Abstract
A novel organic dianion, N,N'-Disulfo-1,4-benzoquinonediimine (1) has been prepared, which is a strong electron acceptor. The reduction potential of the PPh4 salt indicates that 1 is a stronger acceptor than DDQ (2,3-dichloro-5,6-dicyano-1,4-benzoquinone). The dianionic acceptor provided a BEDT-TTF salt, (BEDT-TTF)41·3H2O, the structures and physical properties of which are reported.
1. Introduction
After the first preparation of bis(ethylenedithio)tetrathiafulvalene (BEDT-TTF or ET) in the late 1970s [1], ET-based organic conducting salts have been prepared with a wide variety of counterions [2]. They usually have 2D conducting donor cation sheets that are interleaved by layers of anions and may also contain neutral molecules such as solvents. Among their salts, those having a formula charge of ET0.5+ are usually the most conductive and have a range of electronic ground states, including metallic, superconducting, semiconducting, or insulating. The ground state property is dependent in part on the packing arrangement of the ET molecules. The packing motifs have been classified into several types designated by the Greek letters, α, β, β'', δ, θ, κ, λ, and so on [2,3,4,5]. The ground state property is also dependent on the shape and size of the counterions. For example, κ-(ET)2Cu[N(CN)2]Br and κ-(ET)2Cu[N(CN)2]Cl are isostructural with the same donor arrangement but the ground states are quite different. The former is a superconductor with Tc = 11.2 K and the latter is a semiconductor, a Mott insulator. The Cl containing salt can be converted to a superconductor by applying static pressure of more than 0.2 kbar [6,7]. This indicates that the interaction between donors in the Cl salt is weaker than that in the Br salt. Applying 0.2 kbar of pressure on the Cl salt enhances the inter-donor interactions to form a superconductor. In other words, applying pressure reduces the electron correlation in the Cl salt.
An alternative method of reducing electron correlation is to introduce a hole or electron doping effect, which has been widely used in inorganic oxide chemistry via controlling the oxygen concentration [8]. In the field of organic conductors, several researchers have tried introducing the doping effect into organic conductors. For example, H. Tajima et al. reported the hole doping of (Me2-DCNQI)2Li by the successive substitution of LiI by CuII, giving the resultant composition of (Me2-DCNQI)2Li1-xCux [9]. H. Mori and T. Mori tried this method to control band filling in λ-(ET)2GaIIICl4, δ´-(ET)2GaIIICl4 [10], (TTM-TTP)GaIIICl4 and (TTM-TTP)FeIIICl4 [11] by a partial substitution of Ga/FeIIICl4- with MIICl42− (MII = Co and/or Mn). However, successive band filling control did not succeed. Recently, T. Sasaki et al. reported X-ray irradiation-induced carrier doping effects on the electrical conductivity of κ-(ET)2Cu[N(CN)2]Cl and κ-(ET)2Cu2(CN)3 [12]. Very recently, we have also succeeded introducing a partial doping effect in κ-β''-(ET)2(PO-CONHC2H4SO3) [13] and (TTF)3(PO-CON(CH3)C2H4SO3) [14] where PO = 2,2,5,5-Tetramethyl-3-pyrrolin-1-oxyl free radical, in which the anisotropic anions form a “head-to-head” arrangement in the anionic layers. The polar anionic layer gives dual donor layers and yields a dipole electric field that provides different oxidation states for each donor layer.
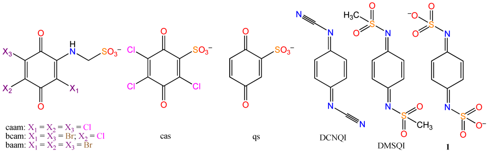
For more than five years, we have focused on developing another doping method, preparing CT salts of ET with anionic weak acceptors. We expected the partial (x << 1) electron transfer from the donor to the anionic acceptor [15,16,17,18]. The hole doping effect of the donor layer should then cause a drastic increase in electrical conductivity. With this in mind, we have already prepared several anionic acceptors (caam, bcam, baam, cas and qs in Scheme 1), all of which have provided ET salts [15,16,17,18]. However, we have not yet found any significant doping effects probably because their electron-accepting properties are too weak.
