Abstract
A new homo-trinuclear Ni(II) half-salamo-based complex [Ni3(L)2(μ-OAc)2(OAc)2(CH3OH)2]·2CH3OH was synthesized via the reaction of a tridentate ligand HL (2-[O-(1-ethyloxyamide)]oxime-4-bromophenol) and Ni(OAc)2·4H2O, and characterized using elemental analyses, IR spectra, UV-Vis absorption spectra, X-ray crystallography, and Hirshfeld analysis. Interestingly, single-crystal X-ray analysis showed that the two acetate molecules were bonded simultaneously with the Ni(II) atoms by mono-dentate chelating and bidentate bridging coordination modes, respectively, and the resulting hexa-coordinate geometries were ultimately formed. Furthermore, the Hirshfeld analysis of the complex was studied. Compared with HL, the complex fluorescence intensity was significantly lowered, indicating that the Ni(II) ions have fluorescence quenching characteristics.
1. Introduction
Salen and its derivatives are usually gained via Schiff-base condensation reaction of a diamine with an aldehyde, a ketone or its derivative [1,2,3,4]. The coordination environment includes two imine N atoms and two O atoms from the aldehyde or ketone, usually phenolic oxygen atoms. Salamo was developed on the basis of changing the type of amine of the salen-type compound, and after introducing an O atom to the N atom of the salen-type compound possessing a –RC=N– group, the salamo-type compound is more flexible and stable than the salen-type compound [5]. The salamo-type ligands and their metal complexes, due to their unique physical and chemical properties and potential application values, have attracted more and more attention from chemical researchers [6,7,8,9,10,11,12]. Therefore, the results of research into these complexes in the fields of catalysts [13,14,15], biology [16,17,18,19,20], electrochemical processes [21,22,23,24,25,26,27], supramolecular structures [28,29,30,31,32,33], ion recognitions [34,35,36,37,38,39,40], magnetic materials [41,42,43,44,45,46,47], and luminescence [48,49,50,51,52,53,54,55,56] are remarkable.
A new trinuclear Ni(II) half-salamo complex was designed and synthesized. The complex is a new symmetric trinuclear Ni(II) structure. Most of the previously reported complexes were coordinated by one acetate molecule to two metal atoms [57,58,59,60]. In this paper, not only were two acetate molecules coordinated to two Ni(II) atoms, but also by bidentate bridging and monodentate chelating coordination modes simultaneously connecting two Ni(II) atoms. Most importantly, Hirshfeld surface analysis was also studied while studying fluorescence properties.
2. Experimental
2.1. Materials and Measurements
All solvents and chemicals were obtained from commercial sources and used without further purification. Elemental analyses for nickel(II) were measured by IRIS ER/S-WP-1 ICP atomic emission spectrometer (Elementar, Berlin, Germany), elemental analyses for carbon, hydrogen, and nitrogen were conducted using GmbH VariuoEL V3.00 automatic elemental analysis instrument (Elementar, Berlin, Germany). IR spectra were made via a Bruker VERTEX70 FT-IR spectrophotometer, with samples prepared as CsI (100–500 cm−1) and KBr (500–4000 cm−1) pellets (Bruker AVANCE, Billerica, MA, USA). The UV-Vis spectra were obtained by a Shimadzu UV-3900 spectrometer (Shimadzu, Tokyo, Japan). The 1H NMR (nuclear magnetic resonance) spectra were measured by German Bruker AVANCE DRX-400/600 spectroscopy (Bruker AVANCE, Billerica, MA, USA). Fluorescence spectra were measured via a F-7000 FL spectrophotometer (Hitachi, Tokyo, Japan). The X-ray single-crystal structure was measured by a SuperNova Dual (Cu at zero) four-circle diffractometer.
2.2. Synthesis of HL
1,2-Bis(aminooxy)ethane was synthesized via a similar method reported earlier in Reference [61]. 5-Bromo-2-hydroxybenzaldehyde (402.04 mg, 0.02 mmol) in ethanol solution (40 mL) was slowly added to 1,2-bis(aminooxy)ethane (368.4 mg, 0.01 mmol) in ethanol (60 mL) over 1 h. The mixture was heated at 50–55 °C for 5 h. The solution was concentrated by reduced pressure and the residue was purified via column chromatography with chloroform:ethyl acetate = 20:1 gaining the ligand HL:2-[O-(1-ethyloxyamide)]oxime-4-bromophenol (Scheme 1). Yield: 62.5%. m.p.: 60−61 °C. 1H NMR (400 MHz, CDCl3) δ 3.95 (t, J = 4.5 Hz, 2H), 4.36 (t, J = 4.5 Hz, 2H), 5.50 (brs, 2H), 6.87 (d, J = 9.0 Hz, 1H), 7.25 (d, J = 2.5 Hz, 1H), 7.37 (dd, J = 9.0, 2.5 Hz, 1H), 8.14 (s, 1H), 9.88 (s, 1H). IR (KBr, cm–1): 3234 (m), 2953 (m), 2895 (m), 1608 (s), 1577 (m), 1475 (s), 1428 (s), 1366 (m), 1261 (s), 1170 (w), 1054 (s), 971 (w), 927 (s), 836 (m), 776 (s), 727 (s), 676 (s), 620 (s), 587 (w), 542 (w). UV-Vis (CH3CH2OH), λmax (nm) (εmax): 218, 265, and 322 nm (5.0 × 10−5 M). Anal. Calcd for C9H11BrN2O3 (%): C 39.29; H 4.03; N 10.18. Found: C 39.58; H 4.00; N 10.06.
