Synthesis, Crystal Structure, and Optical Properties of Mononuclear Eu(III) and Tb(III) Complexes Containing a Chalcone Ligand
Abstract
:1. Introduction
2. Materials and Methods
2.1. Synthesis
2.1.1. Synthesis of the Ligand L
2.1.2. Synthesis of the Complex [Eu(L)(hfac)3(H2O)]·0.5CHCl3 (C1)
2.1.3. Synthesis of the Complex [Tb(L)(hfac)3] (C2)
2.2. Physical Measurements
2.2.1. X-ray Structure Determination
2.2.2. Spectroscopy
3. Results
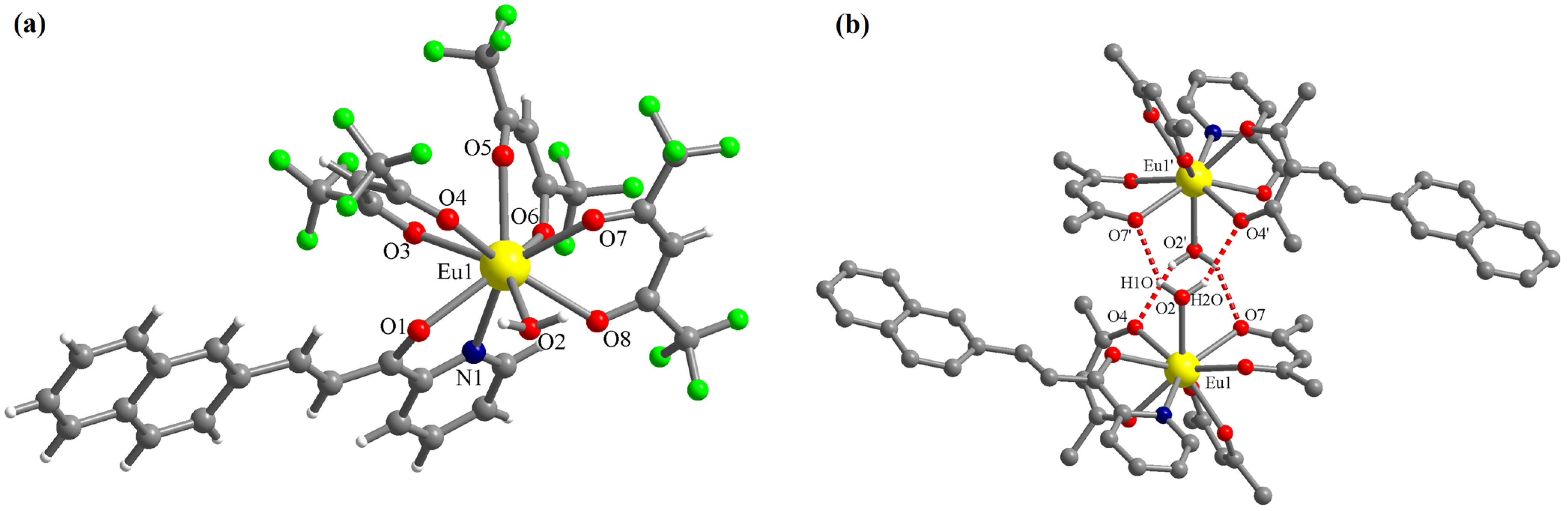
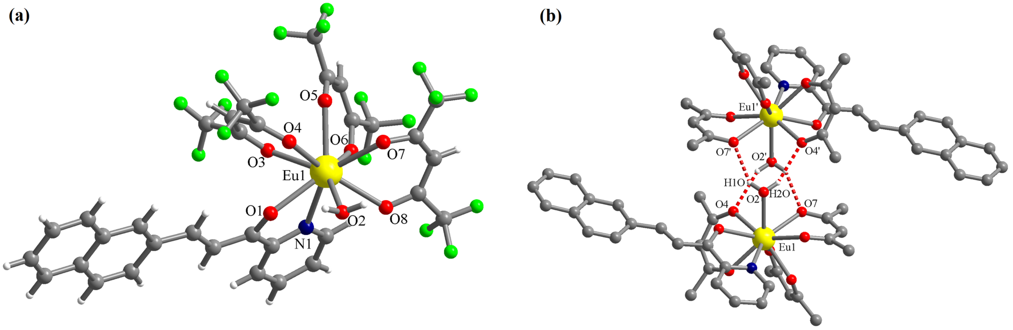
3.1. Crystal Structures’ Description
3.2. Spectral Properties
4. Conclusions
Supplementary Materials
Author Contributions
Funding
Data Availability Statement
Conflicts of Interest
References
- Zhuang, C.; Zhang, W.; Sheng, C.; Zhang, W.; Xing, C.; Miao, Z. Chalcone: A Privileged Structure in Medicinal Chemistry. Chem. Rev. 2017, 117, 7762–7810. [Google Scholar] [CrossRef]
- Huang, H.; Wu, W.; Zhu, K.; Hu, J.; Ye, J. Highly Diastereo- and Enantioselective Cross-Cascade Reactions of Different Enones. Chem. Eur. J. 2013, 19, 3838–3841. [Google Scholar] [CrossRef] [PubMed]
- Wu, J.; Leng, W.L.; Liao, H.; Hoang, K.L.M.; Liu, X.-W. Intramolecular C-N Bond Formation under Metal-free Conditions: Synthesis of Indolizines. Chem. Asian J. 2015, 10, 853–856. [Google Scholar] [CrossRef] [PubMed]
- Reddy, P.L.; Kumar, K.P.; Satyanarayana, S.; Narender, R.; Reddy, B.V.S. An efficient synthesis of 2-aryl-1,4-diketones via hydroacylation of enones. Tetrahedron Lett. 2012, 53, 1546–1549. [Google Scholar] [CrossRef]
- Cordaro, J.G.; McCusker, J.K.; Bergman, R.G. Synthesis of mono-substituted 2,2′-bipyridines. Chem. Commun. 2002, 14, 1496–1497. [Google Scholar] [CrossRef]
- Zhao, Y.; Li, H.; Shao, Z.; Xu, W.; Meng, X.; Song, Y.; Hou, H. Investigation of Regulating Third-Order Nonlinear Optical Property by Coordination Interaction. Inorg. Chem. 2019, 58, 4792–4801. [Google Scholar] [CrossRef]
- Ray, D.; Nag, A.; Goswami, D.; Bharadwaj, P.K. Acyclic donor–acceptor–donor chromophores for large enhancement of two- photon absorption cross-section in the presence of Mg(II), Ca(II) or Zn(II) ions. J. Lumin. 2009, 129, 256–262. [Google Scholar] [CrossRef]
- Diwan, U.; Kumar, A.; Kumar, V.; Upadhyay, K.K. Solvent viscosity tuned highly selective NIR and ratiometric fluorescent sensing of Fe3+ by a symmetric chalcone analogue. Dalton Trans. 2013, 42, 13889–13896. [Google Scholar] [CrossRef]