Scheme 1.
Molecular structures of anionic acceptors (caam, bcam, baam, cas and qs), electron acceptors (DCNQI and DMSQI) and a dianionic acceptor (1).
Scheme 1.
Molecular structures of anionic acceptors (caam, bcam, baam, cas and qs), electron acceptors (DCNQI and DMSQI) and a dianionic acceptor (1).

DCNQI (Scheme 1) is one of the strongest acceptors [19] as is the similar molecule p-quinone dimethanesulfonimide (DMSQI in Scheme 1) [20]. This suggests that the benzoquinodiimine derivatives are strong acceptors. Therefore, we have prepared a new dianionic acceptor, N,N’-disulfo-1,4-benzoquinonediimine (1 in Scheme 1), which was obtained as a PPh4 salt. In this communication, the characterization of the PPh4 salt is reported. This acceptor also gives an ET salt and the crystal structure, electrical resistivity, ESR and preliminary SQUID magnetometry are reported.
2. Results and Discussion
The anionic acceptor 1 was prepared according to the route depicted in Scheme 2. N,N´-Disulfo-1,4-phenylenediamine (2) was prepared by modification of reported methods [20,21] as a PPh4 salt. 2 was oxidized by lead(IV) acetate according to the literature method [20].
Scheme 2.
Synthetic route to N,N'-disulfo-1,4-benzoquinonediimine (1).
Scheme 2.
Synthetic route to N,N'-disulfo-1,4-benzoquinonediimine (1).

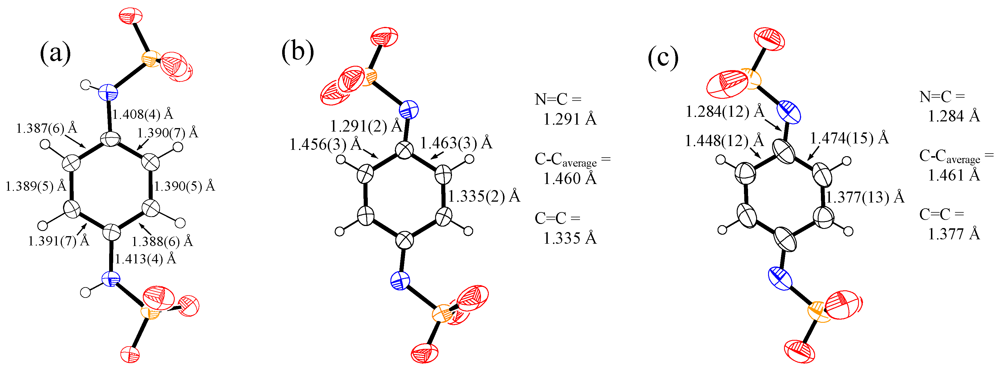
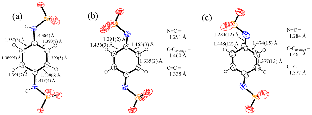
The molecular structures of 1 and 2 in their tetraphenylphosphonium salts together with selected bond lengths are shown in Figure 1 (a) and (b), respectively. The N=C bond lengths of 1 (Figure 1 (b)) is approximately 0.12 Å shorter than the N-C bond lengths of 2 (Figure 1 (b)), indicating that 1 has a quinoid structure. The reduction potential of 1 was determined by cyclic volutammetry giving an E1 value of +0.67 V vs. SCE in CH3CN [22] which is +0.12 V higher than that of DDQ (E1 = +0.55 V), suggesting that 1 is a very strong acceptor.
Figure 1.
Molecular structures of (a) 2 in (PPh4)22·DCE, (b) 1 in (PPh4)21 and (c) 1 in (ET)41·3H2O (3).
Figure 1.
Molecular structures of (a) 2 in (PPh4)22·DCE, (b) 1 in (PPh4)21 and (c) 1 in (ET)41·3H2O (3).