Scheme 1.
Synthetic routes to HL and its Ni(II) complex.
2.3. Synthesis of the Ni(II) Complex
A methanol solution (2.0 mL) of nickel(II) acetate tetrahydrate (5.50 mg, 0.02 mmol) was added to a trichloromethane solution (3.0 mL) of HL (4.98 mg, 0.02 mmol) at room temperature, and the color of the mixed solution turned light brown immediately. After, the mixed solution was stirred for 3–5 min and then the mixture was filtered. The resulting filtrate was left undisturbed for about one week to gain clear light-yellow block-like crystals suitable for X-ray crystallographic analysis (Scheme 1). Yield: 53.1%. IR (KBr, cm−1): 3402 (m), 2945 (w), 1596 (s), 1561 (m), 1457 (s), 1386 (s), 1290 (s), 1248 (s), 1073 (m), 1032 (m), 967(w), 935 (w), 851 (w), 744 (m), 701 (w), 661 (w), 620 (w), 558 (w), 523 (w), 455 (w). UV-Vis (CH3CH2OH), λmax (nm) (εmax): 226 and 375 nm (5.0 × 10−5 M). Anal. Calcd for C30H48Br2N4Ni3O18 (%): C 33.10; H 4.44; N 5.15; Ni 16.17. Found: C 33.32; H 4.21; N 5.11; Ni 16.12.
2.4. Crystal Structure Determination for the Ni(II) Complex
X-ray single crystal diffraction data of the Ni(II) complex was measured at 294.78(16) K with a SuperNova Dual (Cu at zero) using a monochromated Mo-Ka radiation λ = 0.71073 Å. The LP corrections were used to with SAINT program and semi-empirical correction using the SADABS program. The structures were solved using direct methods (SHELXS-2015) [62,63]. The highest difference Fourier map maximum was about 0.7 with a distance of 1.05 A from Br1. All non-hydrogen atoms were anisotropically refined; all hydrogen atoms were contained at the calculated positions and constrained to ride on their parent atoms. Details of the data collection and refinements of the Ni(II) complex are summarized in Table 1. CCDC (1889237) contain the supplementary crystallographic data for this paper. The date can be obtained free of charge from the Cambridge Crystallographic Data Centre and www.ccdc.cam.ac.uk/conts/retrieving.html.
Table 1.
Crystal data and refinement parameters for the Ni(II) complex.
3. Results and Discussion
3.1. IR Spectra
In the IR spectra (Table 2), HL and its complex show different peaks in the 500–4000 cm−1 region. The ν(O-H) frequency of HL appeared at 3234 cm−1. This peak disappeared in the Ni(II) complex, while a new peak appeared at 3402 cm−1 which was assigned to the vibration of methanol molecules. The ligand HL showed a ν(C=N) band at 1608 cm−1, while that of the Ni(II) complex appeared at 1596 cm−1. For the ligand HL, the ν(Ar-O) band appeared at 1261 cm−1, and that of the Ni(II) complex was observed at 1248 cm−1 [64]. It can be observed from the data that the characteristic ν(C=N) and ν(Ar-O) frequencies moved to lower frequencies, showing the formation of Ni–N and Ni–O bonds. The far-infrared spectrum of the Ni(II) complex also gained in the 500–100 cm−1 region in order to distinguish frequencies owing to the Ni–O and Ni–N bonds, and ν(Ni–O) and ν(Ni–N) frequencies were found as new peaks at 455 and 532 cm−1 [65], respectively.
Table 2.
The major IR spectra of HL and its Ni(II) complex (cm−1).
3.2. UV-Vis Absorption Spectra
The UV-Vis titration of the Ni(II) complex is depicted in Figure 1. During the UV-Vis titration, we can easily observe that the HL shows three typical absorption peaks at 218, 265, and 322 nm, which can be assigned to the π–π* transition [66]. With the increase of concentration of Ni(II) ions, the three typical peaks of HL changed, the peaks at 265 and 322 nm disappeared. Meanwhile, a new peak appeared at 375 nm, and attributed to HL to metal LMCT [67,68,69], which is characteristic of the transition metal salen-type complexes. In addition, when the ratio of HL to metal ions is lower than 2:3, the absorption intensity increases linearly with the concentration of Ni(II) ions, and when it reaches 3:2, the absorption spectrum no longer changes with the increase of concentration of Ni(II) ions, indicating that the titration reaches the end point. In the UV-Vis titration, we formulated the ligand HL to a concentration of 5.0 × 10−5 M, and the Ni(OAc)2·4H2O was formulated to a concentration of 1.0 × 10−3 M.
Figure 1.
The UV-Vis titration spectra of the Ni(II) complex (cm−1).
3.3. The Crystal Structure Description
The crystal structure of the homo-trinuclear Ni(II) complex is given in Figure 2, and bond lengths and angles are given in Table 3. X-ray crystallographical analysis revealed that the Ni(II) complex crystallizes in the orthorhombic, space group P b c n, Z = 4, all bond lengths are in normal ranges [22,41]. The complex [Ni3(L)2(μ2-OAc)2(OAc)2(CH3OH)2]·2CH3OH is formed by coordination of HL with Ni(OAc)2·4H2O, the Ni(II) complex includes three Ni(II) atoms and two completely deprotonated ligand (L)− units. The complex presents a centrally symmetric structure, the central Ni(II) atom (Ni2) is hexacoordinated, consists of six O atoms (O1, O4, O26 and O1#, O4#, O26#) from the two fully deprotonated ligand (L)− units and four acetate molecules with two kinds of coordination modes, together formed an octahedral coordination geometry. Then, the coordination spheres of the two terminal Ni(II) atoms (Ni1 and Ni1#) are both surrounded by two imine N atoms (N9 and N20), one phenol O atom (O4), one O atom (O3) from the coordinated methanol molecule, and two N atoms (O1 and O2) from two acetate molecules with two kinds of coordination modes to complete together their slightly distorted octahedral geometries.

