Abstract
Due to its high bonding energy and low self-diffusion coefficient, silicon nitride (Si3N4) ceramics cannot form a dense structure with prolonged high-temperature insulation or by raising the sintering temperature. To improve the density of the sintered Si3N4 ceramics, additives are added to promote the rearrangement–dissolution–precipitation process of the crystal grains. However, the liquid phase formation temperature of different sintering aid chemical compositions varies, making it challenging to isolate the mechanism and the effect of liquid phase formation temperatures on sintering. Hence, we developed three sintering aids, namely Y2O3-Al2O3 (YA), Y2Si2O7 (Y2S), and Y2Si2O7-Al6Si2O13 (Y2SM), with homologous elements and different liquid phase formation temperatures. These sintering aids can form a liquid phase with SiO2 on the surface of Si3N4 at varying temperatures. We analyzed the sintered Si3N4 ceramic’s density, volume shrinkage rate, and microstructure to verify the YA’s lower liquid phase formation temperature effect, providing more rearrangement time and increasing sintering density. Conversely, sintering aids with too low liquid phase formation temperatures are more prone to volatilize during high-temperature sintering stages, thereby reducing sintering density. This research found that different liquid phase formation temperatures do not affect the α→β phase transition temperature of Si3N4 ceramics. We also evaluated the Y2S sintering aid contents’ effect on Si3N4 ceramics sintering. The results revealed that aiding sintering with too little Y2S content is insufficient for liquid phase production, and hence does not improve sintering density. Conversely, excessive liquid phase can improve density and refine grain size but increases weight loss rate during sintering due to volatilization.
1. Introduction
The superior properties of silicon nitride (Si3N4) ceramics include high strength, hardness, thermal conductivity, and chemical stability, coupled with excellent wear resistance and high temperature resistance. These ceramics are ubiquitous in fields such as mechanical, automotive, aerospace, new energy, and electronic packaging [1,2]. However, Si3N4 ceramics are strong covalent bond compounds with high bond energy and small atomic self-diffusion coefficients. Limited intergranular and volume diffusion rates make it challenging to sinter denser structures [3,4]. Elevated temperatures lead to the direct decomposition of Si3N4 ceramics into Si and N2 gases [5,6], rendering long-term high-temperature holding or increased sintering temperature futile in acquiring a denser structure. Therefore, Si3N4 sintering is generally achieved via liquid phase sintering [7]. The addition of sintering aids that react with the SiO2 coating on Si3N4 induces the generation of a liquid phase. This increases the diffusion of atoms, prompts rearrangement and precipitation of particles in the liquid phase, and promotes sintering densification [8,9].
Sintering aids for Si3N4 ceramics include the metallic oxides of Al2O3 [10], MgO [11], Li2O [12], and CaO [13], as well as rare earth oxides like Y2O3 [14], Yb2O3 [15], and Lu2O3 [16], forming binary aids through the combination of their compounds. Initially, the earliest sintering aid was MgO. Later, rare earth oxide Y2O3 replaced MgO successfully to prepare Si3N4 ceramics with superior heat resistant properties [17]. Binary sintering aids [18,19,20] having the potential to generate liquid phases at lower temperatures to promote sintering densification and adjust the microstructure of Si3N4 ceramics have been the research focus recently.
Kingery’s research [21] on liquid phase sintering aids established that sintering shrinkage is affected by factors such as liquid phase viscosity, particle size, liquid phase surface tension, and sintering time. A low liquid phase content leads to the ineffective wetting of Si3N4 particles, resulting in a low densification rate and slow body shrinkage. With an increase in liquid phase content, Si3N4 particles are effectively wetted to trigger particle rearrangement. The elimination of the solid–gas interface of Si3N4 grains and pores and a decrease in the liquid–gas interface create a driving force for sintering shrinkage and densification. Rahaman [22] reported that the concentration of the liquid phase plays a vital role in the promotion of sintering densification and subsequent increase in shrinkage rate within a specific range. Pyzik et al. [23] reported that liquid phases with varying formation temperatures would have distinguished effects on the densification behavior and grain growth of Si3N4. Hoffmann and Paul et al. [24,25,26,27] observed that the aspect ratio of grain can be greatly influenced by the rare earth atomic number, and the more RE atomic number, the more likely that grains with a lager diameter and smaller aspect ratio will be obtained. Matovic et al. [28] added the pre-synthesized LiYO2 and the Li2O–Y2O3 additive and found that the per-synthesized LiYO2 showed a more uniform densification and higher α-β transformation rates in comparison with the Li2O–Y2O3 additive.
Nonetheless, the effect of different liquid phase formation temperatures on the densification process, α-β phase transformation efficiency, and final density remains unknown. The selection of sintering aid content requires systematic analysis based on its influence on sintering density, grain size, and mechanical strength. In this study, we used three homologous binary sintering aids, Y2O3-Al2O3 (YA), Y2Si2O7 (Y2S), and Y2Si2O7-Al6Si2O13 (Y2SM), with different contents of Y2S sintering aids ranging from 5 to 20 wt.%. Systematically, the impact of the liquid phase formation temperature and content of the sintering aid on the density, shrinkage, phase transformation, and microstructure of Si3N4 ceramics was studied.