Electrocrystallization of (PPh4)21 with ET gave black needles of (ET)41·3H2O (3), assigned by single crystal X-ray analysis. The crystal structure of 3 is shown in Figure 2 (a). The asymmetric unit contains one (B) and two halves (A, C) of ET, a half of 1 and three halves of H2O [23]. Figure 2 (b) shows the packing arrangement of an ET layer. The donors form a face-to-face stack (···C-B-A-B-C···) along the b-axis, in which each B-A-B unit is parallel with each other but not parallel to the C molecule. This arrangement is similar to a δ´-type arrangement, which has an A-B-B-A stack where the B-B units are parallel but A-B is twisted [5]. The stacks interact with each other along the side-by-side direction (// a-axis) to form a 2D conducting sheet. The anions and water molecules also form a 2D anion sheet as shown in Figure 2 (c). The O2 and O3 atoms of the sulfonate group form hydrogen bonds with the water molecules of O4 and O5, respectively. The third water molecule (O6) is located between the water molecules containing O4 and O5 and forms hydrogen bonds with them. Whilst the other O1 atom of the sulfonate group has no hydrogen bond with water molecules it does have a short contact with a S atom of the B molecule of ET (Figure 2 (d)). The donor to dianion ratio of 4:1 indicates that each ET molecule has a formula charge of +0.5, but by analyzing the ET bond lengths we estimate the charges on the independent ET molecules to be +0.25, +0.88 and +0.44 for A, B and C, respectively [24]. The charges, normalized by the total number of holes in the asymmetric unit, are +0.20, +0.72 and +0.36 for A-C, respectively. The result suggests that the charge is localized mainly on the B molecule. It is likely that the electrostatic interaction between –SO3– and the B molecule (Figure 2 (d)) has caused the charge disproportionation.
Figure 2.
(a) Crystal structure of (ET)41·3H2O (3). (b) Packing motif of the donor layer. Dashed lines indicate short S···S distance (<3.70 Å). (c) 2D hydrogen-bonded network of the dianion/water layer along the c-axis. Dashed lines indicate hydrogen bonds (O···O < 3.05 Å). (d) Short contacts between the B molecule and the sulfonate group of 1.
Figure 2.
(a) Crystal structure of (ET)41·3H2O (3). (b) Packing motif of the donor layer. Dashed lines indicate short S···S distance (<3.70 Å). (c) 2D hydrogen-bonded network of the dianion/water layer along the c-axis. Dashed lines indicate hydrogen bonds (O···O < 3.05 Å). (d) Short contacts between the B molecule and the sulfonate group of 1.

The electronic structure has been characterized using extended Hückel tight-binding band calculations of the donor layer [25]. Figure 3 (a) shows the band dispersion. There is no mid-gap, suggesting that the salt cannot become a Mott insulator. Figure 3 (b) shows Fermi surfaces. The observation of the Fermi surfaces suggests that the salt has a metallic nature. However, the temperature-dependent electrical resistivity indicates that the salt is a semiconductor with ρRT = 6.2 Ω·cm and Ea = 0.079 eV. As previously mentioned, the interaction between ET and a sulfo group in 1 causes the charge disproportionation, which means that the calculated Fermi surfaces disappear to make the system a semiconductor. Figure 3 (c) shows transfer integrals of 3. Values along the side-by-side directions (a1, b1 and c1) and two of four values along the stacking direction (p1 and p4) are larger than those of the other two values (p2 and p3) along the stacking direction, suggesting that the side-by-side interactions are stronger than the face-to-face interaction. In fact, the Fermi surfaces (Figure 3 (b)) are open along the b-axis (// the stacking direction) apart from a small hole pocket. However, the fact that the Fermi surfaces swell widely along the b-axis suggests the 2D nature of the layer.
Figure 3.
(a) Band dispersions, (b) Fermi surfaces and (c) transfer integrals of (ET)41·3H2O.
Figure 3.
(a) Band dispersions, (b) Fermi surfaces and (c) transfer integrals of (ET)41·3H2O.

