Study of Liquid Crystals Showing Two Isotropic Phases by 1H NMR Diffusometry and 1H NMR Relaxometry
Abstract
1. Introduction
2. Materials and Methods
2.1. Liquid Crystalline Samples
2.2. 1H NMR Diffusometry
2.3. 1H NMR Relaxometry
3. Results and Discussion
3.1. 1H NMR Diffusometry
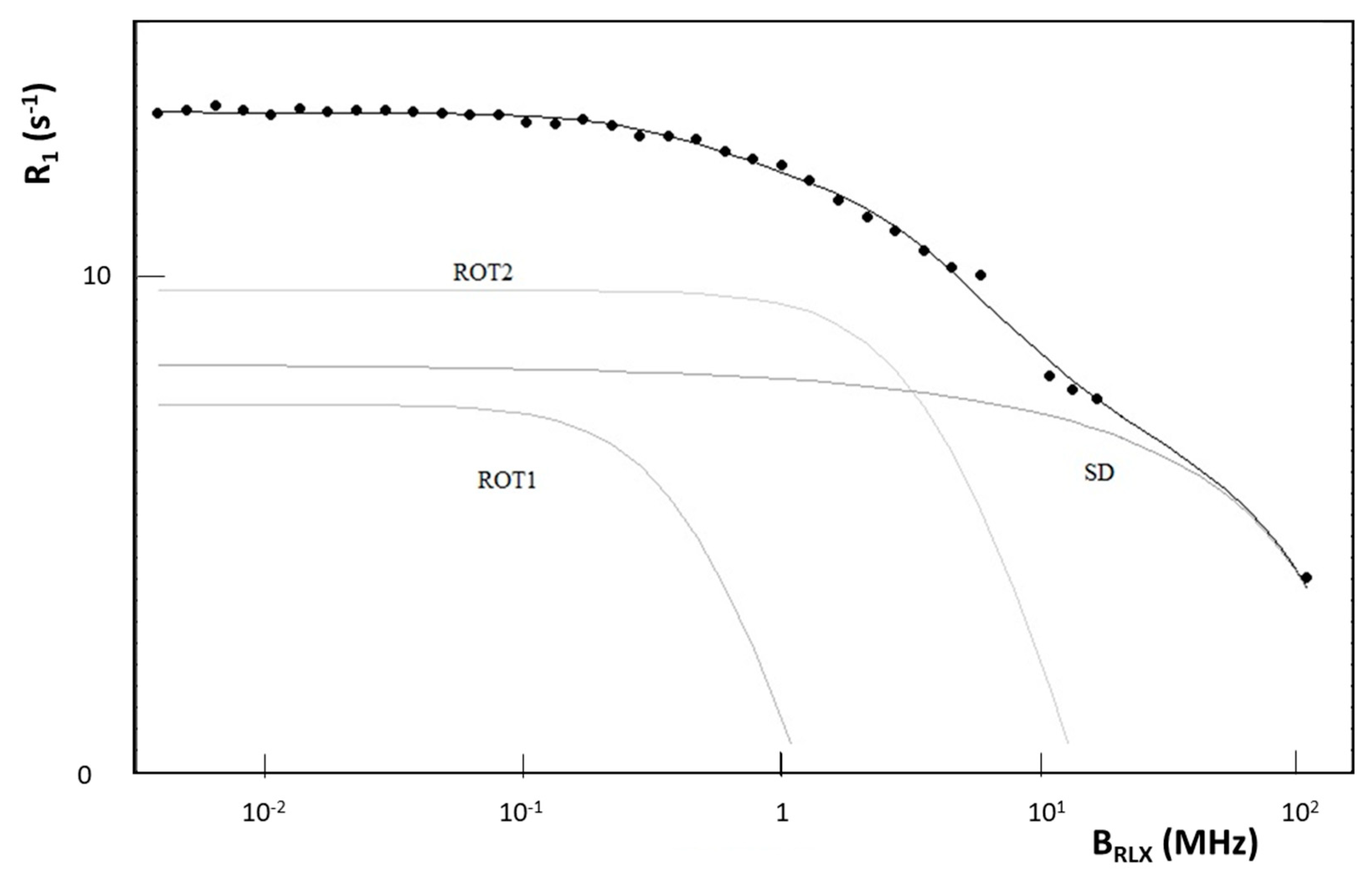
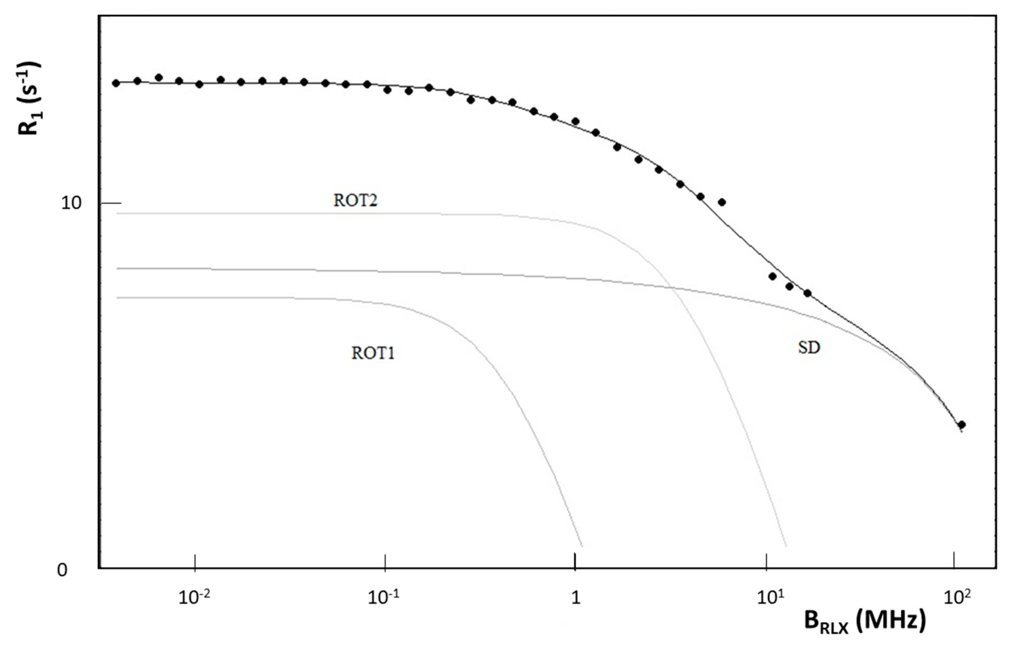
3.2. 1H NMR Relaxometry
4. Conclusions
Supplementary Materials
Author Contributions
Funding
Conflicts of Interest
References
- Tschierske, C. Liquid crystalline materials with complex mesophase morphologies. Curr. Opin. Colloid Interface Sci. 2002, 7, 69–80. [Google Scholar] [CrossRef]
- Tschierske, C. Development of Structural Complexity by Liquid-Crystal Self-assembly. Angew. Chem. Int. Ed. 2013, 52, 8828–8878. [Google Scholar] [CrossRef] [PubMed]
- Diele, S. On thermotropic cubic mesophases. Curr. Opin. Colloid Interface Sci. 2002, 7, 333–342. [Google Scholar] [CrossRef]
- Zeng, X.; Ungar, G.; Imperor-Clerc, M. A triple-network tricontinuous cubic liquid crystal. Nat. Mater. 2005, 4, 562–567. [Google Scholar] [CrossRef]
- Zeng, X.; Cseh, L.; Mehl, G.H.; Ungar, G. Testing the triple network structure of the cubic Imm (I) phase by isomorphous replacement and model refinement. J. Mater. Chem. 2008, 18, 2953–2961. [Google Scholar] [CrossRef]
- Ozawa, K.; Yamamura, Y.; Yasuzuka, S.; Mori, H.; Kutsumizu, S.; Saito, K. Coexistence of Two Aggregation Modes in Exotic Liquid-Crystalline Superstructure: Systematic Maximum Entropy Analysis for Cubic Mesogen, 1,2-Bis(4′-n-alkoxybenzoyl)hydrazine [BABH(n)]. J. Phys. Chem. B 2008, 112, 12179–12181. [Google Scholar] [CrossRef]
- Zeng, X.; Prehm, M.; Ungar, G.; Tschierske, C.; Liu, F. Formation of a Double Diamond Cubic Phase by Thermotropic Liquid Crystalline Self-Assembly of Bundled Bolaamphiphiles. Angew. Chem. Int. Ed. 2016, 55, 8324–8327. [Google Scholar] [CrossRef]
- Vogrin, M.; Vaupotic, N.; Wojcik, M.M.; Mieczkowski, J.; Madrak, K.; Pociecha, D.; Gorecka, E. Thermotropic cubic and tetragonal phases made of rod-like molecules. Phys. Chem. Chem. Phys. 2014, 16, 16067–16074. [Google Scholar] [CrossRef]
- Luzzati, V.; Spegt, P.A. Polymorphism of lipids. Nature 1967, 215, 701–704. [Google Scholar] [CrossRef]
- Baalbaki, N.H.; Kasting, G.B. A pseudo-quantitative ternary surfactant ion mixing plane phase diagram for a cationic hydroxyethyl cellulose with dodecyl sulfate counterion complex salt. Colloids Surf. A Physicochem. Eng. Asp. 2017, 522, 361–367. [Google Scholar] [CrossRef]