2. Materials and Methods
2.1. Sample Preparation
This study designed three types of binary sintering aids comprising Y2O3 and SiO2: Y2O3-Al2O3 composite powder (YA), Y2Si2O7 powder (Y2S), and Y2Si2O7-Al6Si2O13 composite powder (Y2SM). Based on previous studies [29,30,31], the liquid phase formation temperature of the three sintering aids with SiO2 is 1430 °C, 1550 °C, and 1390 °C, respectively, which meets the experimental requirements for different liquid phase formation temperatures.
This study used the following raw materials in the experiment: α-Si3N4 raw material powder (Cixing New Materials Co., Ltd., Qingdao, China, with a D50 of 0.7 μm and α-Si3N4 content of 95 wt.%); Al2O3 powder (Taimei Chemical Co., Ltd., Tokyo, Japan, with a D50 of 200 nm and purity >99.99%); Y2O3 (McLean Biochemical Technology Co., Ltd., Shanghai, China, with a purity ≥99.5% and D50 of 500 nm); SiO2 (Aladdin Biochemical Technology Co., Ltd., Shanghai, China, with a purity ≥99.8% and particle size of 7–40 nm); Y2Si2O7 (Y2S, self-made); and Al6Si2O13(MUL) (McLean Biochemical Technology Co., Ltd, Shanghai, China, with a purity ≥99% and D50 of 6.5 μm).
The preparation process of Y2S involved weighing Y2O3 and SiO2 in a 1:2 molar ratio, followed by ball milling in anhydrous ethanol, drying, and sieving. The resulting powder was molded and placed in a BN crucible, which was then transported into a vacuum atmosphere furnace with a flow of 0.1 MPa Ar. The samples were sintered at 1500 °C, 1550 °C, and 1600 °C for 5 h. After sintering, the samples underwent crushing, grinding, and sieving that utilized a 400-mesh sieve, followed by X-ray diffraction (XRD) detection.
Table 1 was referred to for the mixing of α-Si3N4 raw material powder and sintering aids in their corresponding ratios. For the tests at different liquid phase formation temperatures, the three types of sintering aids, Y2O3-Al2O3, Y2Si2O7, and Y2Si2O7-Al6Si2O13, were maintained at 10 wt.% mass ratios and named SN-YA, SN-Y2S, and SN-Y2SM, respectively. The SN group contained no sintering aid. For the tests at different sintering aid contents, four sample groups with Y2S contents of 5 wt.%, 10 wt.%, 15 wt.%, and 20 wt.%, respectively, were prepared and named Y2S5, Y2S10, Y2S15, and Y2S20. During the sample preparation process, the weighed powders were placed in a PTFE ball milling jar with Si3N4 balls in a 2:1 ball-to-powder ratio. The speed of the planetary ball mill was set at 350 r/min for 4 h. Then, the ball-milled slurry was removed for drying on a rotary evaporator and sieved through a 100-mesh sieve afterwards. Lastly, the sieved powders were molded into 45 mm × 5 mm × 4 mm billets under a pressure of 5 MPa, which were then cold isostatic pressed at 200 MPa for 5 min.
Table 1.
The raw material composition information of Si3N4 ceramics.
The green body’s dimensions were measured using a vernier caliper after it was formed. Then, it was placed in a BN crucible containing Si3N4-BN powder and sintered in an atmosphere furnace under a pressure of 0.1 MPa N2. The sintering process involved increasing the temperature from room temperature to 800 °C at a heating rate of 15 °C/min, then further increasing it to 1300 °C, 1400 °C at a heating rate of 10 °C/min, and then gradually increasing it to 1500 °C, 1600 °C, 1700 °C, and 1800 °C at a heating rate of 5 °C/min. The samples were each held at 1300 °C, 1400 °C, 1500 °C, 1600 °C, 1700 °C, and 1800 °C for 2 h, respectively. The samples were cooled to 1200 °C at a cooling rate of 5 °C/min and then to 800 °C at a rate of 10 °C/min, followed by air cooling to room temperature.
2.2. Characterization Methods
The volume density of the sintered samples was determined through the application of the Archimedes drainage technique. Relative density was ascertained by comparing the measured volume density with the theoretical density of the samples. Prior to sintering, linear shrinkage rate was measured for a rectangular parallelepiped specimen with dimensions of 45mm × 5mm × 4 mm in the X, Y, and Z directions. Post-sintering, the linear shrinkage rate was calculated through the application of Formulas (1)–(4):
where SL, SD, and SH are the linear shrinkage rates in length, width, and height of the sintered sample, respectively; V is the volume shrinkage rate of the sintered sample; L0, H0, and D0 are the length, width, and height dimensions of the sample before sintering, in mm; L, H, and D are the length, width, and height dimensions of the sample after sintering, in mm.
The semi-quantitative analysis of the α-phase in Si3N4 was performed using JADE software. Following the multi-peak analysis method proposed by Gazzara et al. [32], the calculation of α-Si3N4 content was based on the (101), (110), (200), (201), (102), (210), and (301) peaks, while the calculation of β- Si3N4 was based on the (110), (200), (101), and (210) peaks, as shown in Formulas (5)–(7):
where is the content of α- Si3N4.