- Cheng, X.; Zhang, H.; Ye, K.; Zhang, H.; Wang, Y. Morphology-dependent fluorescence ON/OFF of a beryllium complex: ACQ in amorphous solids, AEE in crystalline powders and the dark/bright fluorescence switch. J. Mater. Chem. C 2013, 1, 7507–7512. [Google Scholar] [CrossRef]
- Gaur, R.; Mishra, L. Supramolecular and theoretical investigation of copper(II) complexes containing 2,2′-bipyridine and substituted chalcone ligands: Estimation of non-covalent interactions. J. Mol. Struct. 2023, 1273, 134271. [Google Scholar] [CrossRef]
- Křikavová, R.; Vančo, J.; Trávníček, Z.; Hutyra, J.; Dvořák, Z. Design and characterization of highly in vitro antitumor active ternary copper(II) complexes containing 2′-hydroxychalcone ligands. J. Inorg. Biochem. 2016, 163, 8–17. [Google Scholar] [CrossRef] [PubMed]
- Kahrović, E.; Zahirović, A.; Višnjevac, A.; Osmanković, I.; Turkušić, E.; Kurtagić, H. Chalcone and Flavonol Copper(II) Complexes Containing Schiff Base Co-Ligand: Synthesis, Crystal Structures and Catecholase-like Activity. Croat. Chem. Acta 2018, 91, 195–207. [Google Scholar] [CrossRef]
- Gaur, R.; Choubey, D.K.; Usman, M.; Ward, B.D.; Roy, J.K.; Mishra, L. Synthesis, structures, nuclease activity, cytotoxicity, DFT and molecular docking studies of two nitrato bridged homodinuclear (Cu-Cu, Zn-Zn) complexes containing 2,2′-bipyridine and a chalcone derivative. J. Photochem. Photobiol. B Biol. 2017, 173, 650–660. [Google Scholar] [CrossRef]
- Li, X.; Sun, H.; Flörke, U.; Klein, H.-F. α,β-Unsaturated Carbonyl Compounds as Hard/Soft Chelating Ligands in Methyl Nickel Phenolates and the Structure of trans-Methyl-2-(3-phenyl-2,3-η2-propenoyl)phenolatobis(trimethylphosphine)nickel(II). Organometallics 2005, 24, 4347–4350. [Google Scholar] [CrossRef]
- Zahirović, A.; Roca, S.; Višnjevac, A.; Kahrović, E. Ruthenium organometallics of chloro-substituted 2′-hydroxychalcones—A story of catecholase biomimetics beyond copper. J. Organomet. Chem. 2021, 945, 121863. [Google Scholar] [CrossRef]
- Zahirović, A.; Roca, S.; Kahrović, E.; Višnjevac, A. Low DNA and high BSA binding affinity of cationic ruthenium(II) organometallic featuring pyridine and 2′-hydroxychalcone ligands. J. Mol. Struct. 2021, 1236, 130326. [Google Scholar] [CrossRef]
- Prajapati, R.; Dubey, S.K.; Gaur, R.; Koiri, R.K.; Maurya, B.K.; Trigun, S.K.; Mishra, L. Structural characterization and cytotoxicity studies of ruthenium(II)–dmso–chloro complexes of chalcone and flavone derivatives. Polyhedron 2010, 29, 1055–1061. [Google Scholar] [CrossRef]
