Demonstrating the Influence of Physical Aging on the Functional Properties of Shape-Memory Polymers
Abstract
1. Introduction
2. Materials and Methods
2.1. Materials
2.2. Sample Preparation
2.3. Diffusion Experiments (Physical Aging)
2.4. Dynamic Mechanical Thermal Analysis (DMTA)
2.5. Cyclic Thermomechanical Twisting Tests
2.6. Positron Annihilation Lifetime Spectroscopy (PALS)
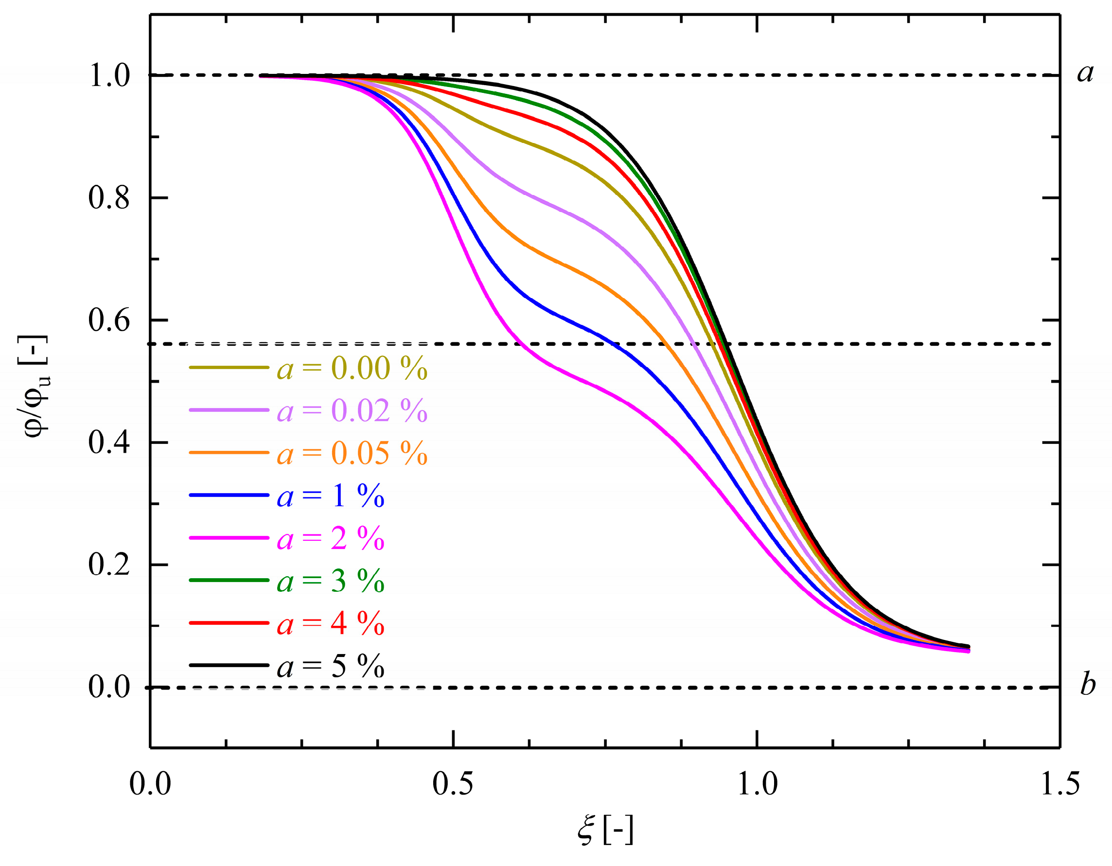
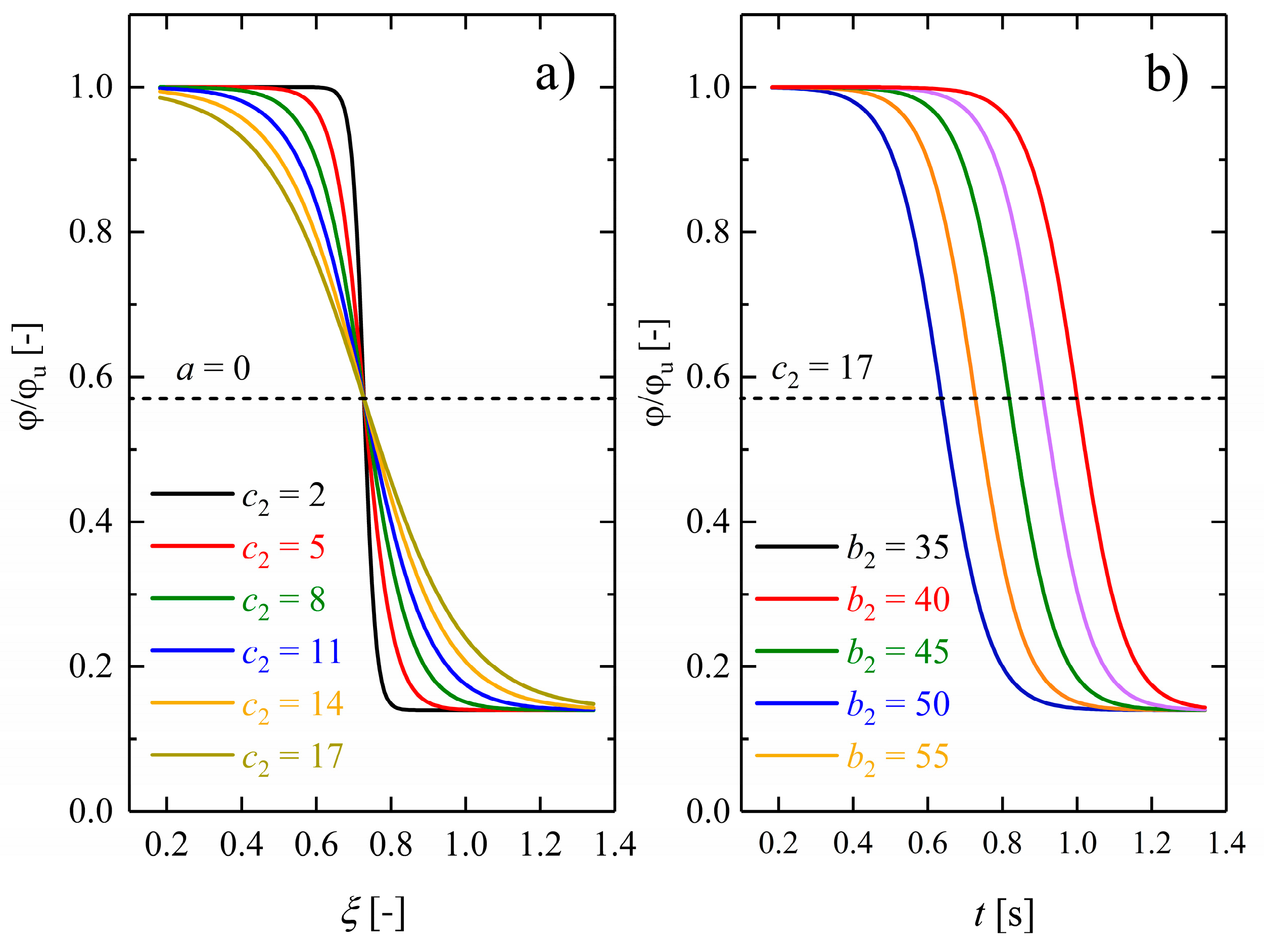
2.7. Quantification of the Shape Recovery by Evolution Law for the Frozen Volume Fraction Model (FVF)
3. Results
3.1. Solvent Uptake Experiments
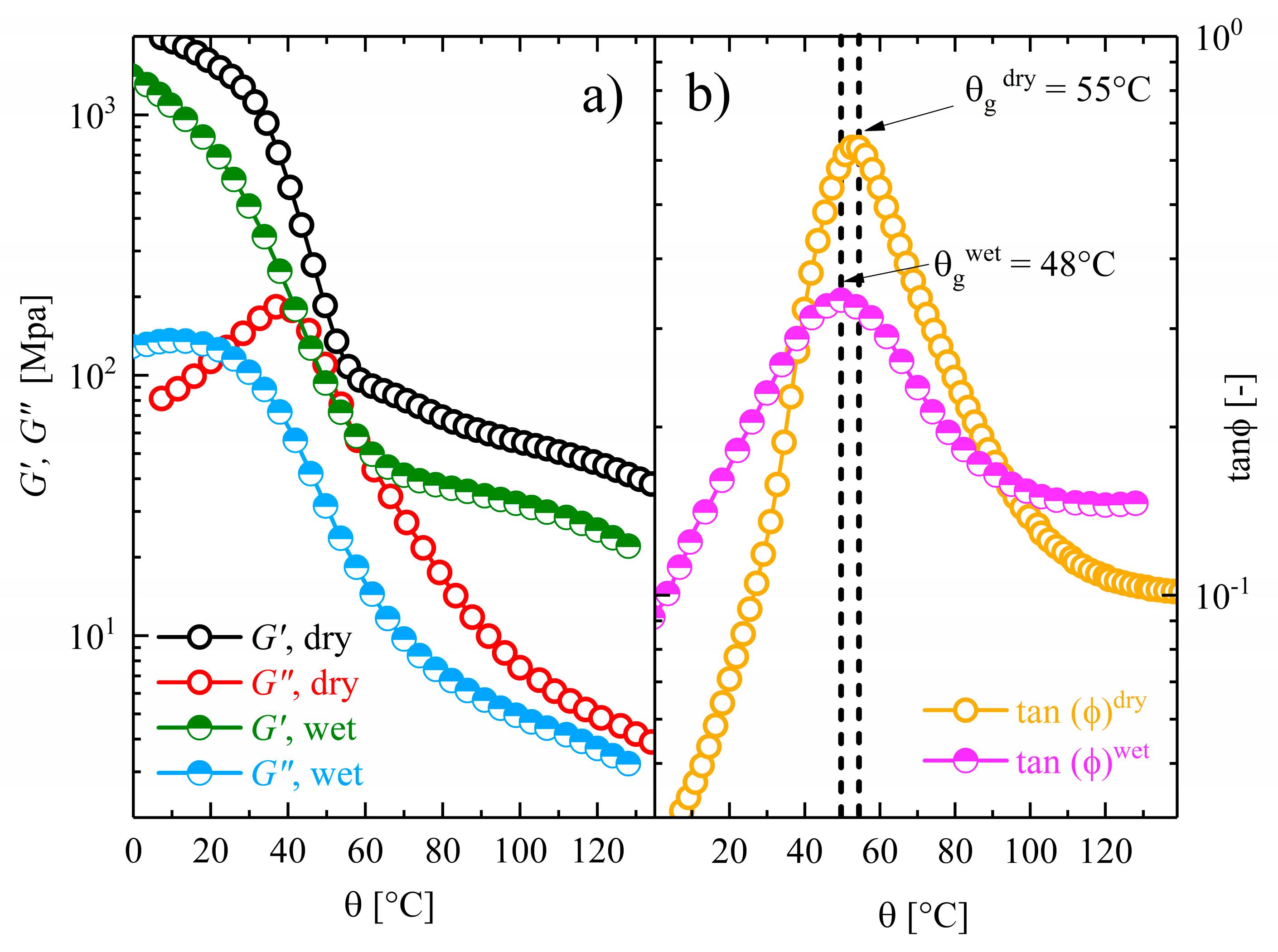
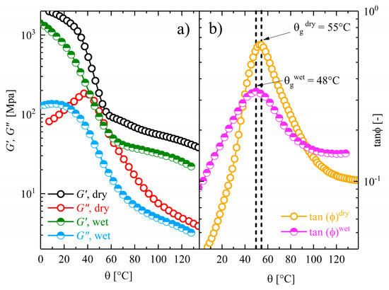
3.2. Temperature Sweep Tests of DMTA
3.3. Study of Free Volume (FV) with PALS
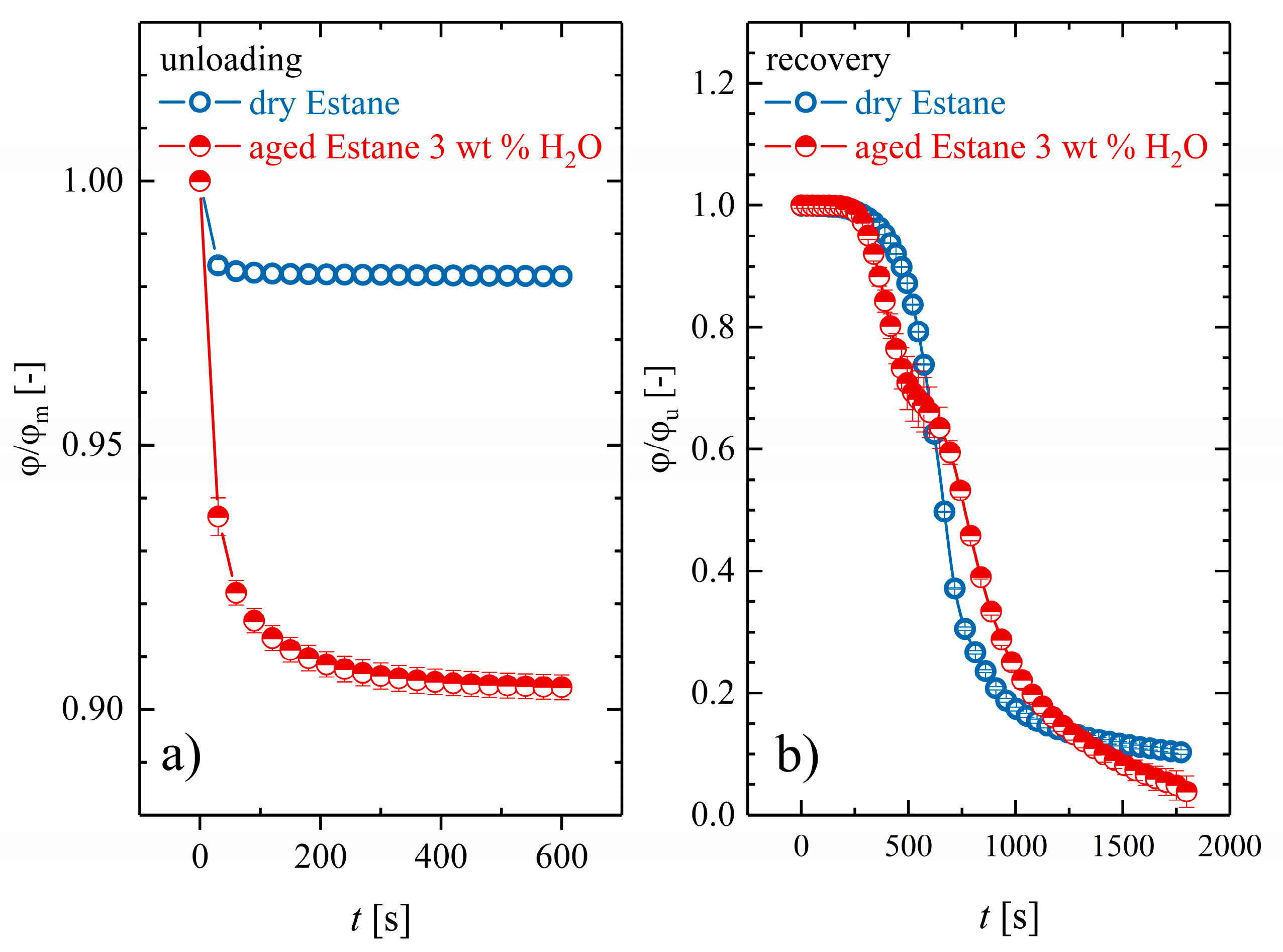
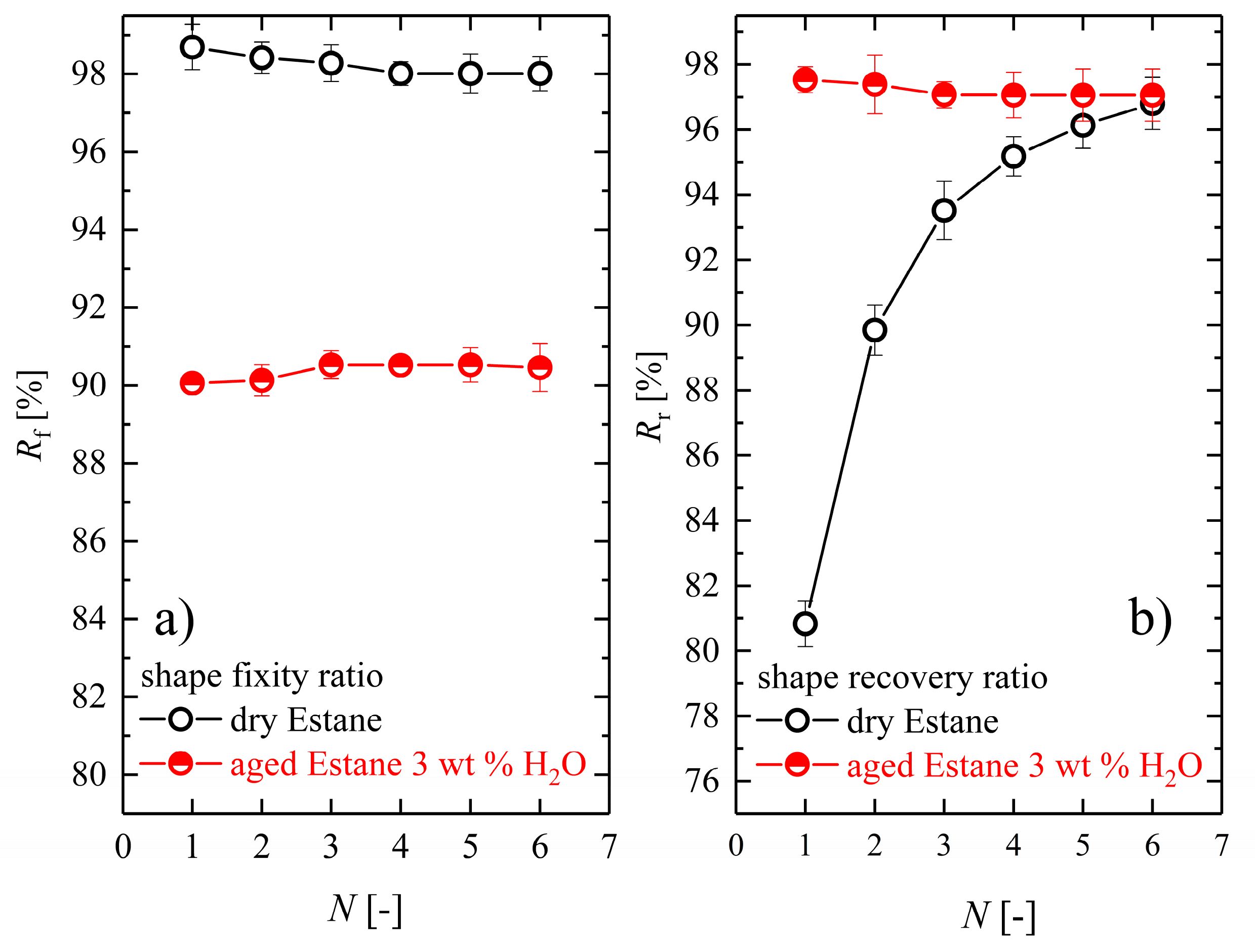
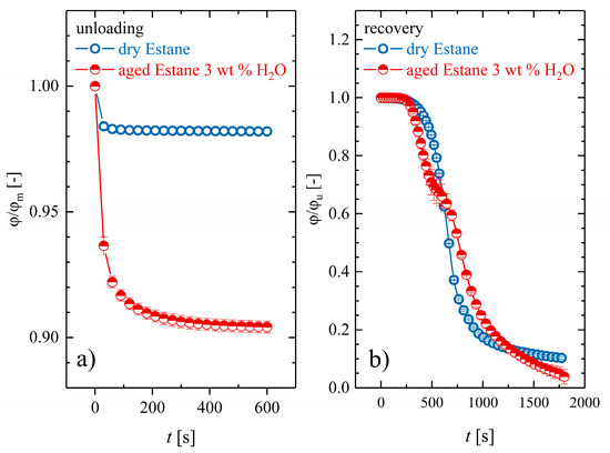
3.4. Thermomechanical Cycles: Torsion Tests for Dry and Hydrolytically (Physically) Aged Samples
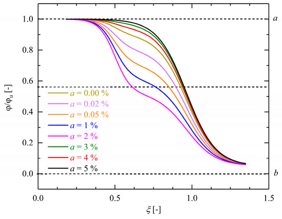
3.5. Recovery Kinetics in Dry and Hydrolytically (Physically) Aged Samples
4. Discussion
5. Conclusions
Acknowledgments
Author Contributions
Conflicts of Interest
References
- Behl, M.; Razzaq, M.Y.; Lendlein, A. Multifunctional Shape-Memory polymers. Adv. Mater. 2010, 22, 3388–3410. [Google Scholar] [CrossRef] [PubMed]
- Behl, M.; Kratz, K.; Zotzmann, J.; Nöchel, U.; Lendlein, A. Reversible bidirectional Shape-Memory polymers. Adv. Mater. 2013, 25, 4466–4469. [Google Scholar] [CrossRef] [PubMed]
- Zhu, H.; Huang, H.; Lu, J. Recent advances in Shape-Memory polymers: Structure, mechanism, functionality, modeling and applications. Prog. Polym. Sci. 2012, 37, 1720–1763. [Google Scholar]
