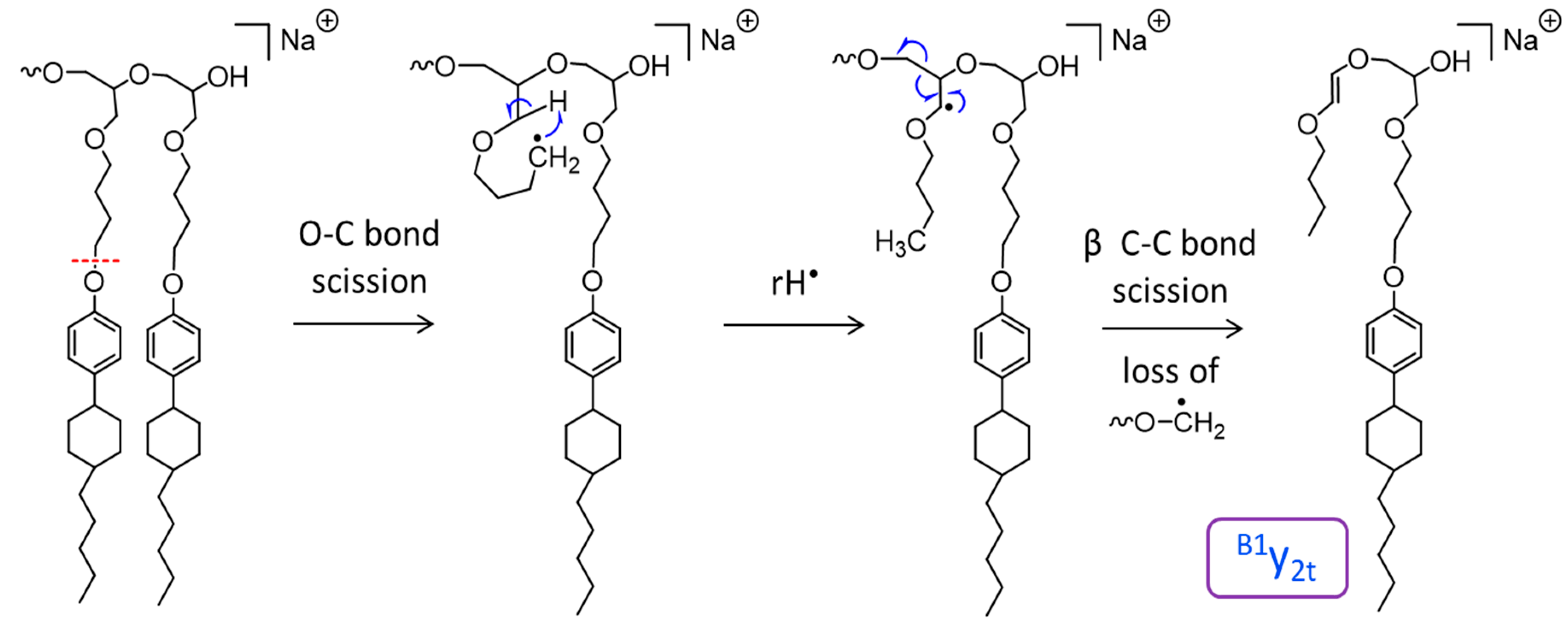
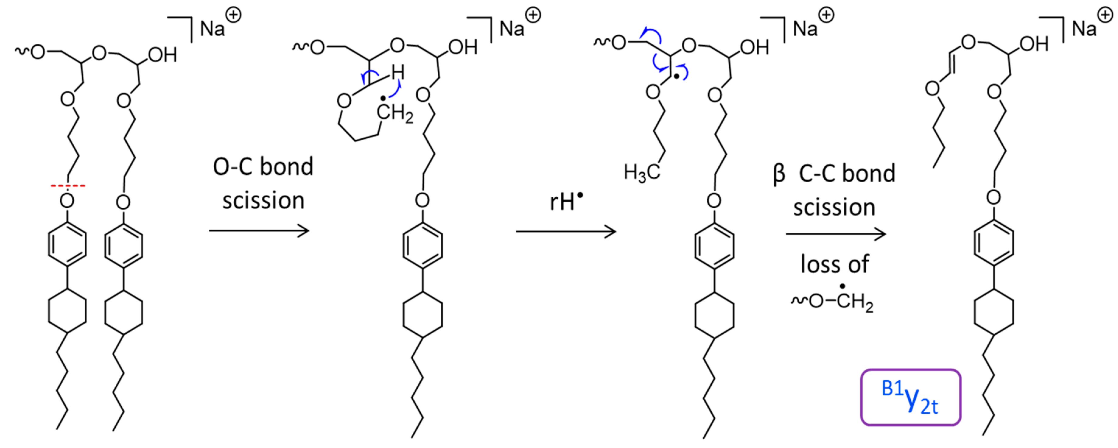
3.2. MALDI-MS/MS Fragmentation Pathways of the SCLC Copolymers
3.3. Sequence Analysis of the SCLC Copolymers by MALDI-MS/MS
4. Conclusions
Supplementary Materials
Author Contributions
Funding
Conflicts of Interest
References
- Weck, M. Side-chain functionalized supramolecular polymers. Polym. Int. 2007, 56, 453–460. [Google Scholar] [CrossRef]
- Ganicz, T.; Stanczyk, W. Side-chain liquid crystal polymers (SCLCP): Methods and materials. An overview. Material 2009, 2, 95–128. [Google Scholar] [CrossRef]
- Liu, Y.; Wei, W.; Xiong, H.M. Polyether based side-chain liquid crystalline polymer: Anionic polymerization and phase structures. Polymer 2013, 54, 6572–6579. [Google Scholar] [CrossRef]
- Ujiie, S.; Kato, T. Design and synthesis of side-chain liquid crystal polymers. In Handbook of Liquid Crystals, 2nd ed.; Goodby, J.W., Ed.; Wiley-VCH Verlag: Weinheim, Germany, 2014; Volume 7, pp. 381–414. [Google Scholar]
- White, T.J.; Broer, D.J. Programmable and adaptive mechanics with liquid crystal polymer networks and elastomers. Nat. Mater. 2015, 14, 1087–1098. [Google Scholar] [CrossRef] [PubMed]
- Visschers, F.L.L.; Hendrikx, M.; Zhan, Y.; Liu, D. Liquid crystal polymers with motile surfaces. Soft Matter 2018, 14, 4898–4912. [Google Scholar] [CrossRef] [PubMed]
- Yao, Y.; Waters, J.T.; Shneidman, A.V.; Cui, J.; Wang, X.; Mandsberg, N.K.; Li, S.; Balazs, A.C.; Aizenberg, J.P. Multiresponsive polymeric microstructures with encoded predetermined and self-regulated deformability. Proc. Natl. Acad. Sci. USA 2018, 115, 12950–12955. [Google Scholar] [CrossRef] [PubMed]
- Yang, J.; Pinol, R.; Gubellini, F.; Levy, D.; Albouy, P.A.; Keller, P.; Li, M.H. Formation of polymer vesicles by liquid crystal amphiphilic block copolymers. Langmuir 2006, 22, 7907–7911. [Google Scholar] [CrossRef]
- Wei, W.; Wu, Z.C.; Huang, M.J.; Hsu, C.H.; Liu, Y.; Zhang, X.L.; Xiong, H.M. Discovery of hierarchical superstructures in block copolymers by integrating different liquid crystalline interactions. Soft Matter 2017, 13, 2583–2589. [Google Scholar] [CrossRef] [PubMed]
- Li, L. MALDI-MS for Polymer Characterization. In MALDI MS: A Practical Guide to Instruments, Methods and Applications, 2nd ed.; Hillenkamp, F., Peter-Katalinic, J., Eds.; Wiley-VCH Verlag: Weinheim, Germany, 2014; pp. 313–365. [Google Scholar]
