Abstract
A high-quality Ba2TiSi2O8 (BTS) single crystal was grown using the Czochralski (Cz) pulling method. The thermal expansion and electro-elastic properties of BTS crystal were studied for high temperature sensor applications. The relative dielectric permittivities and were determined to be 16.3 and 11.8, while the piezoelectric coefficients d15, d31, d33 were found to be 17.8, 2.9, and 4.0 pC/N, respectively. Temperature dependence of electro-elastic properties were investigated, where the variation of elastic compliance (= ) was found to be <6% over temperature range of 20–700 °C. Taking advantage of the anisotropic thermal expansion, linear thermal expansion comparable to insulating alumina ceramic was achieved over temperature range up to 650 °C. The optimum crystal cut with large effective piezoelectric coefficient (>8.5 pC/N) and linear thermal expansion coefficient (8.03 ppm/°C) achieved for BTS crystal along the (47°, φ) direction (φ is arbitrary in 0–360°), together with its good temperature stability up to 650 °C, make BTS crystal a promising candidate for high temperature piezoelectric sensors.
1. Introduction
High temperature piezoelectric sensors operational above 600 °C are in great demand for industries, such as automotive, aerospace and power plants, etc. [1,2,3,4,5]. As the heart of piezoelectric sensors, the piezoelectric materials are usually required to possess the merits of high sensitivity and electrical resistivity, broad temperature usage range and stable piezoelectric sensitivity [6,7,8].
Among the actively studied high-temperature piezoelectric crystals [9,10,11,12,13], Ba2TiSi2O8 (BTS) was found to exhibit no structural phase transition prior to its melting point of 1445 °C and large thickness shear piezoelectric coefficient d15 of 18 pC/N [14,15]. The electrical resistivities ρ11 and ρ33 were found to be 1.9 × 107 and 3.6 × 109 Ω·cm at 600 °C, respectively [15,16], higher than the values of disordered langasite type crystals [17,18], while comparable to the ordered langasite type crystal Al doped Ca3NbGa3Si2O14 [8]. Of particular interest is that the BTS crystal belongs to the tetragonal phase with point group of 4mm, thus possessing three independent piezoelectric coefficients [19], which will benefit the design of optimum piezoelectric crystal cut without piezoelectric cross-talks. All these features indicate the potentials of BTS crystal for high temperature piezoelectric applications.
In addition to the electrical resistivity and piezoelectric properties, the thermal parameter is another important factor for sensor applications. The thermal effect could affect the accuracy and stability of sensors, for example the quartz crystal microbalance devices, the microelectromechanical systems and the piezo-resistance sensors etc. [20,21,22]. For high temperature piezoelectric sensor fabrication, the thermal expansion nonlinearity plays a negative impact on the stability of piezoelectric performance over a broad temperature range, while the mismatch of thermal expansion for different components in a sensor would cause the packaged device failure under thermal cyclic loading [23]. The thermal expansion anomaly of BTS crystal around 180 °C [15,24] will restrict its further implementation at elevated temperatures.
In order to explore the optimum piezoelectric crystal cut for high temperature sensor applications, in this work, high quality BTS single crystals are grown and the electro-elastic properties, together with the thermal expansion behavior, are studied as a function of temperature and crystallographic orientation. The optimum crystal cut with large piezoelectric coefficient and suitable thermal expansion over a broad temperature range is explored.
2. Materials and Methods
2.1. Single Crystal Growth
High-purity raw materials BaCO3 (4N, Alfa Aesar), TiO2 (4N, Alfa Aesar), SiO2 (4N, HWRK CHEM) were used to grow Ba2TiSi2O8 single crystals. An excess of TiO2 (2%) was added to the starting components [16]. The weighted raw materials were put in a plastic jar (no more than 2/3 of the volume) then fix the plastic jar into a mixer (YGJ-5KG, no use of ZrO2 balls) and run for 10 h. The mixed raw materials were then pressed into tablets. The tablets were first calcined at 1000 °C for 12 h and then sintered at 1300 °C for 15 h to achieve the compound following the solid-state reaction process:
2BaCO3 + TiO2 + 2SiO2 = Ba2TiSi2O8 + 2CO2↑
The sintered compound was charged into iridium crucible for crystal growth by Czochralski (Cz) pulling method. The pulling and rotation rates were set to be 0.3–0.6 mm/h and 10–14 rpm, respectively. In order to avoid the crystal crack after growth, the as-grown crystal was cooled down to room temperature at a slow rate of 10–30 °C/h and then annealed at 1300 °C for 24 h.
