High-Pressure Synthesis of Novel Ternary Transition Metal Chalcogenide Ba2Re6Se11
Abstract
1. Introduction
2. Materials and Methods
3. Results and Discussion
3.1. Crystal Structure
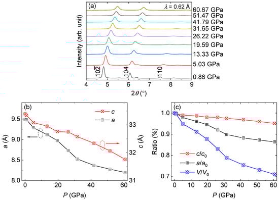
3.2. Crystallographic Stability
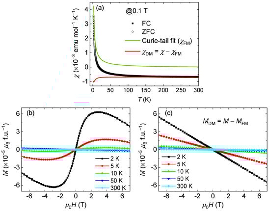
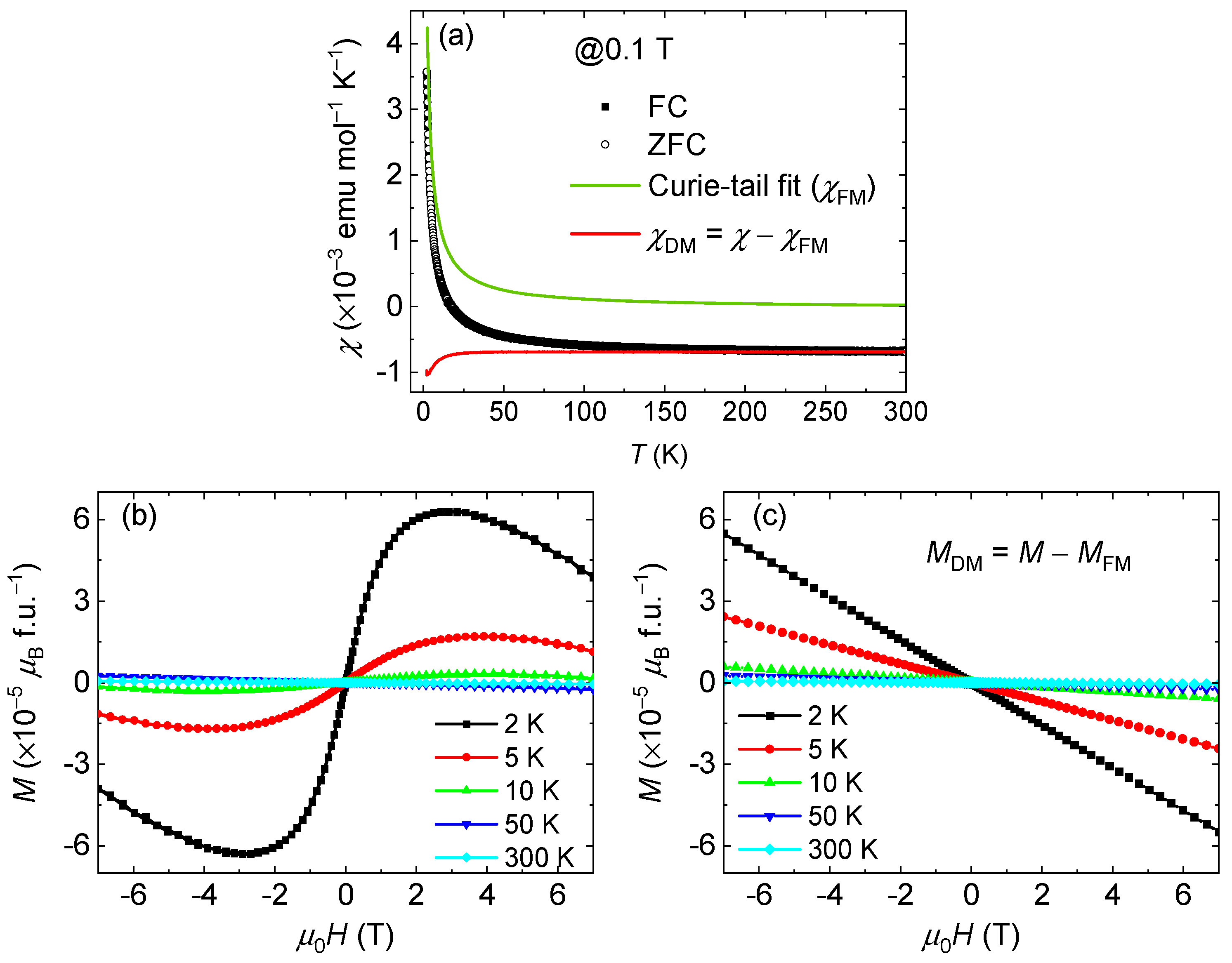
3.3. Magnetic Properties
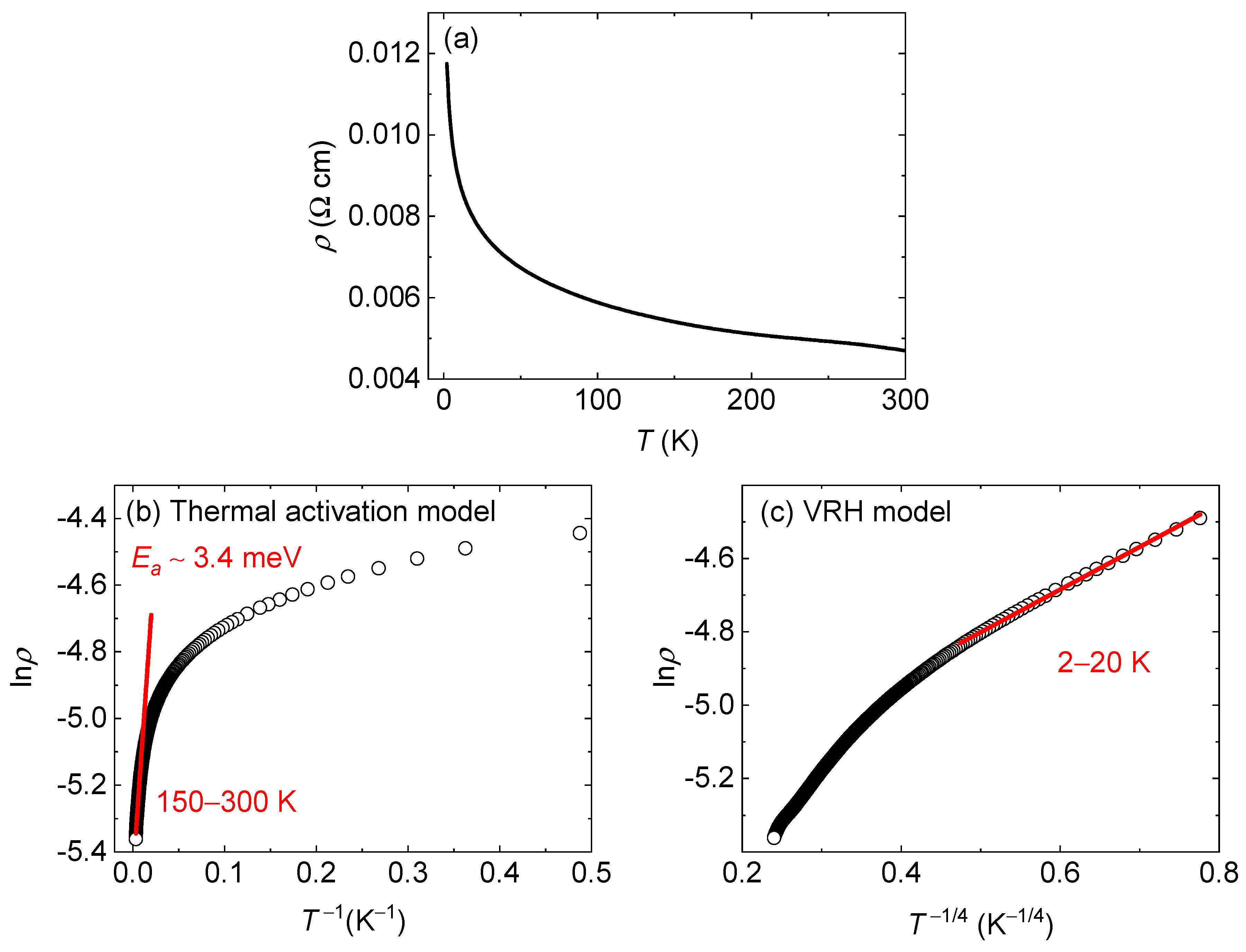
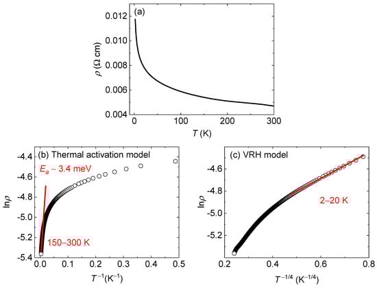
3.4. Transport Properties
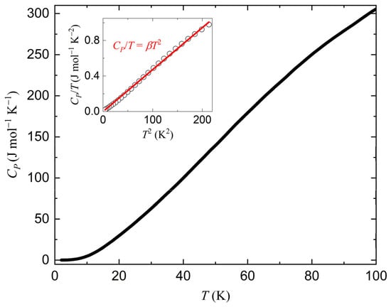
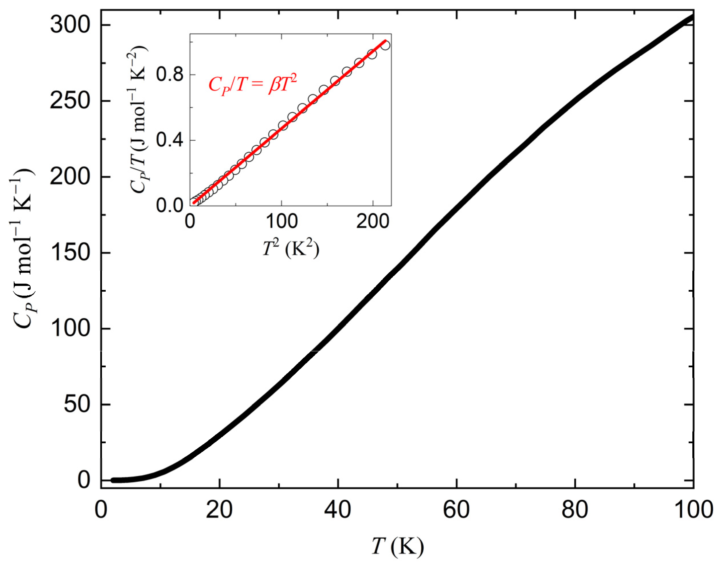
3.5. Heat Capacity
4. Conclusions
Author Contributions
Funding
Data Availability Statement
Acknowledgments
Conflicts of Interest
References
- Aldakov, D.; Lefranςois, A.; Reiss, P. Ternary and Quaternary Metal Chalcogenide Nanocrystals: Synthesis, Properties and Applications. J. Mater. Chem. C 2013, 1, 3756–3776. [Google Scholar] [CrossRef]
- Antipina, L.Y.; Wei, J.; Sorokin, P.B. Unlocking the Potential of 1D M2X3Y8 Ternary Transition Metal Chalcogenides: A Review. Nano Lett. 2025, 25, 7195–7209. [Google Scholar] [CrossRef]
- Gao, T.; Zhang, Q.; Li, L.; Zhou, X.; Li, L.; Li, H.; Zhai, T. 2D Ternary Chalcogenides. Adv. Optical. Mater. 2018, 6, 1800058. [Google Scholar] [CrossRef]
- Eichhorn, B.W. Ternary Transition Metal Sulfides. In Progress in Inorganic Chemistry; Karlin, K.D., Ed.; John Wiley & Sons: Hoboken, NJ, USA, 1994; Volume 42, pp. 139–237. [Google Scholar]
- Fischer, O.; Maple, L.B. Superconductivity in Ternary Compounds II: Superconductivity and Magnetism; Springer Science & Business Media: Berlin/Heidelberg, Germany, 2012. [Google Scholar]
- Telford, E.J.; Russell, J.C.; Swann, J.R.; Fowler, B.; Wang, X.; Lee, K.; Zangiabadi, A.; Watanabe, K.; Taniguchi, T.; Nuckolls, C.; et al. Doping-Induced Superconductivity in the van der Waals Superatomic Crystal Re6Se8Cl2. Nano Lett. 2020, 20, 1718–1724. [Google Scholar] [CrossRef] [PubMed]