- Polce, M.J.; Wesdemiotis, C. Tandem mass spectrometry and polymer ion dissociation. In MALDI Mass Spectrometry for Synthetic Polymer Analysis; Li, L., Ed.; John Wiley & Sons: Hoboken, NJ, USA, 2011; pp. 85–127. [Google Scholar]
- Wesdemiotis, C.; Solak, N.; Polce, M.J.; Dabney, D.E.; Chaicharoen, K.; Katzenmeyer, B.C. Fragmentation pathways of polymer ions. Mass Spectrom. Rev. 2011, 30, 523–539. [Google Scholar] [CrossRef]
- Scionti, V.; Wesdemiotis, C. Tandem mass spectrometry analysis of polymer structures and architectures. In Mass Spectrometry in Polymer Chemistry; Barner-Kowollik, C., Gruendling, T., Falkenhagen, J., Weidner, S., Eds.; Wiley-VCH: Weinheim, Germany, 2012; pp. 57–84. [Google Scholar]
- Wesdemiotis, C. Multidimensional mass spectrometry of synthetic polymers and advanced materials. Angew. Chem. Int. Ed. 2017, 56, 1452–1464. [Google Scholar] [CrossRef]
- Wei, W.; You, D.; Xiong, H. Thermotropic and lyotropic transitions of concentrated solutions of liquid crystalline block copolymers in a liquid crystalline solvent. Macromolecules 2017, 50, 7844–7851. [Google Scholar] [CrossRef]
- Yuan, Z.; Wei, W.; Xiong, H. Synthesis of amphiphilic comb-like liquid crystalline diblock polyethers and their self-assembly in solution. Polymer 2018, 158, 65–71. [Google Scholar] [CrossRef]
- Adamus, G. Structural analysis of poly[(R,S)-3-hydroxybutyrate-co-L-lactide] copolyesters by electrospray ionization ion trap mass spectrometry. Rapid Commun. Mass Spectrom. 2007, 21, 2477–2490. [Google Scholar] [CrossRef] [PubMed]
- Yol, A.M.; Janoski, J.; Quirk, R.P.; Wesdemiotis, C. Sequence analysis of styrenic copolymers by tandem mass spectrometry. Anal. Chem. 2014, 86, 9576–9582. [Google Scholar] [CrossRef] [PubMed]
- Liu, X.; Lin, K.; Kasko, A.M.; Wesdemiotis, C. Tandem mass spectrometry and ion mobility mass spectrometry for the analysis of molecular sequence and architecture of hyperbranched glycopolymers. Analyst 2015, 140, 1182–1191. [Google Scholar] [CrossRef] [PubMed]
- Al Ouahabi, A.; Charles, L.; Lutz, J.-F. Synthesis of non-natural sequence-encoded polymers using phosphoramidite chemistry. J. Am. Chem. Soc. 2015, 137, 5629–5635. [Google Scholar] [CrossRef] [PubMed]