2.2. Crystal Quality Evaluation
Due to the relatively high content of SiO2 (40 mol% in BTS), the melt solid solution was prone to form amorphous phase during the growth process, thus hard to obtain the high-quality single crystal. For evaluating the crystalline quality, the as-grown BTS crystal was sliced into three square plates with the thickness of 1 mm along the growth direction (Z-axis). The high resolution X-ray diffraction (HRXRD, Bruker-axs D5005, Bruker-axs, Karlsruhe, Germany) tests were performed on the square plates at room temperature.
2.3. Property Characterizations
For the thermal expansion measurement, the rectangular samples with dimension ratio of 3:4:5 (thickness: width: length) were prepared and tested using a thermal dilatometer (Netzsch, model DIL402C Netzsch, Selb, Germany). The heating rate was 5 °C/min over temperature range of 25 °C to 500 °C.
BTS crystal belongs to 4 mm point group, the physical X-, Y- and Z- axes are parallel to the crystallographic directions of [100], [010] and [001], respectively. The BTS crystal has eleven nonzero independent electro-elastic constants, including two relative dielectric permittivities ( and ), six elastic constants ( and ) and three piezoelectric coefficients (d31, d33, and d15).For evaluating the dielectric, elastic and piezoelectric properties of BTS crystal, the crystal cuts with different piezoelectric vibration modes were prepared. Table 1 lists the crystal cuts used for measurements by impedance method and the corresponding material constants. The equations used for parameter evaluation are referred to the IEEE standard on piezoelectricity [25]. In this work, the dielectric permittivities were determined using a multi-frequency LCR meter (HP4263B) (Agilent, Santa Clara, CA, USA), the resonance and anti-resonance frequencies for different vibration modes were measured by using an impedance network analyzer (E4990A) (Keysight, Santa Rosa, CA, USA). All the samples were sputtered with platinum films (200 nm in thickness).
Table 1.
Crystal cuts and corresponding electro-elastic constants for BTS crystal.
The elastic stiffness constants could be extracted from the ultrasonic phase velocity by pulse-echo ultrasonic method, which was performed on two different kinds of rectangular BTS samples. The dimension ratio (t:w:l) of the samples was ranged from 3:4:5 to 4:5:6. For the first crystal cube, the orientations of the thickness, width and length were parallel to the physical X- , Y- and Z-axes, respectively. For another crystal cube, the orientation of the thickness was parallel to the Z-axis, while the orientations of the width and length were 45° deviating from the Y- and X- axes. Based on the measured acoustic velocities along different directions of the samples, the elastic constants were calculated using Equations (1)–(5).
In this study, the electric pulses used to excite the transducer were generated by a Panametrics 200 MHz pulser/receiver (Panametrics, Waltham, MA, USA), and the time of flight between echoes were measured using the Tektronix 460A digital oscilloscope (Tektronix, Beaverton, OH, USA).
3. Results and Discussion
3.1. Crystal Quality and Thermal Expansion Evaluation
The as-grown BTS crystal is transparent and colorless, as shown in the small inset of Figure 1. The crystal quality is characterized using HRXRD, based on the recorded rocking curves of the (200) facet, the full-width half maximum (FWHM) is obtained and found to be 40″–79″, indicating the good structure integrity and crystal quality of the grown BTS crystal. The different FWHM values for different parts in BTS crystal might arise from the segregation of components during the crystal growth process, which affects the crystal quality to an extent, as described in Ref [16]. In addition, the possible glass phase formation [26] in local bulk crystal is deemed another factor affects the crystal quality.
Figure 1.
Rocking curves of the samples prepared from the top, middle and bottom parts of the as-grown Ba2TiSi2O8 crystal.
The thermal expansion behavior of BTS crystal is studied along the physical X- and Z-axes, and the results are presented in Figure 2. It is found that the linear thermal expansion coefficients along the X- and Z- axes are very close (7.96–7.98 ppm/°C) over the temperature range of 25–180 °C. However, a turning point is found at round ~185 °C, above which, the thermal expansion coefficients α11 and α33 show a large discrepancy up to 500 °C, being on the order of 2.3 ppm/°C and 15.0 ppm/ °C, respectively. This phenomenon is attributed to the fact that the bond strength of the Ba-O bonds along the Z-axis is much weaker than those of Si-O and Ti-O bonds lying inside the X-Y plane. In addition, the thermal expansion anomaly around 185 °C is associated with the incommensurate phase transition [24].
Figure 2.
The thermal expansion behavior of BTS crystal.