- Meng, H.; Li, G. A review of stimuli-responsive shape memory polymer composites. Polymer 2013, 54, 2199–2221. [Google Scholar] [CrossRef]
- Heuchel, M.; Sauter, T.; Kratz, K.; Lendlein, A. Thermally induced Shape-Memory effects in polymers: Quantification and related modeling approaches. J. Polym. Sci. B 2013, 51, 621–637. [Google Scholar] [CrossRef]
- Sauter, T.; Heuchel, M.; Kratz, K.; Lendlein, A. Quantifying the Shape-Memory effect of polymers by cyclic thermo-mechanical tests. Polym. Rev. 2013, 53, 6–40. [Google Scholar] [CrossRef]
- Gu, X.; Mather, P.T. Water-triggered shape memory of multiblock thermoplastic polyurethanes. RSC Adv. 2013, 3, 15783–15791. [Google Scholar] [CrossRef]
- Yang, B.; Huang, W.M.; Li, C.; Lee, C.M.; Li, L. On the effects of moisture in a polyurethane shape memory polymer. Smart Mater. Struct. 2004, 13, 191–195. [Google Scholar] [CrossRef]
- Jung, Y.C.; So, H.H.; Cho, J.W. Water-Responsive shape memory polyurethane block copolymer modified with polyhedral oligomeric silsesquioxane. J. Macromol. Sci. B 2006, 45, 453–461. [Google Scholar] [CrossRef]
- Pierce, B.F.; Bellin, K.; Behl, M.; Lendlein, A. Demonstrating the influence of water on Shape-Memory polymer networks based on poly[(rac-lactide)-co-glycolide] segments in vitro. Int. J. Artif. Organs 2012, 34, 172–179. [Google Scholar] [CrossRef]
- Xiao, R.; Guo, J.; Safaranski, D.L.; Nguyen, T.D. Solvent-driven temperature memory and multiple shape memory effects. Soft Matter 2015, 11, 3977–3985. [Google Scholar] [CrossRef] [PubMed]
- Yang, B.; Huang, W.M.; Li, C.; Li, L. Effects of moisture on the thermomechanical properties of a polyurethane shape memory polymer. Polymer 2006, 47, 1348–1356. [Google Scholar] [CrossRef]
