Kinetics of Alkoxysilanes and Organoalkoxysilanes Polymerization: A Review
Abstract
1. Introduction
2. Notation
3. Hydrolysis and Early Stage Condensation
- Hydrolysis and re-esterification:≡Si-O-R + H2O → ≡Si-OH + HO-R≡Si-OH + HO-R’ → ≡Si-OR’ + H2O
- Condensation by producing water:≡Si-OH + HO-Si≡ → ≡Si-O-Si≡ + H2O
- Condensation by producing alcohol:≡Si-OH + HO-Si≡ → ≡Si-O-Si≡ + HO-R
3.1. Reaction Order
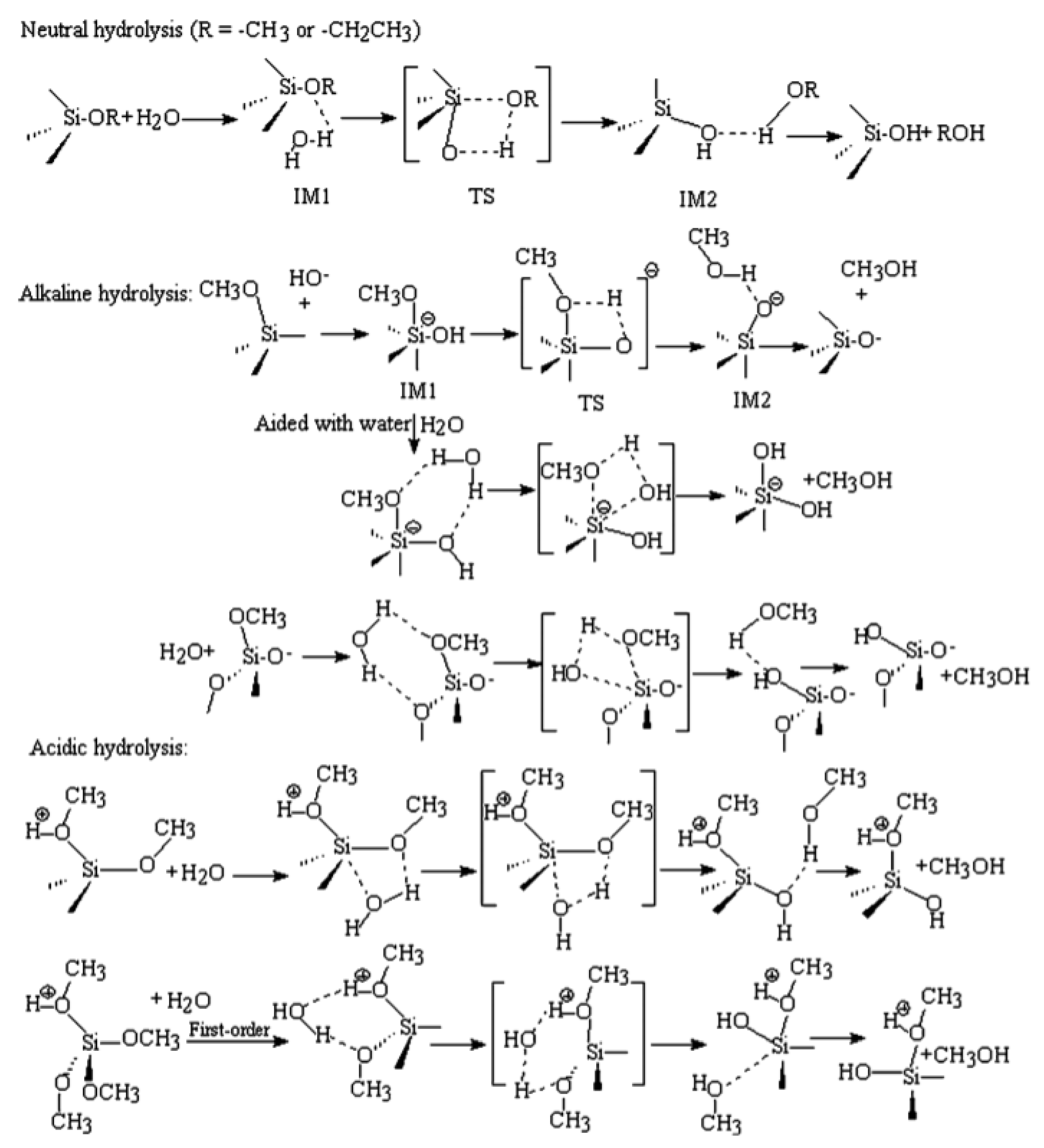
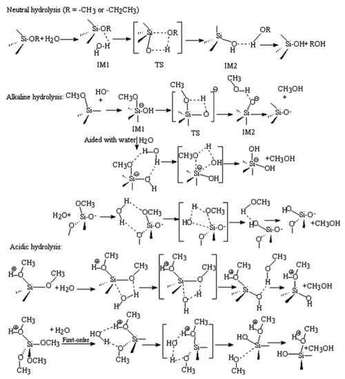
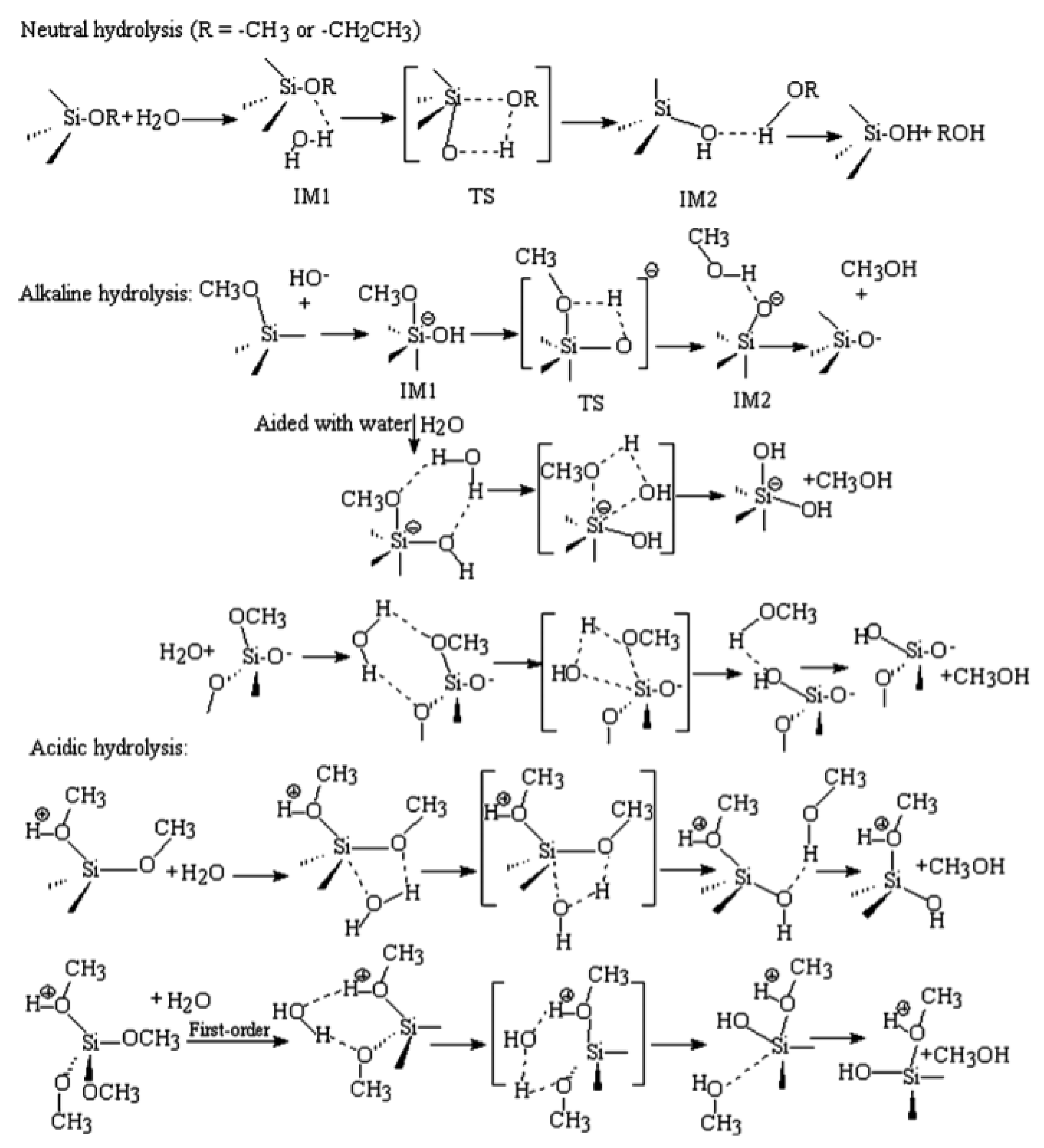
3.2. Mechanisms
3.3. Reaction Rates
3.4. Parameters that Affect the Hydrolysis-Condensation Kinetics
3.4.1. Catalysts
3.4.2. Water/Silane Ratio (r)
3.4.3. Chemical Properties of the Silane
3.4.4. Temperature
3.4.5. Solvents
3.4.6. Ionic Strength
3.4.7. pH
3.4.8. Silane Concentration
4. Phase Separation
4.1. Sol (Stöber Particles)
- a)
- The silica particles were colloidally stable between pH 2 and pH 3. They had a minimum stability at pH 7, and they became highly soluble at pH 11.
- b)
- Increasing the IS decreased the required time to reach the equilibrium state, regardless of the pH and the initial silica concentration.
- c)
- The concentrations of the silica species depended on the pH, IS, and initial concentration of the silicic acid (Figure 14).
- d)
- The silicic acid polymerization rate increased near neutral and with increasing the IS. An equation describing the relation between rate constant, , pH, and concentration (Equation 19) was proposed:where is an empirical value which is positive at pH < 7 and negative at pH > 7, is the rate constant at pH equal to zero, t is the time, are the concentrations of silicic acid at time t and initially, respectively. The addition of IS can affect the transfer of the sol to the gel, but at a certain IS concentration, the addition of the IS leads to the stabilization of the produced silica particles. It was found that silica particles with small sizes could be fabricated by using high concentrations of different chloride and potassium salts [81]. Moreover, the kinetics of the sol and gelation were affected by the Hofmeister series of counter ions [82,83,84].
4.2. Gel
4.3. Silsesquioxanes
5. Identification Techniques
5.1. NMR Spectroscopy
5.2. FTIR and Raman Spectroscopy
5.3. Mass Spectroscopy (MS)
5.4. Chromatography
5.4.1. Gas Chromatography (GC)
5.4.2. Liquid Chromatography
5.4.3. Gel Permeation Chromatography
5.5. Other Less Common Techniques
6. Theoretical Studies
- The structure of the TMOS with one water molecule is a trigonal bipyramid in neutral medium, while it is octahedral in alkaline and acidic media.
- Increasing the number of the water around the silane (e.g., TMOS) decreases the energy barriers of the transition state due to a lowering of the hydrogen bond strain.