The preliminary result of the temperature-dependent magnetic susceptibility is shown in Figure 4. A broad maximum around 80 K suggests the presence of the localized spin and low-dimensional magnetic interactions. The data can be fitted by the 2D Heisenberg model [26] with s = 1/2 spin concentration of 85 % per (ET)210.5 and J = −93 K. It can be considered that the spins are localized on the ET layers or localized on the acceptor part of the dianion 1. If the spins are located on the acceptor part of the dianion 1, the formula charge of the acceptor part would be −0.43. In this case the negative charge would make the N=C and C=C double bonds, in the quinone skeleton, elongate and make the C-C single bonds shorter than they would otherwise be. The molecular structure and bond lengths of the dianion 1 in salt 3 are shown in Figure 1 (c). The C=C bond is 0.04 Å longer than that in the PPh4 salt (Figure 1 (b)) but the N=C and C-C bond lengths in 3 are not significantly different from those in the PPh4 salt. If the accepting part gains about a half of an electron, not only the C=C bond length but also the N=C and C-C bond lengths should change. Therefore from the crystallographic point of view it is unclear whether the accepting part has extra electron density or not. The room temperature ESR spectrum using a powder sample of 3 has only one lorentzian signal with g = 2.0061 and ΔHpp = 25 G. The g-value is close to that of ET0.5+ [2,27] and no additional ESR signal was observed, suggesting that the unpaired spins are located on the ET layers rather than on the dianion 1.
Figure 4.
χ vs T plots for (ET)41·3H2O where χ is the molar magnetic susceptibility per (ET)2(1)0.5·1.5H2O. The solid line is calculated on the basis of a 2D Heisenberg model [26].
Figure 4.
χ vs T plots for (ET)41·3H2O where χ is the molar magnetic susceptibility per (ET)2(1)0.5·1.5H2O. The solid line is calculated on the basis of a 2D Heisenberg model [26].

It is still possible that a very small fraction (x << 1) of an electron moves from the donor layer to the acceptor part of 1, if x is too small to detect by ESR. If the doping effect is significant, an increase in the conductivity should be observed. However, the room temperature resistivity ρRT = 6.2 Ω·cm (Ea = 0.079 eV) is as large as other salts that have a magnetic ground state in the donor layer. For example, ρRT = 5.4 Ω·cm (Ea = 0.22 eV) for the Mott insulator α-(ET)2(TEMPO-N(CH3)COCH2SO3)·3H2O [28], ρRT = 13 Ω·cm (Ea = 0.22 eV) for the charge-ordered salt α´´´-(ET)4(Fe(C5H4SO3)2)·6H2O [29] and ρRT = 26 Ω·cm (Ea = 0.31 eV) for the Mott insulator α-(ET)2(PO-CONHCH2SO3)·2H2O [30]. These results indicate that the presence of a doping effect in 3 is unlikely. The anionic acceptor 1 is the strongest acceptor we have prepared [15,16,17,18], therefore we expected partial or whole electron transfer from donor to the anionic acceptor, which is in fact shown to be negligible. Most ET salts with anionic acceptors [15,16,17,18] have short contacts between a donor molecule (D) and acceptor part (A) because formation of the D-A CT interaction usually makes the system more stable. In fact, most anionic acceptors [15,16,17,18] have provided large crystals irrespective of whether it is conductive or not, probably because these salts not only have electrostatic interactions but also CT interactions. However, in salt 3 no D-A CT interactions have been observed and the needles of salt 3 are very thin. Furthermore, it is experimentally difficult to obtain 3: single crystals of the salt have been produced a few times despite having tried the electrocrystallization many times. Since the Coulombic interactions are much stronger than the CT interaction, in salt 3 the electrostatic interaction between –SO3− and ET is the most dominant force that constructs the crystal field. The quinone skeleton of 1 is surrounded by the two bulky –SO3− groups, which prevent ET approaching the quinone skeleton. This steric hindrance may prevent the D-A short contacts. Therefore, 3 cannot have a coexistence of the electrostatic and CT interactions and only the stronger static interaction prevails. Introduction of a functional group onto the quinone skeleton of 1 may provide a route for enhancing the CT interaction with ET. Specifically, the introduction of an electron withdrawing group may provide a stronger anionic acceptor. This is now in progress. In addition, the activation energy of 3 is significantly lower than other magnetic salts [28,29,30], suggesting the existence of some doping effect or electron transport via the S···O contact.