- Yu, Y.J.; Hearon, K.; Wilson, T.S.; Maitland, D.J. The effect of moisture absorption on the physical properties of polyurethane shape memory polymer foams. Smart Mater. Struct. 2011, 20, 085010. [Google Scholar] [CrossRef] [PubMed]
- Huang, W.M.; Yang, B.; An, L.; Li, C.; Chan, Y.S. Water-driven programmable polyurethane shape memory polymer: Demonstration and mechanism. Appl. Phys. Lett. 2005, 86, 114150. [Google Scholar] [CrossRef]
- Willett, J.L. Humidity-Responsive Starch-Poly(methyl acrylate) Films. Macromol. Chem. Phys. 2008, 209, 764–772. [Google Scholar] [CrossRef]
- Wen, H.; Chen, S.; Ge, Z.; Zhuo, H.; Ling, J.; Liuc, Q. Development of humidity-responsive self-healing zwitterionic polyurethanes for renewable shape memory applications. RSC Adv. 2017, 7, 31525–31534. [Google Scholar] [CrossRef]
- Huang, W.M.; Yang, B.; Zhao, Y.; Ding, Z. Thermo-moisture responsive polyurethane shape-memory polymer and composites: A review. J. Mater. Chem. 2010, 20, 3367–3381. [Google Scholar] [CrossRef]
- Zhong, Y.; Zhang, F.; Wang, M.; Gardner, C.J.; Kim, G.; Liu, Y.; Leng, J.; Jin, S.; Chen, R. Reversible Humidity Sensitive Clothing for Personal Thermoregulation. Sci. Rep. 2017, 7, 44208. [Google Scholar] [CrossRef] [PubMed]
- Fan, K.; Huang, W.M.; Wang, C.C.; Ding, Z.; Zhao, Y.; Purnawali, H.; Liew, K.C.; Zheng, L.X. Water-responsive shape memory hybrid: Design concept and demonstration. Express Polym. Lett. 2011, 5, 409–416. [Google Scholar] [CrossRef]
- Gupta, A.P.; Kumar, V. New emerging trends in synthetic biodegradable polymers—Polylactide: A critique. Eur. Polym. J. 2007, 43, 4053–4074. [Google Scholar] [CrossRef]
- Lendlein, A.; Behl, M.; Hiebel, B.; Wischke, C. Shape-Memory polymers as a technology platform for biomedical applications. Exp. Rev. Med. Dev. 2010, 7, 357–359. [Google Scholar] [CrossRef] [PubMed]