3.2. The Electro-Elastic Properties
Table 2 lists the measured bulk acoustic wave velocities along different orientations of BTS crystal. The acoustic velocities have taken the average value of the twice tests (written as pulse-echo I and pulse-echo II). The longitudinal velocity along the X’-axis (Vx/x) is found to be the highest, while the transverse velocity propagating along the Z-axis (oscillating along the X-axis) is the lowest, being on the order of 2828 m/s. Based on the measured acoustic velocities, the elastic stiffness constants are calculated. The elastic compliance constants are evaluated based on the resonance and/or anti-resonance frequencies measured by impedance method. Table 3 summarizes the elastic constants obtained by the combination of impedance and pulse-echo methods. It needs to mention that the cannot be obtained directly, which can be indirectly extracted from the effective elastic stiffness constants by solving a coupled Christoffel equation, leading to a relatively large error in the numerical procedure [27]. According to the self-consistency of the elastic constants, the supported values are also listed. It is noticed that the elastic stiffness is higher than the , this may arise from the fact that the Ba-O bonds (parallel to Z-axis) are weaker than the Si-O and Ti-O bonds (inside the flat sheets) [14,15].
Table 2.
The bulk acoustic wave velocities of BTS crystals.
Table 3.
Summary of the elastic constants of BTS.
Table 4 summarizes the relative dielectric permittivity, electromechanical coupling factor and piezoelectric coefficients of BTS crystals. The relative dielectric permittivities , and are determined at 100 kHz and found to be on the order of 16.3 and 11.8, respectively. Figure 3 illustrates the impedance spectra of the crystal cuts of the BTS crystal measured at room temperature (t is sample thickness and l is sample length). From the measured resonance and antiresonance frequencies, the piezoelectric coefficients d15, d31 and d33 are calculated to be on the order of 17.8, 2.9, and 4.0 pC/N, respectively, in good agreement with the reported values [14,15]. The clear resonance and anti-resonance peaks and high phase angle indicate the low dielectric loss of BTS crystals. The dielectric loss at room temperature in air was measured to be ~0.5% at 100 kHz.
