Inorganic–Organic Hybrid Surfactant Crystals: Structural Aspects and Functions
Abstract
:1. Introduction
2. Hybrid Surfactant Single Crystals Constructed by Inorganic Ions
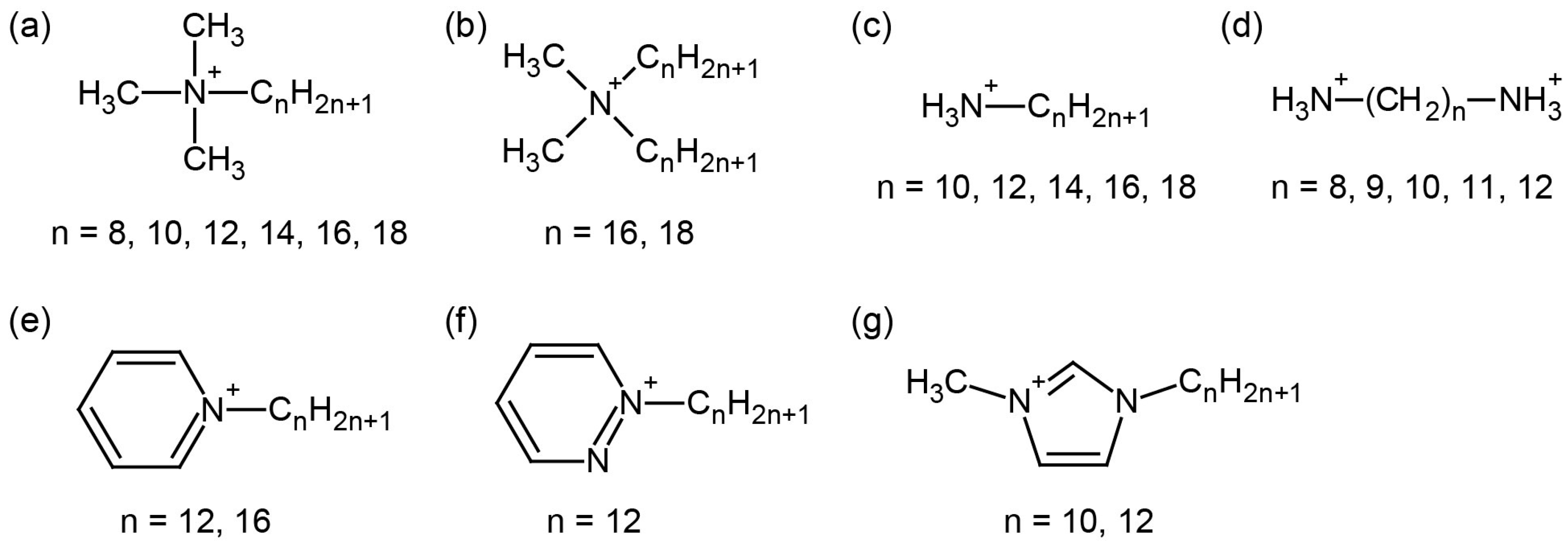
2.1. Hybrid Surfactant Single Crystals with Discrete Inorganic Cations
2.2. Hybrid Surfactant Single Crystals with Discrete Inorganic Anions
3. Hybrid Surfactant Single Crystals Constructed by Polyoxometalates
3.1. Hybrid Single Crystals Composed from Polyoxometalates and Surfactant Cations
3.2. Hybrid Single Crystals Composed from Polyoxometalate Modified by Amphiphilic Moiety
4. Summary and Outlook
Acknowledgments
Conflicts of Interest
References
- Yaghi, O.M.; O’Keeffe, M.; Ockwig, N.W.; Chae, H.K.; Eddaoudi, M.; Kim, J. Reticular synthesis and the design of new materials. Nature 2003, 423, 705–714. [Google Scholar] [CrossRef] [PubMed]
- Kitagawa, S.; Kitaura, R.; Noro, S. Functional porous coordination polymers. Angew. Chem. Int. Ed. 2004, 43, 2334–2375. [Google Scholar] [CrossRef] [PubMed]
- Maurizot, V.; Yoshizawa, M.; Kawano, M.; Fujita, M. Control of molecular interactions by the hollow of coordination cages. Dalton Trans. 2006, 2750–2756. [Google Scholar] [CrossRef] [PubMed]
- Ruiz-Hitzky, E.; Aranda, P.; Darder, M.; Ogawa, M. Hybrid and biohybrid silicate based materials: Molecular vs. block-assembling bottom–up processes. Chem. Soc. Rev. 2011, 40, 801–828. [Google Scholar] [CrossRef] [PubMed]
- Schubert, U. Cluster-based inorganic-organic hybrid materials. Chem. Soc. Rev. 2011, 40, 575–582. [Google Scholar] [CrossRef] [PubMed]
- Kato, T.; Mizoshita, M.; Kishimoto, K. Functional liquid-crystalline assemblies: Self-organized soft materials. Angew. Chem. Int. Ed. 2006, 45, 38–68. [Google Scholar] [CrossRef] [PubMed]
- Casciola, M. Ionic conductivity in layered materials. In Comprehensive Supramolecular Chemistry; Atwood, J.L., Davies, J.E.D., MacNicol, D.D., Vögtle, F., Eds.; Elsevier Science: Oxford, UK, 1996; Volume 7, pp. 355–378. [Google Scholar]
- Coronado, E.; Gómez-García, C.J. Polyoxometalate-based molecular materials. Chem. Rev. 1998, 98, 273–296. [Google Scholar] [CrossRef] [PubMed]
- Coronado, E.; Giménez-Saiz, C.; Gómez-García, C.J. Recent advances in polyoxometalate-containing molecular conductors. Coord. Chem. Rev. 2005, 249, 1776–1796. [Google Scholar] [CrossRef]
- Clemente-León, M.; Coronado, E.; Martí-Gastaldo, C.; Romero, F.M. Multifunctionality in hybrid magnetic materials based on bimetallic oxalate complexes. Chem. Soc. Rev. 2011, 40, 473–497. [Google Scholar] [CrossRef] [PubMed]
- Domen, K.; Kondo, J.N.; Hara, M.; Takata, T. Photo- and mechano-catalytic overall water spiliing reaction to form hydrogen and oxygen on heterogeneous catalysts. Bull. Chem. Soc. Jpn. 2000, 73, 1307–1331. [Google Scholar] [CrossRef]
- Kudo, A.; Miseki, Y. Heterogeneous photocatalyst materials for water splitting. Chem. Soc. Rev. 2009, 38, 253–278. [Google Scholar] [CrossRef] [PubMed]
- Mitzi, D.B. Synthesis, structure, and properties of organic-inorganic perovskites and related materials. Prog. Inorg. Chem. 1999, 48, 1–121. [Google Scholar]
- Aliprandi, A.; Mauro, M.; De Cola, L. Controlling and imaging biomimetic self-assembly. Nat. Chem. 2016, 8, 10–15. [Google Scholar] [CrossRef] [PubMed]
- Huo, Q.; Margolese, D.I.; Ciesla, U.; Demuth, D.G.; Feng, P.; Gier, T.E.; Sieger, P.; Firouzi, A.; Chmelka, B.F.; Schüth, F.; et al. Organization of organic molecules with inorganic molecular species into nanocomposite biphase arrays. Chem. Mater. 1994, 6, 1176–1191. [Google Scholar] [CrossRef]
- Kanatzidis, M.G. Beyond silica: Nonoxidic mesostructured materials. Adv. Mater. 2007, 19, 1165–1181. [Google Scholar] [CrossRef]
- Yamauchi, Y.; Kuroda, K. Rational design of mesoporous metals and related nanomaterials by a soft-template approach. Chem. Asian J. 2008, 3, 664–676. [Google Scholar] [CrossRef] [PubMed]
- Pope, M.T. Heteropoly and Isopoly Oxometalates; Springer: Berlin, Germany, 1983. [Google Scholar]
- Cronin, L.; Müller, A. Polyoxometalate cluster science. Chem. Soc. Rev. 2012, 41, 7325–7648. [Google Scholar]
- Long, D.-L.; Burkholder, E.; Cronin, L. Polyoxometalate clusters, nanostructures and materials: From self assembly to designer materials and devices. Chem. Soc. Rev. 2007, 36, 105–121. [Google Scholar] [CrossRef] [PubMed]
- Nyman, M. Polyoxoniobate chemistry in the 21st century. Dalton Trans. 2011, 40, 8049–8058. [Google Scholar] [CrossRef] [PubMed]