- Kratz, K.; Narendra Kumar, U.; Nöchel, U.; Lendlein, A. Thermal Properties and Crystallinity of Grafted Copolymer Networks containing a Crystallizable Poly(ε-caprolactone) Crosslinker in an aqueous environment. Mater. Res. Soc. 2012, 1403, 73–78. [Google Scholar] [CrossRef]
- Ghobadi, E.; Heuchel, M.; Kratz, K.; Lendlein, A. Influence of addition of water to amorphous switching domains on the simulated Shape-Memory properties of poly(l-lactide). Polymer 2013, 54, 4204–4211. [Google Scholar] [CrossRef]
- Ghobadi, E.; Heuchel, M.; Kratz, K.; Lendlein, A. Atomistic simulation of the Shape-Memory effect in dry and water swollen poly[rac-lactide)-co-glycolide] and copolyester urethanes thereof. Macromol. Chem. Phys. 2014, 215, 65–75. [Google Scholar] [CrossRef]
- Marquardt, A.; Mogharebi, S.; Neuking, K.; Varnik, F.; Eggeler, G. Diffusion of small molecules in a shape memory polymer. J. Mater. Sci. 2016, 51, 9792–9804. [Google Scholar] [CrossRef]
- Diani, J.; Frédy, C.; Gilormini, P.; Merckel, Y.; Régnier, G.; Rousseau, I. A torsion test for the study of the large deformation recovery of shape memory polymers. Polym. Test. 2011, 30, 335–341. [Google Scholar] [CrossRef]
- Morsy, R.; Elsayed, M.; Krause-Rehberg, R.; Dlubek, G.; Elnimr, T. Positron annihilation spectroscopic study of hydrothemally synthesized fine nanoporous hydroxyapatite agglomerates. J. Eur. Ceram. Soc. 2010, 30, 1897–1901. [Google Scholar] [CrossRef]
- Elsayed, M.; Arutyunov, N.Y.; Krause-Rehberg, R.; Emtsev, V.V.; Oganesyan, G.A.; Kozlovski, V.V. Monovacancy-As complexes in proton-irradiated Ge studied by positron lifetime spectroscopy. Acta Mater. 2015, 83, 473–478. [Google Scholar] [CrossRef]
