Temperature Dependence of the Pore Structure in Polyvinylidene Fluoride (PVDF)/Graphene Composite Membrane Probed by Electrochemical Impedance Spectroscopy
Abstract
1. Introduction
2. Materials and Methods
2.1. Materials
2.2. Preparation of PVDF/graphene Membranes
2.3. Characterizations
3. Results and Discussion
3.1. Membrane Morphology
3.2. Surface Hydrophobicity of the Membrane
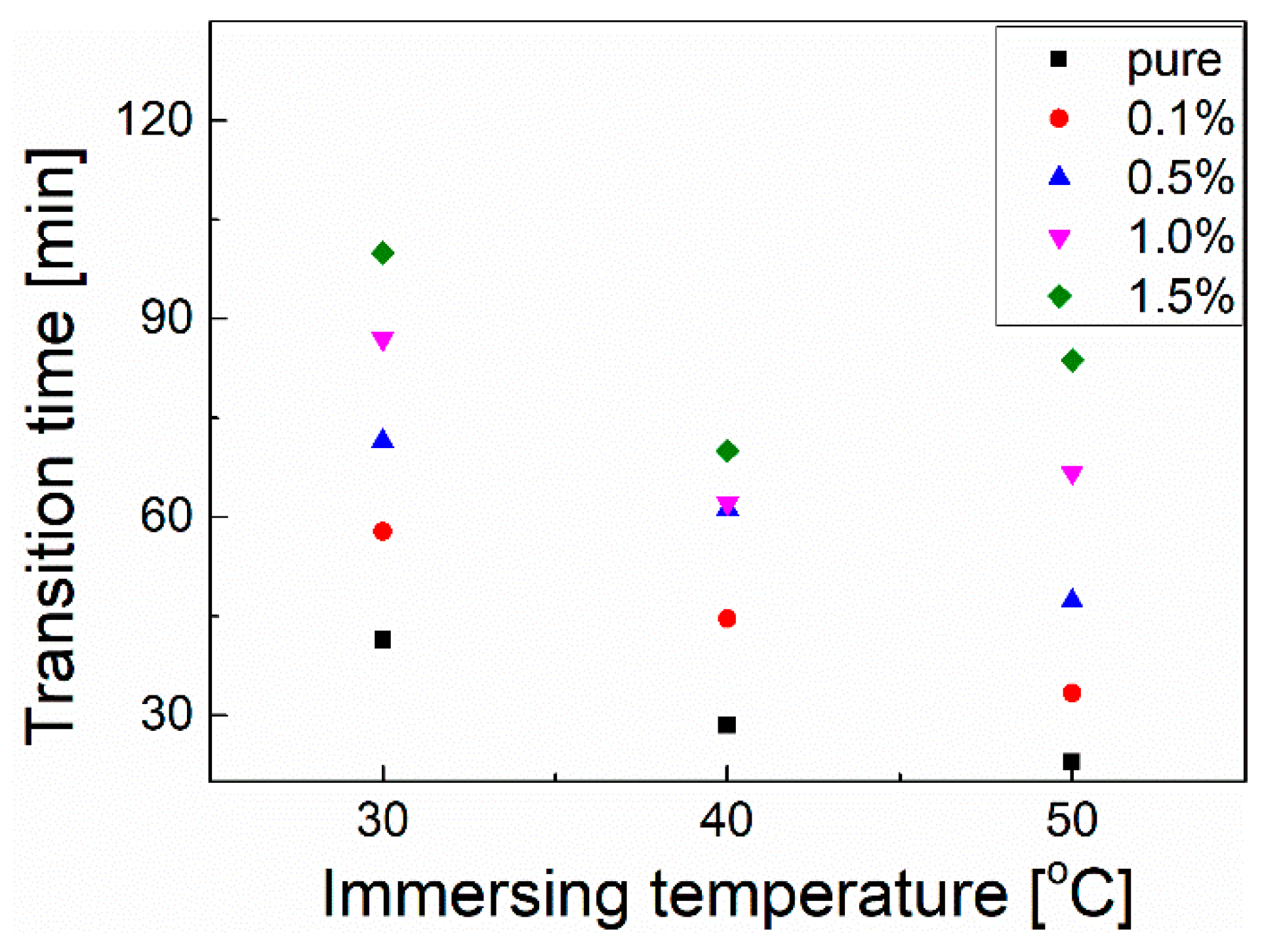
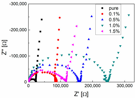
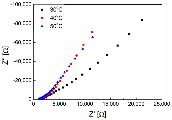
3.3. The Temperature Dependence of the Pore Structure
4. Conclusions
Supplementary Materials
Author Contributions
Funding
Conflicts of Interest
References
- Chu, S.; Majumdar, A. Opportunities and challenges for a sustainable energy future. Nature 2012, 488, 294–303. [Google Scholar] [CrossRef] [PubMed]
- Straub, A.P.; Yip, N.Y.; Lin, S.H.; Lee, J.; Elimelech, M. Harvesting low-grade heat energy using thermo-osmotic vapour transport through nanoporous membranes. Nat. Energy 2016, 1, 16090. [Google Scholar] [CrossRef]
- Rahimi, M.; Straub, A.P.; Zhang, F.; Zhu, X.; Elimelech, M.; Gorski, C.A.; Logan, B.E. Emerging electrochemical and membrane-based systems to convert low-grade heat to electricity. Energy Environ. Sci. 2018, 11, 276–285. [Google Scholar] [CrossRef]
- Phillip, W.A. Thermal-energy conversion: under pressure. Nat. Energy 2016, 1, 16101. [Google Scholar] [CrossRef]
- Kang, G.D.; Cao, Y.M. Application and modification of poly(vinylidene fluoride) (PVDF) membranes—A review. J. Membr. Sci. 2014, 463, 145–165. [Google Scholar] [CrossRef]
- Wu, X.N.; Zhao, B.; Wang, L.; Zhang, Z.H.; Zhang, H.W.; Zhao, X.H.; Guo, X.F. Hydrophobic PVDF/graphene hybrid membrane for CO2 absorption in membrane contactor. J. Membr. Sci. 2016, 520, 120–129. [Google Scholar] [CrossRef]
- Zhang, H.; Luo, X.G.; Tang, H.; Zheng, H.M.; Huang, F.H. A novel candidate for wound dressing: transparent porous maghemite/cellulose nanocomposite membranes with controlled release of doxorubicin from a simple approach. Mater. Sci. Eng. C 2017, 79, 84–92. [Google Scholar] [CrossRef] [PubMed]
- Li, Y.; Wee, L.H.; Martens, J.A.; Vankelecom, I.F.J. Interfacial synthesis of ZIF-8 membranes with improved nanofiltration performance. J. Membr. Sci. 2017, 523, 561–566. [Google Scholar] [CrossRef]
- Cai, N.; Li, C.; Luo, X.G.; Xue, Y.N.; Shen, L.; Yu, F.Q. A strategy for improving mechanical properties of composite nanofibers through surface functionalization of fillers with hyperbranched polyglycerol. J. Mater. Sci. 2016, 51, 797–808. [Google Scholar] [CrossRef]
- Akbari, M.; Shariaty-Niassar, M.; Matsuura, T.; Ismail, A.F. Janus graphene oxide nanosheet: a promising additive for enhancement of polymeric membranes performance prepared via phase inversion. J. Colloid Interface Sci. 2018, 527, 10–24. [Google Scholar] [CrossRef] [PubMed]