- Jeong, B.J.; Choi, K.H.; Jeon, J.; Yoon, S.O.; Chung, Y.K.; Sung, D.; Chae, S.; Kim, B.J.; Oh, S.; Lee, S.H.; et al. Ternary Transition Metal Chalcogenide Nb2Pd3Se8: A New Candidate of 1D van der Waals Materials for Field-Effect Transistors. Adv. Funct. Mater. 2022, 32, 2108104. [Google Scholar] [CrossRef]
- Devika, R.S.; Vengatesh, P.; Shyju, T.S. Review on ternary chalcogenides: Potential photoabsorbers. Mater. Today Proc. 2023; in press. [Google Scholar] [CrossRef]
- Cheng, X.; Zhang, Z.; Kong, Q.; Zhang, Q.; Wang, T.; Dong, S.; Gu, L.; Wang, X.; Ma, J.; Han, P.; et al. Highly Reversible Cuprous Mediated Cathode Chemistry for Magnesium Batteries. Angew. Chem. Int. Ed. 2020, 59, 11477–11482. [Google Scholar] [CrossRef]
- He, Y.; Fecher, G.H.; Kroder, J.; Borrmann, H.; Wang, X.; Zhang, L.; Kuo, C.-Y.; Liu, C.-E.; Chen, C.-T.; Chen, K.; et al. Easy-Cone Magnetic Structure in (Cr0.9B0.1)Te. Appl. Phys. Lett. 2020, 116, 102404. [Google Scholar] [CrossRef]
- Tiwari, A.P.; Novak, T.G.; Bu, X.; Ho, J.C.; Jeon, S. Layered Ternary and Quaternary Transition Metal Chalcogenide Based Catalysts for Water Splitting. Catalysts 2018, 8, 551. [Google Scholar] [CrossRef]
- Bronger, W. Ternary Rhenium and Technetium Chalcogenides Containing Re6 or Tc6 Clusters. In Metal Clusters in Chemistry; Braunstein, P., Oro, L.A., Raithby, P.R., Eds.; WILEY-VCH Verlag GmbH: Berlin, Germany, 1999; Volume 3, pp. 1591–1611. [Google Scholar]
- Perrin, A.; Perrin, C. The Molybdenum and Rhenium Octahedral Cluster Chalcohalides in Solid State Chemistry: From Condensed to Discrete Cluster Units. Comptes Rendus Chimie 2012, 15, 815–836. [Google Scholar] [CrossRef]
- Perryman, J.T.; Velázquez, J.M. Design Principles for Multinary Metal Chalcogenides: Toward Programmable Reactivity in Energy Conversion. Chem. Mater. 2021, 33, 7133–7147. [Google Scholar] [CrossRef]