- Gouzerh, P.; Proust, A. Main-group element, organic, and organometallic derivatives of polyoxometalates. Chem. Rev. 1998, 98, 77–111. [Google Scholar] [CrossRef] [PubMed]
- Proust, A.; Matt, B.; Villanneau, R.; Guillemot, G.; Gouzerh, P.; Izzet, G. Functionalization and post-functionalization: A step towards polyoxometalate-based materials. Chem. Soc. Rev. 2012, 41, 7605–7622. [Google Scholar] [CrossRef] [PubMed]
- Okuhara, T.; Mizuno, N.; Misono, M. Catalytic chemistry of heteropoly compounds. Adv. Catal. 1996, 41, 113–252. [Google Scholar]
- Yamase, T. Photo- and electrochromism of polyoxometalates and related materials. Chem. Rev. 1998, 98, 307–325. [Google Scholar] [CrossRef] [PubMed]
- Sadakane, M.; Steckhan, E. Electrochemical properties of polyoxometalates as electrocatalysts. Chem. Rev. 1998, 98, 219–237. [Google Scholar] [CrossRef] [PubMed]
- Whittingham, M.S. Lithium batteries and cathode materials. Chem. Rev. 2004, 104, 4271–4301. [Google Scholar] [CrossRef] [PubMed]
- Kamaya, N.; Homma, K.; Yamakawa, Y.; Hirayama, M.; Kanno, R.; Yonemura, M.; Kamiyama, T.; Kato, Y.; Hama, S.; Kawamoto, K.; et al. A lithium superionic conductor. Nat. Mater. 2011, 10, 682–686. [Google Scholar] [CrossRef] [PubMed]
- Steele, B.C.H.; Heinzel, A. Materials for fuel-cell technologies. Nature 2001, 414, 345–352. [Google Scholar] [CrossRef] [PubMed]
- Yoon, M.; Suh, K.; Natarajan, S.; Kim, K. Proton conduction in metal-organic frameworks and related modularly built porous solids. Angew. Chem. Int. Ed. 2013, 52, 2688–2700. [Google Scholar] [CrossRef] [PubMed]
- Hurd, J.A.; Vaidhyanathan, R.; Thangadurai, V.; Ratcliffe, C.I.; Moudrakovski, I.L.; Shimizu, G.K.H. Anhydrous proton conduction at 150 °C in a crystalline metal-organic framework. Nat. Chem. 2009, 1, 705–710. [Google Scholar] [CrossRef] [PubMed]
- Bureekaew, S.; Horike, S.; Higuchi, H.; Mizuno, M.; Kawamura, T.; Tanaka, D.; Yanai, N.; Kitagawa, S. One-dimensional imidazole aggregate in aluminium porous coordination polymers with high proton conductivity. Nat. Mater. 2009, 8, 831–836. [Google Scholar] [CrossRef] [PubMed]
- Yamada, T.; Sadakiyo, M.; Kitagawa, H. High proton conductivity of one-dimensional ferrous oxalate dihydrate. J. Am. Chem. Soc. 2009, 131, 3144–3145. [Google Scholar] [CrossRef] [PubMed]
- Honma, I.; Yamada, M. Bio-inspired membranes for advanced polymer electrolyte fuel cells. Anhydrous proton-conducting membrane via molecular self-assembly. Bull. Chem. Soc. Jpn. 2007, 80, 2110–2123. [Google Scholar] [CrossRef]
- Oh, S.-Y.; Yoshida, T.; Kawamura, G.; Muto, H.; Sakai, M.; Matsuda, A. Inorganic-organic composite electrolytes consisting of polybenzimidazole and Cs-substituted heteropoly acids and their application for medium temperature fuel cells. J. Mater. Chem. 2010, 20, 6359–6366. [Google Scholar] [CrossRef]
- Deisenhofer, J.; Epp, O.; Miki, K.; Huber, R.; Michel, H. X-ray structure analysis of a membrane protein complex. Electron density map at 3 Å resolution and a model of the chromophores of the photosynthetic reaction center from Rhodopseudomonas viridis. J. Mol. Biol. 1984, 180, 385–398. [Google Scholar] [CrossRef]
- Deisenhofer, J.; Epp, O.; Miki, K.; Huber, R.; Michel, H. Structure of the protein subunits in the photosynthetic reaction centre of Rhodopseudomonas viridis at 3Å resolution. Nature 1985, 318, 618–624. [Google Scholar] [CrossRef] [PubMed]
- Kiriya, D.; Chang, H.C.; Kitagawa, S. Molecule-based valence tautomeric bistability synchronized with a macroscopic crystal-melt phase transition. J. Am. Chem. Soc. 2008, 130, 5515–5522. [Google Scholar] [CrossRef] [PubMed]
- Boubekeur-Lecaque, L.; Coe, B.J.; Harris, J.A.; Helliwell, M.; Asselberghs, I.; Clays, K.; Foerier, S.; Verbiest, T. Incorporation of amphiphilic ruthenium(II) ammine complexes into Langmuir-Blodgett thin films with switchable quadratic nonlinear optical behavior. Inorg. Chem. 2011, 50, 12886–12899. [Google Scholar] [CrossRef] [PubMed]
- Lin, I.J.B.; Vasam, C.S. Metal-containing ionic liquids and ionic liquid crystals based on imidazolium moiety. J. Organomet. Chem. 2005, 690, 3498–3512. [Google Scholar] [CrossRef]
- Lee, C.K.; Ling, M.J.; Lin, I.J.B. Organic-inorganic hybrids of imidazole complexes of palladium(II), copper(II) and zinc(II). Crystals and liquid crystals. Dalton Trans. 2003, 4731–4737. [Google Scholar] [CrossRef]
- Lee, C.K.; Hsu, K.-M.; Tsai, C.-H.; Lai, C.K.; Lin, I.J.B. Liquid crystals of silver complexes derived from simple 1-alkylimidazoles. Dalton Trans. 2004, 1120–1126. [Google Scholar] [CrossRef] [PubMed]