- Serrano, L.A.; Fornerod, M.J.; Yang, Y.; Gaisford, S.; Stellacci, F.; Guldin, S. Phase behaviour and applications of a binary liquid mixture of methanol and a thermotropic liquid crystal. Soft Matter 2018, 14, 4615–4620. [Google Scholar] [CrossRef]
- Matraszek, J.; Zapala, J.; Mieczkowski, J.; Pociecha, D.; Gorecka, E. 1D, 2D and 3D liquid crystalline phases formed by bent-core mesogens. Chem. Commun. 2015, 51, 5048–5051. [Google Scholar] [CrossRef]
- Jasinski, M.; Pociecha, D.; Monobe, H.; Szczytko, J.; Kaszynski, P. Tetragonal Phase of 6 Oxoverdazyl Bent-Core Derivatives with Photoinduced Ambipolar Charge Transport and Electro-optical Effects. J. Am. Chem. Soc. 2014, 136, 14658–14661. [Google Scholar] [CrossRef]
- Wolska, J.M.; Pociecha, D.; Mieczkowski, J.; Gorecka, E. Double gyroid structures made of asymmetric dimers. Liq. Cryst. 2016, 43, 235–240. [Google Scholar] [CrossRef]
- Archbold, C.T.; Davis, E.J.; Mandle, R.J.; Cowling, S.J.; Goodby, J.W. Chiral dopants and the twist-bend nematic phase--induction of novel mesomorphic behaviour in an apolar bimesogen. Soft Matter 2015, 11, 7547–7557. [Google Scholar] [CrossRef] [PubMed]
- Demurtas, D.; Guichard, P.; Martiel, I.; Mezzenga, R.; Hebert, C.; Sagalowicz, L. Direct visualization of dispersed lipid bicontinuous cubic phases by cryo-electron tomography. Nat. Commun. 2015, 6, 8915. [Google Scholar] [CrossRef] [PubMed]
- Park, C.; La, Y.; An, T.H.; Jeong, H.Y.; Kang, S.; Joo, S.H.; Ahn, H.; Shin, T.J.; Kim, K.T. Mesoporous monoliths of inverse bicontinuous cubic phases of block copolymer bilayers. Nat. Commun. 2015, 6, 6392. [Google Scholar] [CrossRef]
- Kutsumizu, S. Recent progress in the synthesis and structural clarification of thermotropic cubic phases. Isr. J. Chem. 2012, 52, 844–853. [Google Scholar] [CrossRef]
- Mori, A.; Yamamoto, E.; Kubo, K.; Ujiie, S.; Baumeister, U.; Tschierske, C. Bicontinuous cubic phase with the Pn3m space group formed by N,N,N-tris(5-alkoxytroponyl)-1,5,9-triazacyclododecanes. Liq. Cryst. 2010, 37, 1059–1065. [Google Scholar] [CrossRef]
- Liu, F.; Prehm, M.; Zeng, X.; Tschierske, C.; Ungar, G. Skeletal Cubic, Lamellar, and Ribbon Phases of Bundled Thermotropic Bolapolyphiles. J. Am. Chem. Soc. 2014, 136, 6846–6849. [Google Scholar] [CrossRef] [PubMed]
- Kitzerow, H.S. Blue phases at work! ChemPhysChem 2006, 7, 63–66. [Google Scholar] [CrossRef]
- Kikuchi, H. Liquid crystalline blue phases. In Liquid Crystalline Functional Assemblies and their Supramolecular Structures, 1st ed.; Kato, T., Ed.; Springer: Berlin, Germany, 2008; pp. 99–117. ISBN 978-3-540-77866-0. [Google Scholar]