- Munirasu, S.; Banat, F.; Durrani, A.A.; AbuHaija, M. Intrinsically superhydrophobic PVDF membrane by phase inversion for membrane distillation. Desalination 2017, 417, 77–86. [Google Scholar] [CrossRef]
- Liao, Y.; Wang, R.; Tian, M.; Qiu, C.Q.; Fane, A.G. Fabrication of polyvinylidene fluoride (PVDF) nanofiber membranes by electro-spinning for direct contact membrane distillation. J. Membr. Sci. 2013, 425, 30–39. [Google Scholar] [CrossRef]
- Nakao, S. Determination of pore-size and pore-sizedistribution. 39 filtration membranes. J. Membr. Sci. 1994, 96, 131–165. [Google Scholar] [CrossRef]
- Yang, H.; Pi, P.H.; Yang, Z.R.; Lu, Z.; Chen, R. Design of a superhydrophobic and superoleophilic film using cured fluoropolymer@silica hybrid. Appl. Surf. Sci. 2016, 388, 268–273. [Google Scholar] [CrossRef]
- Yin, C.S.; Li, J.J.; Zhou, Y.W.; Zhan, H.N.; Fang, P.F.; He, C.Q. Enhancement in proton conductivity and thermal stability in nafion membranes induced by incorporation of sulfonated carbon nanotubes. ACS Appl. Mater. Interfaces 2018, 10, 14026–14035. [Google Scholar] [CrossRef] [PubMed]
- Fan, J.J.; Zhou, W.; Wang, Q.; Chu, Z.J.; Yang, L.Q.; Yang, L.; Sun, J.; Zhao, L.; Xu, J.M.; Liang, Y.J.; et al. Structure dependence of water vapor permeation in polymer nanocomposite membranes investigated by positron annihilation lifetime spectroscopy. J. Membr. Sci. 2018, 549, 581–587. [Google Scholar] [CrossRef]
- Chen, X.X.; Zhou, W.Q.; Chen, Z.; Yao, L. Study of the photocatalytic property of polysulfone membrane incorporating TiO2 nanoparticles. J. Mol. Eng. Mater. 2017, 5, 1750005. [Google Scholar] [CrossRef]
- Zhang, Y.J.; Chen, Z.; Yao, L.; Wang, X.; Fu, P.; Lin, Z.D. The graphene oxide membrane immersing in the aqueous solution studied by electrochemical impedance spectroscopy. Mater. Res. Express 2018, 5, 045606. [Google Scholar] [CrossRef]
- Huang, Q.; Luo, Q.; Chen, Z.; Yao, L.; Fu, P.; Lin, Z.D. The effect of electrolyte concentration on electrochemical impedance for evaluating polysulfone membranes. Environ. Sci. Water Res. Technol. 2018, 4, 1145–1151. [Google Scholar] [CrossRef]
- Svajdlenkova, H.; Sausa, O.; Matko, I.; Koch, T.; Gorsche, C. Investigating the free-volume characteristics of regulated dimethacrylate networks below and above glass transition temperature. Macromol. Chem. Phys. 2018, 219, 1800119. [Google Scholar] [CrossRef]
- Chen, Z.; Yin, C.; Wang, S.; Fu, Q.M.; Deng, Q.R.; Lin, Z.D.; Fu, P.; Zhang, Y.; Wu, J.Y.; Fang, P.F. The rheological behavior of ethylene vinyl acetate copolymer/rectorite nanocomposites during the melt extrusion process. Polym. Adv. Technol. 2016, 27, 1446–1450. [Google Scholar] [CrossRef]