- The potential energy surface is composed of stationary points (e.g., reactant complex (C)—intermediate (IM)—transition state (TS)—intermediate 2 (IM2)—product complex (P)) (Figure 27).
- The water molecule will attach from the front in a neutral medium, while it will attach from the back in alkaline and acidic media. It links to the oxygen atom in a Si-O bond through hydrogen bonding.
- The effect of the solvent on the energy barriers for the first, second, third, and fourth orders of TS (TMOS) is as follows: Pure methanol (283.6, 276.3, 259.0, and 259.1 kJ mol−1), water (119.7, 121.7, 123.0, and 123.0 kJ mol−1), and water-methanol mixture (121.7 125.5, 126.9, and 125.1 kJ mol−1), respectively. The reaction in pure methanol leads to the formation of silicone and not hydrolyzed silane at high temperatures. Methanol was found to have a small effect on the hydrolysis in the presence of water.
- The effect of attacking ions (neutral, OH−, H+, and F−): The energy barriers for TMOS in a neutral medium are 119, 106, 109, and 109 kJ mol−1. In an acidic medium, they are 52, 61, and 69 kJ mol−1. The hydrolysis in the acidic medium is incomplete due to proton blocking, so the last methoxy group is very difficult to hydrolyze. In an alkaline medium, they are 77, 157, 155, and 162 kJ mol−1. For the fluoride (F−), they are 84.2, 88.5, 77.2, 81.9, and 82.2 kJ mol−1 (before entropic correlation).
- In terms of the effect of the leaving group, the energy barriers for the hydrolysis of TMOS are 119, 106, 109, and 109 kJ mol−1, while for TEOS, they are 120,106, 123, and 109 kJ mol−1. They attributed the little difference in the energy barriers to a steric effect.
- They discussed the dimerization between various hydrolyzed TMOS and they reported that hydrolysis predominates energetically in a neutral medium. In an acidic medium, the dimerization energy barriers are larger than the hydrolysis ones, so the hydrolyzed forms are predominated in the solution. In an alkaline medium, they reported that the dimerization occurred by an SN1 mechanism with an energy barrier of 46 kJ mol−1 between the two first orders of TMOS hydrolyzation. F− alters the dimerization mechanisms, which lie between SN2 and SN1, and the fluoride ion attacks the silicon atom in a way similar to the hydroxide ion.
- Oligomerization of the simplest silicone (SO(OH)2): Here, they studied all kinds of oligomerization addition between monomers and oligomers up to tetramers. They found that the hexagonal and octagonal trimer and tetramer with two hydroxyl groups each are more stable. In the case of cyclic oligomers, the hydroxide hydrogen can swing freely due to low energy barriers. All the oxygen atoms participated in the formation of conjugated π bonds, which stabilized the ringed oligomers.