- Elsayed, M.; Arutyunov, N.Y.; Krause-Rehberg, R.; Emtsev, V.V.; Oganesyan, G.A.; Kozlovski, V.V. Formation and annealing of vacancy-P complexes in proton-irradiated germanium. Acta Mater. 2015, 100, 1–10. [Google Scholar] [CrossRef]
- Elsayed, M.; Krause-Rehberg, R.; Moutanabbir, O.; Anwand, W.; Richter, S.; Hagendorf, C. Cu diffusion-induced vacancy-like defects in freestanding GaN. New J. Phys. 2017, 13, 013029. [Google Scholar] [CrossRef]
- Elsayed, M.; Krause-Rehberg, R.; Korff, B.; Richter, S.; Leipner, H.S. Identification of As-vacancy complexes in Zn-diffused GaAs. J. Appl. Phys. 2013, 113, 094902. [Google Scholar] [CrossRef]
- Elsayed, M.; Krause-Rehberg, R. As-vacancy complex in Zn-diffused GaAs: Positron lifetime spectroscopy study. Scr. Mater. 2017, 131, 72–75. [Google Scholar] [CrossRef]
- Kansy, J. Microcomputer program for analysis of positron annihilation lifetime spectra. Nucl. Instrum. Methods Phys. Res. 1996, 374, 235–244. [Google Scholar] [CrossRef]
- Kipnusu, W.K.; Elsayed, M.; Kossack, W.; Pawlus, S.; Adrjanowicz, K.; Tress, M.; Mapesa, E.U.; Krause-Rehberg, R.; Kaminski, K.; Kremer, F. Confinement for More Space: A Larger free volume and Enhanced Glassy Dynamics of 2-Ethyl-1-hexanol in Nanopores. J. Phys. Chem. Lett. 2015, 6, 3708–3712. [Google Scholar] [CrossRef] [PubMed]
- Kipnusu, W.K.; Elsayed, M.; Krause-Rehberg, R.; Kremer, F. Glassy dynamics of polymethylphenylsiloxane in one- and two-dimensional nanometric confinement-A comparison. J. Chem. Phys. 2017, 146, 203302. [Google Scholar] [CrossRef] [PubMed]
- Eldrup, M.; Lightbody, D.; Sherwood, J. The temperature dependence of positron lifetimes in solid pivalic acid. Chem. Phys. 1981, 63, 51–58. [Google Scholar] [CrossRef]