- Hsu, S.J.; Hsu, K.M.; Leong, M.K.; Lin, I.J.B. Au(I)-benzimidazole/imidazole complexes. Liquid crystals and nanomaterials. Dalton Trans. 2008, 1924–1931. [Google Scholar] [CrossRef] [PubMed]
- Lee, K.M.; Lee, C.K.; Lin, I.J.B. A facile synthesis of unusual liquid-crystalline gold(I) dicarbene compounds. Angew. Chem. Int. Ed. 1997, 36, 1850–1852. [Google Scholar] [CrossRef]
- Lee, C.K.; Chen, J.C.C.; Lee, K.M.; Liu, C.W.; Lin, I.J.B. Thermally stable mesomorphic palladium(II)-carbene complexes. Chem. Mater. 1999, 11, 1237–1242. [Google Scholar] [CrossRef]
- Hsu, T.H.T.; Naidu, J.J.; Yang, B.-J.; Jang, M.-Y.; Lin, I.J.B. Self-assembly of silver(I) and gold(I) N-heterocyclic carbene complexes in solid state, mesophase, and solution. Inorg. Chem. 2012, 51, 98–108. [Google Scholar] [CrossRef] [PubMed]
- Ohta, H.; Fujihara, T.; Tsuji, Y. N-Heterocyclic carbene ligands bearing hydrophilic and/or hydrophobic chains: Rh(I) and Pd(II) complexes and their catalytic activity. Dalton Trans. 2008, 379–385. [Google Scholar] [CrossRef]
- Polas, A.; Wilton-Ely, J.D.E.T.; Slawin, A.M.Z.; Foster, D.F.; Steynberg, P.J.; Green, M.J.; Cole-Hamilton, D.J. Limonene-derived phosphines in the cobalt-catalysed hydroformylation of alkenes. Dalton Trans. 2003, 4669–4677. [Google Scholar] [CrossRef]
- Iida, M.; Tanase, T.; Asaoka, N.; Nakanishi, A. A molecular structure of bis(N-octylethylenediamine)zinc(II) nitrate crystal and the aggregations in wet chloroform and benzene solutions. Chem. Lett. 1998, 27, 1275–1276. [Google Scholar] [CrossRef]
- Arulsamy, N.; Bohle, D.S.; Goodson, P.A.; Jaeger, D.A.; Reddy, V.B. Synthesis, structure, and spectrochemistry of double-chain surfactant Co(III) complexes. Inorg. Chem. 2001, 40, 836–842. [Google Scholar] [CrossRef]
- Elliott, J.M.; Chipperfield, J.R.; Clark, S.; Teat, S.J.; Sinn, E. Criteria for liquid crystal formation in 5-alkoxy-, 5-alkylamino-, and 5-alkanoyl-tropolone complexes of transition metals (CuII, ZnII, NiII, CoII, UO2VI, VOIV). The first uranium metallomesogen. crystal structure of bis(5-hexadecyloxytropolonato)copper(II). Inorg. Chem. 2002, 41, 293–299. [Google Scholar] [PubMed]
- Motreff, A.; Correa da Costa, R.; Allouchi, H.; Duttine, M.; Mathonière, C.; Duboc, C.; Vincent, J.M. Dramatic Solid-state humidity-induced modification of the magnetic coupling in a dimeric fluorous copper(II)-carboxylate complex. Inorg. Chem. 2009, 48, 5623–5625. [Google Scholar] [CrossRef] [PubMed]
- Volkmer, D.; Mayr, N.; Fricke, M. Crystal structure analysis of [Ca(O3SC18H37)2(DMSO)2], a lamellar coordination polymer and its relevance for model studies in biomineralization. Dalton Trans. 2006, 4889–4895. [Google Scholar] [CrossRef] [PubMed]
- Pucci, D.; Barberio, G.; Crispini, A.; Francescangeli, O.; Ghedini, M.; La Deda, M. Self-organization of dipolar 4,4′-disubstituted 2,2′-bipyridine metal complexes into luminescent lamellar liquid crystals. Eur. J. Inorg. Chem. 2003, 2003, 3649–3661. [Google Scholar] [CrossRef]
- Menger, F.M.; Lee, J.J.; Hagan, K.S. Molecular laminates. Three distinct crystal packing modes. J. Am. Chem. Soc. 1991, 91, 4017–4019. [Google Scholar] [CrossRef]
- Zhang, W.; Zhao, F.; Liu, T.; Yuan, M.; Wang, Z.-M.; Gao, S. Spin crossover in a series of iron (II) complexes of 2-(2-alkyl-2H-tetrazol-5-yl)-1,10-phenanthroline: Effects of alkyl side chain, solvent, and anion. Inorg. Chem. 2007, 46, 2541–2555. [Google Scholar] [CrossRef] [PubMed]
- Yang, Z.; Smetana, A.B.; Sorensen, C.M.; Klabunde, K.J. Synthesis and characterization of a new tiara Pd(II) thiolate complex, [Pd(SC12H25)2]6, and its solution-phase thermolysis to prepare nearly monodisperse palladium sulfide nanoparticles. Inorg. Chem. 2007, 46, 2427–2431. [Google Scholar] [CrossRef] [PubMed]
- Hayami, S.; Razaul Karim, M.; Lee, Y.H. Magnetic behavior and liquid-crystal properties in spin-crossover cobalt(II) compounds with long alkyl chains. Eur. J. Inorg. Chem. 2013, 2013, 683–696. [Google Scholar] [CrossRef]
- Hayami, S.; Shigeyoshi, Y.; Akita, A.; Inoue, K.; Kato, K.; Osaka, K.; Takata, T.; Kawajiri, R.; Mitani, T.; Maeda, Y. Reverse Spin transition triggered by a structural phase transition. Angew. Chem. Int. Ed. 2005, 44, 4899–4903. [Google Scholar] [CrossRef] [PubMed]
- Hayami, S.; Murata, K.; Urakami, D.; Kojima, Y.; Akita, A.; Inoue, K. Dynamic structural conversion in a spin-crossover cobalt (II) compound with long alkyl chains. Chem. Commun. 2008, 6510–6512. [Google Scholar] [CrossRef] [PubMed]