7. Conclusions
Supplementary Materials
Funding
Acknowledgments
Conflicts of Interest
References
- Okumoto, S.; Fujita, N.; Yamabe, S. Theoretical Study of Hydrolysis and Condensation of Silicon Alkoxides. J. Phys. Chem. A 1998, 102, 3991–3998. [Google Scholar] [CrossRef]
- Yang, L.; Feng, J.; Zhang, W.; Qu, J. Experimental and computational study on hydrolysis and condensation kinetics of γ-glycidoxypropyltrimethoxysilane (γ-GPS). Appl. Surf. Sci. 2010, 257, 990–996. [Google Scholar] [CrossRef]
- Ignatyev, I.S.; Montejo, M.; Gonzalez, J.L. Theoretical study of the mechanisms of the hydrolysis and condensation reactions of silicon and titanium alkoxides: Similarities and differences. J. Chem. Soc. Dalton Trans. 2010, 39, 6967–6973. [Google Scholar] [CrossRef] [PubMed]
- Brinker, C.J.; Scherer, G.W. Sol-Gel Science: The Physics and Chemistry of Sol-Gel Processing; Academic Press Limited: London, UK, 1990. [Google Scholar]
- McCormick, A. Recent progress in the study of the kinetics of sol-gel SiO2 synthesis reactions. In Sol-Gel Processing and Applications; Attia, Y., Ed.; Plenum: New York, NY, USA, 1994. [Google Scholar]
- Šefčik, J.; McCormick, A.V. Kinetic and thermodynamic issues in the early stages of sol-gel processes using silicon alkoxides. Catal. Today 1997, 35, 205–223. [Google Scholar] [CrossRef]
- Baney, R.H.; Itoh, M.; Sakakibara, A.; Suzuki, T. Silsesquioxanes. Chem. Rev. 1995, 95, 1409–1430. [Google Scholar] [CrossRef]
- Abe, Y.; Gunji, T. Oligo- and polysiloxanes. Prog. Polym. Sci. 2004, 29, 149–182. [Google Scholar] [CrossRef]
- Kickelbick, G. Silsesquioxanes. Functional Molecular Silicon Compounds I: Regular Oxidation States; Scheschkewitz, D., Ed.; Springer International Publishing: Cham, Switzerland, 2014; pp. 1–28. [Google Scholar]
- Peruzzo, V.; Chiurato, M.A.; Favaro, M.; Tomasin, P. Mass spectrometry in the characterization of reactive metal alkoxides. Mass Spectrom. Rev. 2016, 37, 22–43. [Google Scholar] [CrossRef]
- Malier, L.; Boilot, J.P.; Chaput, F.; Devreux, F. Nuclear-magnetic-resonance study of silica gelation kinetics. Phys. Rev. A 1992, 46, 959–962. [Google Scholar] [CrossRef]
- Mazurek, M.H. 3.12 Silicones. In Comprehensive Organometallic Chemistry III; Michael, D., Mingos, P., Crabtree, R.H., Eds.; Elsevier: Oxford, UK, 2007; pp. 651–697. [Google Scholar]
- El-Nahhal, I.M.; El-Ashgar, N.M. A review on polysiloxane-immobilized ligand systems: Synthesis, characterization and applications. J. Organomet. Chem. 2007, 692, 2861–2886. [Google Scholar] [CrossRef]
- Duchateau, R. Incompletely condensed silsesquioxanes: Versatile tools in developing silica-supported olefin polymerization catalysts. Chem. Rev. 2002, 102, 3525–3542. [Google Scholar] [CrossRef]
- Young, D.C. Computational Chemistry: A Practical Guide for Applying Techniques to Real-World Problems; John Wiley & Sons: New York, NY, USA, 2001. [Google Scholar]
- Depla, A.; Lesthaeghe, D.; van Erp, T.S.; Aerts, A.; Houthoofd, K.; Fan, F.; Li, C.; Van Speybroeck, V.; Waroquier, M.; Kirschhock, C.E.A.; et al. 29Si NMR and UV−Raman investigation of initial oligomerization reaction pathways in acid-catalyzed silica sol−gel chemistry. J. Phys. Chem. C 2011, 115, 3562–3571. [Google Scholar] [CrossRef]
- McIntosh, G.J. Theoretical investigations into the nucleation of silica growth in basic solution part I—Ab initio studies of the formation of trimers and tetramers. PCCP 2013, 15, 3155–3172. [Google Scholar] [CrossRef] [PubMed]
- McIntosh, G.J. Theoretical investigations into the nucleation of silica growth in basic solution part II—Derivation and benchmarking of a first principles kinetic model of solution chemistry. PCCP 2013, 15, 17496–17509. [Google Scholar] [CrossRef]
- Pohl, E.R.; Osterholtz, F.D. Kinetics and mechanism of aqueous hydrolysis and condensation of alkyltrialkoxysilanes. In Molecular Characterization of Composite Interfaces; Ishida, H., Kumar, G., Eds.; Springer: Boston, MA, USA, 1985; pp. 157–170. [Google Scholar]
- Connors, K.A. Chemical Kinetics: The Study of Reaction Rates in Solution; VCH Verlagsgesellschaft Weinheim: New York, NY, USA, 1990; p. 480. [Google Scholar]
- Yagihashi, F.; Igarashi, M.; Nakajima, Y.; Ando, W.; Sato, K.; Yumoto, Y.; Matsui, C.; Shimada, S. Acid-catalyzed condensation reaction of phenylsilanetriol: Unexpected formation of cis,trans-1,3,5-Trihydroxy-1,3,5-triphenylcyclotrisiloxane as the main product and its isolation. Organometallics 2014, 33, 6278–6281. [Google Scholar] [CrossRef]
- Matějka, L.; Dukh, O.; Brus, J.; Simonsick, W.J., Jr.; Meissner, B. Cage-like structure formation during sol–gel polymerization of glycidyloxypropyltrimethoxysilane. J. Non-Cryst. Solids 2000, 270, 34–47. [Google Scholar] [CrossRef]
- Brochier Salon, M.C.; Bardet, M.; Belgacem, M.N. Solvolysis-hydrolysis of N-bearing alkoxysilanes: Reactions studied with 29Si NMR. Silicon Chem. 2008, 3, 335–350. [Google Scholar] [CrossRef]
- Borovin, E.; Callone, E.; Ribot, F.; Diré, S. Mechanism and kinetics of oligosilsesquioxane growth in the in situ water production sol-gel route: Dependence on water availability. Eur. J. Inorg. Chem. 2016, 13–14, 2166–2174. [Google Scholar] [CrossRef]
- Lindberg, R.; Sundholm, G.; Øye, G.; Sjöblom, J. A new method for following the kinetics of the hydrolysis and condensation of silanes. Colloids Surf. A 1998, 135, 53–58. [Google Scholar] [CrossRef]
- Torry, S.A.; Campbell, A.; Cunliffe, A.V.; Tod, D.A. Kinetic analysis of organosilane hydrolysis and condensation. Int. J. Adhes. Adhes. 2006, 26, 40–49. [Google Scholar] [CrossRef]
- Ogasawara, T.; Yoshino, A.; Okabayashi, H.; O’Connor, C.J. Polymerization process of the silane coupling agent 3-aminopropyltriethoxy silane—1H NMR spectra and kinetics of ethanol release. Colloids Surf. A 2001, 180, 317–322. [Google Scholar] [CrossRef]