- Perrin, A.; Perrin, C.; Chevrel, R. Chevrel Phases: Genesis and Developments. Struct. Bond. 2019, 180, 1–30. [Google Scholar]
- Zhang, W.; Zhang, W.; Tan, J.; Tang, Y.; Gao, Q. Chevrel Phases: Synthesis, Structure, and Electrocatalytic Applications. Chem. Front. 2023, 7, 5500–5518. [Google Scholar] [CrossRef]
- Liu, M.; Lv, G.; Liu, T.; Liu, H.; Kong, L.; Tian, L.; Rao, W.; Li, Y.; Liao, L.; Guo, J. Chevrel Phase: A Review of Its Crystal Structure and Electrochemical Properties. Prog. Nat. Sci. Mater. Int. 2023, 33, 8–15. [Google Scholar] [CrossRef]
- Ito, E. Multi-Anvil Cells and High Pressure Experimental Methods. In Treatise on Geophysics, 2nd ed.; Price, G.D., Ed.; Elsevier: Amsterdam, The Netherlands, 2015; Volume 2, pp. 233–261. [Google Scholar]
- Wang, X.; Ye, X.; Liu, Z.; Long, Y. High-Pressure Synthesis and Research Progress of Multi-Order Perovskite Oxides. Chin. Sci. Bull. 2025, 70, 3470–3486. [Google Scholar] [CrossRef]
- Wang, X.; Temnikov, F.; Ye, X.; Pi, M.; Pan, Z.; Li, W.; Hu, Z.; Chen, C.-T.; Kuo, C.-Y.; Dong, C.; et al. CuCu3Fe2Os2O12: A Room-Temperature Ferrimagnet with Reduced Thermal Conductivity. Inorg. Chem. 2025, 64, 20796–20803. [Google Scholar] [CrossRef] [PubMed]
- Nafees, M.W.; Wang, X.; Yan, L.; Wang, F.; He, L.; Lu, J.; Zhao, T.; Hu, F.; Shen, B.; Long, Y. Magnetoelectric and Converse Magnetoelectric Effects in DyCrO4 Probed by Electron Spin Resonance. J. Phys. Condens. Matter 2025, 37, 385802. [Google Scholar] [CrossRef]
- Bither, T.A.; Bouchard, R.J.; Cloud, W.H.; Donohue, P.C.; Siemons, W.J. Transition Metal Pyrite Dichalcogenides. High-Pressure Synthesis and Correlation of Properties. Inorg. Chem. 1968, 7, 2208–2220. [Google Scholar] [CrossRef]