- Fallis, I.A.; Griffiths, P.C.; Griffiths, P.M.; Hibbs, D.E.; Hursthouse, M.B.; Winnington, A. Solid state and solution behaviour of novel transition metal containing surfactants. Chem. Commun. 1998, 665–666. [Google Scholar] [CrossRef]
- Lin, H.-C.; Huang, C.C.; Shi, C.H.; Liao, Y.H.; Chen, C.-C.; Lin, Y.-C.; Liu, Y.-H. Synthesis of alkynylated photo-luminescent Zn(II) and Mg(II) Schiff base complexes. Dalton Trans. 2007, 781–791. [Google Scholar] [CrossRef] [PubMed]
- Pietrangelo, A.; Sih, B.C.; Boden, B.N.; Wang, Z.; Li, Q.; Chou, K.C.; MacLachlan, M.J.; Wolf, M.O. Nonlinear optical properties of schiff-base-containing conductive polymer films electro-deposited in microgravity. Adv. Mater. 2008, 20, 2280–2284. [Google Scholar] [CrossRef]
- Gandolfi, C.; Moitzi, C.; Schurtenberger, P.; Morgan, G.G.; Albrecht, M. Improved cooperativity of spin-labile iron (III) centers by self-assembly in solution. J. Am. Chem. Soc. 2008, 130, 14434–14435. [Google Scholar] [CrossRef] [PubMed]
- Choi, H.J.; Suh, M. Nickel (II) macrocyclic complexes with long alkyl pendant chain: Synthesis, X-ray structure, and anion exchange property in the solid state. Inorg. Chem. 2003, 42, 1151–1157. [Google Scholar] [CrossRef] [PubMed]
- Inokuchi, H.; Saito, G.; Wu, P.; Seki, K.; Tang, T.B.; Mori, M.; Imaeda, K.; Enoki, T.; Higuchi, Y.; lnaka, K.; et al. A novel type of organic semiconductors. molecular fastener. Chem. Lett. 1986, 15, 1263–1266. [Google Scholar] [CrossRef]
- Neve, F. Transition metal based ionic mesogens. Adv. Mater. 1996, 8, 277–289. [Google Scholar] [CrossRef]
- Driscoll, J.A.; Keyes, P.H.; Heeg, M.J.; Heiney, P.A.; Verani, C.N. Influence of the apical ligand in the thermotropic mesomorphism of cationic copper-based surfactants. Inorg. Chem. 2008, 47, 7225–7232. [Google Scholar] [CrossRef] [PubMed]
- Shakya, R.; Hindo, S.S.; Wu, L.; Ni, S.; Allard, M.; Heeg, M.J.; da Rocha, S.R.P.; Yee, G.T.; Hratchian, H.P.; Verani, C.N. Amphiphilic and magnetic properties of a new class of cluster-bearing [L2Cu4(μ4-O)(μ2-carboxylato)4] soft materials. Chem. Eur. J. 2007, 13, 9948–9956. [Google Scholar] [CrossRef] [PubMed]
- Su, P.Y.S.; Tseng, J.C.W.; Lee, K.-M.; Wang, J.-C.; Lin, I.J.B. Tetranuclear silver (I) clusters showing high ionic conductivity in a bicontinuous cubic mesophase. Inorg. Chem. 2012, 51, 98–108. [Google Scholar] [CrossRef] [PubMed]
- Su, P.Y.S.; Hsu, S.J.; Tseng, J.C.W.; Hsu, H.-F.; Wang, W.-J.; Lin, I.J.B. Polynuclear Silver(I) Triazole Complexes: Ion Conduction and Nanowire Formation in the Mesophase. Chem. Eur. J. 2016, 22, 323–330. [Google Scholar] [CrossRef] [PubMed]
- Ciajolo, M.R.; Corradini, P.; Pavone, V. Bis(n-dodecylammonium) tetrachlorozincate. Acta Crstallogr. Sect. B 1977, 33, 553–555. [Google Scholar] [CrossRef]
- Guo, N.; Lin, Y.-H.; Zeng, G.-F.; Xi, S.-Q. Structure of 1,10-diaminodecane tetrachlorozincate. Acta Crstallogr. Sect. C 1992, 48, 650–652. [Google Scholar] [CrossRef]
- Martin, J.D.; Keary, C.L.; Thornton, T.A.; Novotnak, M.P.; Knutson, J.W.; Folmer, J.C. Metallotropic liquid crystals formed by surfactant templating of moltenmetal halides. Nat. Mater. 2008, 5, 271–275. [Google Scholar] [CrossRef] [PubMed]
- Lee, C.K.; Huang, H.W.; Lin, I.J.B. Simple amphiphilic liquid crystalline N-alkylimidazolium salts. A new solvent system providing a partially ordered environment. Chem. Commun. 2000, 1911–1912. [Google Scholar] [CrossRef]
- Lee, C.K.; Peng, H.H.; Lin, I.J.B. Liquid crystals of N,N′-dialkylimidazolium salts comprising palladium (II) and copper (II) ions. Chem. Mater. 2004, 16, 530–536. [Google Scholar] [CrossRef]
- Wang, K.F.; Jian, F.F.; Zhuang, R.R.; Xiao, H.L. New ionic liquids of N,N′-dialkylbenzimidazolium salt comprising copper (II) ions. Cryst. Growth Des. 2009, 9, 3934–3940. [Google Scholar] [CrossRef]
- Paulsson, H.; Berggrund, M.; Fischer, A.; Kloo, L. Iodoargentates and cuprates stabilized by sulfonium cations with long alkyl chains. Eur. J. Inorg. Chem. 2003, 2003, 2352–2355. [Google Scholar] [CrossRef]
- Deng, F.-G.; Hu, B.; Sun, W.; Chen, J.; Xia, C.-C. Novel pyridinium based cobalt carbonyl ionic liquids: Synthesis, full characterization, crystal structure and application in catalysis. Dalton Trans. 2007, 4262–4267. [Google Scholar] [CrossRef] [PubMed]
- Oliver, S.R.J.; Lough, A.J.; Ozin, G.A. Crystal structures of a series of novel alkylammonium phosphates and their formation in aluminophosphate synthesis mixtures. Inorg. Chem. 1998, 37, 5021–5028. [Google Scholar] [CrossRef] [PubMed]