In order to undertake microscopic analysis of ceramic samples, it is necessary to polish and etch them prior to analysis. After these preliminary procedures, the surface of the samples is treated with gold sputtering. The samples are then subjected to the use of scanning electron microscopy (SEM) technology, which allows for the observation of the microstructure of the ceramics. Because the grains are not equiaxed, the long and short axes of more than 500 grains were tested twice and the results were averaged to obtain the average grain size by using the Nano Measurer software; then, the aspect ratios were obtained by dividing the average of the long axis by the average of the short axis. In this study, the microstructure of the ceramics was visualized post-polishing and -plasma-etching through the use of a high-resolution scanning electron microscope (Nova, NanoSEM430, FEI, Holland).
3. Results and Discussion
The generation temperature of Y2S is about 1500–1600 °C. In this experiment, the synthesis temperature was set at three different levels, namely, 1500 °C, 1550 °C, and 1600 °C, while the holding time was fixed at 5 h. Figure 1 shows the X-ray diffraction (XRD) pattern of Y2S synthesis at different temperatures. As can be seen, the basic substance of Y2S was synthesized at 1500 °C and 1550 °C (PDF card:42-0167), while a small amount of another crystal type (PDF card:82-0732) was observed at 1600 °C. Therefore, we conducted the final synthesis of Y2S at 1500 °C for 5 h for energy-saving.
Figure 1.
XRD patterns of synthesized Y2S at different temperatures.
3.1. The Effects of Liquid Phase Formation Temperature
According to Kingery’s sintering theory, which divides the liquid phase sintering of Si3N4 ceramics into three stages [33], the particle rearrangement stage [34], the solution reprecipitation stage [35], and the Ostwald ripening grain growth stage [36], as shown in Figure 2 [37]. Particle rearrangement is the primary reason for the rapid shrinkage of Si3N4 ceramics during isostatic liquid phase sintering [22,38]. When particles of Si3N4 have solubility in the liquid phase that generates capillary forces, these particles then migrate from the high-solubility region to the low-solubility region, ultimately increasing the packing density and eliminating closed pores present within the material [33]. Therefore, particle rearrangement is one of the most vital processes in Si3N4 densification.
Figure 2.
Schematic of the liquid phase sintering of Si3N4 ceramics.
At temperatures exceeding 1600 °C, densification and compaction processes are hindered as the particle packing becomes tighter, leading to a gradual decline in the densification and shrinkage rate of the sample. Subsequently, as the temperature rises further, the liquid phase viscosity diminishes, and α- Si3N4, which is dissolved in the liquid phase, continues to transform and deposit on the earlier formed β- Si3N4 crystal nuclei. This process causes the growth of grains, as observed in Stage 2 and 3 of Figure 2, while the pores are gradually dispelled from the exterior of the sample. The densification and shrinkage rates of the sample will continue to increase at this juncture, and the densification and shrinkage rates decline gradually until its peak at 1800 °C.
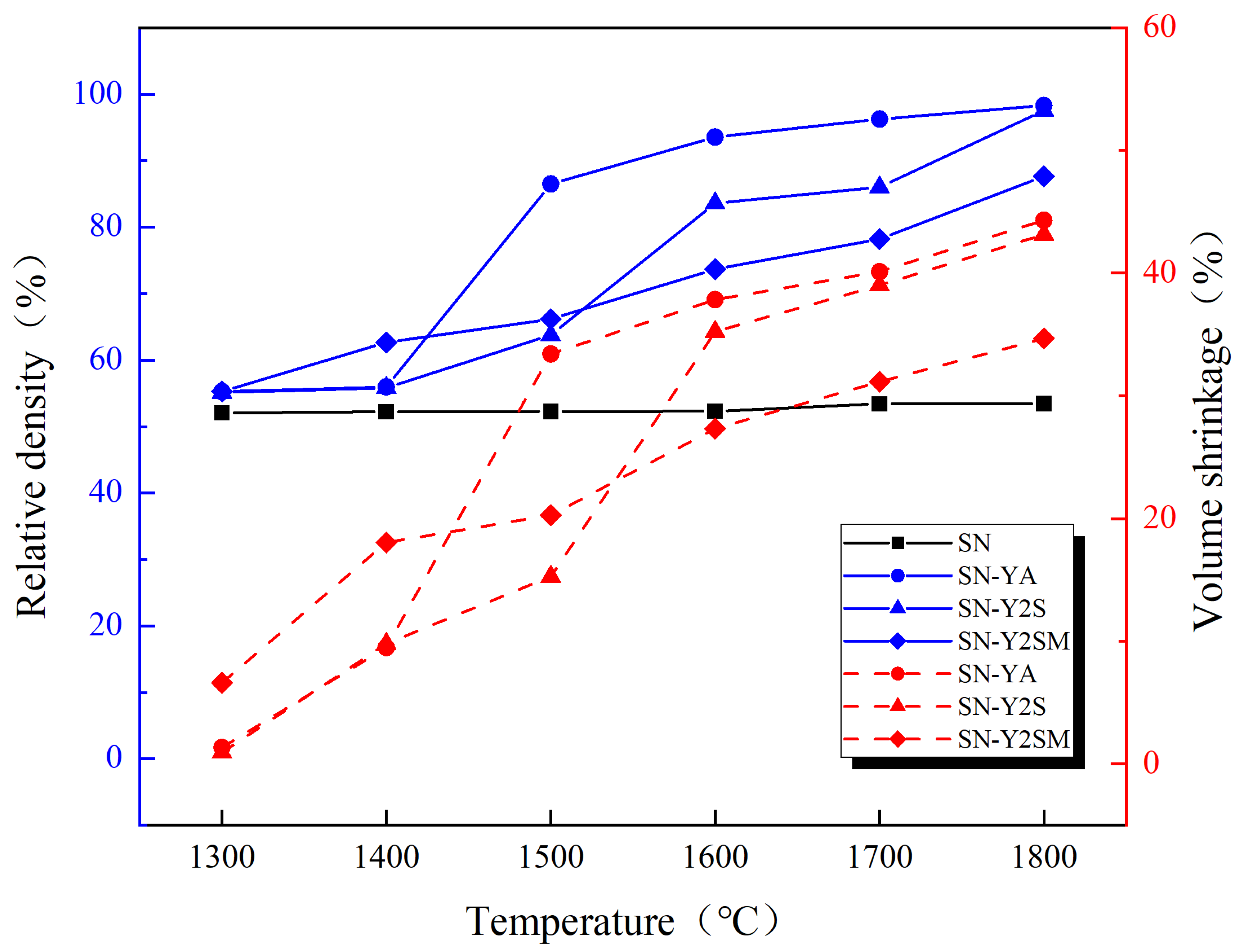
Figure 3 illustrates the sintering density and volume shrinkage curves of Si3N4 ceramics with different sintering additives used in this research. As per the experimental outcomes, it is observed that sample SN, without any sintering additives, experienced final density variation that was not considerable when compared to the initial density of the compacted body, thus further affirming that solid state sintering cannot lead to densification for Si3N4 ceramics.