- Liu, Y.; Gall, K.; Dunn, M.L.; Greenberg, A.R.; Diani, J. Thermomechanics of shape memory polymers: Uniaxial experiments and constitutive modeling. Int. J. Plast. 2006, 22, 279–313. [Google Scholar] [CrossRef]
- Wang, Z.D.; Li, D.F. Thermomechanical constitution of shape memory polymers. Int. Conf. Comput. Exp. Eng. Sci. 2008, 5, 245–253. [Google Scholar]
- Bianchi, O.; Oliveira, R.V.B.; Fiorio, R.; Martins, J.D.N.; Zattera, A.J.; Canto, L.B. Assessment of Avrami, Ozawa and Avrami-Ozawa equations for determination of EVA crosslinking kinetics from DSC measurements. Polym. Test. 2008, 27, 722–729. [Google Scholar] [CrossRef]
- Kazakeviciute-Makovska, R.; Steeb, H.; Aydin, A.Ö. On the evolution law for the frozen fraction in linear theories of shape memory polymers. Arch. Appl. Mech. 2012, 82, 1103–1115. [Google Scholar] [CrossRef]
- Chan, T.C.; Li, H.T.; Li, K.Y. Effects of Shapes of Solute Molecules on Diffusion: A Study of Dependences on Solute Size, Solvent, and Temperature. J. Phys. Chem. B 2015, 119, 15718–15728. [Google Scholar] [CrossRef] [PubMed]
- Schmelzer, J.W.P.; Tropin, T.V. Dependence of the width of the glass transition interval on cooling and heating rates. J. Chem. Phys. 2013, 138, 034507. [Google Scholar] [CrossRef] [PubMed]
- Pikal, M.J.; Chang, L.; Tang, X. Evaluation of Glassy-State Dynamics from the Width of the Glass Transition: Results from Theoretical Simulation of Differential Scanning Calorimetry and Comparisons with Experiment. J. Pharm. Sci. 2004, 93, 981–994. [Google Scholar] [CrossRef] [PubMed]
- Mogharebi, S.; Kazakeviciute-Makovska, R.; Steeb, H.; Eggeler, G.; Neuking, K. On the cyclic material stability of shape memory polymer. Materialwissenschaft und Werkstofftechnik 2013, 44, 521–526. [Google Scholar] [CrossRef]