- Li, J.; Marler, B.; Kessler, H.; Soulard, M.; Kallus, S. Synthesis, structure analysis, and characterization of a new thiostannate, (C12H25NH3)4[Sn2S6]·2H2O. Inorg. Chem. 1997, 36, 4697–4701. [Google Scholar] [CrossRef] [PubMed]
- Bonhomme, F.; Kanatzidis, M.G. Structurally characterized mesostructured hybrid surfactant-inorganic lamellar phases containing the adamantane [Ge4S10]4− anion: Synthesis and properties. Chem. Mater. 1998, 10, 1153–1159. [Google Scholar] [CrossRef]
- Wachhold, M.; Kanatzidis, M.G. Surfactant-templated inorganic lamellar and non-lamellar hybrid phases containing adamantane [Ge4S10]4− anions. Chem. Mater. 2000, 12, 2914–2923. [Google Scholar] [CrossRef]
- Rangan, K.K.; Kanatzidis, M.G. Mesolamellar thiogermanates [CnH2n+1NH3]4Ge4S10. Inorg. Chim. Acta 2004, 357, 4036–4044. [Google Scholar] [CrossRef]
- Suh, M.-J.; Vien, V.; Huh, S.; Kim, Y.; Kim, S.-J. Mesolamellar phases containing [Re6Q8(CN)6]4− (Q = Te, Se, S) cluster anions. Eur. J. Inorg. Chem. 2008, 2008, 686–692. [Google Scholar] [CrossRef]
- Kind, R.; Pleško, S.; Arent, H.; Blinc, R.; Žekš, B.; Selinger, J.; Ložar, B.; Slak, J.; Levstik, A.; Filipič, C.; et al. Dynamics of n-decylammonium chains in the perovskite-type layer structure compound (C10H21NH3)2CdCl4. J. Chem. Phys. 1979, 71, 2118–2130. [Google Scholar] [CrossRef]
- Mitzi, D.B. Templating and structural engineering in organic-inorganic perovskites. J. Chem. Soc. Dalton Trans. 2001, 1–12. [Google Scholar] [CrossRef]
- Billing, D.G.; Lemmerer, A. Synthesis, characterization and phase transitions of the inorganic-organic layered perovskite-type hybrids [(CnH2n+1NH3)2PbI4] (n = 12, 14, 16 and 18). New J. Chem. 2008, 32, 1736–1746. [Google Scholar] [CrossRef]
- Lemmerer, A.; Billing, D.G. Lead halide inorganic-organic hybrids incorporating diammonium cations. CrystEngComm 2012, 14, 1954–1966. [Google Scholar] [CrossRef]
- Pradeesh, K.; Yadav, G.S.; Singh, M.; Prakash, G.V. Synthesis, structure and optical studies of inorganic-organic hybrid semiconductor, NH3(CH2)12NH3PbI4. Mater. Chem. Phys. 2010, 124, 44–47. [Google Scholar] [CrossRef]
- Li, J.; Bi, W.; Ki, W.; Huang, X.; Reddy, S. Nanostructured crystals: Unique hybrid semiconductors exhibiting nearly zero and tunable uniaxial thermal expansion behavior. J. Am. Chem. Soc. 2007, 129, 14140–14141. [Google Scholar] [CrossRef] [PubMed]
- Ki, W.; Li, J. A semiconductor bulk material that emits direct white light. J. Am. Chem. Soc. 2008, 130, 8114–8115. [Google Scholar] [CrossRef] [PubMed]
- Huang, X.; Roushan, M.; Emge, T.J.; Bi, W.; Thiagarajan, S.; Cheng, J.-H.; Yang, R.; Li, J. Flexible hybrid semiconductors with low thermal conductivity: The role of organic diamines. Angew. Chem. Int. Ed. 2009, 48, 7871–7874. [Google Scholar] [CrossRef] [PubMed]
- Ding, N.; Armatas, G.S.; Kanatzidis, M.G. Metal inorganic frameworks: Dynamic flexible architecture with extended pore order built from [Se3]2− linkers and [Re6Se6Br8]2− clusters. J. Am. Chem. Soc. 2010, 132, 6728–6734. [Google Scholar] [CrossRef] [PubMed]
- Kojima, A.; Teshima, K.; Shirai, Y.; Miyasaka, T. Organometal halide perovskites as visible-light sensitizers for photovoltaic cells. J. Am. Chem. Soc. 2009, 131, 6050–6051. [Google Scholar] [CrossRef] [PubMed]
- Lee, M.M.; Teusche, J.; Miyasaka, M.; Murakami, T.N.; Snaith, H.J. Efficient hybrid solar cells based on meso-superstructured organometal halide perovskites. Science 2012, 338, 643–647. [Google Scholar] [CrossRef] [PubMed]
- Kagan, C.R.; Mitzi, D.B.; Dimitrakopoulos, C.D. Organic-inorganic hybrid materials as semiconducting channels in thin-film field-effect transistors. Science 1999, 286, 945–947. [Google Scholar] [CrossRef] [PubMed]
- Song, Y.-F.; Long, D.-L.; Ritchie, C.; Cronin, L. Nanoscale polyoxometalate-based inorganic/organic hybrids. Chem. Rec. 2011, 11, 158–171. [Google Scholar] [CrossRef] [PubMed]
- Yin, P.; Li, D.; Liu, T. Solution behaviors and self-assembly of polyoxometalates as models of macroions and amphiphilic polyoxometalate-organic hybrids as novel surfactants. Chem. Soc. Rev. 2012, 41, 7368–7383. [Google Scholar] [CrossRef] [PubMed]
- Polarz, S.; Landsmann, S.; Klaiber, A. Hybrid surfactant systems with inorganic constituents. Angew. Chem. Int. Ed. 2014, 53, 946–954. [Google Scholar] [CrossRef] [PubMed]
- Clemente-León, M.; Coronado, E.; Soriano-Portillo, A.; Mingotaud, C.; Dominguez-Vera, J.M. Langmuir–Blodgett films based on inorganic molecular complexes with magnetic or optical properties? Adv. Colloid Interface Sci. 2005, 116, 193–203. [Google Scholar] [CrossRef] [PubMed]
