Trapping and Optomechanical Sensing of Particles with a Nanobeam Photonic Crystal Cavity
Abstract
1. Introduction
2. Results
2.1. Design of a Photonic Crystal Cavity
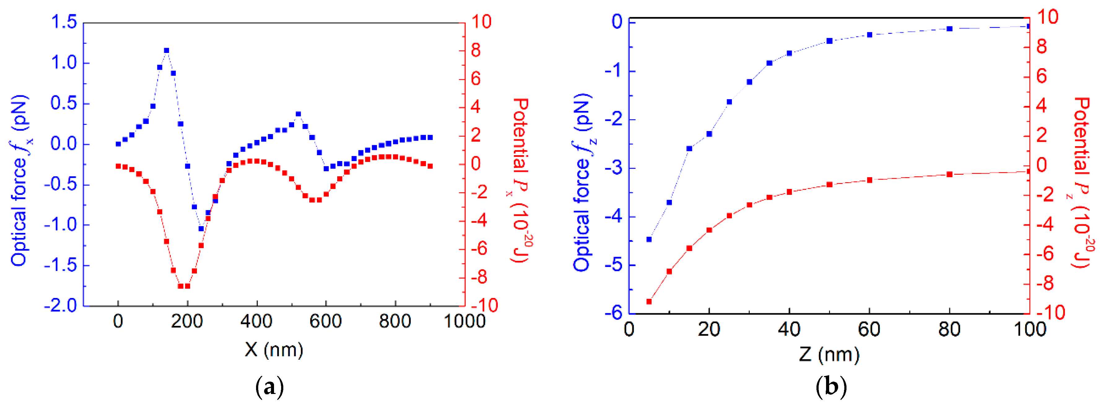
2.2. Optical Force and Potential on a Particle
2.3. Optomechanical Sensing
3. Discussion
Author Contributions
Funding
Acknowledgments
Conflicts of Interest
References
- Van Thourhout, D.; Roels, J. Optomechanical Device Actuation through the Optical Gradient Force. Nat. Photonics 2010, 4, 211–217. [Google Scholar] [CrossRef]
- Van Leest, T.; Caro, J. Cavity-Enhanced Optical Trapping of Bacteria Using a Silicon Photonic Crystal. Lab. Chip 2013, 13, 4358–4365. [Google Scholar] [CrossRef] [PubMed]
- Quan, Q.; Floyd, D.L.; Burgess, I.B.; Deotare, P.B.; Frank, I.W.; Tang, S.K.Y.; Ilic, R.; Loncar, M. Single Particle Detection in CMOS Compatible Photonic Crystal Nanobeam Cavities. Opt. Express 2013, 21, 32225–32233. [Google Scholar] [CrossRef] [PubMed]
- Renaut, C.; Cluzel, B.; Dellinger, J.; Lalouat, L.; Picard, E.; Peyrade, D.; Hadji, E.; de Fornel, F. On Chip Shapeable Optical Tweezers. Sci. Rep.-UK 2013, 3, 2290. [Google Scholar] [CrossRef] [PubMed]
- Akahane, Y.; Asano, T.; Song, B.S.; Noda, S. High-Q Photonic Nanocavity in a Two-Dimensional Photonic Crystal. Nature 2003, 425, 944–947. [Google Scholar] [CrossRef]
- Zhao, Q.; Cui, K.; Feng, X.; Liu, F.; Zhang, W.; Huang, Y. Low Loss Sharp Photonic Crystal Waveguide Bends. Opt. Commun. 2015, 355, 209–212. [Google Scholar] [CrossRef]
- Zhao, Q.; Cui, K.; Huang, Z.; Feng, X.; Zhang, D.; Liu, F.; Zhang, W.; Huang, Y. Compact Thermo-Optic Switch Based on Tapered W1 Photonic Crystal Waveguide. IEEE Photonics J. 2013, 5. [Google Scholar] [CrossRef]
- Zhao, Q.; Cui, K.; Feng, X.; Liu, F.; Zhang, W.; Huang, Y. Variable Optical Attenuator Based on Photonic Crystal Waveguide with Low-Group-Index Tapers. Appl. Opt. 2013, 52, 6245–6249. [Google Scholar] [CrossRef]
- Deotare, P.B.; McCutcheon, M.W.; Frank, I.W.; Khan, M.; Loncar, M. High Quality Factor Photonic Crystal Nanobeam Cavities. Appl. Phys. Lett. 2009, 94, 121106. [Google Scholar] [CrossRef]
- Quan, Q.; Deotare, P.B.; Loncar, M. Photonic Crystal Nanobeam Cavity Strongly Coupled to the Feeding Waveguide. Appl. Phys. Lett. 2010, 96, 203102. [Google Scholar] [CrossRef]
- Quan, Q.; Loncar, M. Deterministic Design of Wavelength Scale, Ultra-High Q Photonic Crystal Nanobeam Cavities. Opt. Express 2011, 19, 18529–18542. [Google Scholar] [CrossRef] [PubMed]
- Seidler, P.; Lister, K.; Drechsler, U.; Hofrichter, J.; Stoeferle, T. Slotted Photonic Crystal Nanobeam Cavity with an Ultrahigh Quality Factor-To-Mode Volume Ratio. Opt. Express 2013, 21, 32468–32483. [Google Scholar] [CrossRef] [PubMed]
- Han, S.; Shi, Y. Systematic Analysis of Optical Gradient Force in Photonic Crystal Nanobeam Cavities. Opt. Express 2016, 24, 452–458. [Google Scholar] [CrossRef]
