Abstract
The synthesis and characterization of a novel triazine anion pentafluoroosmium(VI) complex are presented. The single crystal determination of the title compound (hereafter denoted 1) was carried out at −140 °C. Compound 1, C3F4N3OsF5, crystallizes in the monoclinic space group, P21/n, with unit cell dimensions: a = 8.6809(17) Å, b = 7.6848(15) Å, c = 12.415(3) Å, β = 102.633(4)°, V = 808.2(3) Å3, and Z = 4. Synthesis, characterization, X-ray diffraction study along with the crystal supramolecular analysis of the title complex were carried out. The complex contains the anionic triazine unit C3N3F4− acting as a mono dentate ligand to osmium(VI) with five fluoro ligands in a slightly distorted octahedral geometry around osmium(VI) ion (osmium is denoted as Os). The C3N3F4−, triazine anion ring deviates from planarity, only with the C1 being tetrahedral. The crystal lattice of the title compound displays significant intermolecular X···X interactions, namly F···F, F···N and F···C. All types of X···X bonding consolidate to form a three-dimensional network.
1. Introduction
The employment of osmium(VI) fluoride/antimony(V) fluoride (OsF6/SbF5) as a powerful oxidizing agent to break the aromaticity of benzene to form radical benzene cations was established some time ago [1]. This distorted radical cation was characterized using X-ray structural analysis [1]. However, the isolation of the benzene radical cation is a challenge. Seppelt and co-workers obtained the compoundsC6F6+Os2F11− and C6F6+Sb2F11− [1,2]. The synthesis and crystal structure of other substituted benzene cations such as aniline radical cation [3] and radical cation of monocyclic arenes [4,5] have also been reported. Further research was directed toward the formation of stable radicals for several organic systems [6,7,8,9]. On the other hand, fluorine-containing compounds are important for life and material sciences [10,11,12]. Fluorine is comparable to hydrogen atom in size but, possesses different physical and chemical properties, and capable of forming strong halogen bonds [13,14,15,16,17,18,19]. The latter can be of different motifs, such as F···F, F···N, and F···C intermolecular interactions.
In an attempt to use other aromatic species in a manner similar to benzene, we encountered the 2,4,6-trifluoro-1,3,5-triazene ligand (Figure 1). It was expected that this system would proceed easily to form a radical cation compared to benzene, but a pentafluoroosmium(VI)-complex containing C3N3F4− ligand was detected instead. In this report, we are disclosing the successful synthesis, single crystal X-ray diffraction and crystal supramolecularity of this system.
Figure 1.
The chemical structure of 2,4,6-trifluoro-1,3,5-triazene ligand.
2. Materials and Methods
The compound is unstable at room temperature and sensitive to moisture. Therefore, IR and UV spectra could not be recorded. Raman spectra showed strong fluorescence in all cases. Yield could only be estimated by the amount of colored crystalline material, often in mixtures of colorless crystals, which were possibly a starting material.
Caution: Handling SbF5 and OsF6 requires eye and skin protection.
The following reagents were purchased from the indicated vendor: C3N3F3, SbF5, NH4F (E. Merck), CF3COOH (Merck Schuchardt). The triazine was checked by NMR spectroscopy for purity. The solvent sulfuryl fluoride chloride (SO2ClF) was prepared by treating a mixture of thionyl chloride (SO2Cl2) and ammonium fluoride (NH4F) with trifluoroacetic acid (CF3COOH) [20]. SbF5 was vacuum distilled twice using a glass vacuum line with a −30 °C trap. The resulting liquid was clear, colorless, and highly viscous. The compound OsF6 was obtained via a reaction of Os powder and F2 in Monel autoclaves at 300 °C [21]. Reagents and starting materials must be highly pure since contaminants are oxidized preferentially. Reactions were performed in PFA (Poly perfluorovinylether tetrafluoroethylene copolymer) tubes; volatile materials (anhydrous SO2ClF, OsF6) were handled in a stainless-steel vacuum line.
OsF6 (100 mg) and SO2ClF (2 mL) were condensed in a PFA tube containing SbF5 (50 mg). The mixture was allowed to warm to 0 °C to ensure a homogenous mixture. The mixture was cooled again with the aid of liquid nitrogen. C3N3F3 (100 mg) was condensed into the cooled mixture. The mixture was then allowed to warm very slowly to −30 °C, affording a yellow clear solution. At −30 °C, the excess C3N3F3 and other volatiles were removed under vacuum. After that, SO2ClF (2 mL) was condensed in a PFA tube. Recrystallization from −30 °C to −78 °C afforded yellow crystals. Care must be taken to ensure that the temperature never exceeds −30 °C throughout the entire procedure.