- Nisar, A.; Wang, X. Surfactant-encapsulated polyoxometalate building blocks: Controlled assembly and their catalytic properties. Dalton Trans. 2012, 41, 9832–9845. [Google Scholar] [CrossRef] [PubMed]
- Zhang, T.; Liu, S.; Kurth, D.G.; Faul, C.F.J. Organized nanostructured complexes of polyoxometalates and surfactants that exhibit photoluminescence and electrochromism. Adv. Funct. Mater. 2009, 19, 642–652. [Google Scholar] [CrossRef]
- Qi, W.; Wu, L. Polyoxometalate/polymer hybrid materials: Fabrication and properties. Polym. Int. 2009, 58, 1217–1225. [Google Scholar] [CrossRef]
- Li, W.; Wu, L. Nano-hybrid liquid crystals from the self-assembly of surfactant-encapsulated polyoxometalate complexes. Chin. J. Chem. 2015, 33, 15–23. [Google Scholar] [CrossRef]
- Ito, T. Polyoxometalate-surfactant hybrids as building strategy for two-dimensional molecular arrays. Polyoxometalate Chem. 2012, 1, 6–14. [Google Scholar]
- Stein, A.; Fendorf, M.; Jarvie, T.P.; Mueller, K.T.; Benesi, A.J.; Mallouk, T.E. Salt-gel synthesis of porous transition-metal oxides. Chem. Mater. 1995, 7, 304–313. [Google Scholar] [CrossRef]
- Janauer, G.G.; Dobley, A.; Guo, J.; Zavalij, P.; Whittingham, M.S. Novel tungsten, molybdenum, and vanadium oxides containing surfactant ions. Chem. Mater. 1996, 8, 2096–2101. [Google Scholar] [CrossRef]
- Taguchi, A.; Abe, T.; Iwamoto, M. Non-silica-based mesostructured materials: Hexagonally mesostructured array of surfactant micelles and 11-tungstophosphoric heteropoly anions. Adv. Mater. 1998, 10, 667–669. [Google Scholar] [CrossRef]
- Do, J.; Jacobson, A.J. Mesostructured lamellar phases containing six-membered vanadium borophosphate cluster anions. Chem. Mater. 2001, 13, 2436–2440. [Google Scholar] [CrossRef]
- Zhang, G.; Ke, H.; He, T.; Xiao, D.; Chen, Z.; Yang, W.; Yao, J. Synthesis and characterization of new layered polyoxometallates-1,10-decanediamine intercalative nanocomposites. J. Mater. Res. 2004, 19, 496–500. [Google Scholar] [CrossRef]
- Landsmann, S.; Lizandara-Pueyo, C.; Polarz, S. A new class of surfactants with multinuclear, inorganic head groups. J. Am. Chem. Soc. 2010, 132, 5315–5321. [Google Scholar] [CrossRef] [PubMed]
- Janauer, G.G.; Dobley, A.D.; Zavalij, P.Y.; Whittingham, M.S. Evidence for decavanadate clusters in the lamellar surfactant ion phase. Chem. Mater. 1997, 9, 647–649. [Google Scholar] [CrossRef]
- Fosse, N.; Brohan, L. Thermal and structural investigations of the bis-dihexadecyldimethylammonium dichromate. J. Solid State Chem. 1999, 145, 655–667. [Google Scholar] [CrossRef]
- Fosse, N.; Caldes, M.; Joubert, O.; Ganne, M.; Brohan, L. Layered alkyltrimethylammonium chromates: Thermal and structural investigations and crystal structure of the anhydrous bisoctyltrimethylammonium dichromate. J. Solid State Chem. 1998, 139, 310–320. [Google Scholar] [CrossRef]
- Spahr, M.E.; Nesper, R. Anhydrous octamolybdate with trimethyl hexadecyl ammonium cations. Z. Anorg. Allg. Chem. 2001, 627, 2133–2138. [Google Scholar] [CrossRef]
- Ito, T.; Sawada, K.; Yamase, T. Crystal structure of bis(dimethyldioctadecylammonium) hexamolybdate: A molecular model of Langmuir-Blodgett films. Chem. Lett. 2003, 32, 938–939. [Google Scholar] [CrossRef]
- Ito, T.; Yamase, T. Inorganic-organic hybrid layered crystal composed of polyoxomolybdate and surfactant with π electrons. Chem. Lett. 2009, 38, 370–371. [Google Scholar] [CrossRef]
- Ito, T.; Yamase, T. Controllable layered structures in polyoxomolybdate-surfactant hybrid crystals. Materials 2010, 3, 158–164. [Google Scholar] [CrossRef]
- Ito, T.; Mikurube, K.; Abe, Y.; Koroki, T.; Saito, M.; Iijima, J.; Naruke, H.; Ozeki, T. Hybrid inorganic-organic crystals composed of octamolybdate isomers and pyridinium surfactant. Chem. Lett. 2010, 39, 1323–1325. [Google Scholar] [CrossRef]
- Ito, T.; Mikurube, K.; Hasegawa, K.; Kurasawa, M.; Naruke, H.; Ozeki, T. Polyoxomolybdate-surfactant hybrid layered crystal with unusually long periodicity. Chem. Lett. 2011, 40, 626–628. [Google Scholar] [CrossRef]
- Mikurube, K.; Hasegawa, K.; Naruke, H.; Ito, T. Hybrid layered crystal comprising polyoxometalate and surfactant synthesized from reduced Mo-blue species. J. Chem. 2013, 2013, 6. [Google Scholar] [CrossRef]
- Ito, T.; Ide, R.; Kosaka, K.; Hasegawa, S.; Mikurube, K.; Taira, M.; Naruke, H.; Koguchi, S. Polyoxomolybdate-surfactant layered crystals derived from long-tailed alkylamine and ionic-liquid. Chem. Lett. 2013, 42, 1400–1402. [Google Scholar] [CrossRef]