- Zhang, J.; Komarek, A.C.; Jin, M.; Wang, X.; Jia, Y.; Zhao, J.; Li, W.; Hu, Z.; Peng, W.; Wang, X.; et al. High-Pressure Synthesis, Crystal Structure, and Properties of Iron-Based Spin-Chain Compound Ba9Fe3Se15. Phys. Rev. Mater. 2021, 5, 054606. [Google Scholar] [CrossRef]
- Pan, Z.; Liang, Z.; Wang, X.; Fang, Y.-W.; Ye, X.; Liu, Z.; Nishikubo, T.; Sakai, Y.; Shen, X.; Liu, Q.; et al. Mixed Anion Control of Enhanced Negative Thermal Expansion in the Oxysulfide of PbTiO3. Mater. Horiz. 2024, 11, 5394–5401. [Google Scholar] [CrossRef]
- Pan, Z.; Fang, Y.-W.; Nikolaev, S.A.; Wu, L.; Zhang, J.; Ye, M.; Liu, J.; Ye, X.; Wang, X.; Nishikubo, T.; et al. Anion-Mediated Unusual Enhancement of Negative Thermal Expansion in the Oxyfluoride of PbTiO3. Mater. Horiz. 2025, 12, 6804–6811. [Google Scholar] [CrossRef]
- Zhao, H.; Bai, Y.; Yin, K.; Wang, X.; Liu, Z.; Ye, X.; Lu, D.; Zhang, J.; Pi, M.; Hu, Z.; et al. CaCu3Mn2Te2O12: An Intrinsic Ferrimagnetic Insulator Prepared Under High Pressure. Inorg. Chem. 2023, 62, 21233–21239. [Google Scholar] [CrossRef]
- Dai, J.; Shen, X.; Liu, Z.; Zhao, Q.; Wang, X.; Dong, C.; Bian, Y.; Ding, W.; Sheng, Z.; Azuma, M.; et al. Formation of ZnO4 Tetrahedra and ZnO6 Octahedra in TeZnO3 Synthesized under High Pressure. Inorg. Chem. 2018, 57, 6716–6721. [Google Scholar] [CrossRef]
- Bronger, W.; Miessen, H.-J. Synthesis and Crystal Structures of Ba2Re6S11 and Sr2Re6S11, Compounds Containing [Re6S8] Clusters. J. Less-Common Met. 1982, 83, 29–38. [Google Scholar] [CrossRef]
- Levi, E.; Aurbach, D. Lattice Strains in the Ligand Framework in the Octahedral Metal Cluster Compounds as the Origin of Their Instability. Chem. Mater. 2011, 23, 1901–1914. [Google Scholar] [CrossRef]
- Rietveld, H.M. A Profile Refinement Method for Nuclear and Magnetic Structures. J. Appl. Crystallogr. 1969, 2, 65–71. [Google Scholar] [CrossRef]
- Von Dreele, R. Quantitative Texture Analysis by Rietveld Refinement. J. Appl. Crystallogr. 1997, 30, 517–525. [Google Scholar] [CrossRef]