- Ghobadi, E.; Sivanesapillai, R.; Musialak, J.; Steeb, H. Modeling Based Characterization of Thermorheological Properties of Polyurethane ESTANE™. Int. J. Polym. Sci. 2016, 2016, 7514974. [Google Scholar] [CrossRef]
- Mahmoudinezhad, E.; Marquardt, A.; Eggeler, G.; Varnik, F. Molecular dynamics simulations of entangled polymers: The effect of small molecules on the glass transition temperature. Procedia Comput. Sci. 2017, 108, 265–271. [Google Scholar] [CrossRef]
- Dlubek, G.; Redmann, F.; Krause-Rehberg, R. Humidity-induced plasticization and antiplasticization of polyamide 6: A positron lifetime study of the local free volume. J. Appl. Polym. Sci. 2002, 84, 244–255. [Google Scholar] [CrossRef]
- Schmidt, C.; Chowdhury, A.M.S.; Neuking, K.; Eggeler, G. Studies on the cycling, processing and programming of an industrially applicable shape memory polymer Tecoflex. High Perform. Polym. 2011, 23, 300–307. [Google Scholar] [CrossRef]
- Schmidt, C.; Neuking, K.; Eggeler, G. Functional Fatigue of Shape Memory Polymers. Adv. Eng. Mater. 2008, 10, 922–927. [Google Scholar] [CrossRef]
- Chowdhury, A.M.S.; Schmidt, C.; Neuking, K.; Eggeler, G. Comparative studies on the accumulation of strain and recovery ratio of Veriflex, a shape-memory polymer for a high strain (εm = 210%): Atomic force microscopic experiments. High Perform. Polym. 2014, 26, 20–26. [Google Scholar] [CrossRef]
- Ghobadi, E.; Heuchel, M.; Kratz, K.; Lendlein, A. Simulating the Shape-Memory behavior of amorphous switching domains of poly(l-lactide) by molecular dynamics. Macromol. Chem. Phys. 2013, 214, 1273–1283. [Google Scholar] [CrossRef]
- Tcharkhtchi, A.; Abdallah-Elhirtsi, S.; Ebrahimi, K.; Fitoussi, J.; Shirinbayan, M.; Farzaneh, S. Some New Concepts of Shape Memory Effect of Polymers. Polymers 2014, 6, 1144–1163. [Google Scholar] [CrossRef]