- Ito, T.; Mikurube, K.; Hasegawa, K.; Matsumoto, T.; Kosaka, K.; Naruke, H.; Koguchi, S. Structural variation in polyoxomolybdate hybrid crystals comprising ionic-liquid surfactants. Crystals 2014, 4, 42–52. [Google Scholar] [CrossRef]
- Ito, T.; Nakagawa, M.; Kobayashi, J.; Matsumoto, T.; Otobe, S.; Naruke, H. Layered and molecular-structural control in polyoxomolybdate hybrid crystals by surfactant chain length. J. Mol. Struct. 2016, 1106, 220–226. [Google Scholar] [CrossRef]
- Ito, T.; Taira, M.; Fukumoto, K.; Yamamoto, K.; Naruke, H.; Tomita, K. Polyoxovanadate-surfactant hybrid layered crystal containing one-dimensional hydrogen-bonded cluster chain. Bull. Chem. Soc. Jpn. 2012, 85, 1222–1224. [Google Scholar] [CrossRef]
- Ito, T.; Fujimoto, N.; Uchida, S.; Iijima, J.; Naruke, H.; Mizuno, N. Polyoxotungstate-surfactant layered crystal toward conductive inorganic-organic hybrid. Crystals 2012, 2, 362–373. [Google Scholar] [CrossRef]
- Otobe, S.; Fujioka, N.; Hirano, T.; Ishikawa, E.; Naruke, H.; Fujio, K.; Ito, T. Decisive interactions between the heterocyclic moiety and the cluster observed in polyoxometalate-surfactant hybrid crystals. Int. J. Mol. Sci. 2015, 16, 8505–8516. [Google Scholar] [CrossRef] [PubMed]
- Ito, T.; Mikurube, K.; Taira, M.; Yoshioka, H.; Naruke, H. Hybrid layered crystals composed of polyoxoalkoxymetalates and pyridinium surfactants. Polyoxometalate Chem. 2012, 1, 1–5. [Google Scholar]
- Nyman, M.; Ingersoll, D.; Singh, S.; Bonhomme, F.; Alam, T.M.; Brinker, C.J.; Rodriguez, M.A. Comparative study of inorganic cluster-surfactant arrays. Chem. Mater. 2005, 17, 2885–2895. [Google Scholar] [CrossRef]
- Nyman, M.; Rodriguez, M.A.; Anderson, T.M.; Ingersoll, D. Two structures toward understanding evolution from surfactant-polyoxometalate lamellae to surfactant-encapsulated polyoxometalates. Cryst. Growth Des. 2009, 9, 3590–3597. [Google Scholar] [CrossRef]
- Eda, K.; Iriki, Y. Crystal engineering with [Mo36O112(H2O)16]8− anion as nanosized building block. Chem. Lett. 2005, 34, 612–613. [Google Scholar] [CrossRef]
- Nelson, J.H.; Johnston, A.R.; Narducci Sarjeant, A.; Norquist, A.J. Composition space analysis of templated molybdates. Solid State Sci. 2007, 9, 472–484. [Google Scholar] [CrossRef]
- Niu, Y.-Y.; Wang, L.-F.; Lv, X.R.; Du, H.-J.; Qiao, Y.-Z.; Wang, H.-M.; Song, L.-S.; Wu, B.-L.; Hou, H.-W.; Ng, S.W. Construction and isomeric transformation of polyoxometalates directed by 1,ω-bis(pyridinium)alkane templates. CrystEngComm 2011, 13, 5071–5081. [Google Scholar] [CrossRef]
- Du, H.-J.; Mi, L.-W.; Yue, Z.-C.; Niu, Y.-Y.; Hou, H.-W. Templated fabrication, isomer recognition of series of 1,10-(alkane-1,ω-diyl)-bis(3-methylimidazolium)-induced polyoxometalates (ω = 1–11). Inorg. Chim. Acta 2014, 409, 418–426. [Google Scholar] [CrossRef]
- Yue, Z.-C.; Du, H.-J.; Li, L.; Zhang, W.-L.; Niu, Y.-Y.; Hou, H.-W. Construction and isomer recognition of polyoxometalates functionalized by 1,2-dimethylimidazole alkane templates. Inorg. Chim. Acta 2014, 410, 136–143. [Google Scholar] [CrossRef]
- Yin, P.; Wu, P.; Xiao, Z.; Li, D.; Bitterlich, E.; Zhang, J.; Cheng, P.; Vezenov, D.V.; Liu, T.; Wei, Y. A double-tailed fluorescent surfactant with a hexavanadate cluster as the head group. Angew. Chem. Int. Ed. 2011, 50, 2521–2525. [Google Scholar] [CrossRef] [PubMed]
- Yin, P.; Bayaguud, A.; Cheng, P.; Haso, F.; Hu, L.; Wang, J.; Vezenov, D.; Winans, R.E.; Hao, J.; Tao, L.; et al. Spontaneous stepwise self-assembly of a polyoxometalate-organic hybrid into catalytically active one-dimensional anisotropic structures. Chem. Eur. J. 2014, 20, 9589–9595. [Google Scholar] [CrossRef] [PubMed]
- Zhu, L.; Chen, K.; Hao, J.; Wei, Z.; Zhang, H.; Yin, P.; Wei, Y. Synthesis and crystallization behavior of surfactants with hexamolybdate as the polar headgroup. Inorg. Chem. 2015, 54, 6075–6077. [Google Scholar] [CrossRef] [PubMed]
- Song, Y.-F.; McMillan, N.; Long, D.-L.; Thiel, J.; Ding, Y.; Chen, H.; Gadegaard, N.; Cronin, L. Design of hydrophobic polyoxometalate hybrid assemblies beyond surfactant encapsulation. Chem. Eur. J. 2008, 14, 2349–2354. [Google Scholar] [CrossRef] [PubMed]
- Zhang, J.; Li, W.; Wu, C.; Li, B.; Zhang, J.; Wu, L. Redox-controlled helical self-assembly of a polyoxometalate complex. Chem. Eur. J. 2013, 19, 8129–8135. [Google Scholar] [CrossRef] [PubMed]
- Strong, J.B.; Ostrander, R.; Rheingold, A.L.; Maatta, E.A. Ensheathing a Polyoxometalate: Convenient Systematic Introduction of Organoimido Ligands at Terminal Oxo Sites in [Mo6O19]2−. J. Am. Chem. Soc. 1994, 116, 3601–3602. [Google Scholar] [CrossRef]