Figure 3.
Sintering density and shrinkage curves of Si3N4 ceramics with liquid phase additives based on different liquid phase formation temperatures.
At the 1300 °C stage, there were no significant changes observed in the sintering density and shrinkage rate of the three samples with sintering additives, indicating that the three sintering additives did not create any liquid phase formation at this stage, thus preventing densification. However, with the increase in temperature, the samples enhanced with YA, Y2S, and Y2SM additives exhibited a remarkable increase in shrinkage and densification rate in the temperature ranges of 1400–1500 °C, 1500–1600 °C, and 1300–1400 °C, respectively. The reason for this increase was that the three sintering additives coincided with their liquid phase formation temperatures in the corresponding temperature ranges, namely 1430 °C, 1550 °C, and 1390 °C, respectively. This coincidence produced a large amount of liquid-phase-promoting particle rearrangement, resulting in a rapid increase in shrinkage rate and densification rate. The sample SN-Y2SM was the first to show shrinkage and densification in the temperature range of 1300–1400 °C, but the densification rate and shrinkage rate remained constant throughout the subsequent heating and sintering processes, finally attaining a density of only 87.65%, as shown in Figure 3. The SN-YA experiment also showed rapid sintering shrinkage at 1400–1500 °C, with a final density of 98.29%, slightly higher than that of the SN-Y2S sample that had a liquid phase formation temperature of 1500–1600 °C, giving it a density of 97.56%.
After analyzing the sintering weight losses of the three groups of samples, their weight loss rates were determined as 2.95%, 4.71%, and 11.4% for SN-YA, SN-Y2S, and SN-Y2SM, respectively. The higher weight loss rate of SN-Y2SM was attributed to the more severe high temperature volatilization of the Y2Si2O7-Al6Si2O13 additive. Its liquid phase formed at a lower temperature and the viscosity of the liquid phase decreased as the temperature increased, ultimately leading to its penetration out of the sintered body and volatilization at high temperatures. This led to an increase in the porosity of the sample. The presence of pores also hindered Si3N4 grain growth, decreasing the shrinkage rate and further reducing the densification rate in the SN-Y2SM sample.
In conclusion, it can be observed that, when a liquid phase occurs at lower temperatures, it can provide a longer amount of time for particle rearrangement, ultimately leading to higher sintering density. However, if the liquid phase formation temperature of the sintering additive is too low, it can promote high temperature volatilization, which ultimately reduces sintering density.
3.2. The Impact of Liquid Phase Formation Temperature on Phase Transformation
The analysis of the sintering density of Si3N4 ceramics requires the consideration of both the effects of forming the liquid phase on densification and the influence of varying temperatures of the liquid phase on the transformation from α phase to β phase. Scanning electron microscopy cross-sectional images after sintering the Si3N4 ceramics at the temperature range between 1300 °C and 1800 °C are shown in Figure 4, Figure 5 and Figure 6.
Figure 4.
Grain morphologies of SN-YA after sintering at different temperatures: (a) 1300 °C, (b) 1400 °C, (c) 1500 °C, (d) 1600 °C, (e) 1700 °C, (f) 1800 °C.
Figure 5.
Grain morphologies of SN-Y2S after sintering at different temperatures: (a) 1300 °C, (b) 1400 °C, (c) 1500 °C, (d) 1600 °C, (e) 1700 °C, (f) 1800 °C.