Table 4.
Summary of the electro-elastic constants of BTS crystals.
Figure 3.
Impedance spectra and phase angles of BTS crystal cuts. (a) X-plate; (b) Z-bar; (c) ZX-cut; (d) ZXtw30°; (e) ZXtw45°; (f) ZYw45°.
3.3. Temperature Dependence of Electro-Elastic Constants
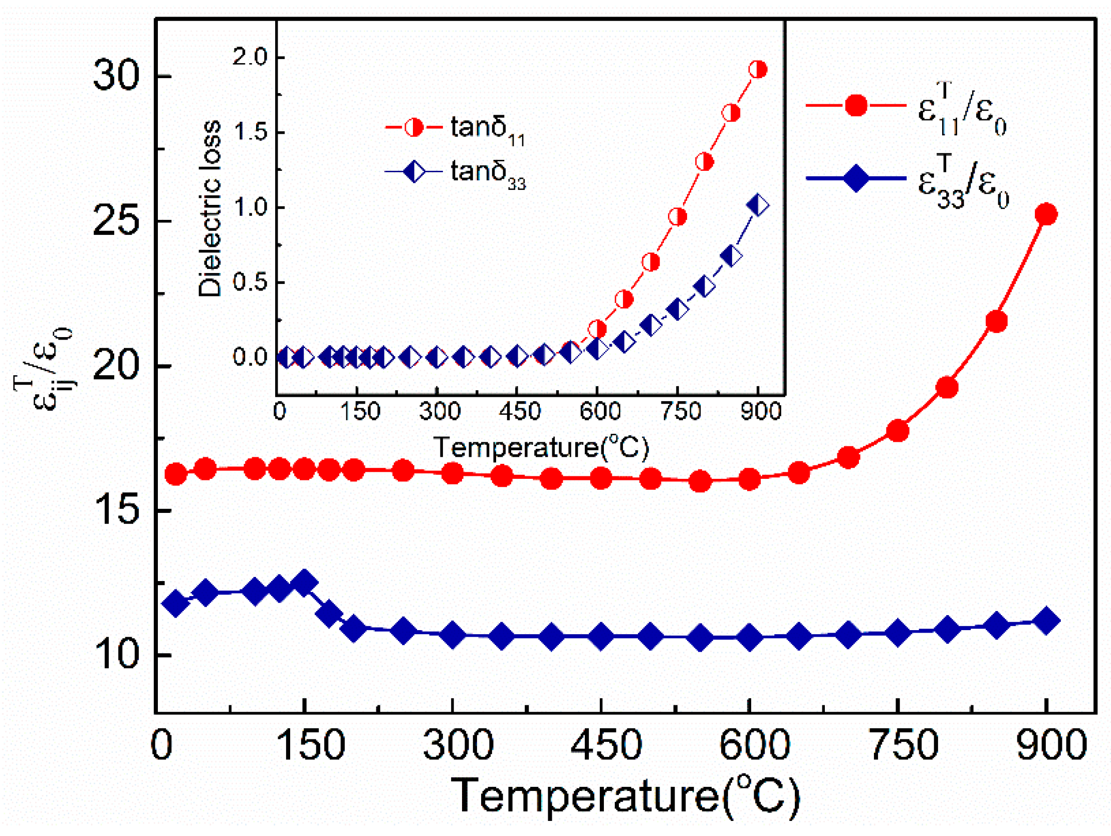
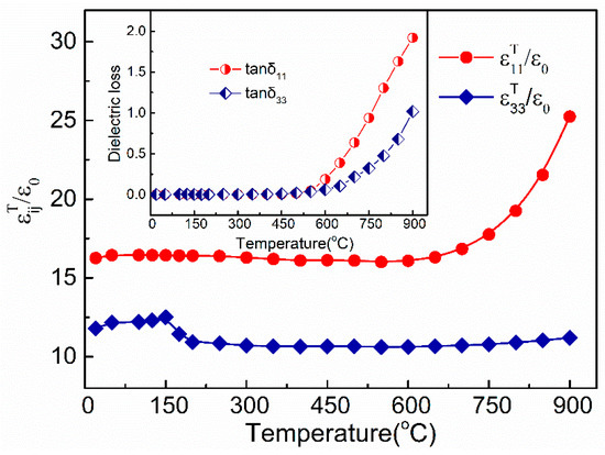
Figure 4 presents the dielectric behaviors along the X- and Z-directions as a function of temperature up to 900 °C. The relative dielectric permittivity is found to maintain the similar values of 16.3–16.0 up to 600 °C, above which, the permittivity is increased rapidly with increasing temperature to 900 °C. On the contrary, the relative dielectric permittivity is found to descend slightly from 11.8 to 11.2, showing minimal variation over the whole temperature range, with the exception of a small anomaly at 150 °C, corresponding to the incommensurate phase transition. The dielectric losses tan and tan (shown in the small inset of Figure 4) are found to maintain low values up to 600 °C, being around 18% and 6%, respectively. Above 600 °C, the dielectric loss increases quickly, due to the increase of ionic conduction in BTS crystal. The relatively low dielectric loss at elevated temperatures is associated with the relatively high electric resistivity along the Z direction [16].
Figure 4.
Dielectric behavior of BTS crystal as a function of temperature.
The temperature dependence of the elastic constants for BTS crystal is investigated over temperature range of 20–700 °C. Results are presented in the Figure 5. The elastic constants , , and are observed to show anomaly near the temperature of 150 °C, which is associated with the incommensurate phase transition [15,24]. The overall variations of the elastic compliance constants (, , and ) are below 6% over the tested temperature range.
Figure 5.
Variation of elastic compliances as a function of temperature.
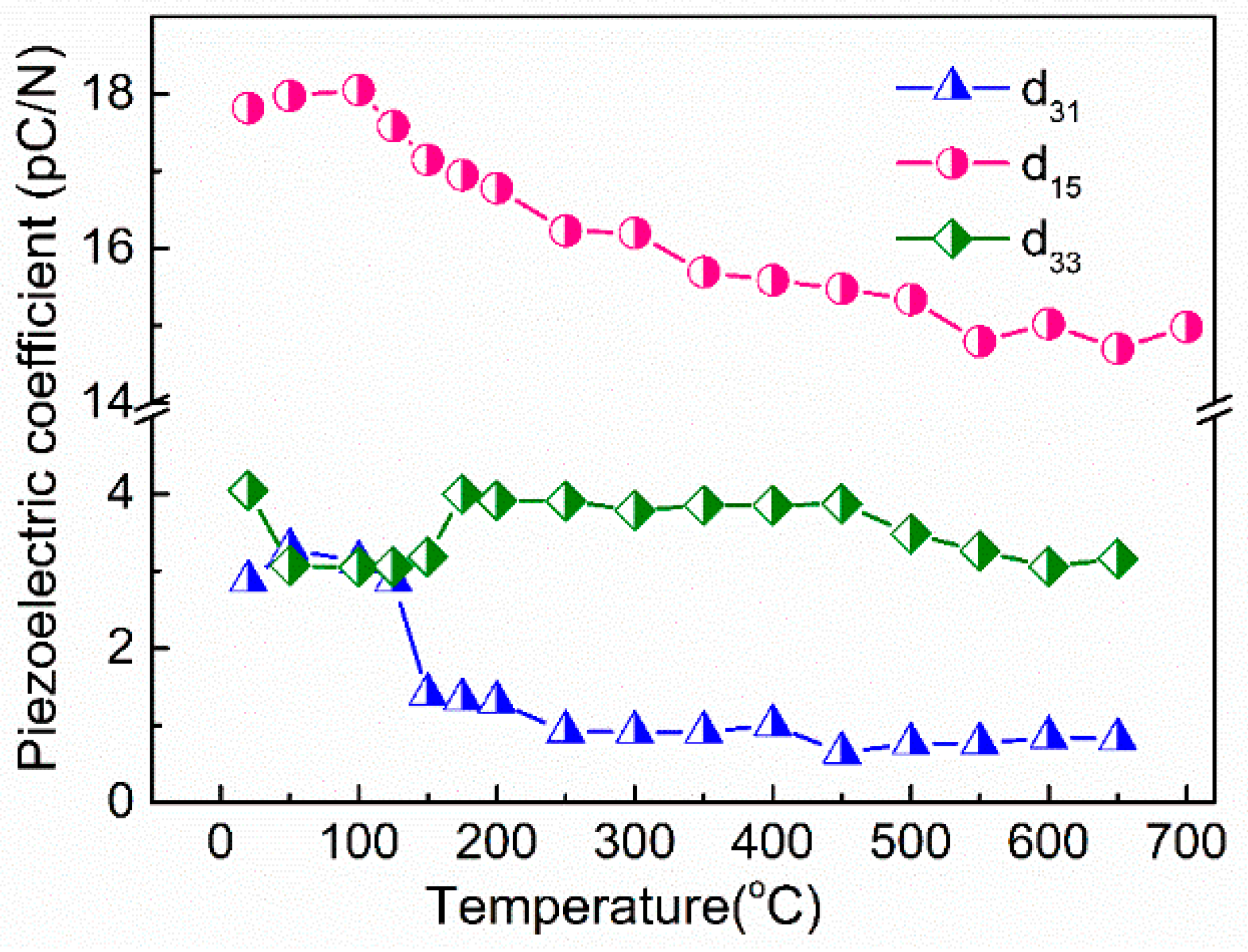