- Huber, M.P.; Kelch, S.; Berke, H. FTIR investigations on hydrolysis and condensation reactions of alkoxysilane terminated polymers for use in adhesives and sealants. Int. J. Adhes. Adhes. 2016, 64 (Suppl. C), 153–162. [Google Scholar] [CrossRef]
- Lee, A.S.; Choi, S.S.; Baek, K.Y.; Hwang, S.S. Hydrolysis kinetics of a sol-gel equilibrium yielding ladder-like polysilsesquioxanes. Inorg. Chem. Commun. 2016, 73, 7–11. [Google Scholar] [CrossRef]
- Côrtes, A.D.S.; Donatti, D.A.; Ibañez Ruiz, A.; Vollet, D.R. A kinetic study of the effect of ultrasound power on the sonohydrolysis of tetraethyl orthosilicate. Ultrason. Sonochem. 2007, 14, 711–716. [Google Scholar] [CrossRef] [PubMed]
- Osterholtz, F.D.; Pohl, E.R. Kinetics of the hydrolysis and condensation of organofunctional alkoxysilanes: A review. J. Adhes. Sci. Technol. 1992, 6, 127–149. [Google Scholar] [CrossRef]
- Belton, D.J.; Deschaume, O.; Patwardhan, S.V.; Perry, C.C. A solution study of silica condensation and speciation with relevance to in vitro investigations of biosilicification. J. Phys. Chem. B 2010, 114, 9947–9955. [Google Scholar] [CrossRef] [PubMed]
- Icopini, G.A.; Brantley, S.L.; Heaney, P.J. Kinetics of silica oligomerization and nanocolloid formation as a function of pH and ionic strength at 25 °C. Geochim. Cosmochim. Acta 2005, 69, 293–303. [Google Scholar] [CrossRef]
- Zerda, T.W.; Artaki, I.; Jonas, J. Study of polymerization processes in acid and base catalyzed silica sol-gels. J. Non-Cryst. Solids 1986, 81, 365–379. [Google Scholar] [CrossRef]
- Cheng, X.; Chen, D.; Liu, Y. Mechanisms of silicon alkoxide hydrolysis-oligomerization reactions: A DFT investigation. Phys. Chem. Chem. Phys. 2012, 13, 2392–2404. [Google Scholar] [CrossRef] [PubMed]
- Chen, S.L.; Dong, P.; Yang, G.H.; Yang, J.J. Kinetics of formation of monodisperse colloidal silica particles through the hydrolysis and condensation of tetraethylorthosilicate. Ind. Eng. Chem. Res. 1996, 35, 4487–4493. [Google Scholar] [CrossRef]
- Zhai, Q.; Zhou, C.; Zhao, S.; Peng, C.; Han, Y. Kinetic study of alkoxysilane hydrolysis under acidic conditions by Fourier transform near infrared spectroscopy combined with partial least-squares model. Ind. Eng. Chem. Res. 2014, 53, 13598–13609. [Google Scholar] [CrossRef]
- Yevchuk, I.; Demchyna, O.; Kopylets, V.; Koval, Z.; Romaniuk, H. Kinetic regularities of the early stages of sol-gel process in tetraethoxysilane-based systems. Chem. Chem. Technol. 2014, 8, 147–155. [Google Scholar] [CrossRef]
- Akerman, E. On the hydrolysis of trialkylphenoxysilanes. II. Acta Chem. Scand. 1957, 11, 373–381. [Google Scholar] [CrossRef]
- Donatti, D.A.; Vollet, D.R. Effects of HCl on the ultrasound catalyzed TEOS hydrolysis as determined by a calorimetric study. J. Non-Cryst. Solids 1996, 208, 99–104. [Google Scholar] [CrossRef]
- Donatti, D.A.; Ruiz, A.I.; Vollet, D.R. A dissolution and reaction modeling for hydrolysis of TEOS in heterogeneous TEOS–water–HCl mixtures under ultrasound stimulation. Ultrason. Sonochem. 2002, 9, 133–138. [Google Scholar] [CrossRef]
- Green, D.L.; Jayasundara, S.; Lam, Y.F.; Harris, M.T. Chemical reaction kinetics leading to the first Stober silica nanoparticles—NMR and SAXS investigation. J. Non-Cryst. Solids 2003, 315, 166–179. [Google Scholar] [CrossRef]
- Bogush, G.H.; Zukoski, C.F. Studies of the kinetics of the precipitation of uniform silica particles through the hydrolysis and condensation of silicon alkoxides. J. Colloid Interface Sci. 1991, 142, 1–18. [Google Scholar] [CrossRef]
- García-González, C.A.; Saurina, J.; Ayllón, J.A.; Domingo, C. Preparation and characterization of surface silanized TiO2 nanoparticles under compressed CO2: Reaction kinetics. J. Phys. Chem. C 2009, 113, 13780–13786. [Google Scholar] [CrossRef]
- Abel, M.L.; Joannic, R.; Fayos, M.; Lafontaine, E.; Shaw, S.J.; Watts, J.F. Effect of solvent nature on the interaction of -glycidoxy propyl trimethoxy silane on oxidised aluminium surface: A study by solution chemistry and surface analysis. Int. J. Adhes. Adhes. 2006, 26, 16–27. [Google Scholar] [CrossRef]
- Altmann, S.; Pfeiffer, J. The hydrolysis/condensation behaviour of methacryloyloxyalkylfunctional alkoxysilanes: Structure-reactivity relations. Monatsh. Chem. 2003, 134, 1081–1092. [Google Scholar] [CrossRef]
- Kannan, B.; Higgins, D.A.; Collinson, M.M. Aminoalkoxysilane reactivity in surface amine gradients prepared by controlled-rate infusion. Langmuir 2012, 28, 16091–16098. [Google Scholar] [CrossRef]
- Jiang, H.; Zheng, Z.; Li, Z.; Wang, X. Effects of temperature and solvent on the hydrolysis of alkoxysilane under alkaline conditions. Ind. Eng. Chem. Res. 2006, 45, 8617–8622. [Google Scholar] [CrossRef]
- Masmoudi, M.; Rahal, C.; Abdelmouleh, M.; Abdelhedi, R. Hydrolysis process of γ-APS and characterization of silane film formed on copper in different conditions. Appl. Surf. Sci. 2013, 286 (Suppl. C), 71–77. [Google Scholar] [CrossRef]
- Bogush, G.H.; Zukoski, C.F. Uniform silica particle precipitation: An aggregative growth model. J. Colloid Interface Sci. 1991, 142, 19–34. [Google Scholar] [CrossRef]
- Bogush, G.H.; Tracy, M.A.; Zukoski, C.F. Preparation of monodisperse silica particles: Control of size and mass fraction. J. Non-Cryst. Solids 1988, 104, 95–106. [Google Scholar] [CrossRef]
- Razink, J.J.; Schlotter, N.E. Correction to “Preparation of monodisperse silica particles: Control of size and mass fraction” by G.H. Bogush, M.A. Tracy and C.F. Zukoski IV, Journal of Non-Crystalline Solids 104 (1988) 95–106. J. Non-Cryst. Solids 2007, 353, 2932–2933. [Google Scholar] [CrossRef]