- Liu, W.; Feng, J.; Zhou, W.; Li, S.; Shi, Z. High-Pressure Studies on Quasi-One-Dimensional Systems. Chin. Phys. B 2025, 34, 088104. [Google Scholar] [CrossRef]
- Hughbanks, T.; Hoffmann, R. Molybdenum Chalcogenides: Clusters, Chains, and Extended Solids. The Approach to Bonding in Three Dimensions. J. Am. Chem. Soc. 1983, 105, 1150–1162. [Google Scholar] [CrossRef]
- Deluzet, A.; Duclusaud, H.; Sautet, P.; Borshch, S.A. Electronic Structure of Diamagnetic and Paramagnetic Hexanuclear Chalcohalide Clusters of Rhenium. Inorg. Chem. 2002, 41, 2537–2542. [Google Scholar] [CrossRef]
- Gaifulina, V.K.; Gaifulin, Y.M.; Ryzhikov, M.R.; Ulantikov, A.A.; Yanshole, V.V.; Naumov, N.G. Introduction of Niobium in the Chemistry of Octahedral Chalcogenide Clusters: Synthesis and Detailed Study of Compounds Based on Condensed and Discrete {Re5NbQ8} (Q = S or Se) Cores. Inorg. Chem. 2024, 63, 15863–15874. [Google Scholar] [CrossRef]
- Zhou, L.; Wang, X.; Liu, Z.; Ye, X.; Zhang, J.; Zhao, H.; Lu, D.; Pi, M.; Pan, Z.; Zhang, X.; et al. High-Pressure Single Crystal Growth and Magnetoelectric Properties of CdMn7O12. J. Phys. Condens. Mater. 2023, 35, 254001. [Google Scholar] [CrossRef] [PubMed]
- Wang, X.; Zhang, J.; Pan, Z.; Lu, D.; Pi, M.; Ye, X.; Dong, C.; Chen, J.; Chen, K.; Radu, F.; et al. X-ray Absorption Spectroscopic Study of the Transition-Metal-Only Double Perovskite Oxide Mn2CoReO6. J. Phys. Chem. C 2024, 128, 15668–15675. [Google Scholar] [CrossRef]
- Huan, G.; Greaney, M.; Tsai, P.P.; Greenblatt, M. Tl4Re6X12 (X = S, Se): Crystal Growth, Structure, and Properties. Inorg. Chem. 1989, 28, 2448–2451. [Google Scholar] [CrossRef]






| Phase Data | ||||||
| Space group: R−3c | ||||||
| a = 9.4891(9) Å, c = 33.3975(5) Å | ||||||
| Rwp = 7.79%, Rp = 5.65%, χ2 = 2.90 | ||||||
| Atomic Parameters | ||||||