- Liu, Y.W.; Liu, J.J.; Ding, Q.; Tan, J.H.; Chen, Z.Q.; Chen, J.Y.; Zuo, X.R.; Tang, A.; Zeng, K.J. Polyimide/graphene nanocomposites with improved gas barrier and thermal properties due to a “dual-plane” structure effect. Macromol. Mater. Eng. 2018, 303, 1800053. [Google Scholar] [CrossRef]
- Paran, S.M.R.; Naderi, G.; Ghorelshy, M.H.R.; Heydari, A. Enhancement of mechanical, thermal and morphological properties of compatibilized graphene reinforced dynamically vulcanized thermoplastic elastomer vulcanizates based on polyethylene and reclaimed rubber. Compos. Sci. Technol. 2018, 161, 57–65. [Google Scholar] [CrossRef]
- Zhao, W.; Liu, H.Y.; Meng, N.; Jian, M.P.; Wang, H.T.; Zhang, X.W. Graphene oxide incorporated thin film nanocomposite membrane at low concentration monomers. J. Membr. Sci. 2018, 565, 380–389. [Google Scholar] [CrossRef]
- Song, N.; Gao, X.L.; Ma, Z.; Wang, X.J.; Wei, Y.; Gao, C.J. A review of graphene-based separation membrane: materials, characteristics, preparation and applications. Desalination 2018, 437, 59–72. [Google Scholar] [CrossRef]
- Su, C.P.; Yang, H.; Zhao, H.P.; Liu, Y.L.; Chen, R. Recyclable and biodegradable superhydrophobic and superoleophilic chitosan sponge for the effective removal of oily pollutants from water. Chem. Eng. J. 2018, 330, 423–432. [Google Scholar] [CrossRef]
- Dutta, D.; Ganda, A.N.F.; Chih, J.K.; Huang, C.C.; Tseng, C.J.; Su, C.Y. Revisiting graphene-polymer nanocomposite for enhancing anticorrosion performance: a new insight into interface chemistry and diffusion model. Nanoscale 2018, 10, 12612–12624. [Google Scholar] [CrossRef] [PubMed]
- Luo, Q.Z.; Huang, Q.; Chen, Z.; Yao, L.; Fu, P.; Lin, Z.D. Polyvinylidenefloride membranes probed by electrochemical impedance spectroscopy. Mater. Res. Express 2018, 5, 065507. [Google Scholar] [CrossRef]
- Zhou, W.Q.; Chen, Z.; Fu, Q.M.; Zhang, Y.; Yao, L.; Zhang, H.J. Evaluating the pore structures of polysulfone membranes by positron 3γ-annihilation probability and electrochemical impedance spectroscopy. JOM 2018, 70, 1920–1923. [Google Scholar] [CrossRef]
- Moya, A.A. Electrochemical impedance of ion-exchange membranes with interfacial charge transfer resistances. J. Phys. Chem. C 2016, 120, 6543–6552. [Google Scholar] [CrossRef]
- Zhang, W.J.; Ma, J.; Wang, P.P.; Wang, Z.H.; Shi, F.M.; Liu, H.L. Investigations on the interfacial capacitance and the diffusion boundary layer thickness of ion exchange membrane using electrochemical impedance spectroscopy. J. Membr. Sci. 2016, 501, 37–47. [Google Scholar] [CrossRef]
- Yin, C.; Wang, S.; Zhang, Y.J.; Chen, Z.; Lin, Z.D.; Fu, P.; Yao, L. Correlation between the pore resistance and water flux of the cellulose acetate membrane. Environ. Sci.: Water Res. Technol. 2017, 3, 1037–1041. [Google Scholar] [CrossRef]