- Roy, R.K.; Meszynska, A.; Laure, C.; Charles, L.; Verchin, C.; Lutz, J.-F. Design and synthesis of digitally encoded polymers that can be decoded and erased. Nat. Commun. 2015, 6, 7237. [Google Scholar] [CrossRef]
- Charles, L.; Laure, C.; Lutz, J.-F.; Roy, R.K. MS/MS sequencing of digitally encoded poly(alkoxyamine amide)s. Macromolecules 2015, 48, 4319–4328. [Google Scholar] [CrossRef]
- Trinh, T.T.; Oswald, L.; Chan-Seng, D.; Charles, L.; Lutz, J.-F. Preparation of information-containing macromolecules by ligation of dyad-encoded oligomers. Chem. Eur. J. 2015, 21, 11961–11965. [Google Scholar] [CrossRef]
- Karamessini, D.; Petit, B.E.; Bouquey, M.; Charles, L.; Lutz, J.-F. Identification-tagging of methacrylate-based intraocular implants using sequence defined polyurethane barcodes. Adv. Funct. Mater. 2017, 27, 1604595. [Google Scholar] [CrossRef]
- Alexander, N.E.; Swanson, J.P.; Joy, A.; Wesdemiotis, C. Sequence analysis of cyclic polyester copolymers using ion mobility tandem mass spectrometry. Int. J. Mass Spectrom. 2018, 429, 151–157. [Google Scholar] [CrossRef]
- Mao, J.; Zhang, W.; Cheng, S.Z.D.; Wesdemiotis, C. Analysis of monodisperse, sequence-defined, and POSS-functionalized polyester copolymers by MALDI tandem mass spectrometry. Eur. J. Mass Spectrom. 2019, 25, 164–174. [Google Scholar] [CrossRef] [PubMed]
- Suckau, D.; Resemann, A.; Schuerenberg, M.; Hufnagel, P.; Franzen, J.; Holle, A. A novel MALDI LIFT-TOF/TOF mass spectrometer for proteomics. Anal. Bioanal. Chem. 2003, 376, 952–965. [Google Scholar] [CrossRef] [PubMed]
- Gies, A.P.; Spencer, L.; Rau, N.J.; Boopalachandran, P.; Rickard, M.A.; Kearns, K.L.; McDougal, N.T. Thermally induced cross-linking and degradation reactions of benzocyclobutene-based polymers. Macromolecules 2017, 50, 2304–2319. [Google Scholar] [CrossRef]
- Wu, Z.; Liu, P.; Liu, Y.; Wei, W.; Zhang, X.; Wang, P.; Xu, Z.; Xiong, H. Regulating sequence distribution of polyethers via ab initio kinetics control in anionic copolymerization. Polym. Chem. 2017, 8, 5673–5678. [Google Scholar] [CrossRef]
- Liu, X.M.; Maziarz, E.P.; Heiler, D.J.; Grobe, G.L. Comparative studies of poly (dimethyl siloxanes) using automated GPC-MALDI-TOF MS and on-line GPC-ESI-TOF MS. J. Am. Soc. Mass Spectrom. 2003, 14, 195–202. [Google Scholar] [CrossRef]