- Gaur, R.; Mishra, L. Synthesis and Characterization of Ru(II)−DMSO−Cl−Chalcone Complexes: DNA Binding, Nuclease, and Topoisomerase II Inhibitory Activity. Inorg. Chem. 2012, 51, 3059–3070. [Google Scholar] [CrossRef]
- Balázs, L.B.; Tay, W.S.; Pullarkat, S.A.; Leung, P.-H. Synthesis of Stereoprojecting, Chiral N-C(sp3)-E Type Pincer Complexes. Organometallics 2018, 37, 2272–2285. [Google Scholar] [CrossRef]
- Abbas, Z.; Dasari, S.; Patra, A.K. Ternary Eu(III) and Tb(III) β-diketonate complexes containing chalcones: Photophysical studies and biological outlook. RSC Adv. 2017, 7, 44272–44281. [Google Scholar] [CrossRef]
- Marqués-Gallego, P.; den Dulk, H.; Brouwer, J.; Kooijman, H.; Spek, A.L.; Roubeau, O.; Teat, S.J.; Reedijk, J. Synthesis, Crystal Structure, Studies in Solution and Cytotoxicity of Two New Fluorescent Platinum(II) Compounds Containing Anthracene Derivatives as a Carrier Ligand. Inorg. Chem. 2008, 47, 11171–11179. [Google Scholar] [CrossRef] [PubMed]
- Bernot, K.; Bogani, L.; Caneschi, A.; Gatteschi, D.; Sessoli, R. A Family of Rare-Earth-Based Single Chain Magnets: Playing with Anisotropy. J. Am. Chem. Soc. 2006, 128, 7947–7956. [Google Scholar] [CrossRef] [PubMed]
- Janjić, G.V.; Jelić, S.T.; Trišović, N.P.; Popović, D.M.; Đorđević, I.S.; Milčić, M.K. New Theoretical Insight into Fluorination and Fluorine-Fluorine Interactions as a Driving Force in Crystal Structures. Cryst. Growth Des. 2020, 20, 2943–2951. [Google Scholar] [CrossRef]
- Popa, A.D.; Răducă, M.; Mădălan, A.M. Luminescent La3+, Eu3+ and Tb3+ mononuclear complexes with a Schiff base tripodal ligand derived from 9-anthracenecarboxaldehyde. Polyhedron 2023, 239, 116441. [Google Scholar] [CrossRef]
- Pasatoiu, T.D.; Madalan, A.M.; Kumke, M.U.; Tiseanu, C.; Andruh, M. Temperature Switch of LMCT Role: From Quenching to Sensitization of Europium Emission in a ZnII-EuIII Binuclear Complex. Inorg. Chem. 2010, 49, 2310–2315. [Google Scholar] [CrossRef]
- Pasatoiu, T.D.; Tiseanu, C.; Madalan, A.M.; Jurca, B.; Duhayon, C.; Sutter, J.P.; Andruh, M. Study of the Luminescent and Magnetic Properties of a Series of Heterodinuclear [ZnIILnIII] Complexes. Inorg. Chem. 2011, 50, 5879–5889. [Google Scholar] [CrossRef]







| Compound | L | C1 | C2 |
|---|---|---|---|
| Chemical formula | C18H13NO | C33.5H18.5Cl1.5EuF18NO8 | C33H16F18NO7Tb |
| M (g mol−1) | 259.29 | 1110.13 | 1039.39 |
| Temperature, (K) | 293(2) | 293(2) | 293(2) |
| Wavelength, (Å) | 0.71073 | 0.71073 | 0.71073 |
| Crystal system | Monoclinic | Triclinic | Triclinic |
| Space group | P21/n | P-1 | P-1 |
| a (Å) | 14.4100(8) | 12.7861(5) | 14.3064(3) |