Single crystal for X-ray diffraction was performed on a Bruker-AXS, D8 venture, photon detector, tube: incotec microfokus (Mo Kα radiation, Bruker, Germany) under oxygen- and moisture-free conditions at temperatures below −100 °C using a special device of local design [22]. All data collections were performed at −140 °C. After semiempirical absorption corrections, the structure was solved by direct methods and refined using the program SHELXTL [23,24]. Non-hydrogen atoms were refined anisotropically; H atoms were refined isotropically. Relevant data collection and refinement parameters are listed in Table 1.
Table 1.
X-ray structure experimental details.
Crystallographic data in cif format have been deposited with the Cambridge Crystallographic Data Center (CCDC 1508189). Copies of the data can be obtained free of charge from The Director, CCDC, 12 Union Road, Cambridge, CB2 1EZ, UK, fax: +44 1223 366033, email: deposit@ccdc.cam.ac.uk or on the web at http://www.ccdc.cam.ac.uk.
3. Results and Discussion
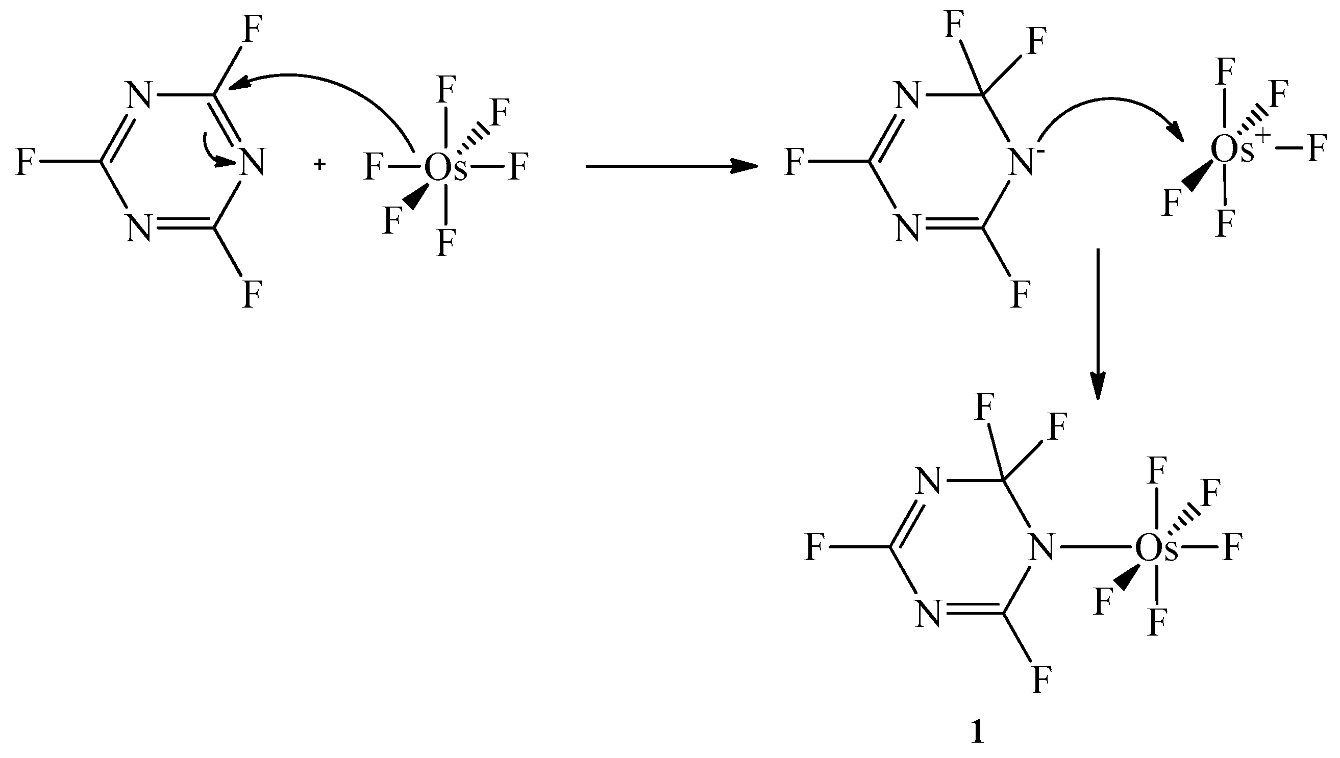
3.1. Synthesis of 1
The complex 1 was prepared as outlined in Scheme 1. The proposed complex formation mechanism involves the addition of a fluoride ion to a carbon center of C3N3F3, forming a C3N3F4− anion, which in turn acts as a mono-dentate ligand to the metal center.