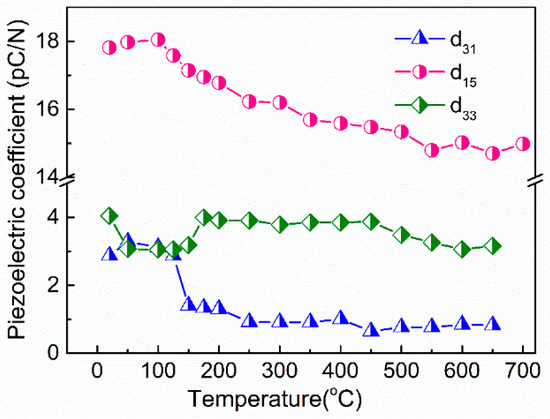
Based on the temperature dependent dielectric permittivity and elastic constants, the piezoelectric coefficients for BTS crystal as a function of temperature are also investigated. Results are presented in Figure 6. As can be observed, all the piezoelectric coefficients d15, d31 and d33 show anomaly in the temperature range of 100–150 °C. The d15 and d31 are found to decrease slightly over the temperature range of 20–700 °C, from 17.8 pC/N and 2.9 pC/N at room temperature to 14.9 pC/N and 0.82 pC/N at 700 °C. The piezoelectric coefficient d33 exhibits a decrease near the incommensurate phase transition temperature, where the overall variation is minimal.
Figure 6.
The temperature dependent behaviors of piezoelectric coefficients.
3.4. Design of The Optimum Piezoelectric Crystal Cut
The figures of merit of piezoelectric crystal for high temperature piezoelectric sensors include, but not limited to, sensitivity, resistivity, temperature stability and usage temperature range. In addition, the crystal cut without piezoelectric cross-talk is also very important to avoid the electric charge interference, while the thermal expansion matching with package component is critical for the robust and reliability of the sensors. Based on the thermal expansion behaviors of BTS crystal discussed in Section 3.1, the thermal expansion anomaly over the entire temperature range could be eliminated by thermal expansion compensation. The anisotropy of thermal expansion over different temperature ranges (a: 25–185 °C; b: 185–500 °C) are studied and results are given in Figure 7a,b, respectively, from which we can find the optimum crystal cuts with the same thermal expansion coefficient. Figure 7c shows the variation of thermal expansion coefficients as a function of spatial orientation. As expected, the linear thermal expansion coefficient is achieved along the direction of 47° deviated from Z-axis, which we can label as direction k and write as (θ, φ), θ is the angle between k and the Z-axis (here θ = 47°), and φ is the angle between the X-axis and projection of k in XY-plane (here φ is arbitrary in the range of 0–360°).