- Rodrıguez, S.A.; Colón, L.A. Investigations of a sol–gel derived stationary phase for open tubular capillary electrochromatography. Anal. Chim. Acta 1999, 397, 207–215. [Google Scholar] [CrossRef]
- De Ferri, L.; Lorenzi, A.; Lottici, P.P. OctTES/TEOS system for hybrid coatings: Real-time monitoring of the hydrolysis and condensation by Raman spectroscopy. J. Raman Spectrosc. 2016, 47, 699–705. [Google Scholar] [CrossRef]
- Zhang, W.; Gao, X.; Yu, L.; Ren, Y.; Xu, H.; Liu, B.; Wang, Y.; Fang, X.; Xu, Y.; Ding, T. Silane-functional benzoxazine: Synthesis, polymerization kinetics and thermal stability. Polym. Int. 2017, 66, 908–915. [Google Scholar] [CrossRef]
- Jiang, Y.; Wan, Q.H. Separation and identification of oligomeric phenylethoxysiloxanolsby liquid chromatography-electrospray ionization mass spectrometry. J. Chromatogr. A 2015, 1394, 95–102. [Google Scholar] [CrossRef]
- Li, Y.S.; Ba, A. Spectroscopic studies of triethoxysilane sol-gel and coating process. Spectrochim. Acta Part A 2008, 70, 1013–1019. [Google Scholar] [CrossRef]
- Jia, G.; Wan, Q.H. Separation and identification of oligomeric vinylmethoxysiloxanes by gradient elution chromatography coupled with electrospray ionization mass spectrometry. J. Chromatogr. A 2015, 1395 (Suppl. C), 129–135. [Google Scholar] [CrossRef] [PubMed]
- Mori, H.; Miyamura, Y.; Endo, T. Synthesis and characterization of water-soluble silsesquioxane-based nanoparticles by hydrolytic condensation of triethoxysilane derived from 2-hydroxyethyl acrylate. Langmuir 2007, 23, 9014–9023. [Google Scholar] [CrossRef] [PubMed]
- Brochier Salon, M.C.; Belgacem, M.N. Competition between hydrolysis and condensation reactions of trialkoxysilanes, as a function of the amount of water and the nature of the organic group. Colloids Surf. A 2010, 366, 147–154. [Google Scholar] [CrossRef]
- Díaz-Benito, B.; Velasco, F.; Martínez, F.J.; Encinas, N. Hydrolysis study of bis-1,2-(triethoxysilyl)ethane silane by NMR. Colloids Surf. A 2010, 369, 53–56. [Google Scholar] [CrossRef]
- Brochier Salon, M.C.; Belgacem, M.N. Hydrolysis-condensation kinetics of different silane coupling agents. Phosphorus Sulfur Silicon Relat. Elem. 2011, 186, 240–254. [Google Scholar] [CrossRef]
- Paquet, O.; Brochier Salon, M.C.; Zeno, E.; Belgacem, M.N. Hydrolysis-condensation kinetics of 3-(2-amino-ethylamino)propyl-trimethoxysilane. Mater. Sci. Eng. C 2012, 32, 487–493. [Google Scholar] [CrossRef]
- Dixit, C.K.; Bhakta, S.; Kumar, A.; Suib, S.L.; Rusling, J.F. Fast nucleation for silica nanoparticle synthesis using a sol-gel method. Nanoscale 2016, 8, 19662–19667. [Google Scholar] [CrossRef] [PubMed]
- Brochier Salon, M.C.; Bayle, P.A.; Abdelmouleh, M.; Boufi, S.; Belgacem, M.N. Kinetics of hydrolysis and self condensation reactions of silanes by NMR spectroscopy. Colloids Surf. A 2008, 312, 83–91. [Google Scholar] [CrossRef]
- Issa, A.A.; Elazazy, M.S.; Luyt, A.S. Polymerization of 3-cyanopropyl (triethoxy) silane: A kinetic study using gas chromatography. Int. J. Chem. Kinet. 2018, 50, 846–855. [Google Scholar] [CrossRef]
- Edwin, P.P. Silane Coupling Agents, 2nd ed.; Springer Science Business Media: New York, NY, USA, 1991. [Google Scholar]
- Naik, V.V.; Städler, R.; Spencer, N.D. Effect of leaving group on the structures of alkylsilane SAMs. Langmuir 2014, 30, 14824–14831. [Google Scholar] [CrossRef] [PubMed]
- Khuwijitjaru, P.; Fujii, T.; Adachi, S.; Kimura, Y.; Matsuno, R. Kinetics on the hydrolysis of fatty acid esters in subcritical water. Chem. Eng. J. 2004, 99, 1–4. [Google Scholar] [CrossRef]
- Khusain, B.K.; Shlygina, I.A.; Brodsky, A.R.; Zhurinov, M.Z. Quantum chemical modeling of regents and products in the process of siloxane airgel formation. RJPBCS 2016, 7, 3073–3082. [Google Scholar]
- Wu, J.; Ling, L.; Xie, J.; Ma, G.; Wang, B. Surface modification of nanosilica with 3-mercaptopropyl trimethoxysilane: Experimental and theoretical study on the surface interaction. Chem. Phys. Lett. 2014, 591 (Suppl. C), 227–232. [Google Scholar] [CrossRef]
- McIntosh, G.J. A theoretical kinetic model of the temperature and pH dependent dimerization of orthosilicic acid in aqueous solution. PCCP 2012, 14, 996–1013. [Google Scholar] [CrossRef] [PubMed]
- Zhang, X.Q.; Trinh, T.T.; van Santen, R.A.; Jansen, A.P.J. Mechanism of the initial stage of silicate oligomerization. J. Am. Chem. Soc. 2011, 133, 6613–6625. [Google Scholar] [CrossRef]
- Conrad, C.F.; Icopini, G.A.; Yasuhara, H.; Bandstra, J.Z.; Brantley, S.L.; Heaney, P.J. Modeling the kinetics of silica nanocolloid formation and precipitation in geologically relevant aqueous solutions. Geochim. Cosmochim. Acta 2007, 71, 531–542. [Google Scholar] [CrossRef]
- Plumeré, N.; Ruff, A.; Speiser, B.; Feldmann, V.; Mayer, H.A. Stöber silica particles as basis for redox modifications: Particle shape, size, polydispersity, and porosity. J. Colloid Interface Sci. 2012, 368, 208–219. [Google Scholar] [CrossRef] [PubMed]
- Milea, C.A.; Bogatu, C.; Duţă, A. The influence of parameters in silica sol-gel process. Bull. Transilvania Univ. Brasov 2011, 4, 59–66. [Google Scholar]
- Savard, S.; Blanchard, L.P.; Léonard, J.; Prud’homme, R.E. Hydrolysis and condensation of silanes in aqueous solutions. Polym. Compos. 1984, 5, 242–249. [Google Scholar] [CrossRef]
- Matsoukas, T.; Gulari, E. Dynamics of growth of silica particles from ammonia-catalyzed hydrolysis of tetra-ethyl-orthosilicate. J. Colloid Interface Sci. 1988, 124, 252–261. [Google Scholar] [CrossRef]
- Matsoukas, T.; Gulari, E. Monomer-addition growth with a slow initiation step: A growth model for silica particles from alkoxides. J. Colloid Interface Sci. 1989, 132, 13–21. [Google Scholar] [CrossRef]
- Privman, V.; Goia, D.V.; Park, J.; Matijević, E. Mechanism of formation of monodispersed colloids by aggregation of nanosize precursors. J. Colloid Interface Sci. 1999, 213, 36–45. [Google Scholar] [CrossRef] [PubMed]