- Kong, D.; Xiao, X. High Cycle-life Shape Memory Polymer at High Temperature. Nature 2016, 6, 33610. [Google Scholar] [CrossRef] [PubMed]
















| Sample | Shape fixity [%] | Shape recovery [%] |
|---|---|---|
| Dry Estane | 98 ± 0 | 93 ± 6 |
| Aged Estane 3 wt % H2O | 90 ± 0 | 97 ± 1 |
| Sample | φu [degree] | φp [degree] | a [-] | c1 [-] | c2 [-] | b1 [-] | b2 [-] |
|---|---|---|---|---|---|---|---|
| Dry Estane | 5.1 | 324 | 0.0 | - | 14.28 | - | 0.89 |
| Aged Estane 3 wt % H2O | 34.2 | 342 | 0.03 | 0.37 | 0.23 | 27.41 | 50.47 |
© 2018 by the authors. Licensee MDPI, Basel, Switzerland. This article is an open access article distributed under the terms and conditions of the Creative Commons Attribution (CC BY) license (http://creativecommons.org/licenses/by/4.0/).
Share and Cite
Ghobadi, E.; Elsayed, M.; Krause-Rehberg, R.; Steeb, H. Demonstrating the Influence of Physical Aging on the Functional Properties of Shape-Memory Polymers. Polymers 2018, 10, 107. https://doi.org/10.3390/polym10020107
Ghobadi E, Elsayed M, Krause-Rehberg R, Steeb H. Demonstrating the Influence of Physical Aging on the Functional Properties of Shape-Memory Polymers. Polymers. 2018; 10(2):107. https://doi.org/10.3390/polym10020107
Chicago/Turabian StyleGhobadi, Ehsan, Mohamed Elsayed, Reinhard Krause-Rehberg, and Holger Steeb. 2018. "Demonstrating the Influence of Physical Aging on the Functional Properties of Shape-Memory Polymers" Polymers 10, no. 2: 107. https://doi.org/10.3390/polym10020107
APA StyleGhobadi, E., Elsayed, M., Krause-Rehberg, R., & Steeb, H. (2018). Demonstrating the Influence of Physical Aging on the Functional Properties of Shape-Memory Polymers. Polymers, 10(2), 107. https://doi.org/10.3390/polym10020107

