Polarization Converter Based on Square Lattice Photonic Crystal Fiber with Double-Hole Units
Abstract
1. Introduction
2. Square Lattice PC with Double-Hole Unit
2.1. Design of Square Lattice PC
2.2. Gaussian-Like Field Distribution of the PC
3. Structural Tolerance and Wavelength Dependence
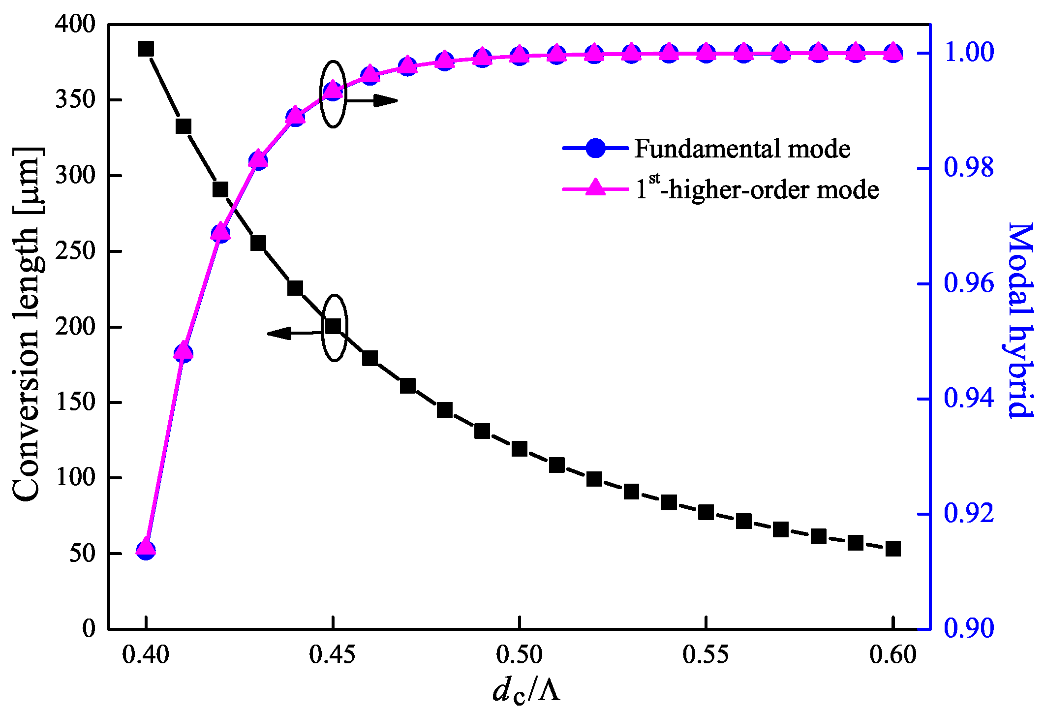
3.1. Tolerance of Cladding Hole Size
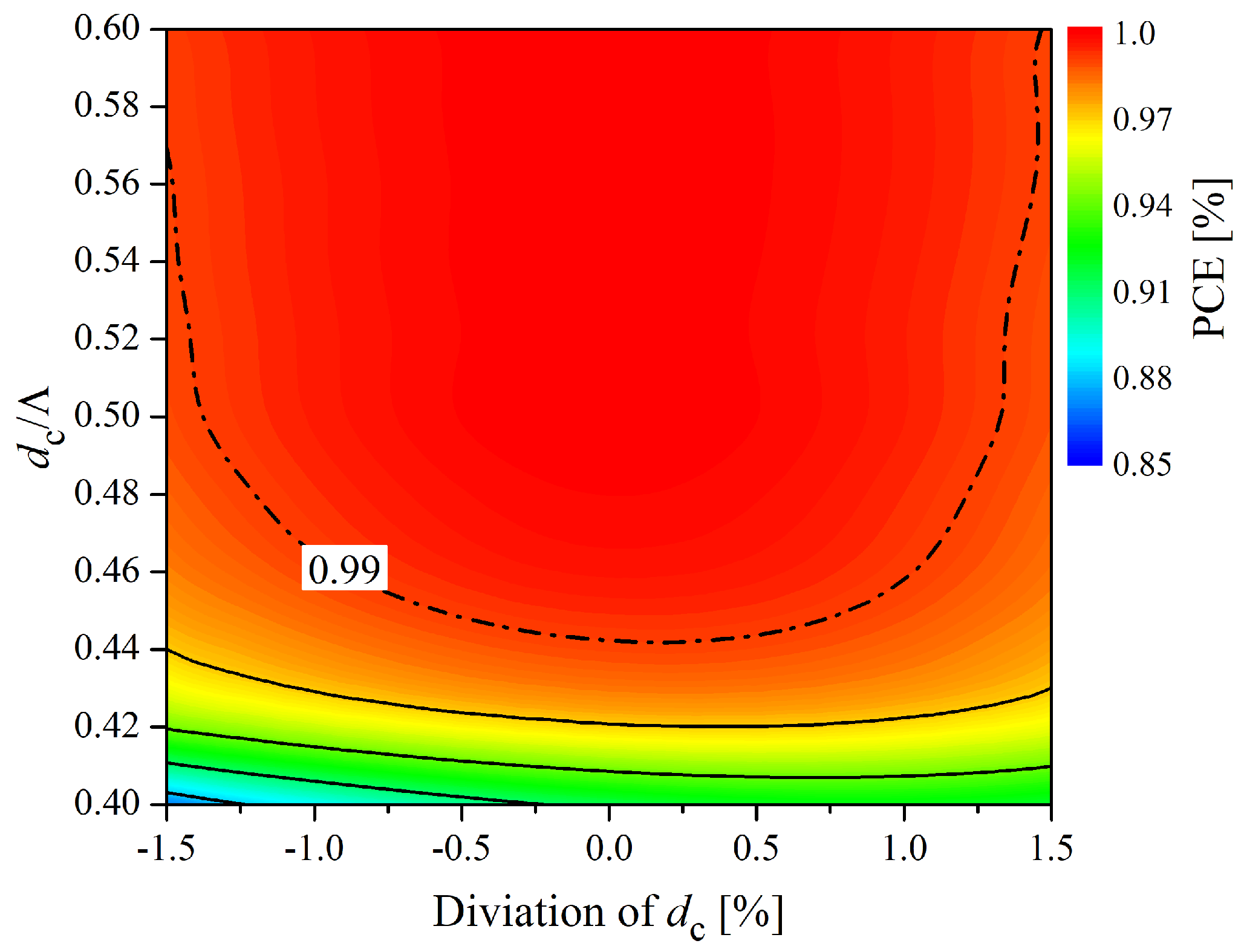
3.2. Tolerance of Cladding Hole Position
3.3. Wavelength Dependence
4. Conclusions
Author Contributions
Funding
Conflicts of Interest
References
- Knight, J.C.; Birks, T.A.; Russell, P.S.J.; Atkin, D.M. All-silica single-mode optical fiber with photonic crystal cladding. Opt. Lett. 1996, 21, 1547–1549. [Google Scholar] [CrossRef] [PubMed]
- Russell, P.S.J. Photonic-crystal fibers. J. Lightw. Technol. 2006, 24, 4729–4749. [Google Scholar] [CrossRef]
- Wang, L.; Yang, D. Highly birefringent elliptical-hole rectangular- lattice photonic crystal fibers with modified air holes near the core. Opt. Express 2007, 15, 8892–8897. [Google Scholar] [CrossRef] [PubMed]
- Cerqueira, A., Jr.; Cordeiro, C.M.B.; Biancalana, F.; Roberts, P.J.; Hernandez-Figueroa, H.E.; Cruz, C.H.B. Nonlinear interaction between two different photonic bandgaps of a hybrid photonic crystal fiber. Opt. Lett. 2008, 33, 2080–2082. [Google Scholar] [CrossRef]
- Wu, Z.; Shi, Z.; Xia, H.; Zhou, X.; Deng, Q.; Huang, J.; Jiang, X.; Wu, W. Design of highly birefringent and low-loss oligoporous-core thz photonic crystal fiber with single circular air-hole unit. IEEE Photon. J. 2016, 8, 4502711. [Google Scholar] [CrossRef]
- Obayya, S.S.A.; Rahman, B.M.A.; El-Mikati, H.A. Vector beam propagation analysis of polarization conversion in periodically loaded waveguides. IEEE Photon. Technol. Lett. 2000, 12, 1346–1348. [Google Scholar] [CrossRef]
- Watts, M.R.; Haus, H.A. Integrated mode-evolution-based polarization rotators. Opt. Lett. 2005, 30, 138–140. [Google Scholar] [CrossRef]
- Fukuda, H.; Yamada, K.; Tsuchizawa, T.; Watanabe, T.; Shinojima, H.; Itabashi, S. Polarization rotator based on silicon wire waveguides. Opt. Express 2008, 16, 2628–2635. [Google Scholar] [CrossRef]
- Zhang, J.; Yu, M.; Lo, G.; Kwong, D. Silicon-waveguide-based mode evolution polarization rotator. IEEE J. Sel. Top. Quantum Electron. 2010, 16, 53–60. [Google Scholar] [CrossRef]