Figure 6.
Grain morphologies of SN-Y2SM after sintering at different temperatures: (a) 1300 °C, (b) 1400 °C, (c) 1500 °C, (d) 1600 °C, (e) 1700 °C, (f) 1800 °C.
From Figure 4a–c, Figure 5a–c and Figure 6a–c, it is evident that the sintered samples with the addition of various sintering aids consist mainly of equiaxed α-phase grains with a minor quantity of β-phase grains, also visible in Figure 4a, Figure 5a and Figure 6a due to the Si3N4 raw powders containing about 5% β-phase. Comparing Figure 6a to 6b, it was found that the particles in Figure 6a are loosely dispersed, and their morphology is clearly observable, while some Si3N4 powder particles in Figure 6b are agglomerated, and their shape appears blurred. This aggregation phenomenon resulted from the liquid phase generated by the Y2SM sintering aid at approximately 1390 °C, in which the α-phase grains dissolved in the liquid phase. Likewise, SN-YA and SN-Y2S caused the agglomeration of the Si3N4 powder particles at around 1430 °C and 1550 °C, respectively, as evidenced by Figure 4c and Figure 5d.
Additionally, elongated β-Si3N4 grains can be observed in Figure 4d, Figure 5d and Figure 6d, indicating that some α-Si3N4 grains that dissolved in the liquid phase have precipitated and nucleated to form β-Si3N4. With the increase in temperature, α- Si3N4 continues to transform into β-Si3N4, and the size of β-Si3N4 grains increases while the porosity gradually decreases. It is noticeable from Figure 4e,f, Figure 5e,f and Figure 6e,f that the size of β-Si3N4 grains progressively increases while the porosity reduces until almost all α-Si3N4 converts into β-Si3N4. The β-Si3N4 grains progressively link with each other to form a skeleton, and the rate of densification slows down. Eventually, the densification process is almost completed at 1800 °C.
Table 2 shows the calculation of the β-Si3N4 content of the SN-YA, SN-Y2S, and SN-Y2SM samples sintered at varying temperatures using Formulas (5)–(7). The results reveal that in the temperature range of 1300 °C to 1500 °C, the β-Si3N4 content of SN-YA, SN-Y2S, and SN-Y2SM samples is approximately 5%. Although SN-YA and SN-Y2SM have undergone densification and shrinkage due to the formation of the liquid phase, the content of α-Si3N4 has substantially stayed the same, implying that there is no significant phase transformation during this stage, and the processes of shrinkage and densification occur before the α→β phase transition process.
Table 2.
β-Si3N4 content of SN-YA, SN-Y2S, and SN-Y2SM sintered at different temperatures.
At the 1600 °C stage, all three samples indicated the presence of β-phase. This indicates that the primary temperature interval for the phase transformation of Si3N4 ceramics is between 1500 °C and 1600 °C, and the maximum transformation occurs at 1700 °C. Therefore, even though the liquid phase formation temperature of the three samples is distinct, the phase transition temperature lies between 1500 °C and 1700 °C and is not influenced by the liquid phase formation temperature.
To summarize, the formation temperature of the liquid phase in Si3N4 ceramics is not altered by varying the sintering aids. The temperature range at which Si3N4 ceramics undergo the α→β phase transformation is consistent across all samples and primarily lies between 1500 °C and 1700 °C. Furthermore, all samples exhibited the maximum shrinkage and densification rate at around the liquid phase formation temperature of their respective sintering aids. The densification effect considerably outweighed the impact of the α→β phase transformation.
3.3. The Effect of Additive Content on Sintered Density and Shrinkage
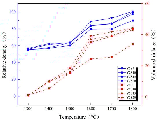
Figure 7 displays the relative density and volume shrinkage curves of Si3N4 ceramics sintered using different Y2S sintering aids at varying concentrations (5, 10, 15, 20 wt.%). The figure illustrates that the density and shrinkage of samples with different Y2S contents steadily increase with increasing temperature. The upward trend can effectively be classified into four different stages.
Figure 7.
The sintering volume shrinkage and relative density of Si3N4 ceramics at different temperatures.
During the initial stage, 1300–1500 °C, the density of the Y2S5, Y2S10, Y2S15, and Y2S20 samples displays slight gains in growth as the temperature increases. This minor increase may stem from the generation of a limited amount of liquid phase, resulting in partial densification of the sample.
The second phase, 1500–1600 °C, marks a maximum in the shrinkage and densification rates of the four samples. The samples manifest rapid densification, and the density and shrinkage rates increase significantly. This increased densification can be attributed to the generation of a significant amount of liquid phase as the added Y2S additive reaches its liquid phase formation temperature. The abundant liquid phase thus enables sintering densification through particle rearrangement in the liquid phase.