3. Experimental Section
Cyclic voltammetry was achieved using an ALS 612C electrochemical analyzer. X-ray diffraction data were collected using a Rigaku AFC-5R 4-circle diffractometer for (PPh4)21 and (PPh4)22·1,2-dichloroethane (see Figure 6), and using a Rigaku Mercury 2 CCD configured with the Rigaku MicroMax-007HF generator and VariMax confocal mirror, at room temperature. Electrical resistivity of single crystals was measured by a conventional four probe method using a HUSO HECS-994C multi-channel resistivity meter. Magnetic susceptibility of a polycrystalline sample from 2-300 K was measured using a Quantum Design MPMS-5SH SQUID magnetometer. The data were corrected for the contribution of the sample holder (Al foil) and diamagnetic contributions were estimated from Pascal’s constants. The ESR spectrum of a polycrystalline sample was obtained on a JEOL JES-FE3XG spectrometer, at room temperature. The g value was determined using a Mn2+/MgO marker as an internal standard.
3.1. Synthesis of Ditetraphenylphosphonium N,N'-Disulfo-1,4-benzoquinonediimine [(PPh4)21]
The reaction of p-phenylenediamine (1.08 g, 10 mmol) with pyridine-sulfur trioxide complex (9.55 g, 6.0 mmol) in a mixture of H2O (100 mL) and pyridine (16.2 mL) at 0 °C for one hour gave the acidic N,N'-disulfo-p-phenylenediamine (2), which was neutralised with 75 mL of 3 N NaOH aq. Metathesis with PPh4Br and recrystallization from 1,2-dichloroethane (DCE) gave white needle crystals of (PPh4)22 (yield 24%). The product was assigned as (PPh4)22·DCE by X-ray analysis (Table 1). Oxidation of (PPh4)22·DCE (2.0 g, 1.9 mmol) with Pb(CH3COO)4 (0.94 g, 2.1 mmol) at room temperature in 200 mL of dichloromethane followed by recrystallization from DCE/ether yielded yellow blocks of (PPh4)21 (yield 61%), which was assigned by X-ray analysis (Table 1). The configuration of the N-SO3– groups corresponds to an anti isomer [31].
Table 1.
Crystal data and structure refinement for (PPh4)22·CH2ClCH2Cl, (PPh4)21 and (ET)41·3H2O.
| Compound | (PPh4)22·dichloroethane | (PPh4)21 | (ET)41·3H2O |
|---|---|---|---|
| Empirical formula | C56H50N2O6P2S2Cl2 | C54H44N2O6P2S2 | C46H42N2O9S34 |
| Crystal system | Triclinic | Triclinic | Triclinic |
| Space group | Pī | Pī | Pī |
| a (Å) | 13.849(3) | 9.859(2) | 6.742(3) |
| b (Å) | 14.817(3) | 13.683(4) | 15.518(7) |
| c (Å) | 13.542(3) | 9.664(2) | 18.034(7) |
| α (°) | 108.410(14) | 105.04(2) | 74.29(3) |
| β (°) | 102.833(14) | 93.651(18) | 82.16(3) |
| γ (°) | 98.057(15) | 110.735(20) | 80.35(3) |
| V (Å3) | 2503.4(9) | 1159.8(5) | 1782.2(14) |
| Z | 2 | 1 | 1 |
| λ (Å) | 0.71073 | 0.71073 | 0.71073 |
| Dcalc (mg m−3) | 1.39 | 1.35 | 1.73 |
| µ (mm−1) | 0.3312 | 0.2384 | 1.065 |
| No. of ref. collected | 12358 | 5645 | 14244 |
| No. of independent ref. | 11515 | 5333 | 7763 |
| No. of ref. used | 5746 [I > 1.5σ(I)] | 3987 [I > 1.0σ(I)] | 3129 [I > 2.5σ(I)] |
| No. of parameters | 691 | 386 | 424 |
| 2 θmax (°) | 27.5 | 27.5 | 27.5 |
| R | 0.066 [I > 1.5σ(I)] | 0.051 [I > 1.0σ(I)] | 0.067 [I > 2.5σ(I)] |
| Rw | 0.069 [I > 1.5σ(I)] | 0.055 [I > 1.0σ(I)] | 0.057 [I > 2.5σ(I)] |
The CCDC numbers are 874329-874331.