Figure 2.
(a) Molecular structure of the Ni(II) complex with 30% probability displacement ellipsoids (hydrogen atoms are omitted for clarity); (b) coordination polyhedrons for Ni(II) atoms.
Table 3.
Bond lengths (Å) and angles (°) of the Ni(II) complex.
3.4. Supra-Molecular Interactions
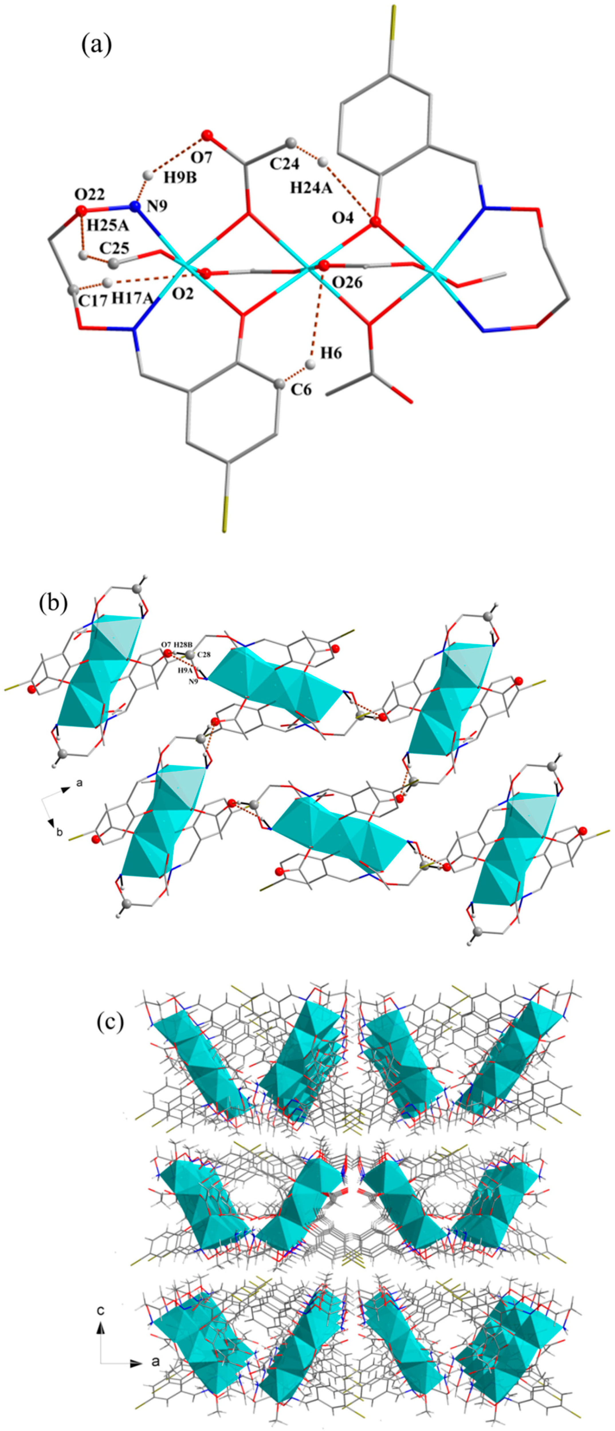
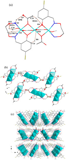
As illustrated in Figure 3a, there are five pairs of different intra-molecular hydrogen bond interactions [70,71], which are N9–H9B⋯O7, C6–H6⋯O26, C17–H17A⋯O2, C24–H24A⋯O4, and C25–H25A⋯O22 intra-molecular interactions, and inter-molecular hydrogen bonding interactions (N9–H9A⋯O7 and C28–H28B⋯O7) shown in Figure 3b, except for the hydrogen bonding formed, other hydrogen atoms were omitted. Hydrogen bonding interactions of the Ni(II) complex are summed in Table 4. The hydrogen bond interactions play a major role in the building of the Ni(II) complex. Through this inter-molecular hydrogen bonding inter-action, each molecule of the Ni(II) complex is connected to each other to gain a two-dimensional supra-molecular network along the ab plane. At the same time, in Figure 3c, through the inter-molecular hydrogen bonding interactions, this network structure is connected to each other to gain an infinite three-dimensional supra-molecular structure.
Figure 3.
(a) View of the intra-molecular hydrogen bonding interactions of the Ni(II) complex (hydrogen atoms are omitted for clarity, except those forming hydrogen bondings); (b) View of the 2D supra-molecular structure of the Ni(II) complex; (c) view of the 3-D supra-molecular structure of the Ni(II) complex.
Table 4.
Hydrogen bonding interactions (Å, °) of the Ni(II) complex.
3.5. Fluorescence Titration Spectra
As shown in the Figure 4, the fluorescence properties of HL and its Ni(II) complex in ethanol solvent were studied. The concentration of the ligand HL was 5.0 × 10−5 M, the concentration of the Ni(II) ions was 1.0 × 10−3 M, and the maximum excitation wavelength was about 315 nm.
Figure 4.
Fluorescence spectra of HL and its Ni(II) complex in ethanol upon excitation at 315 nm.
