Effect of Side Surface Orientation on the Mechanical Properties of Silicon Nanowires: A Molecular Dynamics Study
Abstract
1. Introduction
2. Simulation Method
3. Results and Discussions
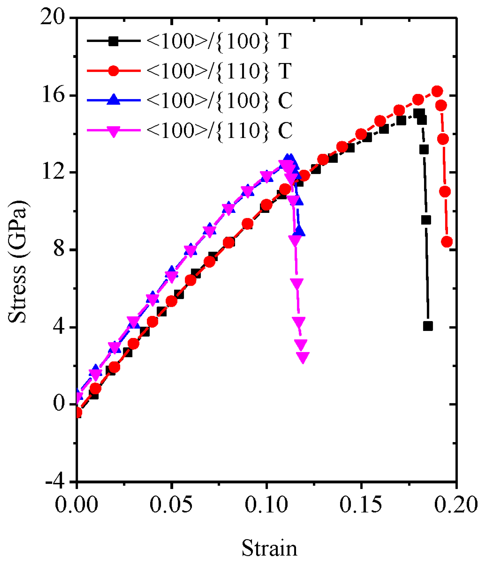
3.1. Stress–Strain Curves
3.2. Tensile Deformation Mechanism
3.3. Compressive Deformation Mechanism
3.4. Tensile/Compressive Strength
4. Conclusions
Author Contributions
Funding
Conflicts of Interest
References
- Holmes, J.D.; Johnston, K.P.; Doty, R.C.; Korgel, B.A. Control of thickness and orientation of solution-grown silicon nanowires. Science 2000, 287, 1471–1473. [Google Scholar] [CrossRef]
- Cui, Y.; Duan, X.; Hu, J.; Lieber, C.M. Doping and electrical transport in silicon nanowires. J. Phys. Chem. B 2000, 104, 5213–5216. [Google Scholar] [CrossRef]
- Boukai, A.I.; Bunimovich, Y.; Tahir-Kheli, J.; Yu, J.-K.; Goddard Iii, W.A.; Heath, J.R. Silicon nanowires as efficient thermoelectric materials. Nature 2008, 451, 168–171. [Google Scholar] [CrossRef] [PubMed]
- He, R.; Yang, P. Giant piezoresistance effect in silicon nanowires. Nat. Nanotechnol. 2006, 1, 42. [Google Scholar] [CrossRef] [PubMed]
- Zhuo, X.R.; Beom, H.G. Atomistic study of the bending properties of silicon nanowires. Comput. Mater. Sci. 2018, 152, 331–336. [Google Scholar] [CrossRef]
- Chan, C.K.; Peng, H.; Liu, G.; McIlwrath, K.; Zhang, X.F.; Huggins, R.A.; Cui, Y. High-performance lithium battery anodes using silicon nanowires. Nat. Nanotechnol. 2008, 3, 31–35. [Google Scholar] [CrossRef] [PubMed]
- Lu, K.-C.; Wu, W.-W.; Wu, H.-W.; Tanner, C.M.; Chang, J.P.; Chen, L.J.; Tu, K. In situ control of atomic-scale Si layer with huge strain in the nanoheterostructure NiSi/Si/NiSi through point contact reaction. Nano Lett. 2007, 7, 2389–2394. [Google Scholar] [CrossRef]
- Kang, K.; Cai, W. Size and temperature effects on the fracture mechanisms of silicon nanowires: Molecular dynamics simulations. Int. J. Plast. 2010, 26, 1387–1401. [Google Scholar] [CrossRef]
- Östlund, F.; Rzepiejewska-Malyska, K.; Leifer, K.; Hale, L.M.; Tang, Y.; Ballarini, R.; Gerberich, W.W.; Michler, J. Brittle-to-ductile transition in uniaxial compression of silicon pillars at room temperature. Adv. Funct. Mater. 2009, 19, 2439–2444. [Google Scholar] [CrossRef]
- Yang, Z.; Lu, Z.; Zhao, Y.-P. Shape effects on the yield stress and deformation of silicon nanowires: A molecular dynamics simulation. J. Appl. Phys. 2009, 106, 023537. [Google Scholar] [CrossRef]
- Ilinov, A.; Kuronen, A. Atomistic modeling of bending properties of oxidized silicon nanowires. J. Appl. Phys. 2014, 115, 104305. [Google Scholar] [CrossRef]
- Jing, Y.; Meng, Q. Molecular dynamics simulations of the mechanical properties of crystalline/amorphous silicon core/shell nanowires. Phys. B Condens. Matter 2010, 405, 2413–2417. [Google Scholar] [CrossRef]
- Jing, Y.; Meng, Q.; Zhao, W. Molecular dynamics simulations of the tensile and melting behaviours of silicon nanowires. Phys. E Low-Dimens. Syst. Nanostruct. 2009, 41, 685–689. [Google Scholar] [CrossRef]
- Zhuo, X.R.; Beom, H.G. Size-dependent torsional deformation of silicon nanowires. Mater. Lett. 2018, 213, 48–50. [Google Scholar] [CrossRef]
- Kamins, T.; Stanley Williams, R.; Basile, D.; Hesjedal, T.; Harris, J. Ti-catalyzed Si nanowires by chemical vapor deposition: Microscopy and growth mechanisms. J. Appl. Phys. 2001, 89, 1008–1016. [Google Scholar] [CrossRef]