Figure 7.
Thermal expansion ellipsoid for BTS crystal. (a) 25–185 °C; (b) 185–500 °C; (c) 25–500 °C.
For confirmation, the variation of thermal expansion coefficients (in the ranges of 25–185 °C and 185–500 °C) for BTS crystal cut rotated around X-axis in the Z-Y plane were studied. The effective thermal expansion coefficient for crystal cut rotated around X-axis in the Z-Y plane can be expressed by the following equations:
Figure 8 gives the as a function of rotation angle around X-axis, where we can see that the expansion coefficients below and above the incommensurate phase transition temperature of 185 °C merges at ~47°. This result is further experimentally verified by measuring the thermal expansion of (ZXl)-47° crystal cut, of which the thermal expansion coefficient is found to be on the order of 8.03 ppm/°C, very close to the calculated result of 7.98 ppm/°C (small inset of Figure 8). Of particular significance is that the effective thermal expansion coefficient of the (ZXl)-47° crystal cut can match with the alumina ceramic (α = 8.0 ppm/°C) [29], which is generally used for the insulating component in sensor devices, thus guarantee the robust and reliability of the device under thermal cycling condition.
Figure 8.
The relationship between the rotation angle and thermal expansion coefficient.
In addition to the thermal expansion, crystal cut with optimum piezoelectric coefficient is also studied in this work. Figure 9a shows the orientation dependence of the effective piezoelectric coefficient as a function rotation angle around X-axis. After rotation around X-axis for θ angle, the effective piezoelectric coefficient and elastic constant can be calculated according to the following equations:
Figure 9.
Orientation dependence of the piezoelectric coefficient for BTS crystals.
Results show that the highest longitudinal piezoelectric coefficient (±8.7 pC/N) could be achieved in (ZXl)±50°, similar results are also obtained for (ZYl) ±50° crystal cuts. Of particular interest is that high effective piezoelectric coefficient above 8.5 pC/N can be achieved for crystal cut with rotation angle in the range of 45°–55° (Figure 9a). Moreover, it is observed from Figure 9b that the (ZXl)-47° crystal cut not only possess a high piezoelectric coefficient (>8.5 pC/N), but also low shear piezoelectric coefficients d34, d35, and d36, with values approximate to zero, which could significantly reduce the interference from different vibration modes for piezoelectric sensors. It worth to point out that the highest piezoelectric coefficient for BTS crystal can be obtained along the direction of k (θ, φ) (θ = 45°–55°, and φ is an arbitrary angle in the range of 0–360°).
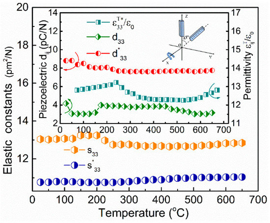
Based on the above anisotropy analysis for the thermal expansion and piezoelectric properties, the elastic and piezoelectric properties of the selected (ZXl)-47° crystal cut, which possesses the linear thermal expansion, are studied. Figure 10 gives the temperature dependent behaviors of the effective piezoelectric coefficient , elastic compliance and relative permittivity for the (ZXl)-47° crystal cut, together with the original d33 and s33 for comparison. It is interesting to find that the anomalies in elastic compliance and piezoelectric coefficient at ~180 °C are eliminated for the (ZXl)-47° crystal cut, whereas the anomaly in is still distinct, with the maximum variation is around 4%. The total variation of effective elastic compliance is < 3% over the tested temperature range. Comparing to the piezoelectric coefficient d33 (the maximum variation is ~28% from room temperature to 650 °C), the effective piezoelectric coefficient for (ZXl)-47° crystal cut (upper inset in Figure 10) exhibits much improved temperature stability, which decreases monotonously from 8.8 at room temperature to 7.7 pC/N at 650 °C.
Figure 10.
Electro-elastic properties as a function of temperature.
4. Conclusions
High quality BTS single crystals were grown by using the Cz method. The thermal expansion and electro-elastic properties were studied as functions of temperature and orientation. Combining the thermal expansion and piezoelectric anisotropic characteristics in BTS crystal, the crystal cuts along the direction of (47°, φ) (φ is arbitrary in 0–360°) was designed and determined to possess linear thermal expansion coefficient α*33 and large piezoelectric coefficient , being on the order of 8.03 ppm/°C and 8.8 pC/N, respectively. Of particular importance is that the linear thermal expansion coefficient of these crystal cuts is matchable with the alumina ceramic, which is insulating component of the sensor device, together with good temperature stability of the effective piezoelectric coefficient up to 650 °C, make BTS crystal a promising candidate for high temperature sensor devices with high reliability and thermal stability.