Scheme 1.
Proposed stepwise formation of 1.
The formation of the triazine anion was reported previously (Scheme 2) from the reaction of CsF and C3N3F3 without a sufficient characterization [25]. Kingston et al. [26] reported the synthesis of the same anion using a different strategy, and the product was characterized spectroscopically and by X-ray structural analysis. Therefore, our method represents a new strategy for the formation of this anion which forms the foundation for the synthesis of other anionic triazine species.
Scheme 2.
Reported methods for the preparation of C3N3F4−. Reaction 1, Reference [25]; reaction 2, Reference [26].
3.2. Molecular Structure
The asymmetric unit in 1 contains one independent complex (Figure 2). The molecular complex has octahedral geometry around an osmium atom. The unique M–F distances are 1.8638(17)–1.8696(17) Å, while the linear and perpendicular F–Os–F angles are in the ranges of 179.25(8)–178.68(7) and 87.78(8)–91.55(8)° (Table 2). These bond distances and angles are within the reported values of M–F-containing compounds [2,27,28]. The C3/N3 part of the C3N3F4− ring is planar, only with the C1 atom being tetrahedral. The C–N distances in the ranges of 1.305(4)–1.320(4) and 1.445(4)–1.422(4) are consistent with the bonds between double C=N and single C–N bonds, indicating a delocalization of charge in the ring consistent with the anion geometry. This is best described by the resonance shown in Figure 3. These C–N bond distances and angles are slightly different compared to those of the free anionic C3N3F4− [26]. The difference in some distances of C–N and C–F bonds, shown in Table 2, might be attributed to the fact that the reported anion [26] is a free anion crystallized with another counter cation which allows the complete delocalization of the charge over the anion, while the anion in the title compound is bonded through one N atom with Os(VI) and consequently affects the delocalization of the charge over the anion. This is also evident by the different planarity of the reported anion C3N3F4− ring as compared to the bonded one (this work). The C–F bond distances are different depending on the center to which they bonded. Those bonded to the tetrahedral C1 are longer than those bonded to the planar sp2 carbons (C2 and C3; Table 2). This fact makes this anion susceptible to selective substitution (weak C1–F bonds), and this has been used to synthesize the substituted triazine anions [26].
Figure 2.
Molecular geometry of complex 1 with atom labeling scheme. Atoms drawn at the 50% probability level.
Table 2.
Selected bond lengths (Å), bond and angles (°) in 1.
Figure 3.
Charge delocalization in C3N3F4− anion.
3.3. Crystal Packing
The crystal packing involves extensive halogen···halogen interactions. These interactions assemble the molecular complexes into a supramolecular three-dimensional lattice [29], as shown in Figure 4, via F···F, F···N, and F···C intermolecular interactions (Table 3). The F···F (Figure 5a), F···N (Figure 5b), and F···C (Figure 5c) interactions are in the ranges of 2.834–2.887, 2.771–2.970, and 2.770–2.771 Å, respectively.
Figure 4.
F···F, F···N, and F···C interactions (depicted as dotted and dashed lines) assemble the molecular complexes into a supramolecular three-dimensional network.
Table 3.
Halogen bond geometry (Å, °).

Figure 5.
Intermolecular interaction: (a) F···F; (b) F···N; (c) F···C in complex 1.
4. Conclusions
The complex, C3F4N3OsF5, was obtained unexpectedly from the reaction mixture of OsF6, SO2ClF, SbF5 and C3N3F3. The structure of the title compound was determined by single x-ray diffraction analysis. The complex composed of a monodentate triazine anion (C3N3F4−) bonded to pentafluoroosmium(VI) cation in an octahedral geometry. The crystal lattice displays many intermolecular interactions, F···F, F···N and F···C, leading to three dimensional structure.
Acknowledgments
Monther A. Khanfar thanks the Deutsche Forschungsgemeinschaft (DFG) for a stipend (Ref: SE 293/42-1).