- Morales, A.M.; Lieber, C.M. A laser ablation method for the synthesis of crystalline semiconductor nanowires. Science 1998, 279, 208–211. [Google Scholar] [CrossRef] [PubMed]
- Yu, D.; Bai, Z.; Ding, Y.; Hang, Q.; Zhang, H.; Wang, J.; Zou, Y.; Qian, W.; Xiong, G.; Zhou, H. Nanoscale silicon wires synthesized using simple physical evaporation. Appl. Phys. Lett. 1998, 72, 3458–3460. [Google Scholar] [CrossRef]
- Li, C.P.; Lee, C.S.; Ma, X.L.; Wang, N.; Zhang, R.Q.; Lee, S.T. Growth direction and cross-sectional study of silicon nanowires. Adv. Mater. 2003, 15, 607–609. [Google Scholar] [CrossRef]
- Park, H.S.; Gall, K.; Zimmerman, J.A. Deformation of FCC nanowires by twinning and slip. J. Mech. Phys. Solids 2006, 54, 1862–1881. [Google Scholar] [CrossRef]
- Tang, D.-M.; Ren, C.-L.; Wang, M.-S.; Wei, X.; Kawamoto, N.; Liu, C.; Bando, Y.; Mitome, M.; Fukata, N.; Golberg, D. Mechanical properties of Si nanowires as revealed by in situ transmission electron microscopy and molecular dynamics simulations. Nano Lett. 2012, 12, 1898–1904. [Google Scholar] [CrossRef] [PubMed]
- Guénolé, J.; Brochard, S.; Godet, J. Unexpected slip mechanism induced by the reduced dimensions in silicon nanostructures: Atomistic study. Acta Mater. 2011, 59, 7464–7472. [Google Scholar] [CrossRef]
- Guénolé, J.; Godet, J.; Brochard, S. Deformation of silicon nanowires studied by molecular dynamics simulations. Model. Simul. Mater. Sci. Eng. 2011, 19, 074003. [Google Scholar] [CrossRef]
- Zhuo, X.R.; Beom, H.G. Size-dependent fracture properties of cracked silicon nanofilms. Mater. Sci. Eng. A 2015, 636, 470–475. [Google Scholar] [CrossRef]
- Tersoff, J. Empirical interatomic potential for silicon with improved elastic properties. Phys. Rev. B 1988, 38, 9902. [Google Scholar] [CrossRef]
- Tersoff, J. Modeling solid-state chemistry: Interatomic potentials for multicomponent systems. Phys. Rev. B 1989, 39, 5566. [Google Scholar] [CrossRef]
- Bazant, M.Z.; Kaxiras, E.; Justo, J.F. Environment-dependent interatomic potential for bulk silicon. Phys. Rev. B 1997, 56, 8542. [Google Scholar] [CrossRef]
- Baskes, M. Modified embedded-atom potentials for cubic materials and impurities. Phys. Rev. B 1992, 46, 2727. [Google Scholar] [CrossRef]
- Kang, K.; Cai, W. Brittle and ductile fracture of semiconductor nanowires–molecular dynamics simulations. Phil. Mag. 2007, 87, 2169–2189. [Google Scholar] [CrossRef]
- Plimpton, S. Fast parallel algorithms for short-range molecular dynamics. J. Comput. Phys. 1995, 117, 1–19. [Google Scholar] [CrossRef]
- Li, J. AtomEye: An efficient atomistic configuration viewer. Model. Simul. Mater. Sci. Eng. 2003, 11, 173. [Google Scholar] [CrossRef]
- Koh, S.; Lee, H.; Lu, C.; Cheng, Q. Molecular dynamics simulation of a solid platinum nanowire under uniaxial tensile strain: Temperature and strain-rate effects. Phys. Rev. B 2005, 72, 085414. [Google Scholar] [CrossRef]
- Liu, Q.; Shen, S. On the large-strain plasticity of silicon nanowires: Effects of axial orientation and surface. Int. J. Plast. 2012, 38, 146–158. [Google Scholar] [CrossRef]
- Swenson, R.J. Comments on virial theorems for bounded systems. Am. J. Phys. 1983, 51, 940–942. [Google Scholar] [CrossRef]