- Lin, C.M.; He, G.S.; Liu, J.H.; Huang, Z.; Pan, L.P.; Zhang, L.H.; Liu, S.J. Enhanced non-linear viscoelastic properties of TATA-based polymer bonded explosives filled with hybrid graphene/multiwalled carbon nanotubes. RSC Adv. 2015, 5, 94759–94767. [Google Scholar] [CrossRef]
- Yang, K.; Huang, X.Y.; Fang, L.J.; He, J.L.; Jiang, P.K. Fluoro-polymer functionalized graphene for flexible ferroelectric polymer-based high-k nanocomposites with suppressed dielectric loss and low percolation threshold. Nanoscale 2014, 6, 14740–14753. [Google Scholar] [CrossRef] [PubMed]
- Das, S.K.; Putra, N.; Thiesen, P.; Roetzel, W. Temperature dependence of thermal conductivity enhancement for nanofluids. J. Heat Transf.-Trans. ASME 2003, 125, 567–574. [Google Scholar] [CrossRef]
- Balandin, A.A. Thermal properties of graphene and nanostructured carbon materials. Nat. Mater. 2011, 10, 569–581. [Google Scholar] [CrossRef] [PubMed]
- Guo, H.; Li, X.; Li, B.; Wang, J.X.; Wang, S.C. Thermal conductivity of graphene/poly (vinylidene fluoride) nanocomposite membrane. Mater. Des. 2017, 114, 355–363. [Google Scholar] [CrossRef]









| Temperature (K) | Rs [Ω] | 
|---|---|
| 303 | 1480 | 
| 313 | 1140 | 
| 323 | 990 | 
| Membrane | Rm [Ω] | 
|---|---|
| Pure PVDF | 22,796 | 
| PVDF/0.1% graphene | 82,259 | 
| PVDF/0.5% graphene | 205,290 | 
| PVDF/1.0% graphene | 245,000 | 
| PVDF/1.5% graphene | 128,540 | 
© 2018 by the authors. Licensee MDPI, Basel, Switzerland. This article is an open access article distributed under the terms and conditions of the Creative Commons Attribution (CC BY) license (http://creativecommons.org/licenses/by/4.0/).
Share and Cite
Luo, Q.; Huang, Q.; Chen, Z.; Yao, L.; Fu, Q.; Fu, P.; Lin, Z. Temperature Dependence of the Pore Structure in Polyvinylidene Fluoride (PVDF)/Graphene Composite Membrane Probed by Electrochemical Impedance Spectroscopy. Polymers 2018, 10, 1123. https://doi.org/10.3390/polym10101123
Luo Q, Huang Q, Chen Z, Yao L, Fu Q, Fu P, Lin Z. Temperature Dependence of the Pore Structure in Polyvinylidene Fluoride (PVDF)/Graphene Composite Membrane Probed by Electrochemical Impedance Spectroscopy. Polymers. 2018; 10(10):1123. https://doi.org/10.3390/polym10101123
Chicago/Turabian StyleLuo, Qizhao, Qing Huang, Zhe Chen, Lei Yao, Qiuming Fu, Ping Fu, and Zhidong Lin. 2018. "Temperature Dependence of the Pore Structure in Polyvinylidene Fluoride (PVDF)/Graphene Composite Membrane Probed by Electrochemical Impedance Spectroscopy" Polymers 10, no. 10: 1123. https://doi.org/10.3390/polym10101123
APA StyleLuo, Q., Huang, Q., Chen, Z., Yao, L., Fu, Q., Fu, P., & Lin, Z. (2018). Temperature Dependence of the Pore Structure in Polyvinylidene Fluoride (PVDF)/Graphene Composite Membrane Probed by Electrochemical Impedance Spectroscopy. Polymers, 10(10), 1123. https://doi.org/10.3390/polym10101123
 
        

 
                         
       