Structure and Thermal Stability of Two Estetrol Solvates
Abstract
1. Introduction
2. Materials and Methods
2.1. Chemicals
2.2. Thermal Analysis
2.3. IR Spectroscopy
2.4. Structural Investigation PXRD
2.5. Single Crystal Crystallography SCXRD
3. Results and Discussion
3.1. Crystallization
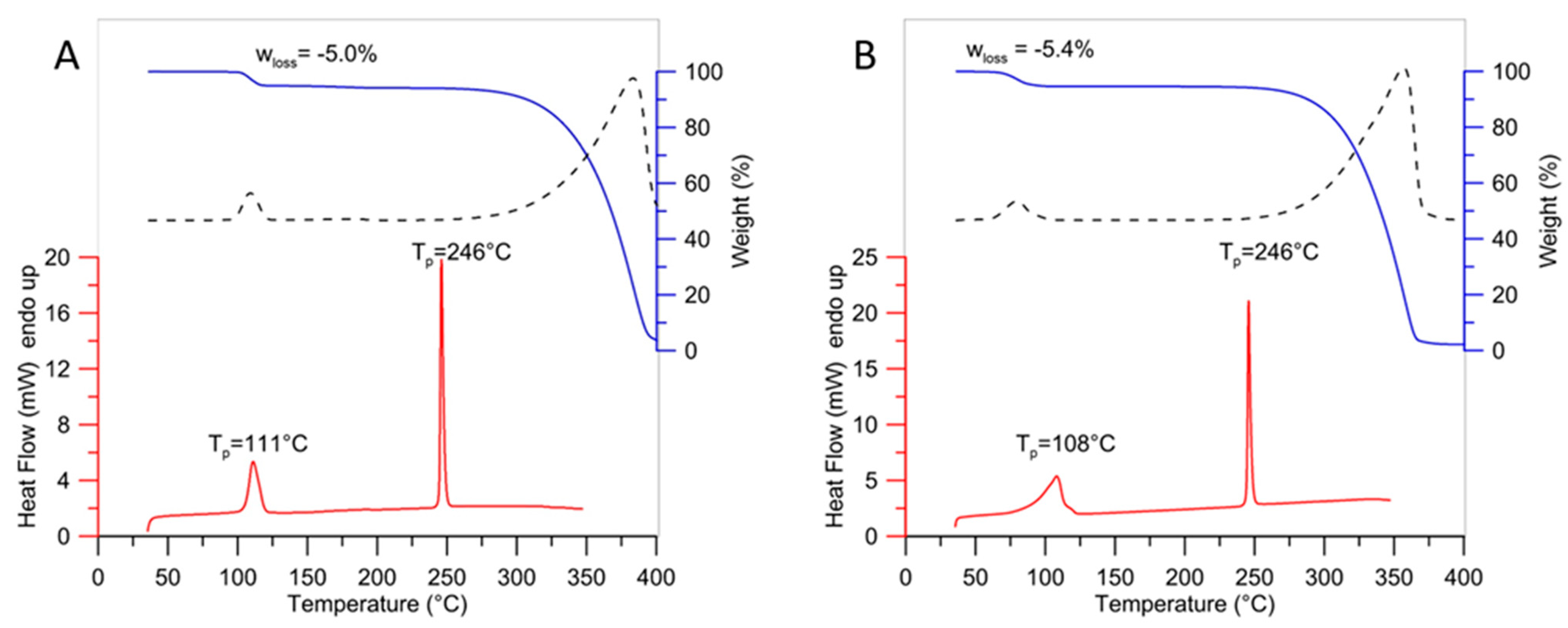
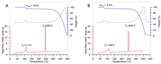
3.2. Thermal Analysis
3.3. Powder Diffraction
3.4. IR Spectroscopy
3.5. Morphology
3.6. Structures Description
4. Conclusions
Supplementary Materials
Author Contributions
Funding
Data Availability Statement
Acknowledgments
Conflicts of Interest
References
- Zucconi, G.; Lisboa, B.P.; Simonitsch, E.; Roth, L.; Hagen, A.A.; Diczfalusy, E. Isolation of 15α-hydroxy-oestriol from pregnancy urine and from the urine of newborn infants. Eur. J. Endocrinol. 1967, 56, 413–423. [Google Scholar] [CrossRef] [PubMed]
- Hagen, A.A.; Barr, M.; Diczfalusy, E. Metabolism of 17β-oestradiol-4-14c in early infancy. Eur. J. Endocrinol. 1965, 49, 207–220. [Google Scholar] [CrossRef]
- Holinka, C.F.; Diczfalusy, E.; Herjan, J.T.; Coelingh Bennink, H.J. Estetrol: A unique steroid in human pregnancy. J. Steroid Biochem. Mol. Biol. 2008, 110, 138–143. [Google Scholar] [CrossRef] [PubMed]
- Bennink, H.J.T.C.; Holinka, C.F.; Diczfalusy, E. Estetrol review: Profile and potential clinical applications. Climacteric 2008, 11, 47–58. [Google Scholar] [CrossRef]
- Visser, M.; Holinka, C.F.; Bennink, H.J.T.C. First human exposure to exogenous single-dose oral estetrol in early postmenopausal women. Climacteric 2008, 11 (Suppl. S1), 31–40. [Google Scholar] [CrossRef]
- Visser, M.; Bennink, H.J.C. Clinical applications for estetrol. J. Steroid Biochem. Mol. Biol. 2009, 114, 85–89. [Google Scholar] [CrossRef]
- Morimont, L.; Haguet, H.; Dogné, J.-M.; Gaspard, U.; Douxfils, J. Combined Oral Contraceptives and Venous Thromboembolism: Review and Perspective to Mitigate the Risk. Front. Endocrinol. 2021, 12, 769187. [Google Scholar] [CrossRef]
