Pyroelectric Properties and Applications of Lithium Tantalate Crystals
Abstract
1. Introduction
2. Pyroelectric Effect and Its Influencing Factors
2.1. Pyroelectric Effect
2.2. Pyroelectric Coefficient
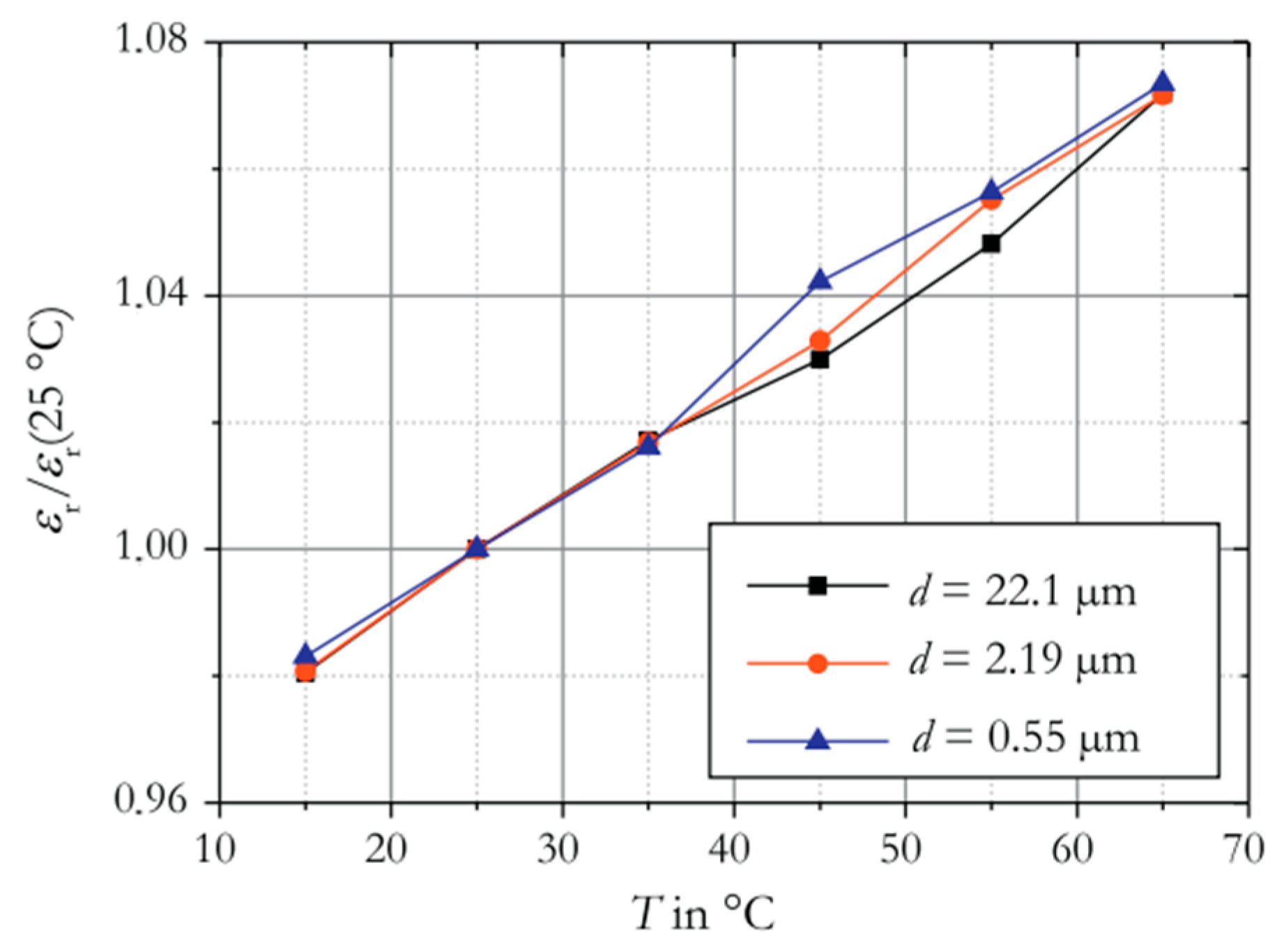
2.3. Factors Affecting Pyroelectric Performance
3. Methods of Modulating Pyroelectric Properties
3.1. Reduced Thickness
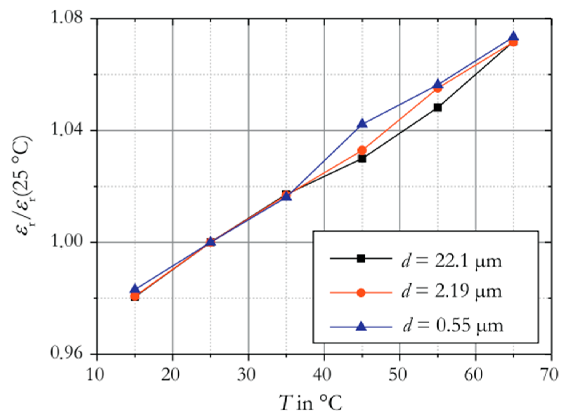
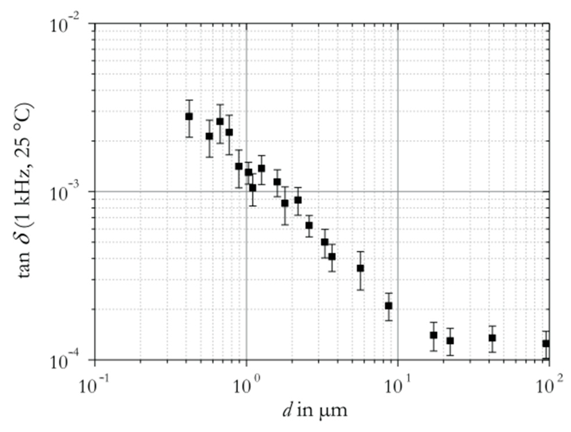
3.1.1. Mechanical Thinning
3.1.2. Preparation of Thin Films
3.2. Addition of the Absorption Layer
3.3. Near Stoichiometric Lithium Tantalate Crystals
4. Pyroelectric Detectors and Their Applications
4.1. Pyroelectric Detectors
4.2. Application of Pyroelectric Detectors
5. Summary and Outlook
Author Contributions
Funding
Data Availability Statement
Acknowledgments
Conflicts of Interest
References
- Whatmore, R. Pyroelectric devices and materials. Rep. Prog. Phys. 1986, 49, 1335. [Google Scholar] [CrossRef]
- Jia, J.; Guo, S.; Yan, S.; Cao, F.; Yao, C.; Dong, X.; Wang, G. Simultaneous large pyroelectric response and high depolarization temperature in sodium bismuth titanate-based perovskites. Appl. Phys. Lett. 2019, 114, 032902. [Google Scholar] [CrossRef]
- Beerman, H.P. Investigation of pyroelectric material characteristics for improved infrared detector performance. Infrared Phys. 1975, 15, 225–231. [Google Scholar] [CrossRef]
- Bravina, S.L.; Morozovsky, N.V.; Morozovska, A.N.; Gille, S.; Salvestrini, J.-P.; Fontana, M. Investigations of LiNbO3 and LiTaO3 single crystals for pyroelectric applications in the wide temperature range. Ferroelectrics 2007, 353, 202–211. [Google Scholar] [CrossRef]
- Keve, E. Pyroelectric materials based on triglycine sulphate (TGS) for infrared detection. Philips. Tech. Rev. 1975, 35, 247–257. [Google Scholar]
- Tang, F.; Long, S.; Yang, X.; Yang, M.; Quan, J.; Lin, S.; Ma, D.; Zhu, Y.; Wang, B. Optimization of pyroelectric figures of merit via magnesia doping in lithium tantalate single crystal. J. Phys. D Appl. Phys. 2018, 51, 395101. [Google Scholar] [CrossRef]
- Nougaret, L.; Combette, P.; Pascal-Delannoy, F. Growth of lithium tantalate thin films by radio-frequency magnetron sputtering with lithium enriched target. Thin Solid Films 2009, 517, 1784–1789. [Google Scholar] [CrossRef]
- Liang, T.; Lin, S.J.; Li, Y.; Lei, C.; Xue, C.Y. Research on the Effect of Mechanical Processing on Lithium Tantalate Crystal Pyroelectric Coefficient. Adv. Mater. Res. 2014, 834, 880–884. [Google Scholar] [CrossRef]
- He, H.; Lu, X.; Hanc, E.; Chen, C.; Zhang, H.; Lu, L. Advances in lead-free pyroelectric materials: A comprehensive review. J. Mater. Chem. C 2020, 8, 1494–1516. [Google Scholar] [CrossRef]