- Hsu, C.; Lin, H.; Chen, J.; Cheng, Y. Ultracompact polarization rotator in an asymmetric single dielectric loaded rib waveguide. Appl. Opt. 2016, 55, 1395–1400. [Google Scholar] [CrossRef]
- Scolari, L.; Alkeskjold, T.; Riishede, J.; Bjarklev, A.; Hermann, D.; Anawati, A.; Nielsen, M.; Bassi, P. Continuously tunable devices based on electrical control of dual-frequency liquid crystal filled photonic bandgap fibers. Opt. Express 2005, 13, 7483–7496. [Google Scholar] [CrossRef] [PubMed]
- Hameed, M.F.O.; Obayya, S.S.A. Analysis of polarization rotator based on nematic liquid crystal photonic crystal fiber. J. Lightw. Technol. 2010, 28, 806–815. [Google Scholar] [CrossRef]
- Hameed, M.F.O.; Obayya, S.S.A. Polarization rotator based on soft glass photonic crystal fiber with liquid crystal core. J. Lightw. Technol. 2011, 29, 2725–2731. [Google Scholar] [CrossRef]
- Hameed, M.F.O.; Obayya, S.S.A. Ultra short slica liquid crystal photonic crystal fiber polarization rotator. Opt. Lett. 2014, 39, 1077–1080. [Google Scholar] [CrossRef] [PubMed]
- Hameed, M.F.O.; Obayya, S.S.A.; El-Mikati, H.A. Passive polarization converters based on photonic crystal fiber with L-shaped core region. J. Ligthw. Technol. 2012, 30, 283–289. [Google Scholar] [CrossRef]
- Hameed, M.F.O.; Obayya, S.S.A. Design of passive polarization rotator based on silica photonic crystal fiber. Opt. Lett. 2011, 36, 3133–3135. [Google Scholar] [CrossRef] [PubMed]
- Hameed, M.F.O.; Heikal, A.M.; Obayya, S.S.A. Novel passive polarization rotator based on spiral photonic crystal fiber. J. Ligthw. Technol. 2013, 25, 1578–1581. [Google Scholar] [CrossRef]
- Chen, L.; Zhang, W.; Zhou, Q.; Liu, Y.; Sieg, J.; Zhang, L.; Wang, L.; Wang, B.; Yan, T. Polarization Rotator Based on Hybrid Plasmonic Photonic Crystal Fiber. IEEE Photon. Technol. Lett. 2014, 26, 2291–2293. [Google Scholar] [CrossRef]
- Zhang, Z.; Tsuji, Y.; Eguchi, M. Design of cross-talk-free polarization converter based on square-lattice elliptical-hole core circular-hole holey fibers. J. Opt. Soc. Am. B 2016, 33, 1808–1814. [Google Scholar] [CrossRef]
- Zhang, Z.; Tsuji, Y.; Eguchi, M.; Chen, C. Design of polarization converter based on photonic crystal fiber with anisotropic lattice core consisting of circular holes. J. Opt. Soc. Am. B 2017, 34, 2227–2232. [Google Scholar] [CrossRef]