- Douxfils, J.; Morimont, L.; Bouvy, C. Oral Contraceptives and Venous Thromboembolism: Focus on Testing that May Enable Prediction and Assessment of the Risk. Semin. Thromb. Hemost. 2020, 46, 872–886. [Google Scholar] [CrossRef]
- Gérard, C.; Blacher, S.; Communal, L.; Courtin, A.; Tskitishvili, E.; Mestdagt, M.; Munaut, C.; Noël, A.; Gompel, A.; Pequeux, C.; et al. Estetrol is a weak estrogen antagonizing estradiol-dependent mammary gland proliferation. J. Endocrinol. 2015, 224, 85–95. [Google Scholar] [CrossRef]
- Mawet, M.; Maillard, C.; Klipping, C.; Zimmerman, Y.; Foidart, J.-M.; Bennink, H.J.T.C. Unique effects on hepatic function, lipid metabolism, bone and growth endocrine parameters of estetrol in combined oral contraceptives. Eur. J. Contracept. Reprod. Health Care 2015, 20, 463–475. [Google Scholar] [CrossRef]
- Fruzzetti, F.; Fidecicchi, T.; Guevara, M.M.M.; Simoncini, T. Estetrol: A New Choice for Contraception. J. Clin. Med. 2021, 10, 5625. [Google Scholar] [CrossRef] [PubMed]
- Estetra, S.P.R.L. A Randomized Double-Blind Placebo Controlled Phase 3 Trial to Evaluate the Efficacy and Safety of Estetrol for the Treatment of Moderate to Severe Vasomotor Symptoms in Postmenopausal Women (E4Comfort Study I). EUDRACT 2019-001289-14; ClinicalTrials.gov Identifier: NCT04209543. Available online: https://classic.clinicaltrials.gov/ct2/show/NCT04209543 (accessed on 23 July 2023).
- Estetra, S.P.R.L. A Randomized Double-Blind Placebo Controlled Phase 3 Trial to Evaluate the Efficacy and Safety of Estetrol for the Treatment of Moderate to Severe Vasomotor Symptoms in Postmenopausal Women (E4Comfort Study II). ClinicalTri-als.gov Identifier: NCT04090957. Available online: https://classic.clinicaltrials.gov/ct2/show/NCT04090957 (accessed on 23 July 2023).