- Jacob, M.; Hartnett, J.; Mazierska, J.; Krupka, J.; Tobar, M. Lithium tantalate-a high permittivity dielectric material for microwave communication systems. In Proceedings of the TENCON 2003 Conference on Convergent Technologies for Asia-Pacific Region, Bangalore, India, 15–17 October 2003. [Google Scholar] [CrossRef]
- Liang, Z.; Zheng, X.; Li, G.; Liu, Z.; Jiang, Y.; Wang, T. High Absorption of Goldblack Film for a pyroelectric detector based on ultra-thin LiTaO3 crystal. In Proceedings of the 2021 46th International Conference on Infrared, Millimeter and Terahertz Waves (IRMMW-THz), Chengdu, China, 29 August–3 September 2021. [Google Scholar] [CrossRef]
- Plehnert, C.; Norkus, V.; Möhling, S.; Hayes, A. Reactive ion beam etching of lithium tantalate and its application for pyroelectric infrared detectors. Surf. Coat. Technol. 1995, 74, 932–936. [Google Scholar] [CrossRef]
- Sokoll, T.; Norkus, V.; Gerlach, G. Ion beam etching of lithium tantalate and its application for pyroelectric linear arrays. Surf. Coat. Technol. 1997, 97, 469–474. [Google Scholar] [CrossRef]
- Hossain, A.; Rashid, M.H. Pyroelectric detectors and their applications. IEEE Trans. Ind. Appl. 1991, 27, 824–829. [Google Scholar] [CrossRef]
- Zhang, D.; Wu, H.; Bowen, C.R.; Yang, Y. Recent advances in pyroelectric materials and applications. Small 2021, 17, 2103960. [Google Scholar] [CrossRef] [PubMed]
- Lang, S.B. Pyroelectricity: From ancient curiosity to modern imaging tool. Phys. Today 2005, 58, 31–36. [Google Scholar] [CrossRef]
- Sotnikova, G.Y.; Gavrilov, G.A.; Kapralov, A.A.; Muratikov, K.L.; Smirnova, E.P. Mid-infrared radiation technique for direct pyroelectric and electrocaloric measurements. Rev. Sci. Instrum. 2020, 91, 015119. [Google Scholar] [CrossRef] [PubMed]
- Ahmed, A.S.; Kim, H.J.; Kim, J.; Hwang, K.S.; Kim, S. Enhancing the responsivity of uncooled infrared detectors using plasmonics for high-performance infrared spectroscopy. Sensors 2017, 17, 908. [Google Scholar] [CrossRef]
- Mazzoni, M.; Capineri, L. Laser pulses characterization with pyroelectric sensors. In Laser Pulse Phenomena and Applications; IntechOpen: London, UK, 2010. [Google Scholar] [CrossRef]
- Lee, S.; Ha, K.N.; Lee, K.C. A pyroelectric infrared sensor-based indoor location-aware system for the smart home. IEEE Trans. Consum. Electron. 2006, 52, 1311–1317. [Google Scholar] [CrossRef]
- Shankar, M.; Burchett, J.B.; Hao, Q.; Guenther, B.D.; Brady, D.J. Human-tracking systems using pyroelectric infrared detectors. Opt. Eng. 2006, 45, 106401–106410. [Google Scholar] [CrossRef]
- Holden, A.J. Applications of pyroelectric materials in array-based detectors. IEEE Trans. Ultrason. Ferroelectr. Freq. Control 2011, 58, 1981–1987. [Google Scholar] [CrossRef]