- Chen, Y.; Serey, X.; Sarkar, R.; Chen, P.; Erickson, D. Controlled Photonic Manipulation of Proteins and Other Nanomaterials. Nano Lett. 2012, 12, 1633–1637. [Google Scholar] [CrossRef]
- Serey, X.; Mandal, S.; Erickson, D. Comparison of Silicon Photonic Crystal Resonator Designs for Optical Trapping of Nanomaterials. Nanotechnology 2010, 21, 305202. [Google Scholar] [CrossRef] [PubMed]
- Descharmes, N.; Dharanipathy, U.P.; Diao, Z.; Tonin, M.; Houdre, R. Observation of Backaction and Self-Induced Trapping in a Planar Hollow Photonic Crystal Cavity. Phys. Rev. Lett. 2013, 110, 123601. [Google Scholar] [CrossRef]
- Huang, Z.; Cui, K.; Li, Y.; Feng, X.; Liu, F.; Zhang, W.; Huang, Y. Strong Optomechanical Coupling in Nanobeam Cavities Based on Hetero Optomechanical Crystals. Sci. Rep.-UK 2015, 5, 15964. [Google Scholar] [CrossRef]
- Pan, F.; Cui, K.; Bai, G.; Feng, X.; Liu, F.; Zhang, W.; Huang, Y. Radiation-Pressure-Antidamping Enhanced Optomechanical Spring Sensing. ACS Photonics 2018, 5, 4164–4169. [Google Scholar] [CrossRef]
- Li, Y.; Cui, K.; Feng, X.; Huang, Y.; Huang, Z.; Liu, F.; Zhang, W. Optomechanical Crystal Nanobeam Cavity with High Optomechanical Coupling Rate. J. Opt.-UK 2015, 17, 045001. [Google Scholar] [CrossRef]
- Huang, Z.; Cui, K.; Bai, G.; Feng, X.; Liu, F.; Zhang, W.; Huang, Y. High-Mechanical-Frequency Characteristics of Optomechanical Crystal Cavity with Coupling Waveguide. Sci. Rep.-UK 2016, 6, 34160. [Google Scholar] [CrossRef]
- Barton, J.P.; Alexander, D.R.; Schaub, S.A. Theoretical Determination of Net-Radiation Force and Torque for a Spherical-Particle Illuminated by a Focused Laser-Beam. J. Appl. Phys. 1989, 66, 4594–4602. [Google Scholar] [CrossRef]





© 2019 by the authors. Licensee MDPI, Basel, Switzerland. This article is an open access article distributed under the terms and conditions of the Creative Commons Attribution (CC BY) license (http://creativecommons.org/licenses/by/4.0/).
Share and Cite
Ren, L.; Li, Y.; Li, N.; Chen, C. Trapping and Optomechanical Sensing of Particles with a Nanobeam Photonic Crystal Cavity. Crystals 2019, 9, 57. https://doi.org/10.3390/cryst9020057
Ren L, Li Y, Li N, Chen C. Trapping and Optomechanical Sensing of Particles with a Nanobeam Photonic Crystal Cavity. Crystals. 2019; 9(2):57. https://doi.org/10.3390/cryst9020057
Chicago/Turabian StyleRen, Lin, Yunpeng Li, Na Li, and Chao Chen. 2019. "Trapping and Optomechanical Sensing of Particles with a Nanobeam Photonic Crystal Cavity" Crystals 9, no. 2: 57. https://doi.org/10.3390/cryst9020057
APA StyleRen, L., Li, Y., Li, N., & Chen, C. (2019). Trapping and Optomechanical Sensing of Particles with a Nanobeam Photonic Crystal Cavity. Crystals, 9(2), 57. https://doi.org/10.3390/cryst9020057