- Subramaniyan, A.K.; Sun, C. Continuum interpretation of virial stress in molecular simulations. Int. J. Solids Struct. 2008, 45, 4340–4346. [Google Scholar] [CrossRef]
- Jing, Y.; Meng, Q.; Gao, Y. Molecular dynamics simulation on the buckling behavior of silicon nanowires under uniaxial compression. Comput. Mater. Sci. 2009, 45, 321–326. [Google Scholar] [CrossRef]
- Brantley, W. Calculated elastic constants for stress problems associated with semiconductor devices. J. Appl. Phys. 1973, 44, 534–535. [Google Scholar] [CrossRef]
- Wang, Y.-C.; Xie, D.-G.; Ning, X.-H.; Shan, Z.-W. Thermal treatment-induced ductile-to-brittle transition of submicron-sized Si pillars fabricated by focused ion beam. Appl. Phys. Lett. 2015, 106, 081905. [Google Scholar] [CrossRef]
- Kim, H.; Tomar, V. Nanometer to micron scale mechanics of [100] silicon nanowires using atomistic simulations at accelerated time steps. Phys. Status Solidi (A) 2011, 208, 2115–2123. [Google Scholar] [CrossRef]
- Kuo, J.-K.; Huang, P.-H.; Wu, W.-T.; Lu, C.-M. Mechanical and fracture behaviors of defective silicon nanowires: Combined effects of vacancy clusters, temperature, wire size, and shape. Appl. Phys. A 2014, 114, 1247–1256. [Google Scholar] [CrossRef]
- Kizuka, T.; Takatani, Y.; Asaka, K.; Yoshizaki, R. Measurements of the atomistic mechanics of single crystalline silicon wires of nanometer width. Phys. Rev. B 2005, 72, 035333. [Google Scholar] [CrossRef]
- Shimizu, F.; Ogata, S.; Li, J. Theory of shear banding in metallic glasses and molecular dynamics calculations. Mater. Trans. 2007, 48, 2923–2927. [Google Scholar] [CrossRef]
- Steighner, M.; Snedeker, L.; Boyce, B.; Gall, K.; Miller, D.; Muhlstein, C. Dependence on diameter and growth direction of apparent strain to failure of Si nanowires. J. Appl. Phys. 2011, 109, 033503. [Google Scholar] [CrossRef]
- Xu, S.; Su, Y.; Chen, D.; Li, L. An atomistic study of the deformation behavior of tungsten nanowires. Appl. Phys. A 2017, 123, 788. [Google Scholar] [CrossRef]
- Diao, J.; Gall, K.; Dunn, M.L. Yield strength asymmetry in metal nanowires. Nano Lett. 2004, 4, 1863–1867. [Google Scholar] [CrossRef]
- Diao, J.; Gall, K.; Dunn, M.L. Surface-stress-induced phase transformation in metal nanowires. Nat. Mater. 2003, 2, 656. [Google Scholar] [CrossRef] [PubMed]





© 2019 by the authors. Licensee MDPI, Basel, Switzerland. This article is an open access article distributed under the terms and conditions of the Creative Commons Attribution (CC BY) license (http://creativecommons.org/licenses/by/4.0/).
Share and Cite
Zhuo, X.R.; Beom, H.G. Effect of Side Surface Orientation on the Mechanical Properties of Silicon Nanowires: A Molecular Dynamics Study. Crystals 2019, 9, 102. https://doi.org/10.3390/cryst9020102
Zhuo XR, Beom HG. Effect of Side Surface Orientation on the Mechanical Properties of Silicon Nanowires: A Molecular Dynamics Study. Crystals. 2019; 9(2):102. https://doi.org/10.3390/cryst9020102
Chicago/Turabian StyleZhuo, Xiao Ru, and Hyeon Gyu Beom. 2019. "Effect of Side Surface Orientation on the Mechanical Properties of Silicon Nanowires: A Molecular Dynamics Study" Crystals 9, no. 2: 102. https://doi.org/10.3390/cryst9020102
APA StyleZhuo, X. R., & Beom, H. G. (2019). Effect of Side Surface Orientation on the Mechanical Properties of Silicon Nanowires: A Molecular Dynamics Study. Crystals, 9(2), 102. https://doi.org/10.3390/cryst9020102