During the temperature range of 1600–1700 °C, the Y2S10, Y2S15, and Y2S20 samples undergo a stage of minor densification and improved shrinkage rate. This stage is potentially due to the lowered effect of particle rearrangement occurring at this point. The findings in Table 2 indicate that the conversion of α-Si3N4 into β-Si3N4, the low extent of grain coarsening, and the already high compactness of the sample lead to a relatively low level of shrinkage rate and densification. As the temperature advances within the 1700–1800 °C range, the process of grain coarsening and growth expels enclosed pores present in the liquid phase. This event brings about a further increase in densification and shrinkage rate, and eventually, both parameters reach their maximum values at 1800 °C. These conclusions are in conformity with those found in reference [39], which states that the process of particle rearrangement in the liquid phase of Si3N4 ceramics happens during the initial stages of liquid phase formation, approximately at 1400 °C, succeeded by the event of dissolution–precipitation within the 1400–1750 °C range. Lastly, in the 1750–1900 °C range, all β-Si3N4 crystals connect with each other to form a solid framework while the dissolution–precipitation process still continues. This event leads to alterations in grain shape, encourages more grain growth, and facilitates pore expulsion.
Despite the rise in additive content, the density and line shrinkage rate of Y2S15 and Y2S20 did not reveal a significant enhancement compared to the Y2S10 sample. This can be attributed to the decrease in Si3N4 content and the corresponding decline in SiO2 content as the sintering aid content increases. Consequently, the sintering aid Y2Si2O7 must interact with SiO2 to produce a liquid phase. So, the reduction in SiO2 will result in a decrease in the volume of the created liquid phase. Thus, continuing to increase the amount of sintering aid may not necessarily lead to an effective densification of Si3N4 ceramics.
In summary, in the early stages of liquid phase appearance (1500–1600 °C), increasing the sintering aid content produces a larger volume of liquid phase in the sample, leading to more migration of solid particles in the liquid phase. This boost in particle rearrangement rates results in a higher density and higher shrinkage rates of the sample. However, when the sintering temperature surpasses 1600 °C, the main driver for densification is the transition from α→β phase. At this time, a higher content of liquid phase will instead trigger more high-temperature volatilization. For instance, the weight loss rates of samples Y2S5, Y2S10, Y2S15, and Y2S20 in this experiment were 2.59%, 4.7%, 4.87%, and 5.14%, respectively.
3.4. The Effect of Additive Content on Grain Size
The SEM images, grain size distribution, and aspect ratio of Si3N4 ceramics sintered at 1800 °C with different sintering aid contents are presented in Figure 8. It is evident from the figure that, as the sintering aid content increased from Y2S5 to Y2S10, the sample’s grain size increased from 0.923 μm to 1.011 μm. When the sintering aid content further increased to Y2S15 and Y2S20, the crystal size of the ceramics decreased considerably to 0.939 μm and 0.881 μm, respectively. Additionally, as depicted in the figure, the pore size differences parallel that of crystal sizes. The sample with Y2S5 sintering aid shows more “dry and chaotic” regions with minute grains and voids among them. This is due to the inadequate wetting resulting from a low quantity of sintering aid with some local grains (as depicted in the figure by red circles), which leads to more and distributed pores inside the Y2S5 sample. Conversely, the Y2S10 sample has more substantial but centralized pores, while the pore size continuously reduces in the Y2S15 and Y2S20 samples until it diminishes to almost none. In addition, the aspect ratio increased with the increase in additive content, from 2.039 to 2.701; this may be attributed to the increase in the RE atomic number that caused the grains to grow anisotropically, as Hoffmann and Paul et al. observed [24,25,27].
Figure 8.
SEM and grain size distribution of Si3N4 ceramic samples after sintering at 1800 °C. (a,e) Sample Y2S5, (b,f) sample Y2S10, (c,g) sample Y2S15, (d,h) sample Y2S20.
From the test results, it is evident that the low content of sintering aid results in the reduced production of liquid phase during the sintering process, which inhibits the wetting of particles and the mass transfer of particles in the liquid phase, leading to poor densification and a smaller shrinkage rate [40]. At 10 wt.% concentration of the additive, the liquid phase spreads evenly and extensively throughout the billet, facilitating material migration and phase transitions during sintering, and enhancing densification. However, this concentration level also causes the additional formation of β-Si3N4 crystal nuclei and increases the availability of growth templates for dissolved α-Si3N4 in the liquid phase, ultimately leading to more uniform grain growth. Ultimately, the increase in crystal size results in a decline in the mechanical and thermal properties and other characteristics of Si3N4 ceramics. For the Y2S15 and Y2S20 content of sintering aids, a significant amount of β-Si3N4 nuclei precipitates during late sintering, leading to competition for growth materials and spatial hindrance effects, inhibiting grain growth and exhibiting a slightly smaller grain size [13,41]. This also allows for the implementation of a barrier effect of elongated grains, which improves the fracture toughness of the ceramics, as found in Si3N4–Y2O3 ceramics [42].
4. Conclusions
The aim of this study was to investigate the impact of different liquid phase formation temperatures and sintering aid content (namely Y2O3-Al2O3 [YA], Y2Si2O7 [Y2S], and Y2Si2O7-Al6Si2O13 [Y2SM]) on Si3N4 ceramics with varying Y2S solid content (5–20 wt.%). This research analyzed important parameters such as density, shrinkage rate, crystal phase transition, and crystal size throughout the sintering process.