- Utian, W.H.; Lobo, R.; Mawet, M. A phase 3 protocol to assess the efficacy and safety of estetrol (E4), a promising new treatment for menopausal vasomotor symptoms. Menopause 2019, 26, 1480. [Google Scholar]
- Gaspard, U.; Taziaux, M.; Jost, M.; Skouby, S.O.; Lobo, R.A.; Foidart, J.-M. Estetrol (E4), the next generation hormone therapy (HT) for menopausal symptoms: Phase 2b clinical trial results. In Proceedings of the 12th European Congress on Menopause and Andropause, Berlin, Germany, 15–17 May 2019; Lippincott Williams & Wilkins: Philadelphia, PA, USA, 2019; Volume 124, p. 9. [Google Scholar] [CrossRef]
- Gaspard, U.; Taziaux, M.; Mawet, M.; Jost, M.; Gordenne, V.; Bennink, H.J.T.C.; Lobo, R.A.; Utian, W.H.; Foidart, J.-M. A multicenter, randomized study to select the minimum effective dose of estetrol (E4) in postmenopausal women (E4Relief): Part 1. Vasomotor symptoms and overall safety. Menopause 2020, 27, 848–857. [Google Scholar] [CrossRef] [PubMed]
- Schmidt, M.; Lenhard, H.; Hoenig, A.; Zimmerman, Y.; Krijgh, J.; Jansen, M.; Bennink, H.J.T.C. Tumor suppression, dose-limiting toxicity and wellbeing with the fetal estrogen estetrol in patients with advanced breast cancer. J. Cancer Res. Clin. Oncol. 2021, 147, 1833–1842. [Google Scholar] [CrossRef] [PubMed]
- Mithra Pharmaceuticals’ Estetrol Programs. Available online: https://www.mithra.com/en/estetrol/ (accessed on 18 July 2023).
- Available online: https://www.acs.org/molecule-of-the-week/archive/e/estetrol.html (accessed on 18 July 2023).
- Platteeuw, J.J.; Coelingh, B.H.; Damen, F.W.; Van Vliet, M.C. Process for the Preparation of Estetrol. WO Patent 2013/012328A1, 24 January 2013. [Google Scholar]
- Pascal, J.C. Process for the production of Estetrol. WO Patent 2013/050553A1, 11 April 2013. [Google Scholar]
- Ferreiro Gil, J.J.; Iglesias Retuerto, J.M.; Gallo Nieto, F.J. Process for the preparation of Estetrol and Related Compounds. WO Patent 2013/034780A2, 3 October 2013. [Google Scholar]
- Lovas, R.; Mahò, S.; Bacsa, I.; Mayer, B. Industrial Process for the Preparation of High Purity Estetrol. WO Patent 2021044302A1, 11 March 2021. [Google Scholar]
- Fabris, F.; Farinella, F.; Gambarin, L.; Merlo, M.; Lopopolo, G.; Attolino, E. Processes for the Preparation of Estetrol and Intermediates Thereof. WO Patent 2023/001866A1, 26 January 2023. [Google Scholar]
- Schallmey, A.; Schrepfer, P.; Fuchs, H.; Seeger, M.; Marechal, D.; Cornet, F. Means and Methods for the Conversion of Estradiol to 15alpha-Hydroxyestradiol. WO Patent 2022/074001A1, 14 April 2022. [Google Scholar]
- Bianchi, P.; Dubart, A.; Moors, M.; Cornut, D.; Duhirwe, G.; Ampurdanés, J.; Monbaliu, J.-C.M. Metal-free synthesis of estetrol key intermediate under intensified continuous flow conditions. React. Chem. Eng. 2023, 8, 1565–1575. [Google Scholar] [CrossRef]
- Platteeuw, J.J.; Coelingh Bennink, H.J.; Donesta Bioscience, B.V. Orally Disintegrating Solid Dosage Unit Containing an Estetrol Component. WO Patent 2015/086643A1, 18 July 2015. [Google Scholar]
- Nambara, T.; Sudo, K.; Kurata, M.S. Syntheses of estetrol monoglucuronides. Steroids 1976, 27, 111–122. [Google Scholar] [CrossRef]
- APEX3 Software Package, V2019; Bruker AXS Inc.: Madison, WI, USA, 2019.
- Bruker SAINT, v8.40A: Part of the APEX3 Software Package, V2019; Bruker AXS Inc.: Madison, WI, USA, 2019.
- Bruker SADABS V2016/2: Part of the APEX3 Software Package, V2019; Bruker AXS Inc.: Madison, WI, USA, 2019.