Author Contributions
Crystal growth, C.J. and F.C.; validation, F.Y., X.Z. and S.Z.; investigation, C.J., F.C., S.T., and X.C.; writing—original draft preparation, C.J.; writing—review and editing, F.Y. and S.Z.; project administration, F.Y. and X.Z.
Acknowledgments
This work is supported by the Primary Research & Development Plan of Shandong Province (2017CXGC0413) and National Natural Science Foundation of China (51872165).
Conflicts of Interest
The authors declare no conflict of interest.
References
- Jiang, X.; Kim, K.; Zhang, S.; Johnson, J.; Salazar, G. High-Temperature Piezoelectric Sensing. Sensors 2014, 14, 144–169. [Google Scholar] [CrossRef]
- Zhang, S.; Yu, F. Piezoelectric Materials for High Temperature Sensors. J. Am. Ceram. Soc. 2011, 94, 3153–3170. [Google Scholar] [CrossRef]
- Fleming, W.J. Overview of automotive sensors. IEEE Sens. J. 2011, 1, 296–308. [Google Scholar] [CrossRef]
- Li, Y.; Jia, Z.; Yin, Y.; Hu, Q.; Mu, W.; Zhang, J.; Yu, X.; Tao, X. Temperature Dependence of the Thermal, Electrical Resistivity, Dielectric and Piezoelectric Properties of CaYAl3O7 Crystal. Crystals 2018, 8, 34. [Google Scholar]
- Zu, H.; Wu, H.; Wang, Q.M. High-temperature piezoelectric crystals for acoustic wave sensor applications. IEEE Trans. Sonics Ultrason. 2016, 63, 486–505. [Google Scholar] [CrossRef]
- Schulz, M.; Sauerwald, J.; Seh, H.; Fritze, H.; Tuller, H.L. Defect chemistry based design of monolithic langasite structures for high temperature sensors. Solid State Ion. 2011, 184, 78–82. [Google Scholar] [CrossRef]
- Hou, S.; Yu, F.; Liu, Y.; Zhang, S.; Lu, Q.; Wang, S.; Zhao, X. Crystal growth and characterization of thulium calcium oxyborate high-temperature piezoelectric crystals. CrystEngComm 2015, 17, 553–560. [Google Scholar] [CrossRef]
- Karaki, T.; Ito, K.; Fujii, T.; Adachi, M.; Ohashi, Y.; Kushibiki, J.I.; Yoshikawa, A. High-temperature electrical resistivity and loss tangent of langasite-family Ca3Nb(Ga,Al)3Si2O14 single crystals. Jpn. J. Appl. Phys. 2018, 57, 11UD04. [Google Scholar] [CrossRef]
- Yu, F.; Zhang, S.; Zhao, X.; Yuan, D.; Wang, Q.; Shrout, T.R. High temperature piezoelectric properties of yttrium calcium oxyborate single crystals. Phys. Status Solidi RRL 2010, 4, 103–105. [Google Scholar] [CrossRef]
- Yu, F.; Zhang, S.; Zhao, X.; Yuan, D.; Wang, Q.; Shrout, T.R. Zero temperature coefficient of frequency crystal cuts in monoclinic NdCa4O(BO3)3 piezoelectric crystals. Phys. Status Solidi RRL 2010, 4, 185–187. [Google Scholar] [CrossRef]
- Fu, X.; Víllora, E.G.; Oshima, Y.; Shimamura, K.; Ohashi, N. Thermal and piezoelectric properties of La3Ta0.5Ga5.1Al0.4O14 (LTGA) for high temperature sensors. J. Alloys Compd. 2015, 647, 1086–1090. [Google Scholar] [CrossRef]
- Yu, I.; Yokota, Y.; Ohashi, Y.; Inoue, K.; Yamaji, A.; Shoji, Y.; Kamada, K.; Kurosawa, S.; Yoshikawa, A. Crystal growth and piezoelectric properties of Ca3Ta(Ga0.9Sc0.1)3Si2O14 bulk single crystal. J. Cryst. Growth 2018, 485, 69–72. [Google Scholar]
- Shen, C.; Zhang, Y.; Yu, H.; Zhang, S.; Cao, W.; Wang, J.; Zhang, H. Dielectric, elastic and piezoelectric properties of SrLaGa3O7 and BaLaGa3O7 crystals with Melilite structure. J. Alloys Compd. 2015, 647, 1069–1074. [Google Scholar] [CrossRef]
- Kimura, M. Elastic and piezoelectric properties of Ba2Si2TiO8. J. Appl. Phys. 1977, 48, 2850–2856. [Google Scholar] [CrossRef]