When the excitation wavelength is 315 nm, the ligand HL exhibits a strong absorption peak at 365 nm, which is attributed to the π–π* transition. During the fluorescence titration experiment, the fluorescence intensity decreases as the concentration of the metal(II) ions increases. The decrease in fluorescence intensity was mainly owing to the bonding of the (L)− ligand with the Ni(II) ions. Compared with the emission spectrum of HL, the decrease in the fluorescence intensity of the complex was obtained, showing that the fluorescence was quenched due to the introduction of the Ni(II) atoms.
3.6. Hirshfeld Surface Analysis
Figure 5 shows the Hirshfeld surface distribution of the complex through dnorm, di, and de mapping [72]. It can be clearly seen from the figure that the red region represents the O–H between the O and H atoms in the Ni(II) complex. Inter-action intensity map, the heavier the color of the red region, the stronger the O–H interactions, and the other shallower regions are mainly the distribution of short-range effects such as C–H and H–H. From this figure, the distribution of the approximate hydrogen bondings in the complex can be analyzed, which is helpful to further explore the intrinsic factors of the stable existence of the complex.
Figure 5.
Hirshfeld surface analysis of the Ni(II) complex by dnorm, di, and de mapping.
In addition, the proportion of C–H/H–C, O–H/H–O, and H–H/H–H in the complex can also be gained by Hirshfeld surface analysis. Here, we theoretically calculate the short-range action distribution inside the complex. As depicted in Figure 6, in this two-dimensional Hirshfeld surface generation map, the blue region represents the distribution of different interactions. For the entire Ni(II) complex molecule, the ratio of C–H/H–C, O–H/H–O, and H–H/H–H in the surface of Hirshfeld was calculated to be 5.5%, 9.9%, and 55.9%, respectively. In fact, a complex can exist stably, and the short-range effects in these structures are indispensable.
Figure 6.
Finger-print plot of the proportion of short-range action on the Hirshfeld surface in the Ni(II) complex.
4. Conclusions
In summary, a new homo-trinuclear Ni(II) complex was designed and synthesized. X-ray crystallography reveals that the Ni(II) atoms in the complex are coordinated to two acetate molecules by two kinds of bidentate bridging and mono-dentate chelating coordination modes, which is a very rare phenomenon. The UV-Vis titration experiment clearly shows the ligand to Ni(II) ions has a stoichiometry of 2:3. Compared with HL, the fluorescence intensity of the complex was significantly lowered, indicating that the Ni(II) ions have fluorescence quenching characteristics. In addition, Hirshfeld surface analysis indicates that the Ni(II) complex can be stable owing to intra-molecular and inter-molecular hydrogen bonding interactions.
Author Contributions
W.-K.D. conceived and designed the experiments; X.-X.A. performed the experiments; Q.Z. and H.-R.M. analyzed the data; W.-K.D. contributed reagents/materials/analysis tools; X.-X.A. and Q.Z. wrote the paper.
Funding
This work was supported by the National Natural Science Foundation of China (Grant No. 21761018), and the Program for Excellent Team of Scientific Research in Lanzhou Jiaotong University (Grant No. 201706).
Conflicts of Interest
The authors declare no competing financial interests.
References
- Dong, Y.J.; Ma, J.C.; Zhu, L.C.; Dong, W.K.; Zhang, Y. Four 3d–4f heteromultinuclear zinc(II)–lanthanide(III) complexes constructed from a distinct hexadentate N2O2-type ligand: Syntheses, structures and photophysical properties. J. Coord. Chem. 2017, 70, 103–115. [Google Scholar] [CrossRef]
- Dong, W.K.; Zhu, L.C.; Dong, Y.J.; Ma, J.C.; Zhang, Y. Mono, di and heptanuclear metal(II) complexes based on symmetric and asymmetric tetradentate salamo-type ligands: Syntheses, structures and spectroscopic properties. Polyhedron 2016, 117, 148–154. [Google Scholar] [CrossRef]
- Dong, W.K.; Lan, P.F.; Zhou, W.M.; Zhang, Y. Salamo-type trinuclear and tetranuclear cobalt(II) complexes based on a new asymmetry salamo-type ligand: Syntheses, crystal structures, and fluorescence properties. J. Coord. Chem. 2016, 69, 1272–1283. [Google Scholar] [CrossRef]