- Sheldrick, G.M. SHELXT—Integrated Space-Group and Crystal-Structure Determination. Acta Crystallogr. Sect. A Found. Adv. 2015, 71, 3–8. [Google Scholar] [CrossRef]
- Sheldrick, G.M. Crystal structure refinement with SHELXL. Acta Crystallogr. Sect. C Struct. Chem. 2015, 71, 3–8. [Google Scholar] [CrossRef]
- Macrae, C.F.; Bruno, I.J.; Chisholm, J.A.; Edgington, P.R.; McCabe, P.; Pidcock, E.; Rodriguez-Monge, L.; Taylor, R.; Streek, J.; van de Wood, P.A. Mercury CSD 2.0—New Features for the Visualization and Investigation of Crystal Structures. J. Appl. Crystallogr. 2008, 41, 466–470. [Google Scholar] [CrossRef]
- Cambridge Crystallographic Database. Available online: https://www.ccdc.cam.ac.uk/structures/ (accessed on 23 July 2023).
- Steed, K.M.; Steed, J.W. Packing Problems: High Z′ Crystal Structures and Their Relationship to Cocrystals, Inclusion Com-pounds, and Polymorphism. Chem. Rev. 2015, 115, 2895–2933. [Google Scholar] [CrossRef]
- Brock, C.P. High-Z′ structures of organic molecules: Their diversity and organizing principles. Acta Crystallogr. Sect. B Struct. Sci. 2016, 72, 807–821. [Google Scholar] [CrossRef] [PubMed]
- Hsu, L.-Y.; Kampf, J.W.; Nordman, C.E. Structure and pseudosymmetry of cholesterol at 310 K. Acta Crystallogr. Sect. B Struct. Sci. 2002, 58, 260–264. [Google Scholar] [CrossRef] [PubMed]
- Cooper, A.; Norton, D.A.; Hauptman, H. Estrogenic steroids. III. The crystal and molecular structure of estriol. Acta Crystallogr. Sect. B Struct. Crystallogr. Cryst. Chem. 1969, 25, 814–828. [Google Scholar] [CrossRef] [PubMed]
- Parrish, D.A.; Pinkerton, A.A. Estradiol methanol hemisolvate. Acta Crystallogr Sect. C Struct. Chem. 1999, C55, IUC9900100. [Google Scholar] [CrossRef]
- Stevenson, E.L.; Lan-caster, R.W.; Buanz, A.B.M.; Price, L.S.; Tocher, D.A.; Price, S.L. The solid state forms of the sex hormone 17-β-estradiol. Cryst. Eng. Comm. 2019, 21, 2154–2163. [Google Scholar] [CrossRef]
- The International Council for Harmonisation of Technical Requirements for Pharmaceuticals for Human Use. Quality Guidelines (Q3A–Q3E); ICH: Geneva, Switzerland. Available online: https://pharmaguddu.com/ich-guidelines-in-pharmaceutical-updated/ (accessed on 23 July 2023).










| Compound. | Estetrol.H2O | Estetrol.0.5CH3OH |
|---|---|---|
| Formula | C18H24O4.H2O | C18H24O4.0.5CH3OHHHH |
| Fw | 322.39 | 320.39 |
| T, K | 100 | 100 |
| λ, Å | 1.54178 | 1.54178 |
| Crystal symmetry | Triclinic | Monoclinic |
| Space group | P1 | C2 |
| a, Å | 8.8822 (6) | 18.9718 (5) |
| b, Å | 23.7038 (15) | 7.2471 (2) |
| c, Å | 26.1126 (17) | 13.8364 (4) |
| α, ° | 63.892 (3) | 90 |
| β, ° | 89.641 (3) | 121.8010 (10) |
| γ, ° | 83.688 (3) | 90 |
| Cell volume, Å3 | 4901.4 (6) | 1616.79(8) |
| Z, Z′ | 12, 12 | 4, 1 |
| Dc, Mg m−3 | 1.311 | 1.316 |
| Μ (Mo-Kα), mm−1 | 0.772 | 0.754 |
| F (000) | 2088 | 692 |
| Crystal size/mm | 0.10 × 0.05 × 0.03 | 0.35 × 0.35 × 0.10 |