3.2. Preparation of ET Salt with N,N´-Disulfo-1,4-benzoquinonediimine
Conventional constant-current electrocrystallization in pyridine or in a solvent mixture of chlorobenzene and acetonitrile (10–50%) with 10 mg of ET and 35 mg of (PPh4)21 gave very thin black needles of (ET)41·3H2O.
4. Conclusions
We have prepared a novel organic dianionic acceptor, N,N'-disulfo-1,4-benzoquinonediimine (1), which is a stronger acceptor than DDQ. The dianion has provided an ET salt, (ET)41·3H2O, which has 2D conducting donor sheets. There are three crystallographically independent donors (A, B, and C) where only a donor (B) has a short S···O contact with the –SO3− group of 1. In fact, molecule B also has a more positive charge than A or C. The charge disproportionation makes the system a semiconductor. In the salt, no short contacts between ET and quinone skeleton of 1 were observed. In fact, the charge transfer from the donor layer to the acceptor part of 1 appears to be negligible.
Acknowledgments
We are grateful to W. J. Spillane of National University of Ireland for helpful discussion of the preparation of 2. This work was partially supported from 2007–2011 by Grant-in-Aid for Scientific Research (No. 19550023) from Japan Society for the Promotion of Science.
References and Notes
- Mizuno, M.; Garito, A.F.; Cava, M.P. “Organic metals”: alkylthio substitution effects in tetrathiafulvalene–tetracyanoquinodimethane charge-transfer complexes. J. Chem. Soc. Chem. Commun. 1978, 18–19. [Google Scholar]
- Williams, J.M.; Ferraro, J.R.; Thorn, R.J.; Carlson, K.D.; Geiser, U.; Wang, H.H.; Kini, A.M.; Whangbo, M.-H. Organic Superconductor (Including Fullerenes) Synthesis, Structure, Properties and Theory; Prentice-Hall: New York, NY, USA, 1992. [Google Scholar]
- Mori, T. Structural Genealogy of BEDT-TTF-Based Organic Conductors I. Parallel Molecules: β and β'' Phases. Bull. Chem. Soc. Jpn. 1998, 71, 2509–2526. [Google Scholar]
- Mori, T.; Mori, H.; Tanaka, S. Structural Genealogy of BEDT-TTF-Based Organic Conductors II. Inclined Molecules: θ, α, and κ Phases. Bull. Chem. Soc. Jpn. 1999, 72, 179–197. [Google Scholar]
- Mori, T. Structural Genealogy of BEDT-TTF-Based Organic Conductors III. Twisted Molecules: δ and α' Phases. Bull. Chem. Soc. Jpn. 1999, 72, 2011–2027. [Google Scholar]
- Kini, A.M.; Geiser, U.; Wang, H.H.; Carlson, K.D.; Williams, J.M.; Kwok, W.K.; Vandervoort, K.G.; Thompson, J.E.; Stupka, D.L.; Jung, D.; Whangbo, M.-H. A new ambient-pressure organic superconductor, κ-(ET)2Cu[N(CN)2]Br, with the highest transition temperature yet observed (inductive onset Tc = 11.6 K, resistive onset = 12.5 K). Inorg. Chem. 1990, 29, 2555–2557. [Google Scholar]
- Williams, J.M.; Kini, A.M.; Wang, H.H.; Carlson, K.D.; Geiser, U.; Montgomery, L.K.; Pyrka, G.J.; Watkins, D.M.; Kommers, J.M.; Boryschuk, S.J.; et al. From semiconductor-semiconductor transition (42 K) to the highest-Tc organic superconductor, κ-(ET)2Cu[N(CN)2]Cl (Tc = 12.5 K). Inorg. Chem. 1990, 29, 3274–3282. [Google Scholar]
- Bednorz, J.G.; Müller, K.A. Possible high Tc superconductivity in the Ba−La−Cu−O system. Z. Phys. B 1986, 64, 189–193. [Google Scholar]