- Jansen, S.L.; Morita, I.; Schenk, T.C.W.; Tanaka, H. Long-haul transmission of 16 × 52.5 Gbits/s polarization-division multiplexed OFDM enabled by MIMO processing. J. Opt. Netw. 2008, 7, 173–182. [Google Scholar] [CrossRef]
- Fukuda, H.; Yamada, K.; Tsuchizawa, T.; Watanabe, T.; Shinojima, H.; Itabashi, S. Silicon photonic circuit with polarization diversity. Opt. Express 2008, 16, 4872–4880. [Google Scholar] [CrossRef] [PubMed]
- Sjödin, M.; Johannisson, P.; Wymeersch, H.; Andrekson, P.A.; Karlsson, M. Comparison of polarization-switched QPSK and polarization-multiplexed QPSK at 30 Gbit/s. Opt. Express 2011, 19, 7839–7846. [Google Scholar] [CrossRef] [PubMed]
- Pysz, D.; Kujiwa, I.; Stepień, R.; Klimczak, M.; Filipkowski, A.; Franczyk, M.; Kociszewski, L.; Buźniak, J.; Haraśny, K.; Buczyński, R. Stack and draw fabrication of soft glass microstructured fiber optics. Bull. Pol. Acad. Sci. Tech. Sci. 2014, 62, 667–682. [Google Scholar] [CrossRef]












| 0.45 | 0.5 | 0.55 | 0.6 | |
|---|---|---|---|---|
| MMR | 95.52% | 96.43% | 97.03% | 97.45% |
| () | (3.05) | (2.63) | (2.35) | (2.15) |
© 2019 by the authors. Licensee MDPI, Basel, Switzerland. This article is an open access article distributed under the terms and conditions of the Creative Commons Attribution (CC BY) license (http://creativecommons.org/licenses/by/4.0/).
Share and Cite
Zhang, Z.; Tsuji, Y.; Eguchi, M.; Chen, C.-p. Polarization Converter Based on Square Lattice Photonic Crystal Fiber with Double-Hole Units. Crystals 2019, 9, 58. https://doi.org/10.3390/cryst9020058
Zhang Z, Tsuji Y, Eguchi M, Chen C-p. Polarization Converter Based on Square Lattice Photonic Crystal Fiber with Double-Hole Units. Crystals. 2019; 9(2):58. https://doi.org/10.3390/cryst9020058
Chicago/Turabian StyleZhang, Zejun, Yasuhide Tsuji, Masashi Eguchi, and Chun-ping Chen. 2019. "Polarization Converter Based on Square Lattice Photonic Crystal Fiber with Double-Hole Units" Crystals 9, no. 2: 58. https://doi.org/10.3390/cryst9020058
APA StyleZhang, Z., Tsuji, Y., Eguchi, M., & Chen, C.-p. (2019). Polarization Converter Based on Square Lattice Photonic Crystal Fiber with Double-Hole Units. Crystals, 9(2), 58. https://doi.org/10.3390/cryst9020058