- Tobita, H.; Saito, S. Size exclusion chromatography of branched polymers. Star and comb polymers. Macromol. Theor. Simul. 1999, 8, 513–519. [Google Scholar] [CrossRef]
- Herfurth, C.; Malo de Molina, P.; Wieland, C.; Rogers, S.; Gradzielski, M.; Laschewsky, A. One-step RAFT synthesis of well-defined amphiphilic star polymers and their self-assembly in aqueous solution. Polym. Chem. 2012, 3, 1606–1617. [Google Scholar] [CrossRef]
- Xie, T.; Penelle, J.; Verraver, M. Experimental investigation on the reliability of routine SEC-MALLS for the determination of absolute molecular weights in the oligomeric range. Polymer 2002, 43, 3973–3977. [Google Scholar] [CrossRef]
- Bisio, A.; Mantegazza, A.; Vecchietti, D.; Bensi, D.; Coppa, A.; Torri, G.; Bertini, S. Determination of the molecular weight of low-molecular-weight heparins by using high-pressure size exclusion chromatography on line with a triple detector array and conventional methods. Molecules 2015, 20, 5085–5098. [Google Scholar] [CrossRef]
- Miyake, T.; Shibamoto, T. Formation of formaldehyde from methyl tert-butyl ether (MTBE) upon UV irradiation. Bull. Environ. Contam. Toxicol. 1999, 62, 416–419. [Google Scholar] [CrossRef] [PubMed]
- Gerislioglu, S.; Wesdemiotis, C. Chain-end and backbone analysis of poly(N-isopropylacrylamide)s using sequential electron transfer dissociation and collisionally activated dissociation. Int. J. Mass Spectrom. 2017, 413, 61–68. [Google Scholar] [CrossRef]
- Hodyss, R.; Cox, H.A.; Beauchamp, J.L. Bioconjugates for tunable peptide fragmentation: Free radical initiated peptide sequencing (FRIPS). J. Am. Chem. Soc. 2005, 127, 12436–12437. [Google Scholar] [CrossRef] [PubMed]
- Gao, J.; Thomas, D.A.; Sohn, C.H.; Beauchamp, J.L. Biomimetic reagents for the selective free radical and acid-base chemistry of glycans: Application to glycan structure determination by mass spectrometry. J. Am. Chem. Soc. 2013, 135, 10684–10692. [Google Scholar] [CrossRef] [PubMed]
- Gerislioglu, S.; Adams, S.R.; Wesdemiotis, C. Characterization of singly and multiply PEGylated insulin isomers by reversed-phase ultra-performance liquid chromatography interfaced with ion mobility mass spectrometry. Anal. Chim. Acta 2018, 1004, 58–66. [Google Scholar] [CrossRef]
- Sleno, L.; Volmer, D.A. Ion activation methods for tandem mass spectrometry. J. Mass Spectrom. 2004, 39, 1091–1112. [Google Scholar] [CrossRef] [PubMed]