- Yamamoto, T.; Tajima, H.; Yamaura, J.; Aonuma, S.; Kato, R. Reflectance Spectra and Electrical Resistivity of (Me2-DCNQI)2Li1-xCux. J. Phys. Soc. Jpn. 1999, 68, 1384–1391. [Google Scholar] [CrossRef]
- Mori, H.; Kamiya, M.; Haemori, M.; Suzuki, H.; Tanaka, S.; Nishio, Y.; Kajita, K.; Moriyama, H. First Systematic Band-Filling Control in Organic Conductors. J. Am. Chem. Soc. 2002, 124, 1251–1260. [Google Scholar]
- Katsuhara, M.; Kimura, S.; Mori, T.; Misaki, Y.; Tanaka, K. Band Filling Control by Chemical Approach in Molecular Conductors, (TTM-TTP)MxM'1-xCl4 [M, M´ = Fe, Ga, Co, and Mn]. Chem. Mater. 2002, 14, 458–462. [Google Scholar]
- Sasaki, T.; Oizumi, H.; Yoneyama, N.; Kobayashi, N.; Toyota, N. X-ray Irradiation-Induced Carrier Doping Effects in Organic Dimer–Mott Insulators. J. Phys. Soc. Jpn. 2007, 76, 123701:1–123701:4. [Google Scholar]
- Akutsu, H.; Yamashita, S.; Yamada, J.; Nakatsuji, S.; Hosokoshi, Y.; Turner, S.S. A Purely Organic Paramagnetic Metal, κ-β''-(BEDT-TTF)2(PO-CONHC2H4SO3), Where PO = 2,2,5,5-Tetramethyl-3-pyrrolin-1-oxyl Free Radical. Chem. Mater. 2010, 23, 762–764. [Google Scholar]
- Akutsu, H.; Kawamura, A.; Yamada, J.; Nakatsuji, S.; Turner, S.S. Anion polarity-induced dual oxidation states in a dual-layered purely organic paramagnetic charge-transfer salt, (TTF)3(PO-CON(CH3)C2H4SO3)2, where PO = 2,2,5,5-tetramethyl-3-pyrrolin-1-oxyl free radical. CrystEngComm 2011, 13, 5281–5284. [Google Scholar] [CrossRef]
- Akutsu, H.; Yamada, J.; Nakatsuji, S.; Turner, S.S. An anionic weak acceptor 2-aminomethylsulfo-3,5,6-trichloro-1,4-benzoquinone and its BEDT-TTF-based charge-transfer salts. Solid State Commun. 2007, 144, 144–147. [Google Scholar] [CrossRef]
- Akutsu, H.; Yamada, J.; Nakatsuji, S.; Turner, S.S. A new anionic acceptor, 2-sulfo-3,5,6-trichloro-1,4-benzoquinone and its charge-transfer salts. CrystEngComm 2009, 144, 2588–2592. [Google Scholar]
- Akutsu, H.; Sasai, T.; Yamada, J.; Nakatsuji, S.; Turner, S.S. New anionic acceptors Br2XQNHCH2SO3− [X = Br, BryCl1−y (y≈0.5), and Cl; Q=1,4-benzoquinone] and their charge-transfer salts. Physica B 2010, 405, S2–S5. [Google Scholar]
- Akutsu, H.; Maruyama, Y.; Yamada, J.; Nakatsuji, S.; Turner, S.S. A new BEDT-TTF-based organic metal with an anionic weak acceptor 2-sulfo-1,4-benzoquinone. Synth. Met. 2011, 161, 2339–2343. [Google Scholar]
- Hünig, S.; Herberth, E. N,N´-Dicyanoquinone Diimines (DCNQIs): Versatile Acceptors for Organic Conductors. Chem. Rev. 2004, 104, 5535–5563. [Google Scholar] [CrossRef]
- Adams, R.; Nagarkatti, A.S. Quinone Imides. I. p-Quinone Disulfonimides. J. Am. Chem. Soc. 1950, 72, 4601–4606. [Google Scholar]
- Spillane, W.J.; Sheahan, M.B.; Ryder, C.A. Synthesis and taste properties of sodium disubstituted phenylsulfamates. Structure-taste relationships for sweet and bitter/sweet sulfamates. Food Chem. 1993, 47, 363–369. [Google Scholar]
- Voltage versus saturated calomel electrode in CH3CN with 0.1 M Bu4NClO4, glassy carbon electrode, at room temperature, under nitrogen (scan rate = 50 mV·s−1).