Author Contributions
Monther A. Khanfar and Hashem Shorafa conceived and designed the experiments; Monther A. Khanfar performed the syntheses and prepared the single-crystal samples; Konrad Seppelt performed single-crystal analysis, Basem F. Ali helped in the data analysis; Basem F. Ali and Monther A. Khanfar wrote the paper.
Conflicts of Interest
The authors declare no conflict of interest.
References
- Khanfar, M.A.; Seppelt, K. Fluorinated benzene cations. J. Fluor. Chem. 2015, 179, 193–197. [Google Scholar] [CrossRef]
- Shorafa, H.; Mollenhauer, D.; Paulus, B.; Seppelt, K. The two structures of the hexafluorobenzene radical cation C6F6+. Angew. Chem. Int. Ed. 2009, 48, 5845–5847. [Google Scholar] [CrossRef] [PubMed]
- Chen, X.; Wang, X.; Sui, Y.; Li, Y.; Ma, J.; Zuo, J.; Wang, X. Synthesis, characterization, and structures of a persistent aniline radical cation. Angew. Chem. Int. Ed. 2012, 51, 11878–11881. [Google Scholar] [CrossRef] [PubMed]
- Marchetti, F.; Pinzino, C.; Zacchini, S.; Pampaloni, G. Long-Lived radical cations of monocyclic arenes at room temperature obtained by nbf5 acting as an oxidizing agent and counterion precursor. Angew. Chem. Int. Ed. 2010, 49, 5268–5272. [Google Scholar] [CrossRef] [PubMed]
- Marchetti, F.; Pampaloni, G.; Pinzino, C. Room-temperature long-lived [Nb2F11]− salts of radical cations of simple arenes: EPR, UV–Vis and DFT results. J. Organomet. Chem. 2011, 696, 1294–1300. [Google Scholar] [CrossRef]
- Mallow, O.; Khanfar, M.A.; Malischewski, M.; Finke, P.; Hesse, M.; Lork, E.; Augenstein, T.; Breher, F.; Harmer, J.R.; Vasilieva, N.V. Diaryldichalcogenide radical cations. Chem. Sci. 2015, 6, 497–504. [Google Scholar] [CrossRef] [PubMed]
- Tjahjanto, R.T.; Peintinger, M.F.; Bredow, T.; Beck, J. The Reactions of Thianthrene and selenanthrene with alcl3: coordination complexes, radical ions, and investigations on the unique triple-decker molecule (Thianthrene)32+. Eur. J. Inorg. Chem. 2012, 3625–3635. [Google Scholar] [CrossRef]
- Poleschner, H.; Seppelt, K. XeF2/Fluoride acceptors as versatile one-electron oxidants. Angew. Chem. Int. Ed. 2013, 52, 12838–12842. [Google Scholar] [CrossRef] [PubMed]
- Spurg, A.; Schnakenburg, G.; Waldvogel, S.R. Oxidative coupling of diaryldisulfides by MoCl5 to thianthrenes. Chem. Eur. J. 2009, 15, 13313–13317. [Google Scholar] [CrossRef] [PubMed]
- Berger, R.; Resnati, G.; Metrangolo, P.; Weber, E.; Hulliger, J. Organic fluorine compounds: A great opportunity for enhanced materials properties. Chem. Soc. Rev. 2011, 40, 3496–3508. [Google Scholar] [CrossRef] [PubMed]
- Merkel, L.; Budisa, N. Organic fluorine as a polypeptide building element: In vivo expression of fluorinated peptides, proteins and proteomes. Org. Biomol. Chem. 2012, 10, 7241–7261. [Google Scholar] [CrossRef] [PubMed]
- Vincent, J.-M. Recent advances of fluorous chemistry in material sciences. Chem. Commun. 2012, 48, 11382–11391. [Google Scholar] [CrossRef] [PubMed]
- Wang, C.; Danovich, D.; Mo, Y.; Shaik, S. On the nature of the halogen bond. J. Chem. Theory Comput. 2014, 10, 3726–3737. [Google Scholar] [CrossRef] [PubMed]
- Mukherjee, A.; Tothadi, S.; Desiraju, G.R. halogen bonds in crystal engineering: like hydrogen bonds yet different. Acc. Chem. Res. 2014, 47, 2514–2524. [Google Scholar] [CrossRef] [PubMed]