- Higashitani, K.; Nakamura, K.; Shimamura, T.; Fukasawa, T.; Tsuchiya, K.; Mori, Y. Orders of magnitude reduction of rapid coagulation rate with decreasing size of silica nanoparticles. Langmuir 2017, 33, 5046–5051. [Google Scholar] [CrossRef]
- Van der Linden, M.; Conchúir, B.O.; Spigone, E.; Niranjan, A.; Zaccone, A.; Cicuta, P. Microscopic origin of the Hofmeister effect in gelation kinetics of colloidal silica. J. Phys. Chem. Lett. 2015, 6, 2881–2887. [Google Scholar] [CrossRef] [PubMed]
- Oncsik, T.; Trefalt, G.; Borkovec, M.; Szilagyi, I. Specific ion effects on particle aggregation induced by monovalent salts within the Hofmeister series. Langmuir 2015, 31, 3799–3807. [Google Scholar] [CrossRef] [PubMed]
- Trompette, J.L. Influence of co-ion nature on the gelation kinetics of colloid silica suspension. J. Phys. Chem. B 2017, 121, 5654–5659. [Google Scholar] [CrossRef] [PubMed]
- Griesmar, P.; Ponton, A.; Serfaty, S.; Senouci, B.; Gindre, M.; Gouedard, G.; Warlus, S. Kinetic study of silicon alkoxides gelation by acoustic and rheology investigations. J. Non-Cryst. Solids 2003, 319, 57–64. [Google Scholar] [CrossRef]
- Bommel, M.J.; ten Wolde, P.M.C.; Bernards, T.N.M. The influence of methacryloxypropyltrimethoxysilane on the sol-gel process of TEOS. J. Sol-Gel Sci. Technol. 1994, 2, 167–170. [Google Scholar] [CrossRef]
- Wu, C.; Wu, Y.; Xu, T.; Yang, W. Study of sol–gel reaction of organically modified alkoxysilanes. Part I: Investigation of hydrolysis and polycondensation of phenylaminomethyl triethoxysilane and tetraethoxysilane. J. Non-Cryst. Solids 2006, 352, 5642–5651. [Google Scholar] [CrossRef]
- Endo, H.; Takeda, N.; Unno, M. Synthesis and properties of phenylsilsesquioxanes with ladder and double-decker structures. Organometallics 2014, 33, 4148–4151. [Google Scholar] [CrossRef]
- Yagihashi, F.; Igarashi, M.; Nakajima, Y.; Sato, K.; Yumoto, Y.; Matsui, C.; Shimada, S. Unexpected selectivity in cyclotetrasiloxane formation by the hydrolytic condensation reaction of trichloro(phenyl)silane. Eur. J. Inorg. Chem. 2016, 18, 2882–2886. [Google Scholar] [CrossRef]
- Kessler, D.; Löwe, H.; Theato, P. Synthesis of defined poly(silsesquioxane)s: Fast polycondensation of trialkoxysilanes in a continuous-flow microreactor. Macromol. Chem. Phys. 2009, 210, 7. [Google Scholar] [CrossRef]
- Li, J.; Chen, L. Monitoring structural evolution of organosilicate species during sol–gel processes by electrospray ionization mass spectrometry. Rapid Commun. Mass Spectrom. 2016, 30, 504–510. [Google Scholar] [CrossRef]
- Péré, E.; Cardy, H.; Latour, V.; Lacombe, S. Low-temperature reaction of trialkoxysilanes on silica gel: A mild and controlled method for modifying silica surfaces. J. Colloid Interface Sci. 2005, 281, 410–416. [Google Scholar] [CrossRef]
- Safron, A.; Strandell, M.; Kierkegaard, A.; Macleod, M. Rate Constants and activation energies for gas-phase reactions of three cyclic volatile methyl siloxanes with the hydroxyl radical. Int. J. Chem. Kinet. 2015, 47, 420–428. [Google Scholar] [CrossRef]
- Farahani, M.; Wallace, W.E.; Antonucci, J.M.; Guttman, C.M. Analysis by mass spectrometry of the hydrolysis/condensation reaction of a trialkoxysilane in various dental monomer solutions. J. Appl. Polym. Sci. 2006, 99, 1842–1847. [Google Scholar] [CrossRef]
- Topuz, B.; Şimşek, D.; Çiftçioğlu, M. Preparation of monodisperse silica spheres and determination of their densification behaviour. Ceram. Int. Part A 2015, 41, 43–52. [Google Scholar] [CrossRef]
- Takeda, Y.; Komori, Y.; Yoshitake, H. Direct Stöber synthesis of monodisperse silica particles functionalized with mercapto-, vinyl- and aminopropylsilanes in alcohol–water mixed solvents. Colloids Surf. A 2013, 422 (Suppl. C), 68–74. [Google Scholar] [CrossRef]
- Lewars, E. Computational Chemistry: Introduction to the Theory and Applications of Molecular and Quantum Mechanics; Kluwer Academic Puplishers: London, UK, 2003; p. 471. [Google Scholar]
- Cheng, X.; He, G.; Li, L.; Liu, Y. Methanolysis of Si(OCH3)4 and Al(OCH3)3 alkoxides: A comparative study with DFT method. Comput. Theor. Chem. 2013, 1023 (Suppl. C), 19–23. [Google Scholar] [CrossRef]
- Cheng, X.; Zhao, Y. Theoretical study on the oligomerization mechanisms of bihydroxysilicone. J. Mol. Model. 2016, 22, 211. [Google Scholar] [CrossRef]
- Cheng, X.; Zhao, Y.; Liu, Y.; Li, F. Role of F− in the hydrolysis-condensation mechanisms of silicon alkoxide Si(OCH3)4: A DFT investigation. New J. Chem. 2013, 37, 1371–1377. [Google Scholar] [CrossRef]
- Li, S.; Wan, Q.; Qin, Z.; Fu, Y.; Gu, Y. Understanding Stöber silica’s pore characteristics measured by gas adsorption. Langmuir 2015, 31, 824–832. [Google Scholar] [CrossRef] [PubMed]





























| Precursor | Reaction Conditions | Values | Used Techniques | Reference | ||
|---|---|---|---|---|---|---|
| TEOS | They used Stӧber’s conditions with variation in ammonia and water concentrations. The concentration of TEOS was kept constant at 0.5 M. The solvents used were ethanol and methanol. | They determined the hydrolysis rate constants of the TEOS hydrolysis steps (Figure 3). The overall hydrolysis/condensation rate constants for the second, third and fourth hydrolysis steps were also reported. The hydrolysis of the second step was faster than that for the first step under all conditions. The first and second hydrolysis rate constants were 3.91 and 78.0 × 10−4 M−1 min−1 in ethanol, but they were 22.24 and 88.3 × 10−4 M−1 min−1 in methanol under the same conditions. | NMR 300 and 400 MHz. SAXS | [42] | ||