| b (Å) | 4.6748(3) | 13.4613(3) | 15.4744(3) |
| c (Å) | 19.6977(12) | 14.0329(5) | 18.5376(3) |
| α (°) | 90 | 112.470(3) | 101.683(2) |
| β (°) | 93.195(5) | 91.204(3) | 98.786(2) |
| γ (°) | 90 | 109.485(3) | 105.663(2) |
| V (Å3) | 1324.85(14) | 2073.31(13) | 3774.87(13) |
| Z | 4 | 2 | 4 |
| Dc (g cm−3) | 1.300 | 1.778 | 1.829 |
| μ (mm−1) | 0.081 | 1.738 | 2.009 |
| F (000) | 544 | 1082 | 2016 |
| Goodness of fit on F2 | 1.031 | 1.059 | 1.062 |
| Final R1, wR2 [I > 2σ(I)] | 0.0383, 0.1032 | 0.0415, 0.1140 | 0.0398, 0.1080 |
| R1, wR2 (all data) | 0.0502, 0.1141 | 0.0456, 0.1179 | 0.0485, 0.1140 |
| F2···F31 = 2.821 | F6···F19 iii = 3.238 | F15···F26 iii = 3.051 |
| F5···F36 = 3.015 | F6···F20 iii = 3.007 | F17···F26 iii = 3.237 |
| F5···F5 i = 3.167 | F10···F30 = 3.046 | F18···F33 iii = 3.153 |
| F4···F35 i = 2.894 | F19···F32 ii = 3.059 | F33 i···F33 iii = 2.900 |
Disclaimer/Publisher’s Note: The statements, opinions and data contained in all publications are solely those of the individual author(s) and contributor(s) and not of MDPI and/or the editor(s). MDPI and/or the editor(s) disclaim responsibility for any injury to people or property resulting from any ideas, methods, instructions or products referred to in the content. |
© 2023 by the authors. Licensee MDPI, Basel, Switzerland. This article is an open access article distributed under the terms and conditions of the Creative Commons Attribution (CC BY) license (https://creativecommons.org/licenses/by/4.0/).
Share and Cite
Virgil, V.L.; Hanganu, A.; Mădălan, A.M. Synthesis, Crystal Structure, and Optical Properties of Mononuclear Eu(III) and Tb(III) Complexes Containing a Chalcone Ligand. Crystals 2023, 13, 1406. https://doi.org/10.3390/cryst13091406
Virgil VL, Hanganu A, Mădălan AM. Synthesis, Crystal Structure, and Optical Properties of Mononuclear Eu(III) and Tb(III) Complexes Containing a Chalcone Ligand. Crystals. 2023; 13(9):1406. https://doi.org/10.3390/cryst13091406
Chicago/Turabian StyleVirgil, Valentin L., Anamaria Hanganu, and Augustin M. Mădălan. 2023. "Synthesis, Crystal Structure, and Optical Properties of Mononuclear Eu(III) and Tb(III) Complexes Containing a Chalcone Ligand" Crystals 13, no. 9: 1406. https://doi.org/10.3390/cryst13091406
APA StyleVirgil, V. L., Hanganu, A., & Mădălan, A. M. (2023). Synthesis, Crystal Structure, and Optical Properties of Mononuclear Eu(III) and Tb(III) Complexes Containing a Chalcone Ligand. Crystals, 13(9), 1406. https://doi.org/10.3390/cryst13091406