Based on the analysis of the sintering process and microstructure of the samples, it was found that the YA sintering aid can form a liquid phase at a lower temperature compared to Y2S, resulting in a higher sintering density due to the complete rearrangement of Si3N4 ceramic particles. However, if the liquid phase temperature of the sintering aid is too low, as in the case of Y2SM, the sintering aid will vaporize in subsequent high-temperature sintering stages, leading to a reduced sintering density. Different liquid phase temperatures had no effect on the temperature at which α→β phase transition occurs in Si3N4 ceramics. Instead, they promote attaining maximum shrinkage and densification rates in the temperature range, having a much greater impact on compactness than the α→β phase transition effect.
This study also found that, when the sintering aid content is low (5 wt.% Y2S), a small amount of liquid phase produced during the sintering process hinders the mass transfer of particles in the liquid phase, leading to poor densification. However, increasing the content to 10 wt.% promotes substance transfer and phase transition, thereby improving the densification effect, but resulting in the formation of more β-Si3N4 crystal nuclei, causing an increase in crystal size and reduced performance. Increasing the aid content to 15 wt.% and 20 wt.% led to a significant amount of β-Si3N4 crystal nuclei precipitation in the later stage of sintering, causing competition for raw materials and spatial hindrance effects, thus refining the grain size. However, increasing the sintering temperature to over 1600 °C results in a higher amount of high temperature volatilization caused by high content aid.
The above may contribute to the selection of sintering aids for silicon nitride, the optimization of the sintering profile, and the control of grain shape and size, which help to obtain silicon nitride ceramics with the desired properties.
Author Contributions
Conceptualization, L.H. and W.Z.; methodology, L.H. and N.H.; software, L.H.; validation, W.Z. and P.S.; formal analysis, N.H. and D.L.; investigation, P.S. and D.L.; resources, L.H. and D.L.; data curation, L.H. and D.L.; writing—original draft preparation, L.H. and N.H.; writing—review and editing, D.L. and W.Z; visualization, N.H.; supervision, W.Z.; project administration, L.H.; funding acquisition, L.H. All authors have read and agreed to the published version of the manuscript.
Funding
This work was funded by the China Postdoctoral Science Foundation (2021M690635), the GuangDong Basic and Applied Basic Research Foundation (2020A1515110266), the Key-Area Research and Development Program of Guangdong Province (Grant No. 2020B090923002), and the Foshan Science and Technology Innovation Team project (Grant No. FS0AA-KJ919-4402-0023).
Data Availability Statement
The data presented in this study are available on request from the corresponding authors. The data are not publicly available due to the fact that the research is still in progress.
Conflicts of Interest
The authors declare no conflict of interest.
References
- Bocanegra-Bernal, M.; Matovic, B. Mechanical properties of silicon nitride-based ceramics and its use in structural applications at high temperatures. Mater. Sci. Eng. A 2010, 527, 1314–1338. [Google Scholar] [CrossRef]
- Zhou, Y.; Hyuga, H.; Kusano, D.; Yoshizawa, Y.-I.; Ohji, T.; Hirao, K. Development of high-thermal-conductivity silicon nitride ceramics. J. Asian Ceram. Soc. 2015, 3, 221–229. [Google Scholar] [CrossRef]
- Dong, X.; Wu, J.; Yu, H.; Zhou, Q.; Wang, W.; Zhang, X.; Zhang, L.; Li, L.; He, R. Additive manufacturing of silicon nitride ceramics: A review of advances and perspectives. Int. J. Appl. Ceram. Technol. 2022, 19, 2929–2949. [Google Scholar] [CrossRef]
- Zhao, D.; Zhang, Y.; Gong, H.; Nie, L.; Zhao, L. Effects of sintering aids on mechanical and dielectric properties of Si3N4 ceramics. Mater. Res. Innov. 2010, 14, 338–341. [Google Scholar] [CrossRef]
- Batha, H.D.; Whitney, E.D. Kinetics and mechanism of the thermal decomposition of Si3N4. J. Am. Ceram. Soc. 1973, 56, 365–369. [Google Scholar] [CrossRef]
- Lee, S.-J.; Kim, J.-D.; Suh, J. Microstructural variations and machining characteristics of silicon nitride ceramics from increasing the temperature in laser assisted machining. Int. J. Precis. Eng. Manuf. 2014, 15, 1269–1274. [Google Scholar] [CrossRef]
- Tatami, J.; Hiratsuka, D.; Okada, S.; Komeya, K.; Wakihara, T. Analysis of sintering behavior of silicon nitride based on master sintering curve theory of liquid phase sintering. J. Ceram. Soc. Jpn. 2016, 124, 375–380. [Google Scholar] [CrossRef]