- He, W.L.; Wang, L.; Wang, L.; Cui, X.P.; Xie, M.W.; Yang, H. Wide Temperature Range Blue Phase Liquid Crystalline Materials. Prog. Chem. 2012, 24, 182–192. [Google Scholar]
- Yamamoto, J.; Nishiyama, I.; Inoue, M.; Yokoyama, H. Optical isotropy and iridescence in a smectic ‘blue phase’. Nature 2015, 437, 525–528. [Google Scholar] [CrossRef]
- Oton, E.; Netter, E.; Nakano, T.; Katayama, Y.D.; Inoue, F. Monodomain Blue Phase Liquid Crystal Layers for Phase Modulation. Sci. Rep. 2017, 7, 44575. [Google Scholar] [CrossRef]
- Yamamoto, T.; Nishiyama, I.; Yoneya, M.; Yokoyama, H. Novel Chiral Effect That Produces the Anisotropy in 3D Structured Soft Material: Chirality-Driven Cubic−Tetragonal Liquid Crystal Phase Transition. J. Phys. Chem. B 2009, 113, 11564–11567. [Google Scholar] [CrossRef] [PubMed]
- Nishiyama, I.; Yamamoto, J.; Goodby, J.W.; Yokoyama, H. A symmetric chiral liquid-crystalline twin exhibiting stable ferrielectric and antiferroelectric phases and a chirality-induced isotropic-isotropic liquid transition. J. Mater. Chem. 2001, 11, 2690. [Google Scholar] [CrossRef]
- Nishiyama, I.; Yamamoto, J.; Goodby, J.W.; Yokoyama, H. Ferrielectric and antiferroelectric chiral twin liquid crystals showing a stable chiral nematic phase. Liq. Cryst. 2002, 29, 1409. [Google Scholar] [CrossRef]
- Cifelli, M.; Domenici, V.; Gorecka, E.; Wojcik, M.; Dvinskikh, S.V. NMR investigation of a thermotropic liquid crystal showing isotropic-isotropic’-(columnar)-cubic phase transitions. Mol. Cryst. Liq. Cryst. 2017, 649, 20–30. [Google Scholar] [CrossRef]
- Dong, R.Y. Nuclear Magnetic Resonance of Liquid Crystals, 2nd ed.; Springer: New York, NY, USA, 1997; ISBN 978-1-4612-7354-7. [Google Scholar]
- Domenici, V. The role of NMR in the study of partially ordered materials: Perspectives and challenges. Pure Appl. Chem. 2011, 83, 67. [Google Scholar] [CrossRef]
- Domenici, V. Nuclear magnetic resonance: A powerful tool to study liquid crystals. Liq. Cryst. Today 2017, 46, 2–10. [Google Scholar] [CrossRef]
- Dong, R.Y. Recent NMR Studies of Thermotropic Liquid Crystals. In Annual Reports on NMR Spectroscopy; Webb, G.A., Ed.; Elsevier Academic Press Inc.: San Diego, CA, USA, 2016; pp. 41–174. ISBN 978-0-12-804711-8. [Google Scholar]
- Cifelli, M.; Domenici, V.; Veracini, C.A. Recent advancements in understanding thermotropic liquid crystal structure and dynamics by means of NMR spectroscopy. Curr. Opin. Colloid Interface Sci. 2013, 18, 190–200. [Google Scholar] [CrossRef]
