Theoretical Analysis of SAW Propagation in 3C-SiC/c-AlN
Abstract
:1. Introduction
2. BAW and SAW Propagation in 3C-SiC
2.1. The (001) Plane of 3C-SiC
2.2. The (111) Plane of 3C-SiC
2.3. The (110) Plane of 3C-SiC
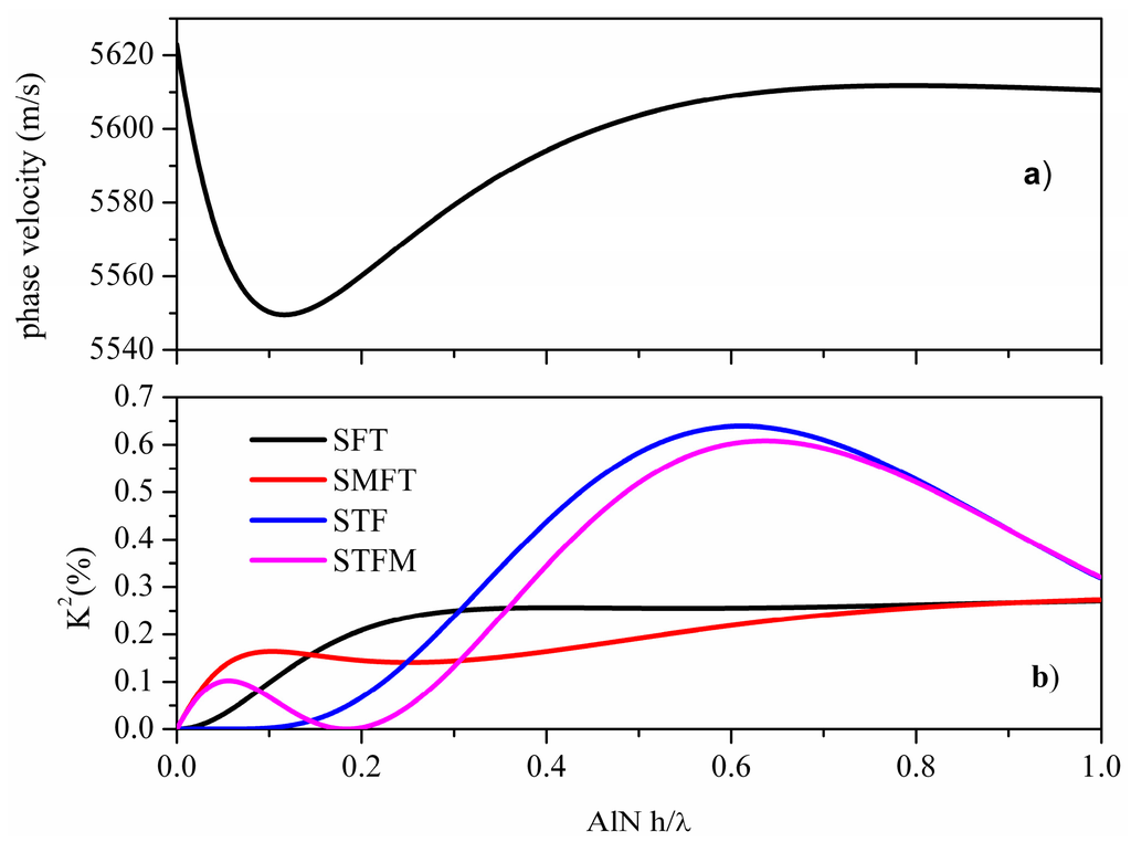
3. Acoustic Wave Propagation in 3C-SiC/c-AlN
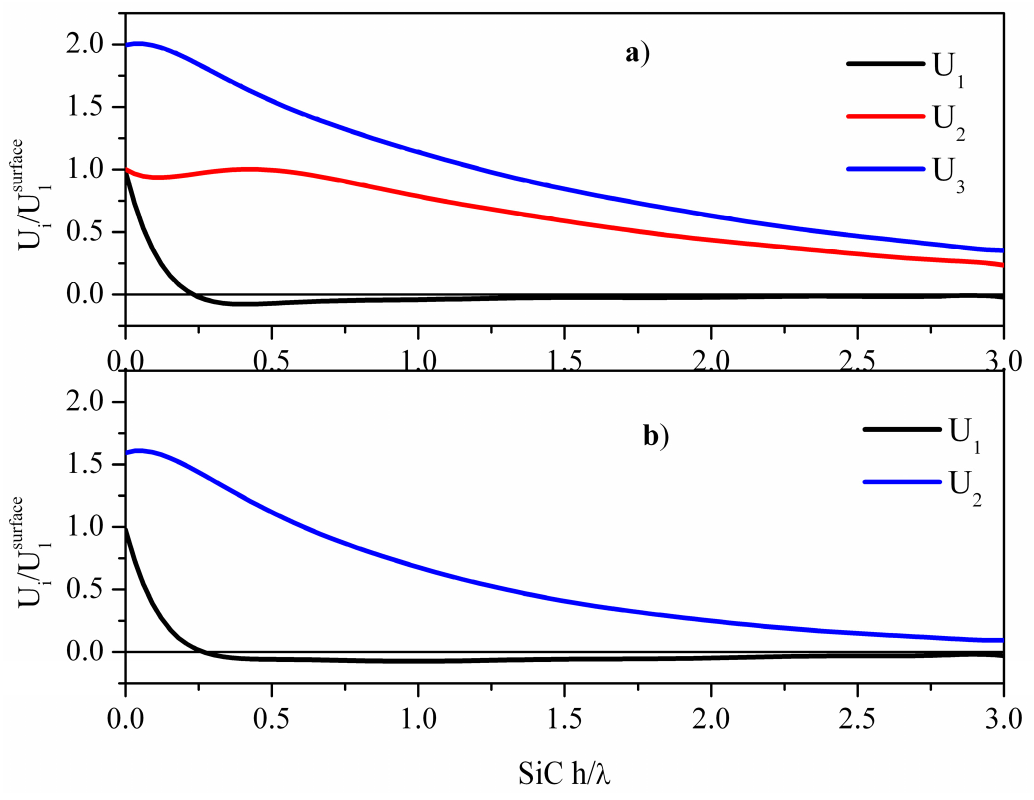
3.1. Surface Acoustic Waves in 3C-SiC(001)/c-AlN
3.2. Surface Acoustic Waves in 3C-SiC(111)/c-AlN
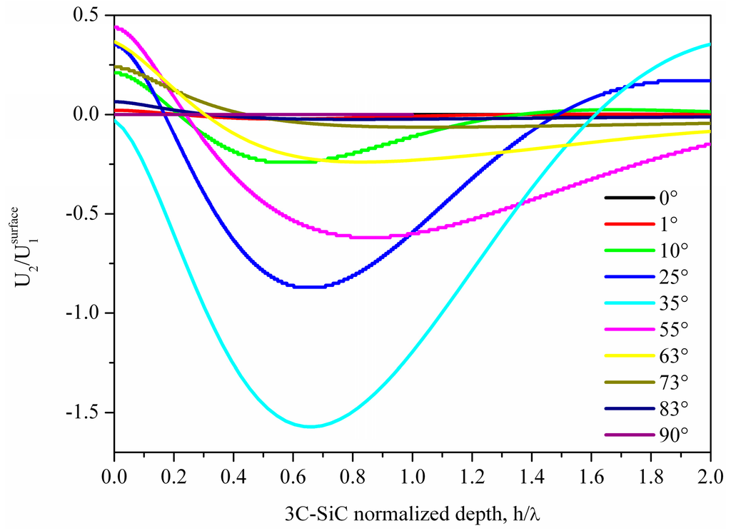
3.3. Surface Acoustic Waves in 3C-SiC(110)/c-AlN
4. Conclusions
Acknowledgments
Conflicts of Interest
References
- Chung, G.-S.; Jeong, J.-M. Fabrication of micro heaters on polycrystalline 3C-SiC suspended membranes for gas sensors and their characteristics. Microelectron. Eng. 2010, 87, 2348–2352. [Google Scholar] [CrossRef]
- Doppalapudi, D.; Mlcak, R.; Chan, J.; Tuller, H.; Bhattacharya, A.; Moustakas, T. MBE Grown AlN Films on SiC for Piezoelectric MEMS Sensors. In Proceedings of the MRS Symposium Y—GaN and Related Alloys, Boston, MA, USA, 1–5 December 2003; pp. 403–408.