- Brodbelt, J.S. Ion activation methods for peptides and proteins. Anal. Chem. 2016, 88, 130–151. [Google Scholar] [CrossRef]
- Katzenmeyer, B.C.; Cool, L.R.; Williams, J.P.; Craven, K.; Brown, J.M.; Wesdemiotis, C. Electron transfer dissociation of sodium cationized polyesters: Reaction time effects and combination with collisional activation and ion mobility separation. Int. J. Mass Spectrom. 2015, 378, 303–311. [Google Scholar] [CrossRef]
- Wei, B.; Gerislioglu, S.; Atakay, M.; Salih, B.; Wesdemiotis, C. Characterization of supramolecular peptide-polymer bioconjugates using multistage tandem mass spectrometry. Int. J. Mass Spectrom. 2019, 436, 130–136. [Google Scholar] [CrossRef]








| Copolymer | Mn | Mw | Ɖ | Comonomer Composition | |
|---|---|---|---|---|---|
| (Da) | (Da) | Most Abundant | Average | ||
| block copolymer 1 a | 2874.4 | 3251.9 | 1.13 | A3B3 | A3.9B4.1 |
| random copolymer 2 b | 3538.7 | 4184.7 | 1.18 | A3B5 | A4.8B5.1 |
© 2019 by the authors. Licensee MDPI, Basel, Switzerland. This article is an open access article distributed under the terms and conditions of the Creative Commons Attribution (CC BY) license (http://creativecommons.org/licenses/by/4.0/).
Share and Cite
Snyder, S.R.; Wei, W.; Xiong, H.; Wesdemiotis, C. Sequencing of Side-Chain Liquid Crystalline Copolymers by Matrix-Assisted Laser Desorption/Ionization Tandem Mass Spectrometry. Polymers 2019, 11, 1118. https://doi.org/10.3390/polym11071118
Snyder SR, Wei W, Xiong H, Wesdemiotis C. Sequencing of Side-Chain Liquid Crystalline Copolymers by Matrix-Assisted Laser Desorption/Ionization Tandem Mass Spectrometry. Polymers. 2019; 11(7):1118. https://doi.org/10.3390/polym11071118
Chicago/Turabian StyleSnyder, Savannah R., Wei Wei, Huiming Xiong, and Chrys Wesdemiotis. 2019. "Sequencing of Side-Chain Liquid Crystalline Copolymers by Matrix-Assisted Laser Desorption/Ionization Tandem Mass Spectrometry" Polymers 11, no. 7: 1118. https://doi.org/10.3390/polym11071118
APA StyleSnyder, S. R., Wei, W., Xiong, H., & Wesdemiotis, C. (2019). Sequencing of Side-Chain Liquid Crystalline Copolymers by Matrix-Assisted Laser Desorption/Ionization Tandem Mass Spectrometry. Polymers, 11(7), 1118. https://doi.org/10.3390/polym11071118