| θ limits, ° | 1.886 to 68.600 | 3.759 to 68.491 |
| Reflections collected | 143,487 | 21,309 |
| Unique obs. Reflections [Fo > 4σ(Fo)] | 34611 [Rint = 0.0782] | 2934 [Rint = 0.0423] |
| Goodness-of-fit-on F2 | 1.055 | 1.055 |
| R1 (F) a, wR2 b (F2) [I > 2σ(I)] | 0.0914 and 0.2434 | 0.0338 and 0.0830 |
| Largest diff. peak and hole, e. Å−3 | 1.034 and −0.704 | 0.393 and −0.326 |
| Pos. [°2θ] | d-Spacing [Å] | Rel. Int. [%] | Pos. [°2θ] | d-Spacing [Å] | Rel. Int. [%] |
|---|---|---|---|---|---|
| 7.352 | 12.0147 | 12 | 23.652 | 3.7587 | 3 |
| 10.335 | 8.5528 | 3 | 24.319 | 3.6570 | 10 |
| 11.396 | 7.7585 | 2 | 25.371 | 3.5077 | 2 |
| 12.216 | 7.2398 | 17 | 25.645 | 3.4709 | 3 |
| 12.677 | 6.9774 | 100 | 27.091 | 3.2888 | 2 |
| 13.622 | 6.4952 | 11 | 27.466 | 3.2448 | 2 |
| 14.780 | 5.9889 | 12 | 27.874 | 3.1982 | 3 |
| 15.985 | 5.5398 | 4 | 30.415 | 2.9365 | 7 |
| 16.508 | 5.3655 | 3 | 30.781 | 2.9024 | 2 |
| 17.260 | 5.1336 | 16 | 32.571 | 2.7469 | 2 |
| 17.788 | 4.9823 | 6 | 36.197 | 2.4796 | 3 |
| 18.797 | 4.7171 | 5 | 37.636 | 2.3881 | 4 |
| 19.207 | 4.6172 | 9 | 37.933 | 2.3700 | 2 |
| 19.486 | 4.5519 | 16 | 39.194 | 2.2966 | 2 |
| 19.832 | 4.4733 | 35 | 39.916 | 2.2568 | 5 |
| 20.433 | 4.3430 | 42 | 40.392 | 2.2312 | 3 |
| 20.769 | 4.2735 | 92 | 41.497 | 2.1744 | 2 |
| 21.771 | 4.0790 | 32 | 42.392 | 2.1305 | 2 |
| 22.511 | 3.9464 | 2 | 43.059 | 2.0990 | 2 |
| 23.343 | 3.8078 | 12 | 44.817 | 2.0207 | 2 |
Disclaimer/Publisher’s Note: The statements, opinions and data contained in all publications are solely those of the individual author(s) and contributor(s) and not of MDPI and/or the editor(s). MDPI and/or the editor(s) disclaim responsibility for any injury to people or property resulting from any ideas, methods, instructions or products referred to in the content. |
© 2023 by the authors. Licensee MDPI, Basel, Switzerland. This article is an open access article distributed under the terms and conditions of the Creative Commons Attribution (CC BY) license (https://creativecommons.org/licenses/by/4.0/).
Share and Cite
Monari, M.; Attolino, E.; Lopopolo, G.; Bosco, F.; Gazzano, M. Structure and Thermal Stability of Two Estetrol Solvates. Crystals 2023, 13, 1211. https://doi.org/10.3390/cryst13081211
Monari M, Attolino E, Lopopolo G, Bosco F, Gazzano M. Structure and Thermal Stability of Two Estetrol Solvates. Crystals. 2023; 13(8):1211. https://doi.org/10.3390/cryst13081211
Chicago/Turabian StyleMonari, Magda, Emanuele Attolino, Gianfranco Lopopolo, Fabrizio Bosco, and Massimo Gazzano. 2023. "Structure and Thermal Stability of Two Estetrol Solvates" Crystals 13, no. 8: 1211. https://doi.org/10.3390/cryst13081211
APA StyleMonari, M., Attolino, E., Lopopolo, G., Bosco, F., & Gazzano, M. (2023). Structure and Thermal Stability of Two Estetrol Solvates. Crystals, 13(8), 1211. https://doi.org/10.3390/cryst13081211