| TEOS | The TEOS was hydrolyzed by using phosphoric acid in water at different TEOS:water:phosphoric ratios and different temperatures. | The hydrolysis rate constants ranged from 1.1 to 5.4 × 102 M−1 sec−1. The calculated activation energy with a 2.0:0.5:0.05 mL ratio under the reaction conditions was 33.3 kJ mol−1. | GC/TCD | [38] | ||
| TEOS | Hydrolysis of TEOS in acidified water with hydrochloric acid and ultrasonic power. | The hydrolysis rate constant ranged between 4.5 and 65 × 10−2 M−1 min−1, depending on the concentration of the acid. | Calorimetry | [40] | ||
| TEOS | Bogush et al. studied the hydrolysis and condensation reactions of TEOS under different conditions in alkaline medium (Stӧber method). | They assumed that all the reactions were first order. The hydrolysis rate constants ranged from 1.4 to 8 × 104 s−1 depending on the concentration of water and ammonia. The average condensation rate constants ranged from 3.2 to 32 × 103 s−1, also depending on the concentration of water and ammonia. The hydrolysis was not noticeably affected by the addition of sodium chloride, while the condensation rates decreased with the addition of the salt. | Using different techniques such as TEM, NMR, conductivity, and atomic absorption spectrometry (AAS) | [43] | ||
| TEOS | Hydrolysis of TEOS in acidified water by using ultrasound at a constant ultrasonic (US) power of 60 W and different pH (0.8 to 2). | The hydrolysis rate constant was calculated at all the pH values by the following equation: 6.1 × [H+] M−1 min−1 at 39 °C, where [H+] is the concentration of proton. | Calorimetry | [41] | ||
| TEOS | Hydrolysis of TEOS in acidified water without homogenizing agent and by using different ultrasound power. | The hydrolysis rate constants ranged from 2.8 to 5.8 × 10−3 M−1 sec−1 depending on the power of the ultrasonic bath. | Calorimetry | [30] | ||
| TEOS | The hydrolysis rate constants of TEOS in acidic medium (<0.003 M HCl) and alkaline medium (0.04 to 3 M NH3). | The activation energy in the acidic medium ranged from 11 to 16 kcal mol−1. The hydrolysis rate constant ranged between 0.002 and 0.5 M−1 h−1 depending on the ammonia concentration. The activation energy in basic medium was reported to be 6 kcal mol−1. | NMR | [6] | ||
| OTES | Hydrolysis (kh) and condensation (kc) constants of octyl triethoxy silane (OTES) between two liquids (octane and water) at different OTES concentrations (0.001, 0.1, and 0.1 M). | Conc. of OTES (M) | 0.001 | 0.01 | Measuring of interfacial tension between the octane and water layers by using the pendant drop method. | [25] |
| kh (min−1) | 0.6 | 0.7 | ||||
| kc (m2 mmol−1 min−1) | 72 | 82 | ||||
| OTES | Hydrolysis of OTES in liquid carbon dioxide and near supercritical conditions. | The hydrolysis rate constant was 0.0426 min−1 | TGA and NMR | [44] | ||
| APTS | Hydrolysis of aminotriethoxy silane (APTS) in deuterated ethanol with water/silane ratio = 1 and without catalyst. | The APTS hydrolyzed in two steps, initial and secondary steps with rate constants 2.77 and 0.733 × 10−4 sec−1, respectively, at 25 °C. The activation energies of the two steps were, respectively, 34.4 and 30.6 kJ mol−1. | NMR 300 MHz | [27] | ||
| GPS | The hydrolysis of γ-glycidoxypropyl trimethoxy silane (GPS) in different methanol/water ratios and using acetic acid as a catalyst | They graphically presented the concentrations of GPS and its hydrolyzed species vs time, instead of reporting numerical values of their rate constants. | NMR | [45] | ||
| GPS | Hydrolysis of GPS in non-aqueous solution (95% ethanol, 1% silane, and 4% water) with organotin and other organometallic catalysts. | The hydrolysis rate constants ranged from 0.01 to 22 × 10−4 min, depending mainly on the catalyst, but also on the solvent. | NMR | [26] | ||
| PTMS | The phenyltrimethoxysilane (PTMS), propyl trimethoxy silane (PrTMS), and methacryloxypropyltrimethoxy silane (MPTMS) were hydrolyzed in THF and KCO3 as catalyst in excess water. | Reaction rate constants (k) of PTMS, PrTMS, and MPTMS were 2.87 ± 0.14 e−8 M−2.3 s−1, 1.26 ± 0.11 e−8 M−2.1 s−1, and 1.42 ± 0.11 e−8 M−1.8 s−1, respectively. | NMR | [29] | ||
| Silicic acid | The silicic acid was condensed in aqueous solution under different ionic, pH, and silicic concentrations. | The reaction rate constants ranged from 4.13 to 7.36 × 10−7 mmolal−3 s−1 depending on the ionic strength, pH, and the initial concentration. | UV/Vis spectrometry, ICP-AES | [33] | ||
| Ortho-silicic acid | Ortho-silicic acid (10 and 30 mM) was produced from the acid hydrolysis of dipotassium tris(1,2-benzene-diolato-O,O’) silicate. It underwent condensation at different pH (3.4–6.8). | The reaction rates ranged from 1.5 × 10−8 to 3 × 10−6 mM−2 s−1 with changing the pH of the reaction medium. | 1H NMR, UV/Vis spectrometer | [32] | ||
| DMDEOS MTES TEOS | The dimethyl diethoxy silane (DMDEOS), methyltriethoxy silane (MTES), and TEOS were hydrolyzed in acidic medium. | The hydrolysis constant of DMSEOS ranged from 0 to 0.6 M−1 min−1 at pH 2 to 5. The hydrolysis constants of MTES ranged from 0 to 0.23 and for TEOS from 0 to 0.18 M−1 min−1 at pH 2 to 4. The activation energies of MTES at pH 3.134 and 3.83 were calculated as 57.61 and 97.84 kJ mol−1, respectively. The activation energy of TEOS at pH 3.134 was found to be 31.52 kJ mol−1. | FT-NIR | [37] | ||
| Model polymer | Methoxysilanes-terminated polybutadiene was used as model polymer. It was crosslinked under certain conditions (temperature of 25 °C, humidity of 50%) with different catalysts and water content. | The hydrolysis rate of the model polymer depended on the catalysts and their concentrations. The hydrolysis rate constants ranged from 0.29 to 5.4 × 10−4 min−1 with different catalysts at a concentration around 3.0 mol %. The hydrolysis rate constants for the mixed catalysts ranged between 2.1 to 5.3 × 10−4 min−1 depending on the catalyst and co-catalyst combinations. | ATR-FTIR | [28] | ||