- Chai, L.Q.; Liu, G.; Zhang, Y.L.; Huang, J.J.; Tong, J.F. Synthesis, crystal structure, fluorescence, electrochemical property, and SOD-like activity of an unexpected nickel(II) complex with a quinazoline-type ligand. J. Coord. Chem. 2013, 66, 3926–3938. [Google Scholar] [CrossRef]
- Ma, J.C.; Dong, X.Y.; Dong, W.K.; Zhang, Y.; Zhu, L.C.; Zhang, J.T. An unexpected dinuclear Cu(II) complex with a bis(salamo) chelating ligand: Synthesis, crystal structure, and photophysical properties. J. Coord. Chem. 2016, 69, 149–159. [Google Scholar] [CrossRef]
- Wang, P.; Zhao, L. Synthesis, structure and spectroscopic properties of the trinuclear cobalt(II) and nickel(II) complexes based on 2-hydroxynaphthaldehyde and bis(aminooxy)alkane. Spectrochim. Acta A 2015, 135, 342–350. [Google Scholar] [CrossRef]
- Peng, Y.D.; Wang, F.; Gao, L.; Dong, W.K. Structurally characterized dinuclearzinc(II) bis(salamo)-type tetraoximecomplex possessing square pyramidaland trigonal bipyramidal geometries. J. Chin. Chem. Soc. 2018, 65, 893–899. [Google Scholar] [CrossRef]
- Wang, F.; Liu, L.Z.; Gao, L.; Dong, W.K. Unusual constructions of two salamo-based copper(II) complexes. Spectrochim. Acta A 2018, 203, 56–64. [Google Scholar] [CrossRef]
- Li, X.Y.; Kang, Q.P.; Liu, L.Z.; Ma, J.C.; Dong, W.K. Trinuclear Co(II) and mononuclear Ni(II) salamo-type bisoxime coordination compounds. Crystals 2018, 8, 43. [Google Scholar] [CrossRef]
- Gao, L.; Liu, C.; Wang, F.; Dong, W.K. Tetra-, penta- and hexa-coordinated transition metal complexes constructed from coumarin-containing N2O2 ligand. Crystals 2018, 8, 77. [Google Scholar] [CrossRef]
- Dong, X.Y.; Gao, L.; Wang, F.; Zhang, Y.; Dong, W.K. Tri- and mono-nuclear zinc(II) complexes based on half- and mono-salamo chelating ligands. Crystals 2017, 7, 267. [Google Scholar] [CrossRef]
- Zhang, L.W.; Liu, L.Z.; Wang, F.; Dong, W.K. Unprecedented fluorescent dinuclear CoII and ZnII coordination compounds with a symmetric bis(salamo)-like tetraoxime. Molecules 2018, 23, 1141. [Google Scholar] [CrossRef]
- Li, X.Y.; Chen, L.; Gao, L.; Zhang, Y.; Akogun, S.F.; Dong, W.K. Syntheses, crystal structures and catalytic activities of two solvent-induced homotrinuclear Co(II) complexes with a naphthalenediol-based bis(salamo)-type tetraoxime ligand. RSC Adv. 2017, 7, 35905–35916. [Google Scholar] [CrossRef]
- Li, L.H.; Dong, W.K.; Zhang, Y.; Akogun, S.F.; Xu, L. Syntheses, structures and catecholase activities of homo-and hetero-trinuclear cobalt(II) complexes constructed from an acyclic naphthalenediol-based bis(salamo)-type ligand. Appl. Organomet. Chem. 2017, 31, e3818. [Google Scholar] [CrossRef]
- Chin, T.K.; Endud, S.; Jamil, S.; Budagumpi, S.; Lintang, H.O. Oxidative dimerization of o-aminophenol by heterogeneous mesoporous material modified with biomimetic salen-type copper(II) complex. Catal. Lett. 2013, 143, 282–288. [Google Scholar] [CrossRef]
- Wu, H.L.; Bai, Y.C.; Zhang, Y.H.; Li, Z.; Wu, M.C.; Chen, C.Y.; Zhang, J.W. Synthesis, crystal structure, antioxidation and DNA-binding properties of a dinuclear copper(II) complex with bis(N-salicylidene)-3-oxapentane-1,5-diamine. J. Coord. Chem. 2014, 67, 3054–3066. [Google Scholar] [CrossRef]
- Chen, C.Y.; Zhang, J.W.; Zhang, Y.H.; Yang, Z.H.; Wu, H.L.; Pan, G.L.; Bai, Y.C. Gadolinium(III) and dysprosium(III) complexes with a Schiff base bis(N-salicylidene)-3-oxapentane-1,5-diamine: Synthesis, characterization, antioxidation, and DNA-binding studies. J. Coord. Chem. 2015, 68, 1054–1071. [Google Scholar] [CrossRef]
- Wu, H.L.; Wang, H.; Wang, X.L.; Pan, G.L.; Shi, F.R.; Zhang, Y.H.; Bai, Y.C.; Kong, J. V-shaped ligand bis(2-benzimidazolylmethyl)amine containing three copper(II) ternary complexes: Synthesis, structure, DNA binding properties and antioxidant activity. New J. Chem. 2014, 38, 1052–1061. [Google Scholar] [CrossRef]
- Zhang, Y.; Liu, L.Z.; Pan, Y.Q.; Dong, W.K. Structural characterized homotrinuclear ZnII bis(salamo)-based coordination compound: Hirshfeld surfaces, fluorescent and antimicobial properties. Crystals 2018, 8, 259. [Google Scholar] [CrossRef]
- Zhang, H.; Xu, Y.L.; Wu, H.L.; Aderinto, S.O.; Fan, X.Y. Mono-, bi- and multi-nuclear silver complexes constructed from bis(benzimidazole)-2-oxapropane ligands and methacrylate: Syntheses, crystal structures, DNA-binding properties and antioxidant activities. RSC Adv. 2016, 6, 83697–83708. [Google Scholar] [CrossRef]