- All water molecules are located close to the inversion centres and refined with multiplicity 0.5.
- Guionneau, P.; Kepert, C.J.; Bravic, G.; Chasseau, D.; Truter, M.R.; Kurmoo, M.; Day, P. Determining the charge distribution in BEDT-TTF salts. Synth. Met. 1997, 86, 1973–1974. [Google Scholar] [CrossRef]
- Mori, T.; Kobayashi, A.; Sasaki, Y.; Kobayashi, H.; Saito, G.; Inokuchi, H. The Intermolecular Interaction of Tetrathiafulvalene and Bis(ethylenedithio)tetrathiafulvalene in Organic Metals. Calculation of Orbital Overlaps and Models of Energy-band Structures. Bull. Chem. Soc. Jpn. 1984, 57, 627–633. [Google Scholar]
- Lines, M.E. The quadratic-layer antiferromagnet. J. Phys. Chem. Solids 1970, 31, 101–116. [Google Scholar] [CrossRef]
- Sugano, T.; Saito, G.; Kinoshita, M. Spin relaxation and diffusion in quasi-two-dimensional organic metals: The bis(ethylenedithiolo)tetrathiafulvalene compounds β-(BEDT-TTF)2X (X = I3 and IBr2). Phys. Rev. B 1987, 35, 6554–6559. [Google Scholar]
- Akutsu, H.; Yamada, J.; Nakatsuji, S.; Turner, S.S. A novel BEDT-TTF-based purely organic magnetic conductor, α-(BEDT-TTF)2(TEMPO-N(CH3)COCH2SO3)·3H2O. Solid State Commun. 2006, 140, 256–260. [Google Scholar] [CrossRef]
- Akutsu, H.; Ohnishi, R.; Yamada, J.; Nakatsuji, S.; Turner, S.S. Novel Bis(ethylenedithio)tetrathiafulvalene-Based Organic Conductor with 1,1'-Ferrocenedisulfonate. Inorg. Chem. 2007, 46, 8472–8474. [Google Scholar]
- Akutsu, H.; Yamashita, S.; Yamada, J.; Nakatsuji, S.; Turner, S.S. Novel Purely Organic Conductor with an Aminoxyl Radical, α-(BEDT-TTF)2(PO–CONHCH2SO3)·2H2O (PO = 2,2,5,5-Tetramethyl-3-pyrrolin-1-oxyl Free Radical). Chem. Lett. 2008, 37, 882–883. [Google Scholar] [CrossRef]
- Different recrystallisation conditions of (PPh4)21 sometimes gave the other two shapes of crystals. One (yellow needle) was assigned as (PPh4)21·2H2O, in which 1 is an anti isomer. The other (blown plate) was obtained as a trace which assigned as (PPh4)21, in which 1 was disordered and seemed to be a syn isomer. Here we used only the yellow blocks of (PPh4)21 for the characterisation of 1 and electrocrystallisation with ET.
© 2012 by the authors; licensee MDPI, Basel, Switzerland. This article is an open-access article distributed under the terms and conditions of the Creative Commons Attribution license (http://creativecommons.org/licenses/by/3.0/).