- Rybalova, T.; Bagryanskaya, I.Y. C–F···π, F···H, and F···F intermolecular interactions and F-Aggregation: Role in crystal engineering of fluoroorganic compounds. J. Struct. Chem. 2009, 50, 741–753. [Google Scholar] [CrossRef]
- Osuna, R.M.; Hernández, V.; Navarrete, J.T.L.; D’Oria, E.; Novoa, J.J. Theoretical evaluation of the nature and strength of the F···F intermolecular interactions present in fluorinated hydrocarbons. Theor. Chem. Acc. 2010, 128, 541–553. [Google Scholar] [CrossRef]
- Espallargas, G.M.; Brammer, L.; Sherwood, P. Designing intermolecular interactions between halogenated peripheries of inorganic and organic molecules: electrostatically directed M–X···X′–C halogen bonds. Angew. Chem. Int. Ed. 2006, 45, 435–440. [Google Scholar] [CrossRef] [PubMed]
- Espallargas, G.M.; Zordan, F.; Marín, A.L.; Adams, H.; Shankland, K.; van de Streek, J.; Brammer, L. Rational modification of the hierarchy of intermolecular interactions in molecular crystal structures by using tunable halogen bonds. Chem. Eur. J. 2009, 15, 7554–7568. [Google Scholar] [CrossRef] [PubMed]
- Bui, T.T.T.; Dahaoui, S.; Lecomte, C.; Desiraju, G.R.; Espinosa, E. The Nature of Halogen···Halogen interactions: A model derived from experimental charge-density analysis. Angew. Chem. Int. Ed. 2009, 48, 3838–3841. [Google Scholar] [CrossRef] [PubMed]
- Reddy, V.P.; Bellew, D.R.; Prakash, G.K.S. A convenient preparation of sulfuryl chloride fluoride. J. Fluor. Chem. 1992, 56, 195–197. [Google Scholar] [CrossRef]
- Drews, T.; Supeł, J.; Hagenbach, A.; Seppelt, K. Solid state molecular structures of transition metal hexafluorides. Inorg. Chem. 2006, 45, 3782–3788. [Google Scholar] [CrossRef] [PubMed]
- Veith, M.; Bärnighausen, H. Die Kristall- und Molekülstruktur von Bis(trimethylsilyl)diimin. Acta Cryst. 1974, 30, 1806–1813. [Google Scholar] [CrossRef]
- Sheldrich, G.M. A short history of SHELX. Acta Cryst. 2008, 64, 112–122. [Google Scholar] [CrossRef] [PubMed]
- Sheldrich, G.M. Crystal structure refinement with SHELXL. Acta Cryst. 2015, 71, 3–8. [Google Scholar]
- Chambers, R.D.; Philpot, P.D.; Russell, P.L. Reactions involving fluoride ion. Part 14. Anionic σ-complexes from polyfluorinated s-triazines. J. Chem. Soc. Perkin Trans. 1977, 1, 1605–1608. [Google Scholar] [CrossRef]
- Kingston, M.; Chen, S.-J.; Lork, E.; Mews, R. Anionic triazine systems. Dalton Trans. 2004, 9, 1400–1404. [Google Scholar] [CrossRef] [PubMed]
- Seppelt, K. Molecular Hexafluorides. Chem. Rev. 2015, 115, 1296–1306. [Google Scholar] [CrossRef] [PubMed]
- Craciun, R.; Picone, D.; Long, R.T.; Li, S.; Dixon, D.A.; Peterson, K.A.; Christe, K.O. Third row transition metal hexafluorides, extraordinary oxidizers, and lewis acids: electron affinities, fluoride affinities, and heats of formation of WF6, ReF6, OsF6, IrF6, PtF6, and AuF6. Inorg. Chem. 2010, 49, 1056–1070. [Google Scholar] [CrossRef] [PubMed]
- Martínez Casado, F.J.; Ramos Riesco, M.; Redondo, M.I.; Choquesillo-Lazarte, D.; López-Andrés, S.; Rodríguez Cheda, J.A. Anhydrous lithium acetate polymorphs and its hydrates: Three-dimensional coordination polymers. Cryst. Growth Des. 2011, 11, 1021–1032. [Google Scholar] [CrossRef]
© 2018 by the authors. Licensee MDPI, Basel, Switzerland. This article is an open access article distributed under the terms and conditions of the Creative Commons Attribution (CC BY) license (http://creativecommons.org/licenses/by/4.0/).