- Lin, C.; Chen, Y.; Felmetsger, V.V.; Lien, W.; Riekkinen, T.; Senesky, D.G.; Pisano, A.P. Surface acoustic wave devices on AlN/3C–SiC/Si multilayer structures. J. Micromech. Microeng. 2013, 23, 025019. [Google Scholar] [CrossRef]
- Lin, C.; Chen, Y.; Pisano, A.P. Theoretical investigation of Lamb wave characteristics in AlN/3C–SiC composite membranes. Appl. Phys. Lett. 2010, 97, 193506. [Google Scholar] [CrossRef]
- Caliendo, C. Theoretical investigation of Lamb wave A0 mode in thin SiC/AlN membranes for sensing application in liquid media. Sens. Actuators B Chem. 2013, 179, 287–292. [Google Scholar] [CrossRef]
- Liu, F.; Carraro, C.; Chu, J.; Maboudian, R. Residual stress characterization of polycrystalline 3C-SiC films on Si(100) deposited, from methylsilane. J. Appl. Phys. 2009, 106, 013505. [Google Scholar] [CrossRef]
- Roper, C.S.; Howe, R.T.; Maboudian, R. Stress control of polycrystalline 3C-SiC films in a large-scale LPCVD reactor using 1,3-disilabutane and dichlorosilane as precursors. J. Micromech.Microeng. 2006, 16, 2736–2739. [Google Scholar] [CrossRef]
- Lin, C.; Lien, W.; Felmetsger, V.V.; Hopcroft, M.A.; Senesky, D.G.; Pisano, A.P. AlN thin films grown on epitaxial 3C–SiC (100) for piezoelectric resonant devices. Appl. Phys. Lett. 2010, 97, 141907. [Google Scholar] [CrossRef]
- Lin, C.; Chen, Y.; Felmetsger, V.; Senesky, D.; Pisano, A. AlN/3C-SiC composite plate enabling high frequency and high Q micromechanical resonators. Adv. Mater. 2012, 24, 2722–2727. [Google Scholar] [CrossRef] [PubMed]
- Caliendo, C. Theoretical investigation of high velocity, temperature compensated Rayleigh waves along AlN/SiC substrates for high sensitivity mass sensors. Appl. Phys. Lett. 2012, 100, 021905. [Google Scholar] [CrossRef]
- Adler, E.L. SAW and pseudo-SAW properties using matrix methods. IEEE Trans. Ultrason. Ferroelect. Freq. Control 1994, 41, 699–705. [Google Scholar] [CrossRef] [PubMed]
- Farnell, G.W. Properties of elastic surface waves. In Physical Acoustics, Principles and Methods; Mason, W.P., Thurston, R.N., Eds.; Academic Press: New York, NY, USA, 1970; Volume VI, Chapter 4; p. 121. [Google Scholar]
- Levinshtein, M.E.; Rumyantsev, S.L.; Shur, M.S. Properties of Advanced Semiconductor Materials: GaN, AIN, InN, BN, SiC, SiGe; Wiley: New York, NY, USA, 2001. [Google Scholar]
- Collins, J.H.; Gerard, H.M.; Shaw, H.J. High performance lithium niobate acoustic surface wave transducers and delay lines. Appl. Phys. Lett. 1968, 13, 312–313. [Google Scholar] [CrossRef]
- Ingebrigtsen, K.A. Surface waves in piezoelectrics. J. Appl. Phys. 1969, 40, 2681–2686. [Google Scholar] [CrossRef]
- Tsubuochi, K.; Sugai, K.; Mikoshiba, N. AlN Material Constants Evaluation and SAW Properties on AlN/Al2O3 and AlN/Si. In Proceedings of the IEEE Ultrasonics Symposium, Chicago, IL, USA, 14–16 October 1981; pp. 375–380.
- Hellwege, K.-H.; Hellwege, A.M. Landolt-Börnstein, Numerical Data and Functional Relationships in Science and Technology, New Series, Group III; Springer: Berlin, Germany, 1979. [Google Scholar]

















© 2016 by the author; licensee MDPI, Basel, Switzerland. This article is an open access article distributed under the terms and conditions of the Creative Commons by Attribution (CC-BY) license (http://creativecommons.org/licenses/by/4.0/).
Share and Cite
Caliendo, C. Theoretical Analysis of SAW Propagation in 3C-SiC/c-AlN. Crystals 2016, 6, 25. https://doi.org/10.3390/cryst6030025
Caliendo C. Theoretical Analysis of SAW Propagation in 3C-SiC/c-AlN. Crystals. 2016; 6(3):25. https://doi.org/10.3390/cryst6030025
Chicago/Turabian StyleCaliendo, Cinzia. 2016. "Theoretical Analysis of SAW Propagation in 3C-SiC/c-AlN" Crystals 6, no. 3: 25. https://doi.org/10.3390/cryst6030025
APA StyleCaliendo, C. (2016). Theoretical Analysis of SAW Propagation in 3C-SiC/c-AlN. Crystals, 6(3), 25. https://doi.org/10.3390/cryst6030025