- Hao, J.; Li, X.Y.; Wang, L.; Zhang, Y.; Dong, W.K. Luminescent and electrochemical properties of four novel butterfly-shaped hetero-pentanuclear [Zn4Ln] complexes constructed from a bis(salamo)-type ligand. Spectrochim. Acta A 2018, 204, 388–402. [Google Scholar] [CrossRef]
- Dong, W.K.; Ma, J.C.; Zhu, L.C.; Zhang, Y.; Li, X.L. Four new nickel(II) complexes based on an asymmetric salamo-type ligand: Synthesis, structure, solvent effect and electrochemical property. Inorg. Chim. Acta 2016, 445, 140–148. [Google Scholar] [CrossRef]
- Wang, L.; Hao, J.; Zhai, L.X.; Zhang, Y.; Dong, W.K. Synthesis, crystal structure, luminescence, electrochemical and antimicrobial properties of bis(salamo)-based Co(II) complex. Crystals 2017, 7, 277. [Google Scholar] [CrossRef]
- Chai, L.Q.; Li, Y.X.; Chen, L.C.; Zhang, J.Y.; Huang, J.J. Synthesis, X-ray structure, spectroscopic, electrochemical properties and DFT calculation of a bridged dinuclear copper(II) complex. Inorg. Chim. Acta 2016, 444, 193–201. [Google Scholar] [CrossRef]
- Zhang, H.; Dong, W.K.; Zhang, Y.; Akogun, S.F. Naphthalenediol-based bis(salamo)-type homo- and heterotrinuclear cobalt(II) complexes: Syntheses, structures and magnetic properties. Polyhedron 2017, 133, 279–293. [Google Scholar] [CrossRef]
- Ren, Z.L.; Hao, J.; Hao, P.; Dong, X.Y.; Bai, Y.; Dong, W.K. Synthesis, crystal structure, luminescence and electrochemical properties of a salamo-type trinuclear cobalt(II) complex. Z. Naturforsch. B 2018, 73, 203–210. [Google Scholar] [CrossRef]
- Chai, L.Q.; Tang, L.J.; Chen, L.C.; Huang, J.J. Structural, spectral, electrochemical and DFT studies of two mononuclear manganese(II) and zinc(II) complexes. Polyhedron 2017, 122, 228–240. [Google Scholar] [CrossRef]
- Sun, Y.X.; Zhao, Y.Y.; Li, C.Y.; Yu, B.; Guo, J.Q.; Li, J. Supramolecular cobalt(II) and copper(II) complexes with Schiff base ligand: Syntheses, characterizations and crystal structures. Chin. J. Inorg. Chem. 2016, 32, 913–920. [Google Scholar]
- Jia, H.R.; Li, J.; Sun, Y.X.; Guo, J.Q.; Yu, B.; Wen, N.; Xu, L. Two supramolecular cobalt(II) complexes: Syntheses, crystal structures, spectroscopic behaviors, and counter anion effects. Crystals 2017, 7, 247. [Google Scholar]
- Chang, J.; Zhang, H.J.; Jia, H.R.; Sun, Y.X. Binuclear nickel(II) and zinc(II) complexes based on 2-amino-3-hydroxy-pyridine Schiff base: Syntheses, supramolecular structures and spectral properties. Chin. J. Inorg. Chem. 2018, 34, 2097–2107. [Google Scholar]
- Zhou, L.; Hu, Q.; Chai, L.Q.; Mao, K.H.; Zhang, H.S. X-ray characterization, spectroscopic, DFT calculations and hirshfeld surface analysis of two 3-D supramolecular mononuclear zinc(II) and trinuclear copper(II) complexes. Polyhedron 2019, 158, 102–116. [Google Scholar] [CrossRef]
- Zhang, H.J.; Chang, J.; Jia, H.R.; Sun, Y.X. Syntheses, supramolecular structures and spectroscopic properties of Cu(II) and Ni(II) complexes with Schiff base containing oxime group. Chin. J. Inorg. Chem. 2018, 34, 2261–2270. [Google Scholar]
- Jia, H.R.; Chang, J.; Zhang, H.J.; Li, J.; Sun, Y.X. Three polyhydroxyl-bridged defective dicubane tetranuclear MnIII complexes: Synthesis, crystal structures, and spectroscopic properties. Crystals 2018, 8, 272. [Google Scholar] [CrossRef]
- Dong, Y.J.; Li, X.L.; Zhang, Y.; Dong, W.K. A highly selective visual and fluorescent sensor for Pb2+ and Zn2+ and crystal structure of Cu2+ complex based-on a novel single-armed salamo-type bisoxime. Supramol. Chem. 2017, 29, 518–527. [Google Scholar] [CrossRef]
- Wang, F.; Gao, L.; Zhao, Q.; Zhang, Y.; Dong, W.K.; Ding, Y.J. A highly selective fluorescent chemosensor for CN− based on a novel bis(salamo)-type tetraoxime ligand. Spectrochim. Acta A 2018, 190, 111–115. [Google Scholar] [CrossRef]
- Hu, J.H.; Sun, Y.; Qi, J.; Li, Q.; Wei, T.B. A new unsymmetrical azine derivative based on coumarin group as dual-modal sensor for CN− and fluorescent “OFF-ON” for Zn2+. Spectrochim. Acta A 2017, 175, 125–133. [Google Scholar] [CrossRef]
- Dong, W.K.; Li, X.L.; Wang, L.; Zhang, Y.; Ding, Y.J. A new application of salamo-type bisoximes: As a relay-sensor for Zn2+/Cu2+ and its novel complexes for successive sensing of H+/OH−. Sens. Actuators B 2016, 229, 370–378. [Google Scholar] [CrossRef]
- Wang, B.J.; Dong, W.K.; Zhang, Y.; Akogun, S.F. A novel relay-sensor for highly sensitive and selective detection of Zn2+/Pic− and fluorescence on/off switch response of H+/OH−. Sens. Actuators B 2017, 247, 254–264. [Google Scholar] [CrossRef]