- Favette, S.; Hasenknopf, B.; Vaissermann, J.; Gouzerh, P.; Roux, C. Assembly of a polyoxometalate into an anisotropic gel. Chem. Commun. 2003, 2664–2665. [Google Scholar] [CrossRef]
- Chambers, R.C.; Atkinson, E.J.O.; McAdams, D.; Hayden, E.J.; Brown, A.J.A. Creating monolayers and thin films of a novel bis(alkyl) substituted asymmetrical polyoxotungstate, {[CH3(CH2)11Si]2OSiW11O39}4− using the Langmuir-Blodgett technique. Chem. Commun. 2003, 2456–2457. [Google Scholar] [CrossRef]
- Zhang, J.; Song, Y.-F.; Cronin, L.; Liu, T. Self-assembly of organic-inorganic hybrid amphiphilic surfactants with large polyoxometalates as polar head groups. J. Am. Chem. Soc. 2008, 130, 14408–14409. [Google Scholar] [CrossRef] [PubMed]
- Han, Y.; Xiao, Y.; Zhang, Z.; Liu, B.; Zheng, P.; He, S.; Wang, W. Synthesis of polyoxometalate-polymer hybrid polymers and their hybrid vesicular assembly. Macromolecules 2009, 42, 6543–6548. [Google Scholar] [CrossRef]
- Landsmann, S.; Luka, M.; Polarz, S. Bolaform surfactants with polyoxometalate head groups and their assembly into ultra-small monolayer membrane vesicles. Nat. Comm. 2012, 3, 1299. [Google Scholar] [CrossRef] [PubMed]
- Jallet, V.; Guillemot, G.; Lai, J.; Bauduin, P.; Nardello-Rataj, V.; Proust, A. Covalent amphiphilic polyoxometalates for the design of biphasic microemulsion systems. Chem. Commun. 2014, 50, 6610–6612. [Google Scholar] [CrossRef] [PubMed]
- Lesage de La Haye, J.; Guigner, J.-M.; Marceau, E.; Ruhlmann, L.; Hasenknopf, B.; Lacôte, E.; Rieger, J. Amphiphilic polyoxometalates for the controlled synthesis of hybrid polystyrene particles with surface reactivity. Chem. Eur. J. 2015, 21, 2948–2953. [Google Scholar] [CrossRef] [PubMed]
- Bu, W.; Li, W.; Li, H.; Wu, L.; Tang, A.-C. Surfactant-encapsulated polyoxometalloeuropate: Polarized Eu3+ emission in the highly ordered self-organizing film. J. Colloid Interaface Sci. 2004, 274, 200–203. [Google Scholar] [CrossRef] [PubMed]
- Chang, H.-C.; Kiriya, D. Synchronic transformations of molecular states and macroscopic phases in valence-tautomeric complexes. Eur. J. Inorg. Chem. 2013, 2013, 642–652. [Google Scholar] [CrossRef]
- Kitchen, J.A.; White, N.G.; Jameson, G.N.L.; Tallon, J.L.; Brooker, S. Effect of counteranion X on the spin crossover properties of a family of diiron(II) triazole complexes [FeII2(PMAT)2](X)4. Inorg. Chem. 2011, 50, 4586–4597. [Google Scholar] [CrossRef] [PubMed]
- Bünzli, J.-C.G. Benefiting from the unique properties of lanthanide ions. Acc. Chem. Res. 2006, 39, 53–61. [Google Scholar] [CrossRef] [PubMed]
- Binnemans, K. Lanthanide-based luminescent hybrid materials. Chem. Rev. 2009, 109, 4283–4374. [Google Scholar] [CrossRef] [PubMed]
- Kitchen, J.A.; Barry, D.A.; Mercs, L.; Albrecht, M.; Peacock, R.D.; Gunnlaugsson, T. Circularly polarized lanthanide luminescence from Langmuir-Blodgett films formed from optically active and amphiphilic EuIII based self-assembly complexes. Angw. Chem. Int. Ed. 2012, 51, 704–708. [Google Scholar] [CrossRef] [PubMed]
- Osaka, I.; Takimiya, K. Backbone orientation in semiconducting polymers. Polymer 2015, 59, A1–A15. [Google Scholar] [CrossRef]
- Wang, C.; Gu, P.; Hu, B.; Zhang, Q. Recent progress in organic resistance memory with small molecules and inorganic-organic hybrid polymers as active elements. J. Mater. Chem. C 2015, 3, 10055–10065. [Google Scholar] [CrossRef]
- Douvas, A.M.; Makarona, E.; Glezos, N.; Argitis, P.; Mielczarski, J.A.; Mielczarski, E. Polyoxometalate-based layered structures for charge transport control in molecular devices. ACS Nano 2008, 2, 733–742. [Google Scholar] [CrossRef] [PubMed]













© 2016 by the author; licensee MDPI, Basel, Switzerland. This article is an open access article distributed under the terms and conditions of the Creative Commons by Attribution (CC-BY) license (http://creativecommons.org/licenses/by/4.0/).
Share and Cite
Ito, T. Inorganic–Organic Hybrid Surfactant Crystals: Structural Aspects and Functions. Crystals 2016, 6, 24. https://doi.org/10.3390/cryst6030024
Ito T. Inorganic–Organic Hybrid Surfactant Crystals: Structural Aspects and Functions. Crystals. 2016; 6(3):24. https://doi.org/10.3390/cryst6030024
Chicago/Turabian StyleIto, Takeru. 2016. "Inorganic–Organic Hybrid Surfactant Crystals: Structural Aspects and Functions" Crystals 6, no. 3: 24. https://doi.org/10.3390/cryst6030024
APA StyleIto, T. (2016). Inorganic–Organic Hybrid Surfactant Crystals: Structural Aspects and Functions. Crystals, 6(3), 24. https://doi.org/10.3390/cryst6030024