- Cifelli, M.; Domenici, V.; Marini, A.; Veracini, C.A. NMR studies of the ferroelectric SmC* phase. Liq. Cryst. 2010, 37, 935. [Google Scholar] [CrossRef]
- Marini, A.; Domenici, V. H-2, C-13 NMR and Ab Initio Calculations Applied to the SmC* Phase: Methodology and Case Studies. Ferroelectrics 2010, 395, 46. [Google Scholar] [CrossRef]
- Domenici, V.; Marini, A.; Veracini, C.A.; Zhang, J.; Dong, R.Y. Effect of the magnetic field on the supramolecular structure of chiral smectic C phases: H-2 NMR studies. ChemPhysChem 2007, 8, 2575. [Google Scholar] [CrossRef]
- Domenici, V.; Lelli, M.; Cifelli, M.; Hamplova, V.; Marchetti, A.; Veracini, C.A. Conformational Properties and Orientational Order of a de Vries Liquid Crystal Investigated through NMR Spectroscopy. ChemPhysChem 2014, 15, 1485. [Google Scholar] [CrossRef]
- Domenici, V.; Veracini, C.A.; Novotna, V.; Dong, R.Y. Twist grain boundary liquid-crystalline phases under the effect of the magnetic field: A complete H-2 and C-13 NMR study. ChemPhysChem 2008, 9, 556. [Google Scholar] [CrossRef]
- Domenici, V. Dynamics in the isotropic and nematic phases of bent-core liquid crystals: NMR perspectives. Soft Matter 2011, 7, 1589. [Google Scholar] [CrossRef]
- Domenici, V.; Geppi, M.; Veracini, C.A.; Blinc, R.; Lebar, A.; Zalar, B. Unusual Dynamic Behavior in the Isotropic Phase of Banana Mesogens Detected by 2H NMR Line Width and T2 Measurements. J. Phys. Chem. B. 2005, 109, 769. [Google Scholar] [CrossRef] [PubMed]
- Cifelli, M.; Domenici, V. NMR investigation of the dynamics of banana shaped molecules in the isotropic phase: A comparison with calamitic mesogens behaviour. Phys. Chem. Chem. Phys. 2007, 9, 1202. [Google Scholar] [CrossRef] [PubMed]
- Furo, I.; Dvinskikh, S.V. NMR methods applied to anisotropic diffusion. Magn. Reson. Chem. 2002, 40, S3–S14. [Google Scholar] [CrossRef]
- Cifelli, M.; Domenici, V.; Dvinskikh, S.V.; Veracini, C.A.; Zimmermann, H. Translational self-diffusion in the smectic phases of ferroelectric liquid crystals: An overview. Phase Trans. 2012, 85, 861. [Google Scholar] [CrossRef]
- Dvinskikh, S.V.; Furó, I. Nuclear magnetic resonance studies of translational diffusion in thermotropic liquid crystals. Russ. Chem. Rev. 2006, 75, 497. [Google Scholar] [CrossRef]
- Cifelli, M.; Domenici, V.; Dvinskikh, S.V.; Glogarova, M.; Veracini, C.A. Translational self-diffusion in the synclinic to anticlinic phases of a ferroelectric liquid crystal. Soft Matter 2010, 6, 5999. [Google Scholar] [CrossRef]