- D’amico, A.; Petrocco, G.; Lucchesini, A.; Giannini, F. Pyroelectric properties of thin films of sputtered lithium tantalate. Mater. Lett. 1984, 3, 33–36. [Google Scholar] [CrossRef]
- Bowen, C.R.; Taylor, J.; Leboulbar, E.; Zabek, D.; Chauhan, A.; Vaish, R. Pyroelectric materials and devices for energy harvesting applications. Energ. Environ. Sci. 2014, 7, 3836–3856. [Google Scholar] [CrossRef]
- Liu, S.; Long, D. Pyroelectric detectors and materials. Proc. IEEE 1978, 66, 14–26. [Google Scholar] [CrossRef]
- Schossig, M.; Norkus, V.; Gerlach, G. Dielectric and pyroelectric properties of ultrathin, monocrystalline lithium tantalate. Infrared Phys. Technol. 2014, 63, 35–41. [Google Scholar] [CrossRef]
- Norkus, V. Pyroelectric infrared detectors based on lithium tantalate: State of art and prospects. Detect. Assoc. Signal Process. 2004, 5251, 121–128. [Google Scholar] [CrossRef]
- Stenger, V.; Shnider, M.; Sriram, S.; Dooley, D.; Stout, M. Thin film lithium tantalate (TFLT) pyroelectric detectors. In Proceedings of the Terahertz Technology and Applications V, San Francisco, CA, USA, 22 February 2012. [Google Scholar] [CrossRef]
- Satapathy, S.; Verma, P.; Gupta, P.; Mukherjee, C.; Sathe, V.; Varma, K. Structural, dielectric and ferroelectric properties of multilayer lithium tantalate thin films prepared by sol–gel technique. Thin Solid Films 2011, 519, 1803–1808. [Google Scholar] [CrossRef]
- Norkus, V.; Gerlach, G.; Hofmann, G. Process technologies for high-resolution infrared detectors based on LiTaO3. In Proceedings of the Device and Process Technologies for MEMS and Microelectronics, Gold Coast, Australia, 1 October 1999. [Google Scholar] [CrossRef]
- Ye, C.; Baude, P.; Polla, D.L. Characterisation of Ferroelectric Lithium Tantalate Thin Films Prepared by a Sol-Gel Process. MRS Online Proc. Libr. 1993, 321, 603–608. [Google Scholar] [CrossRef]
- Zhao, L.; He, X.; Li, J.; Gao, X.; Jia, J. Electrosprayed carbon-based black coatings for pyroelectric detectors. Sens. Actuator A Phys. 2013, 196, 16–21. [Google Scholar] [CrossRef]
- Sun, X.; Ming, A.; Zhang, J.; Liu, W.; Meng, Y.; Qin, D.; Yao, J.; Wang, W.; Chen, D. Pyroelectric infrared detector based on LiTaO3 crystal with novelty nanostructured amorphous carbon film. In Proceedings of the 2017 IEEE 12th International Conference on Nano/Micro Engineered and Molecular Systems (NEMS), Los Angeles, CA, USA, 9–12 April 2017. [Google Scholar] [CrossRef]
- Xiao, X.; Liang, S.; Si, J.; Xu, Q.; Zhang, H.; Ma, L.; Yang, C.; Zhang, X. Performance of LiTaO3 crystals and thin films and their application. Crystals 2023, 13, 1233. [Google Scholar] [CrossRef]