| Different silanes | Hydrolysis of different silanes that are drawn in Figure 4 under acidic and alkaline conditions | The hydrolysis rates are listed in Section 3.4.2. | NMR | [46] | ||
| Different amino-trialkoxysilanes | Hydrolysis of these silanes were conducted by using HCl as catalyst. | The hydrolysis rate for these silanes ranged between 5.5 to 97 mM−1 h−1 depending on the type of the silane. | XPS | [47] | ||
| MTMS | Hydrolysis of methyl triethoxy silanes in different solvents and at different temperatures in alkaline medium. | The hydrolysis rate constant of MTMS in methanol was 2.453 × 104 sec−1 at 30 °C, and the activation energy was 50.09 kJ mol−1. The hydrolysis rates changed significantly with changing the solvents. | FTIR | [48] | ||
| Catalyst | Solvent | Rate Constant/10−4 min−1 |
|---|---|---|
| None | d6-acetone | <0.01 |
| Zinc acetylacetonate hydrate (ZnAA) | d6-acetone | 4.3 |
| Zirconium acetylacetonate (ZAA) | d6-acetone | 2.0 |
| Aluminium acetylacetonate (AAA) | d6-acetone | 6.0 |
| Zirconium tetrakis(2,2,6,6-tetramethyl-3,5-heptadionate) ZTT | d6-acetone | 18 |
| Zinc bis(2,2,6,6-tetramethyl-3,5-heptanedionate) ZTH | d6-acetone | 0.45 |
| Chromium (III) acetylacetonate | d6-acetone | <0.01 |
| Chromium (III) acetylacetonate (1% by mass) | d6-acetone | <0.01 |
| Zinc acetylacetonate hydrate (ZnAA) | d6-ethanol | 4.3 |
| Aluminium acetylacetonate (AAA) | d6-ethanol | 18 |
| Zinc bis(2,2,6,6-tetramethyl-3,5-heptanedionate) (ZTH) | d6-ethanol | 22 |
| Chromium (III) acetylacetonate | d6-acetone | <0.01 |
| Chromium (III) acetylacetonate (1% by mass) | d6-acetone | <0.01 |
| Oligomer | Peak Area (%) | |||||||||
|---|---|---|---|---|---|---|---|---|---|---|
| n = 1 | n = 2 | n = 3 | n = 4 | n = 5 | n = 6 | n = 7 | n = 8 | n = 9 | Subtotal | |
| r1 = 0.5 | ||||||||||
| A-series | 1.03 | 9.20 | 23.70 | 31.01 | 12.01 | 2.39 | - | - | - | 79.35 |
| B-series | - | - | 2.40 | 7.13 | 7.40 | 3.07 | 0.65 | - | - | 20.65 |
| C-series | - | - | - | - | - | - | - | - | - | - |
| r1 = 1.0 | ||||||||||
| A-series | 0.66 | 6.01 | 19.54 | 30.19 | 15.82 | 4.81 | 1.25 | 0.13 | - | 78.40 |
| B-series | - | - | 1.93 | 7.11 | 6.43 | 4.08 | 1.38 | 0.31 | - | 21.23 |
| C-series | - | - | - | - | - | 0.29 | 0.08 | - | - | 0.37 |
| r1 = 1.5 | ||||||||||
| A-series | 1.0 | 3.53 | 17.5 | 26.94 | 15.22 | 3.91 | 0.89 | 0.13 | - | 69.11 |
| B-series | - | - | 1.8 | 9.75 | 9.96 | 5.87 | 1.85 | 0.49 | - | 29.71 |
| C-series | - | - | - | - | - | 0.87 | 0.31 | - | - | 1.18 |
| r1 = 2.0 | ||||||||||
| A-series | 0.84 | 1.57 | 15.37 | 17.86 | 6.88 | 2.17 | 0.47 | 0.08 | - | 45.25 |
| B-series | - | - | 1.73 | 17.14 | 20.70 | 7.42 | 1.99 | 0.54 | - | 49.60 |
| C-series | - | - | - | - | 0.92 | 2.86 | 0.92 | 0.31 | 0.14 | 5.15 |
| Compound | Hydrolysis Rate at pH 4 h−1 | Hydrolysis Rate at pH 9 h−1 |
|---|---|---|
| 1a | 21.8 | 24.0 |
| 1b | 14.4 | 67.9 |
| 1c | a | 17.5 |
| 2a | b | 1.2 |
| 2b | 27.2 | 9.5 |
| 2c | a | 2.2 |
| 3a | 1.6 | 1.2 |
| 3b | c | 0.5 |
| 4a | 31.5 | 27.7 |
| 4b | 4.9 | 1.6 |
| 5 | 5.2 | 0.6 |
| 6 | 13.7 | 6.4 |
| Q0 | Si(OR)x(OH)4−x | ||||
| x | |||||
| 4 | 3 | 2 | 1 | 0 | |
| TMOS | −78.5 | −77.0 | −75.5 | −74.2 | −73.1 |
| TEOS | −81.95 | −79.07 | −76.58 | −74.31 | - |
| Q0 | Q1 | Q2 | Q3 | ||
| TMOS | |||||
| –OCH3 substituted | |||||
| Monomer Q0 | −78.47 | - | |||
| Dimer (Q1)2 | - | −85.81 | |||
| Trimer Q1Q2Q1 | −85.99 | −93.69 | |||
| Cyclic trimer (Q2)3 | −83.3 (possibly hydrolyzed) | ||||
| Cyclic tetramer (Q2)4 | −92.9 | ||||
| Linear tetramer Q1Q2Q2Q1 | −85.98 | −93.9 | |||
| Branched tetramer Q1Q3Q1Q1 | −86.19 | −102.10 | |||
| TEOS | |||||
| –OC2H5 substituted | |||||
| Monomer Q0 | −81.95 | ||||
| Dimer (Q1)2 | −88.85 | ||||
| Trimer Q1Q2Q1 | −88.99 | −96.22 | |||
| Peak (cm−1) | Assignments |
|---|---|
| 1198 or 1085 | Si-O-CH3 [2,28] |
| 1097 | Si-O-Si (for the body) [2,19,24,28,59] |
| 1032 | Si-O-Si (for the linear) [2,24,28,49,59] |
| 851 | Si-O-Fe [2] |
| 1167, 957 | Si-O-C (rocking) [49,87] |
| 940, 913 | Si-OH [49,57,87] |
| 877, 859, 2195 | Si-H [57] |
| 1104 | Si-O-C [57] |
| 830 | Silica network [57] |
| 1095, 1067 | (T1)2(OH)4 ladder structure [24] |
| 996 | Open cage (T3)4((T2)2(OH)2 [24] |
| 1135 | T8 cage like [24] |
| 1051–1057 | Strained structure (T6) [59] |
| 1120–1130 | Unstrained structures (T8 and T10) [59] |

| Raman Bands (cm−1) | Assignments |
|---|---|
| 308, 350 | O-Si-O bending |
| Between 250 and 500 | Si-O-Si bending |
| 430, 526 | Si-O-C bending |
| 622 | Si-C stretching |
| 647, 741 | Si-O breathing |
| 805 | Si-O stretching |
| 810 | T4 (silsesquioxanes) |
| 1089 | Si-O-C stretching |
| 840 | Si-O-Si stretching |
| 710 | Hydrolyzed silane |
© 2019 by the authors. Licensee MDPI, Basel, Switzerland. This article is an open access article distributed under the terms and conditions of the Creative Commons Attribution (CC BY) license (http://creativecommons.org/licenses/by/4.0/).
Share and Cite
Issa, A.A.; Luyt, A.S. Kinetics of Alkoxysilanes and Organoalkoxysilanes Polymerization: A Review. Polymers 2019, 11, 537. https://doi.org/10.3390/polym11030537
Issa AA, Luyt AS. Kinetics of Alkoxysilanes and Organoalkoxysilanes Polymerization: A Review. Polymers. 2019; 11(3):537. https://doi.org/10.3390/polym11030537
Chicago/Turabian StyleIssa, Ahmed A., and Adriaan S. Luyt. 2019. "Kinetics of Alkoxysilanes and Organoalkoxysilanes Polymerization: A Review" Polymers 11, no. 3: 537. https://doi.org/10.3390/polym11030537
APA StyleIssa, A. A., & Luyt, A. S. (2019). Kinetics of Alkoxysilanes and Organoalkoxysilanes Polymerization: A Review. Polymers, 11(3), 537. https://doi.org/10.3390/polym11030537