- Cifelli, M.; Domenici, V.; Veracini, C.A. From the synclinic to the anticlinic smectic phases: A deuterium NMR and diffusion NMR study. Mol. Cryst. Liq. Cryst. 2005, 429, 167–179. [Google Scholar] [CrossRef]
- Cifelli, M.; Domenici, V.; Dvinskikh, S.V.; Luckhurst, G.R.; Timimi, B.A. The twist-bend nematic phase: Translational self-diffusion and biaxiality studied by H-1 nuclear magnetic resonance diffusometry. Liq. Cryst. 2017, 44, 204–218. [Google Scholar] [CrossRef]
- Domenici, V. Rod-like and Banana-Shaped Liquid Crystals by Means of Deuterium NMR; Lambert Academic Publishing: Saarbrucken, Germany, 2010; pp. 15–54. [Google Scholar]
- Hoatson, G.L.; Levine, Y.K. A comparative survey of the physical techniques used in studies of molecular dynamics. In The Molecular Dynamics of Liquid Crystals; Luckhurst, R.G., Veracini, C.A., Eds.; Nato ASI Series; NATO Publisher: London, UK, 1989. [Google Scholar]
- Sebastiao, P.J.; Cruz, C.; Ribeiro, A.C. Advances in Proton NMR Relaxometry in Thermotropic Liquid Crystals. In Nuclear Magnetic Resonance Spectroscopy of Liquid Crystals; Dong, R.Y., Ed.; World Scientific Co.: Oxford, UK, 2009; pp. 129–167. [Google Scholar]
- Noack, F. NMR field-cycling spectroscopy: Principles and applications. Prog. Nucl. Magn. Reson. Spectrosc. 1986, 18, 171–276. [Google Scholar] [CrossRef]
- Carvalho, A.; Sebastião, P.J.; Ribeiro, A.C.; Nguyen, H.T.; Vilfan, M. Molecular Dynamics in Tilted Bilayer Smectic Phases: A Proton Nuclear Magnetic Resonance Relaxometry Study. J. Chem. Phys. 2001, 115, 10484–10492. [Google Scholar] [CrossRef]
- Sebastião, P.J.; Ribeiro, A.C.; Nguyen, H.T.; Noack, F. Proton NMR Relaxation Study of Molecular Motions in a Liquid Crystal with a Strong Polar Terminal Group. Z. Naturforsch. A Phys. Sci. 1993, 48, 851–860. [Google Scholar] [CrossRef]
- Sebastião, P.J.; Gradišek, A.; Pinto, L.F.V.; Apih, T.; Godinho, M.H.; Vilfan, M. Fast Field-Cycling NMR Relaxometry Study of Chiral and Nonchiral Nematic Liquid Crystals. J. Phys. Chem. B 2011, 115, 14348–14358. [Google Scholar] [CrossRef]
- Apih, T.; Domenici, V.; Gradišek, A.; Hamplová, V.; Kaspar, M.; Sebastião, P.J.; Vilfan, M. 1H NMR Relaxometry Study of a Rod-Like Chiral Liquid Crystal in Its Isotropic, Cholesteric, TGBA*, and TGBC* Phases. J. Phys. Chem. B 2010, 114, 11993–12001. [Google Scholar] [CrossRef]
- Gradišek, A.; Apih, T.; Domenici, V.; Novotná, V.; Sebastião, P.J. Molecular Dynamics in a Blue Phase Liquid Crystal: A 1 H Fast Field-Cycling NMR Relaxometry Study. Soft Matter 2013, 9, 10746–10753. [Google Scholar] [CrossRef]