- Xiao, X.; Si, J.; Liang, S.; Xu, Q.; Zhang, H.; Ma, L.; Yang, C.; Zhang, X. Preparation, Properties, and Applications of Near Stoichiometric Lithium Tantalate Crystals. Crystals 2023, 13, 1031. [Google Scholar] [CrossRef]
- Xiao, X.; Xu, Q.; Liang, S.; Zhan, H.; Ma, L.; Hai, L.; Zhang, X. Preparation and defect structure analysis of near-stoichiometric lithium tantalate wafers. RSC Adv. 2022, 12, 19091–19100. [Google Scholar] [CrossRef]
- Si, J.; Xiao, X.; Huang, Y.; Zhang, Y.; Liang, S.; Xu, Q.; Zhang, H.; Ma, L.; Yang, C.; Zhang, X. Study on the Fabrication and Acoustic Properties of Near-Stoichiometric Lithium Tantalate Crystal Surface Acoustic Wave Filters. Crystals 2024, 14, 400. [Google Scholar] [CrossRef]
- Xiao, X.; Xu, Q.; Liang, S.; Zhang, H.; Ma, L.; Hai, L.; Zhang, X. Preparation, electrical, thermal and mechanical properties of near-stoichiometric lithium tantalate wafers. J. Mater. Sci.-Mater. Electron. 2022, 33, 20668–20677. [Google Scholar] [CrossRef]
- Whatmore, R.W.; Ward, S.J. Pyroelectric infrared detectors and materials—A critical perspective. J. Appl. Phys. 2023, 133, 080902. [Google Scholar] [CrossRef]
- Norkus, V.; Chvedo, D.; Gerlach, G.; Köhler, R. Performance improvements for pyroelectric infrared detectors. In Proceedings of the Infrared Technology and Applications XXXII, Orlando, FL, USA, 18 May 2006. [Google Scholar]
- Yu, P.; Tang, Y.; Luo, H. Fabrication, property and application of novel pyroelectric single crystals—PMN–PT. J. Electroceram. 2010, 24, 1–4. [Google Scholar] [CrossRef]
- Damjanovic, D.; Muralt, P.; Sette, N. Ferroelectric sensors. IEEE Sens. J. 2001, 1, 191–206. [Google Scholar] [CrossRef]
- Lang, S.B.; Muensit, S. Review of some lesser-known applications of piezoelectric and pyroelectric polymers. Appl. Phys. A 2006, 85, 125–134. [Google Scholar] [CrossRef]
- Norkus, V.; Gerlach, G.; Hofman, G. High-resolution pyroelectric linear arrays based on LiTaO3. In Proceedings of the Infrared Technology and Applications XXVII, Orlando, FL, USA, 10 October 2001. [Google Scholar]
- Takayama, R.; Tomita, Y.; Asayama, J.; Nomura, K.; Ogawa, H. Pyroelectric infrared array sensors made of c-axis-oriented La-modified PbTiO3 thin films. Sens. Actuator A Phys. 1990, 22, 508–512. [Google Scholar] [CrossRef]
- Wang, J.; Gou, J.; Li, W. Preparation of room temperature terahertz detector with lithium tantalate crystal and thin film. AIP Adv. 2014, 4, 027106. [Google Scholar] [CrossRef]
- Luo, J.; Luo, W.; Zhang, K.; Sun, X.; Shuai, Y.; Wang, T.; Wu, C.; Zhang, W. High specific detectivity infrared detector using crystal ion slicing transferred LiTaO3 single-crystal thin films. Sens. Actuator A Phys. 2019, 300, 111650. [Google Scholar] [CrossRef]