| Atom | Wyckoff position | x | y | z | Occupancy | Uiso (100 × Å2) |
| Ba | 12c | 0 | 0 | 0.8120(1) | 1 | 0.99(8) |
| Re | 36f | 0.8513(1) | 0.8274(1) | 0.03344(3) | 1 | 0.34(3) |
| Se1 | 36f | 0.6704(3) | 0.9581(3) | 0.03157(9) | 1 | 0.13(7) |
| Se2 | 18e | 0.7319(4) | 0 | 0.25 | 1 | 0.43(11) |
| Se3 | 12c | 0 | 0 | 0.0903(1) | 1 | 0.56(14) |
Disclaimer/Publisher’s Note: The statements, opinions and data contained in all publications are solely those of the individual author(s) and contributor(s) and not of MDPI and/or the editor(s). MDPI and/or the editor(s) disclaim responsibility for any injury to people or property resulting from any ideas, methods, instructions or products referred to in the content. |
© 2026 by the authors. Licensee MDPI, Basel, Switzerland. This article is an open access article distributed under the terms and conditions of the Creative Commons Attribution (CC BY) license.
Share and Cite
Liu, G.; Zhong, Z.; Yao, X.; Dong, Z.; Wang, X.; Liu, W.; Yang, F.; Li, W. High-Pressure Synthesis of Novel Ternary Transition Metal Chalcogenide Ba2Re6Se11. Crystals 2026, 16, 99. https://doi.org/10.3390/cryst16020099
Liu G, Zhong Z, Yao X, Dong Z, Wang X, Liu W, Yang F, Li W. High-Pressure Synthesis of Novel Ternary Transition Metal Chalcogenide Ba2Re6Se11. Crystals. 2026; 16(2):99. https://doi.org/10.3390/cryst16020099
Chicago/Turabian StyleLiu, Guanghua, Zhidan Zhong, Xiao Yao, Zhen Dong, Xiao Wang, Wenhui Liu, Fang Yang, and Wenmin Li. 2026. "High-Pressure Synthesis of Novel Ternary Transition Metal Chalcogenide Ba2Re6Se11" Crystals 16, no. 2: 99. https://doi.org/10.3390/cryst16020099
APA StyleLiu, G., Zhong, Z., Yao, X., Dong, Z., Wang, X., Liu, W., Yang, F., & Li, W. (2026). High-Pressure Synthesis of Novel Ternary Transition Metal Chalcogenide Ba2Re6Se11. Crystals, 16(2), 99. https://doi.org/10.3390/cryst16020099