- Domenici, V.; Gradišek, A.; Apih, T.; Hamplová, V.; Novotná, V.; Sebastião, P.J. 1H NMR Relaxometry in the TGBA* and TGBC* Phases. Ferroelectrics 2016, 495, 17–27. [Google Scholar] [CrossRef]
- Gradišek, A.; Domenici, V.; Apih, T.; Novotná, V.; Sebastião, P.J. 1H NMR Relaxometric Study of Molecular Dynamics in a “de Vries” Liquid Crystal. J. Phys. Chem. B 2016, 120, 4706–4714. [Google Scholar] [CrossRef]
- Frise, A.E.; Ichikawa, T.; Yoshio, M.; Ohno, H.; Dvinskikh, S.V.; Kato, T.; Furó, I. Ion conductive behaviour in a confined nanostructure: NMR observation of self-diffusion in a liquid-crystalline bicontinuous cubic phase. Chem. Commun. 2010, 46, 728. [Google Scholar] [CrossRef] [PubMed]
- Pampel, A.; Strandberg, E.; Lindblom, G.; Volke, F. High-resolution NMR on cubic lyotropic liquid crystalline phases. Chem. Phys. Lett. 1998, 287, 468. [Google Scholar] [CrossRef]
- Momot, K.I.; Takegoshi, K.; Kuchel, P.W.; Larkin, T.J. Inhomogeneous NMR line shape as a probe of microscopic organization of bicontinuous cubic phases. J. Phys. Chem. B 2008, 112, 6636. [Google Scholar] [CrossRef]
- Hendrikx, Y.; Sotta, P.; Seddon, J.M.; Dutheillet, Y.; Bartle, E.A. NMR Self-diffusion measurements in inverse micellar cubic phases. Liq. Cryst. 1994, 16, 893. [Google Scholar] [CrossRef]
- Burnell, E.E.; Capitani, D.; Casieri, C.; Segre, A.L. A proton nuclear magnetic resonance relaxation study of C12E6/D2O. J. Phys. Chem. B 2000, 104, 8782–8791. [Google Scholar] [CrossRef]
- Schlienger, S.; Ducrot-Boisgontier, C.; Delmotte, L.; Guth, J.L.; Parmentier, J. History of the Micelles: A Key Parameter for the Formation Mechanism of Ordered Mesoporous Carbons via a Polymerized Mesophase. J. Phys. Chem. C 2014, 118, 11919–11927. [Google Scholar] [CrossRef]
- Jerschow, A.; Müller, N. Suppression of convection artifacts in stimulated-echo diffusion experiments. Double-stimulated-echo experiments. J. Magn. Reson. 1997, 125, 372. [Google Scholar] [CrossRef]
- Burstein, D. Stimulated echoes: Description, applications, practical hints. Concepts Magn. Reson. 1996, 8, 269. [Google Scholar] [CrossRef]
- Stejskal, E.O.; Tanner, J.E. Spin Diffusion Measurements: Spin Echoes in the Presence of a Time-Dependent Field Gradient. J. Chem. Phys. 1965, 42, 288. [Google Scholar] [CrossRef]
- Gibbs, S.J.; Johnson, C.S. A PFG NMR experiment for accurate diffusion and flow studies in the presence of eddy currents. J. Magn. Reson. 1991, 93, 395. [Google Scholar] [CrossRef]
- Domenici, V.; Apih, T.; Veracini, C.A. Molecular motions of banana-shaped liquid crystals studied by NMR spectroscopy. Thin Solid Films 2008, 517, 1402–1406. [Google Scholar] [CrossRef]