- Dong, W.K.; Akogun, S.F.; Zhang, Y.; Sun, Y.X.; Dong, X.Y. A reversible “turn-on” fluorescent sensor for selective detection of Zn2+. Sens. Actuators B 2017, 238, 723–734. [Google Scholar] [CrossRef]
- Sun, Y.; Hu, J.H.; Qi, J.; Li, J.B. A highly selective colorimetric and “turn-on” fluorimetric chemosensor for detecting CN− based on unsymmetrical azine derivatives in aqueous media. Spectrochim. Acta A 2016, 167, 101–105. [Google Scholar] [CrossRef]
- Zhang, L.W.; Li, X.Y.; Kang, Q.P.; Liu, L.Z.; Ma, J.C.; Dong, W.K. Structures and fluorescent and magnetic behaviors of newly synthesized NiII and CuII coordination compounds. Crystals 2018, 8, 173. [Google Scholar] [CrossRef]
- Dong, W.K.; Ma, J.C.; Dong, Y.J.; Zhu, L.C.; Zhang, Y. Di- and tetranuclear heterometallic 3d-4f cobalt(II)-lanthanide(III) complexes derived from a hexadentate bisoxime: Syntheses, structures and magnetic properties. Polyhedron 2016, 115, 228–235. [Google Scholar] [CrossRef]
- Liu, P.P.; Sheng, L.; Song, X.Q.; Xu, W.Y.; Liu, Y.A. Synthesis, structure and magnetic properties of a new one dimensional manganese coordination polymer constructed by a new asymmetrical ligand. Inorg. Chim. Acta 2015, 434, 252–257. [Google Scholar] [CrossRef]
- Li, J.; Zhang, H.J.; Chang, J.; Jia, H.R.; Sun, Y.X.; Huang, Y.Q. Solvent-induced unsymmetric salamo-like trinuclear NiII complexes: Syntheses, crystal structures, fluorescent and magnetic properties. Crystals 2018, 8, 176. [Google Scholar] [CrossRef]
- Song, X.Q.; Liu, P.P.; Wang, C.Y.; Liu, Y.A.; Liu, W.S.; Zhang, M. Three sandwich-type zinc(II)-lanthanide(III) clusters: Structures, luminescence and magnetic properties. RSC Adv. 2017, 7, 22692–22698. [Google Scholar] [CrossRef]
- Zheng, S.S.; Dong, W.K.; Zhang, Y.; Chen, L.; Ding, Y.J. Four salamo-type 3d-4f hetero-bimetallic [ZnIILnIII] complexes: Syntheses, crystal structures, and luminescent and magnetic properties. New J. Chem. 2017, 41, 4966–4973. [Google Scholar] [CrossRef]
- Dong, W.K.; Ma, J.C.; Zhu, L.C.; Zhang, Y. Nine self-assembled nickel(II)-lanthanide(III) heterometallic complexes constructed from a salamo-type bisoxime and bearing N- or O-donor auxiliary ligand: Syntheses, structures and magnetic properties. New J. Chem. 2016, 40, 6998–7010. [Google Scholar] [CrossRef]
- Guo, J.Q.; Sun, Y.X.; Yu, B.; Li, J.; Jia, H.R. Syntheses, crystal structures and spectroscopic properties of copper(II) and nickel(II) complexes with oxime-type Schiff base ligands. Chin. J. Inorg. Chem. 2017, 33, 1481–1488. [Google Scholar]
- Dong, X.Y.; Zhao, Q.; Kang, Q.P.; Mu, H.R.; Zhang, H.; Dong, W.K. Self-assembly of 3d-4f ZnII-LnIII (Ln = Ho and Er) bis(salamo)-based complexes: Controlled syntheses, structures and fluorescence properties. Crystals 2018, 8, 230. [Google Scholar] [CrossRef]
- Peng, Y.D.; Li, X.Y.; Kang, Q.P.; An, G.X.; Zhang, Y.; Dong, W.K. Synthesis and fluorescence properties of asymmetrical salamo-type tetranuclear zinc(II) complex. Crystals 2018, 8, 1079. [Google Scholar]
- Dong, X.Y.; Zhao, Q.; Wei, Z.L.; Mu, H.R.; Zhang, H.; Dong, W.K. Synthesis and fluorescence properties of structurally characterized heterobimetalic Cu(II)-Na(I) bis(salamo)-based complex bearing square planar, square pyramid and triangular prism geometries of metal centers. Molecules 2018, 23, 1006. [Google Scholar] [CrossRef]
- Kang, Q.P.; Li, X.Y.; Zhao, Q.; Ma, J.C.; Dong, W.K. Structurally characterized homotrinuclear salamo-type nickel(II) complexes: Synthesis, solvent effect and fluorescence properties. Appl. Organomet. Chem. 2018, 32, e4379. [Google Scholar] [CrossRef]
- Hao, J.; Li, X.Y.; Zhang, Y.; Dong, W.K. A reversible bis(salamo)-based fluorescence sensor for selective detection of Cd2+ in water-containing systems and food samples. Materials 2018, 11, 523. [Google Scholar] [CrossRef]
- Wang, L.; Kang, Q.P.; Hao, J.; Dong, W.K. Two trinuclear cobalt(II) salamo-type complexes: Syntheses, crystal structures, solvent effect and fluorescent properties. Chin. J. Inorg. Chem. 2018, 34, 525–533. [Google Scholar]
- Chen, L.; Dong, W.K.; Zhang, H.; Zhang, Y.; Sun, Y.X. Structural variation and luminescence properties of tri- and dinuclear CuII and ZnII complexes constructed from a naphthalenediol-based bis(salamo)-type ligand. Cryst. Growth Des. 2017, 17, 3636–3648. [Google Scholar] [CrossRef]