- Zeng, X.; Luo, W.; Zhang, K.; Huang, S.; Shuai, Y.; Hao, X.; Wu, C.; Zhang, W. Wafer-Scale Fabrication of Silicon-Based LiTaO3 Pyroelectric Infrared Detectors by Bonding and Thinning Technology. IEEE Sens. J. 2022, 22, 17721–17726. [Google Scholar] [CrossRef]
- Liang, W.; Lu, Y.; Wu, J.; Gao, H.; Li, M. Application of LiTaO3 pyroelectric crystal for pulsed neutron detection. Nucl. Instrum. Methods Phys. Res. Sect. A Accel. Spectrometers Detect. Assoc. Equip. 2016, 827, 161–164. [Google Scholar] [CrossRef]
- Zhang, K.; Luo, W.; Zeng, X.; Huang, S.; Xie, Q.; Wan, L.; Shuai, Y.; Wu, C.; Zhang, W. Integration and Characterization of LiTaO₃ Single Crystal Film Pyroelectric Sensor Using Mid-Infrared Metamaterial Perfect Absorber. IEEE Sens. J. 2022, 22, 10381–10387. [Google Scholar] [CrossRef]
- Zhou, L.; He, Y.; Zhang, Q.; Zhang, L. Carbon dioxide sensor module based on NDIR technology. Micromachines 2021, 12, 845. [Google Scholar] [CrossRef] [PubMed]
- Mitmit, C.; Goldenber, E.; Tan, E.M. Infrared wavelength-specific gas sensing with pyroelectricity at room temperature. Sens. Actuator A Phys. 2023, 351, 114164. [Google Scholar] [CrossRef]

















Disclaimer/Publisher’s Note: The statements, opinions and data contained in all publications are solely those of the individual author(s) and contributor(s) and not of MDPI and/or the editor(s). MDPI and/or the editor(s) disclaim responsibility for any injury to people or property resulting from any ideas, methods, instructions or products referred to in the content. |
© 2024 by the authors. Licensee MDPI, Basel, Switzerland. This article is an open access article distributed under the terms and conditions of the Creative Commons Attribution (CC BY) license (https://creativecommons.org/licenses/by/4.0/).
Share and Cite
Si, J.; Xiao, X.; Zhang, Y.; Huang, Y.; Liang, S.; Xu, Q.; Zhang, H.; Ma, L.; Yang, C.; Zhang, X. Pyroelectric Properties and Applications of Lithium Tantalate Crystals. Crystals 2024, 14, 579. https://doi.org/10.3390/cryst14070579
Si J, Xiao X, Zhang Y, Huang Y, Liang S, Xu Q, Zhang H, Ma L, Yang C, Zhang X. Pyroelectric Properties and Applications of Lithium Tantalate Crystals. Crystals. 2024; 14(7):579. https://doi.org/10.3390/cryst14070579
Chicago/Turabian StyleSi, Jiashun, Xuefeng Xiao, Yan Zhang, Yan Huang, Shuaijie Liang, Qingyan Xu, Huan Zhang, Lingling Ma, Cui Yang, and Xuefeng Zhang. 2024. "Pyroelectric Properties and Applications of Lithium Tantalate Crystals" Crystals 14, no. 7: 579. https://doi.org/10.3390/cryst14070579
APA StyleSi, J., Xiao, X., Zhang, Y., Huang, Y., Liang, S., Xu, Q., Zhang, H., Ma, L., Yang, C., & Zhang, X. (2024). Pyroelectric Properties and Applications of Lithium Tantalate Crystals. Crystals, 14(7), 579. https://doi.org/10.3390/cryst14070579