- Canet, D. Introduction to Nuclear Spin Cross-relaxation and Cross-correlation Phenomena in Liquids. In New Developments in NMR; book n. 12, Chapter 1; Canet, D., Ed.; Royal Society of Chemistry: London, UK, 2017; ISBN 1849739137. [Google Scholar]
- Bloembergen, N.; Purcell, E.M.; Pound, R.V. Relaxation Effects in Nuclear Magnetic Resonance Absorption. Phys. Rev. 1948, 73, 679. [Google Scholar] [CrossRef]
- Vilfan, M.; Rutar, V.; Zumer, S.; Lahajnar, G.; Blinc, R.; Doane, J.W.; Golemme, A. Proton spin-lattice relaxation in nematic microdroplets. J. Chem. Phys. 1988, 89, 597. [Google Scholar] [CrossRef]










| Sample Label | Phase Sequence |
|---|---|
| 9/2 RS/RS [8] | Isotropic 372.4 K Isotropic’ 365.6 K Columnar 1/Cubic 2 |
| L1 [14] | Isotropic 391.3 °C Isotropic’ 386.4 °C Cubic 3 347.7 °C Crystal |
| Samples | T1 (s) at BRLX = 100 MHz | T1 (s) at BRLX = 10 MHz | T1 (s) at BRLX = 5 KHz | AROT1/AROT2 | τROT1 (10−8 s) | τROT2 (10−8 s) | τD (10−9 s) |
|---|---|---|---|---|---|---|---|
| L1 (T = 396 K) | 0.52 | 0.038 | 0.015 | 3.2 | 14 | 1.5 | 0.3 |
| 9/2 RS/RS (T = 377 K) | 0.41 | 0.059 | 0.047 | 1.4 | 10 | 1.3 | 0.5 |
© 2019 by the authors. Licensee MDPI, Basel, Switzerland. This article is an open access article distributed under the terms and conditions of the Creative Commons Attribution (CC BY) license (http://creativecommons.org/licenses/by/4.0/).
Share and Cite
Gradišek, A.; Cifelli, M.; Wojcik, M.; Apih, T.; Dvinskikh, S.V.; Gorecka, E.; Domenici, V. Study of Liquid Crystals Showing Two Isotropic Phases by 1H NMR Diffusometry and 1H NMR Relaxometry. Crystals 2019, 9, 178. https://doi.org/10.3390/cryst9030178
Gradišek A, Cifelli M, Wojcik M, Apih T, Dvinskikh SV, Gorecka E, Domenici V. Study of Liquid Crystals Showing Two Isotropic Phases by 1H NMR Diffusometry and 1H NMR Relaxometry. Crystals. 2019; 9(3):178. https://doi.org/10.3390/cryst9030178
Chicago/Turabian StyleGradišek, Anton, Mario Cifelli, Michal Wojcik, Tomaž Apih, Sergey V. Dvinskikh, Ewa Gorecka, and Valentina Domenici. 2019. "Study of Liquid Crystals Showing Two Isotropic Phases by 1H NMR Diffusometry and 1H NMR Relaxometry" Crystals 9, no. 3: 178. https://doi.org/10.3390/cryst9030178
APA StyleGradišek, A., Cifelli, M., Wojcik, M., Apih, T., Dvinskikh, S. V., Gorecka, E., & Domenici, V. (2019). Study of Liquid Crystals Showing Two Isotropic Phases by 1H NMR Diffusometry and 1H NMR Relaxometry. Crystals, 9(3), 178. https://doi.org/10.3390/cryst9030178