- Wang, L.; Li, X.Y.; Zhao, Q.; Li, L.H.; Dong, W.K. Fluorescence properties of heterotrinuclear Zn(II)-M(II) (M = Ca, Sr and Ba) bis(salamo)-type complexes. RSC Adv. 2017, 7, 48730–48737. [Google Scholar] [CrossRef]
- Li, X.Y.; Liu, C.; Gao, L.; Sun, Y.X.; Zhang, Y.; Dong, W.K. Syntheses, structures, hirshfeld surface analyses and magnetic properties of a series of homopolynuclear half-salamo-based complexe. Polyhedron 2018, 155, 320–331. [Google Scholar] [CrossRef]
- Hao, J.; Li, L.L.; Zhang, J.T.; Akogun, S.F.; Wang, L.; Dong, W.K. Four homo- and hetero-bismetallic 3d/3d-2s complexes constructed from a naphthalenediol-based acyclic bis(salamo)-type tetraoxime ligand. Polyhedron 2017, 134, 1–10. [Google Scholar] [CrossRef]
- Pu, L.M.; Long, H.T.; Zhang, Y.; Bai, Y.; Dong, W.K. Three new salamo-type homotrinuclear nickel(II) complexes possessing solvent effects: Syntheses, structures and fluorescence properties. Polyhedron 2017, 128, 57–67. [Google Scholar] [CrossRef]
- Tao, C.H.; Ma, J.C.; Zhu, L.C.; Zhang, Y.; Dong, W.K. Heterobimetallic 3d-4f Zn(II)-Ln(III) (Ln = Sm, Eu, Tb and Dy) complexes with a N2O4 bisoxime chelate ligand and a simple auxiliary ligand Py: Syntheses, structures and luminescence properties. Polyhedron 2017, 128, 38–45. [Google Scholar] [CrossRef]
- Gao, L.; Wang, F.; Zhao, Q.; Zhang, Y.; Dong, W.K. Mononuclear Zn(II) and trinuclear Ni(II) complexes derived from a coumarin-containing N2O2 ligand: Syntheses, crystal structures and fluorescence properties. Polyhedron 2018, 139, 7–16. [Google Scholar] [CrossRef]
- Madison, W.I. SAINT-Plus, Bruker Analytical X-ray System; Bruker: Billerica, MA, USA, 1999. [Google Scholar]
- Sheldrick, G.M. SADABS, Program for Empirical Absorption Correction of Area Detector Data; University of Gottingen: Gottingen, Germany, 1996. [Google Scholar]
- Dong, X.Y.; Kang, Q.P.; Jin, B.X.; Dong, W.K. A dinuclear nickel(II) complex derived from an asymmetric salamo-type N2O2 chelate ligand: Synthesis, structure and optical properties. Z. Naturforsch. B 2017, 72, 415–420. [Google Scholar] [CrossRef]
- Wang, P.; Zhao, L. An infinite 2D supramolecular cobalt(II) complex based on an asymmetric salamo-type ligand: Synthesis, crystal structure, and spectral properties. Synth. React. Inorg. Met.-Org. Nano-Met. Chem. 2016, 46, 1095–1101. [Google Scholar] [CrossRef]
- Yang, Y.H.; Hao, J.; Dong, Y.J.; Wang, G.; Dong, W.K. Two znic(II) complexes constructed from a bis(salamo)-type tetraoxime ligand: Syntheses, crystal structures and luminescence properties. Chin. J. Inorg. Chem. 2017, 33, 1280–1292. [Google Scholar]
- Wu, H.L.; Bai, Y.C.; Zhang, Y.H.; Pan, G.L.; Kong, J.; Shi, F.; Wang, X.L. Two lanthanide(III) complexes based on the Schiff base N,N-bis(salicylidene)-1,5-diamino-3-oxapentane: Synthesis, characterization, DNA-binding properties, and antioxidation. Z. Anorg. Allg. Chem. 2014, 640, 2062–2071. [Google Scholar] [CrossRef]
- Song, X.Q.; Liu, P.P.; Liu, Y.A.; Zhou, J.J.; Wang, X.L. Two dodecanuclear heterometallic [Zn6Ln6] clusters constructed by a multidentate salicylamide salen-like ligand: Synthesis, structure, luminescence and magnetic properties. Dalton Trans. 2016, 45, 8154–8163. [Google Scholar] [CrossRef]
- Hu, J.H.; Chen, J.J.; Li, J.B.; Qi, J. A cyanide ion probe based on azosalicylic aldehyde of benzoyl hydrazone. Chin. J. Inorg. Chem. 2014, 30, 2544–2548. [Google Scholar]
- Dong, W.K.; Zheng, S.S.; Zhang, J.T.; Zhang, Y.; Sun, Y.X. Luminescent properties of heterotrinuclear 3d-4f complexes constructed from a naphthalenediol-based acyclic bis(salamo)-type ligand. Spectrochim. Acta A 2017, 184, 141–150. [Google Scholar] [CrossRef]
- Dong, X.Y.; Kang, Q.P.; Li, X.Y.; Ma, J.C.; Dong, W.K. Structurally characterized solvent-induced homotrinuclear cobalt(II) N2O2-donor bisoxime-type complexes. Crystals 2018, 8, 139. [Google Scholar] [CrossRef]
- Spackman, M.A.; McKinnon, J.J.; Jayatilaka, D. Electrostatic potentials mapped on hirshfeld surfaces provide direct insight into intermolecular interactions in crystals. Cryst. Eng. Commun. 2008, 10, 377–388. [Google Scholar] [CrossRef]
© 2019 by the authors. Licensee MDPI, Basel, Switzerland. This article is an open access article distributed under the terms and conditions of the Creative Commons Attribution (CC BY) license (http://creativecommons.org/licenses/by/4.0/).