- Shen, C.; Wang, D.; Zhang, J.; Zhang, H.; Wang, J.; Boughton, R.I. Investigations on the thermal and piezoelectric properties of fresnoite Ba2TiSi2O8 single crystals. J. Appl. Phys. 2014, 116, 044106. [Google Scholar] [CrossRef]
- Cao, S.; Jiang, B.; Zheng, Y.; Tu, X.; Xiong, K.; Gao, P.; Shi, E. The growth and thermal, electrical properties characterization of Ba2TiSi2O8 piezoelectric crystal. J. Cryst. Growth 2016, 451, 207–213. [Google Scholar] [CrossRef]
- Zhang, S.; Kong, H.; Xia, R.; Zheng, Y.; Xin, J.; Shrout, T.R. Growth and high-temperature electromechanical properties of Ca3NbX3Si2O14 (X = Ga and Al) piezoelectric crystals. Solid State Commun. 2010, 150, 435–438. [Google Scholar] [CrossRef]
- Takeda, H.; Yamaura, J.I.; Hoshina, T.; Tsurumi, T. Cation distribution and piezoelectric properties of aluminum substituted La3Ta0.5Ga5.5O14 single crystals. J. Ceram. Soc. Jpn. 2010, 118, 706–710. [Google Scholar] [CrossRef]
- Markgraf, S.A.; Halliyal, A.; Bhalla, A.S.; Newnham, R.E.; Prewitt, C.T. X-ray structure refinement and pyroelectric investigation of fresnoite, Ba2TiSi2O8. Ferroelectrics 1985, 62, 17–26. [Google Scholar] [CrossRef]
- Esmeryan, K.D.; Avramov, I.D.; Radeva, E.I. Temperature behavior of solid polymer film coated quartz crystal microbalance for sensor applications. Sens. Actuators B 2015, 216, 240–246. [Google Scholar] [CrossRef]
- Li, J.; Hu, G.; Zhou, Y.; Zou, C.; Peng, W.; Alam, S.J. Study on temperature and synthetic compensation of piezo-resistive differential pressure sensors by coupled simulated annealing and simplex optimized kernel extreme learning machine. Sensors 2017, 17, 894. [Google Scholar] [CrossRef]
- Ayazi, F.; Tabrizian, R.; Sorenson, L. Compensation, tuning, and trimming of MEMS resonators. In Proceedings of the 2012 IEEE International Frequency Control Symposium, Baltimore, MD, USA, 21–24 May 2012; pp. 1–7. [Google Scholar]
- Zhang, S.; Jiang, X.; Lapsley, M.; Moses, P.; Shrout, T.R. Piezoelectric accelerometers for ultrahigh temperature application. Appl. Phys. Lett. 2010, 96, 013506. [Google Scholar] [CrossRef]
- Markgraf, S.A.; Randall, C.A.; Bhalla, A.S.; Reeder, R.J. Incommensurate phase in Ba2TiSi2O8. Solid State Commun. 1990, 75, 821–824. [Google Scholar] [CrossRef]
- Meitzler, A.H.; Berlincourt, D.; Welsh, F.S.; Tiersten, H.F.; Coquin, G.A.; Warner, A.W. 176-1987—IEEE Standard on Piezoelectricity; IEEE: Piscataway, NJ, USA, 1988. [Google Scholar]
- Wisniewski, W.; Thieme, K.; Rüssel, C. Fresnoite glass-ceramics—A review. Prog. Mater. Sci. 2018, 98, 68–107. [Google Scholar] [CrossRef]
- Zhang, R.; Jiang, W.; Jiang, B.; Cao, W. Elastic, Dielectric and Piezoelctric Coefficients of Domain Engineered 0.70Pb(Mg1/3Nb2/3)O3-0.30PbTiO3 Single Crystal. AIP Conf. Proc. 2002, 626, 188–197. [Google Scholar]
- Haussühl, S.; Eckstein, J.; Recker, K.; Wallrafen, F. Growth and Physical Properties of Fresnoite Ba2TiSi2O8. J. Cryst. Growth 1977, 40, 200–204. [Google Scholar] [CrossRef]
- Cao, X.Q.; Vassen, R.; Stoever, D. Ceramic materials for thermal barrier coatings. J. Eur. Ceram. Soc. 2004, 24, 1–10. [Google Scholar] [CrossRef]
© 2018 by the authors. Licensee MDPI, Basel, Switzerland. This article is an open access article distributed under the terms and conditions of the Creative Commons Attribution (CC BY) license (http://creativecommons.org/licenses/by/4.0/).