- Liu, W.; Tong, W.; Lu, X.; Wu, S. Effects of different types of rare earth oxide additives on the properties of silicon nitride ceramic substrates. Ceram. Int. 2019, 45, 12436–12442. [Google Scholar] [CrossRef]
- Han, W.; Li, Y.; Chen, G.; Yang, Q. Effect of sintering additive composition on microstructure and mechanical properties of silicon nitride. Mater. Sci. Eng. A 2017, 700, 19–24. [Google Scholar] [CrossRef]
- Gomez, E.; Echeberria, J.; Iturriza, I.; Castro, F. Liquid phase sintering of SiC with additions of Y2O3, Al2O3 and SiO2. J. Eur. Ceram. Soc. 2004, 24, 2895–2903. [Google Scholar] [CrossRef]
- Luo, C.; Zhang, Y.; Deng, T. Pressureless sintering of high performance silicon nitride ceramics at 1620 °C. Ceram. Int. 2021, 47, 29371–29378. [Google Scholar] [CrossRef]
- Tatli, Z.; Thompson, D.P. Low temperature densification of silicon nitride using Li2O-based surface coatings. Ceram. Int. 2012, 38, 15–21. [Google Scholar] [CrossRef]
- Perera, D.S.; Mitchell, D.R.G.; Leung, S. High aspect ratio β-Si3N4 grain growth. J. Eur. Ceram. Soc. 2000, 20, 789–794. [Google Scholar] [CrossRef]
- Li, Y.; Kim, H.N.; Wu, H.; Kim, M.J.; Kim, H.D. Microstructure and thermal conductivity of gas-pressure-sintered Si3N4 ceramic: The effects of Y2O3 additive content. J. Eur. Ceram. Soc. 2020, 41, 274–283. [Google Scholar] [CrossRef]
- Yamamoto, H.; Akiyama, K.; Murakami, Y. Densification behaviors and high-temperature characteristics of Si3N4 sintered bodies using Al2O3–Yb2O3 additives. J. Eur. Ceram. Soc. 2006, 26, 1059–1067. [Google Scholar] [CrossRef]
- Yin, X.; Li, X.; Zhang, L.; Cheng, L.; Liu, Y.; Pan, T. Microstructure and mechanical properties of Lu2O3-doped porous silicon nitride ceramics using phenolic resin as pore-forming agent. Int. J. Appl. Ceram. Technol. 2010, 7, 391–398. [Google Scholar] [CrossRef]
- Dressler, W.; Riedel, R. Progress in silicon-based non-oxide structural ceramics. Int. J. Refract. Met. Hard Mater. 1997, 15, 13–47. [Google Scholar] [CrossRef]
- Meng, Q.; Zhao, Z.; Sun, Y.; Li, X.; Ji, H. Low temperature pressureless sintering of dense silicon nitride using BaO-Al2O3-SiO2 glass as sintering aid. Ceram. Int. 2017, 43, 10123–10129. [Google Scholar] [CrossRef]
- Liu, X.-J.; Huang, Z.-Y.; Ge, Q.-M.; Sun, X.-W.; Huang, L.-P. Microstructure and mechanical properties of silicon nitride ceramics prepared by pressureless sintering with MgO–Al2O3–SiO2 as sintering additive. J. Eur. Ceram. Soc. 2005, 25, 3353–3359. [Google Scholar] [CrossRef]
- Joshi, P.N.; McCauley, R.A. Metal-organic Surfactants as Sintering Aids for Silicon Nitride in an Aqueous Medium. J. Am. Ceram. Soc. 1994, 77, 2926–2934. [Google Scholar] [CrossRef]
- Kingery, W.D. Densification during Sintering in the Presence of a Liquid Phase. I. Theory. J. Appl. Phys. 2004, 30, 301–306. [Google Scholar] [CrossRef]
- Rahaman, M.N. Ceramic Processing and Sintering; CRC Press: Boca Raton, FL, USA, 2017; Volume 1. [Google Scholar]
- Pyzik, A.J.; Beaman, D.R. Microstructure and properties of self-reinforced silicon nitride. J. Am. Ceram. Soc. 1993, 76, 2737–2744. [Google Scholar] [CrossRef]
- Satet, R.L.; Hoffmann, M.J. Influence of the rare-earth element on the mechanical properties of RE-Mg-bearing silicon nitride. J. Am. Ceram. Soc. 2005, 88, 2485–2490. [Google Scholar] [CrossRef]
- Satet, R.L.; Hoffmann, M.J.; Cannon, R.M. Experimental evidence of the impact of rare-earth elements on particle growth and mechanical behaviour of silicon nitride. Mater. Sci. Eng. A-Struct. Mater. Prop. Microstruct. Process. 2006, 422, 66–76. [Google Scholar] [CrossRef]
- Becher, P.F.; Painter, G.S.; Shibata, N.; Waters, S.B.; Lin, H.-T. Effects of rare-earth (RE) intergranular adsorption on the phase transformation, microstructure evolution, and mechanical properties in silicon nitride with RE2O3 + MgO additives: RE=La, Gd, and Lu. J. Am. Ceram. Soc. 2008, 91, 2328–2336. [Google Scholar] [CrossRef]
- Jordache, M.K.; Du, H. Oxidation behavior of silicon nitride sintered with Lu2O3 additive. J. Mater. Sci. 2006, 41, 7040–7044. [Google Scholar] [CrossRef]
- Matovic, B.; Rixecker, G.; Aldinger, F. Pressureless sintering of silicon nitride with lithia and yttria. J. Eur. Ceram. Soc. 2004, 24, 3395–3398. [Google Scholar] [CrossRef]
- Huang, Z.K.; Tien, T.Y. Solid–Liquid Reaction in the System Si3N4–Y3Al5O12–Y2Si2O7 under 1 MPa of Nitrogen. J. Am. Ceram. Soc. 1994, 77, 2763–2766. [Google Scholar] [CrossRef]
- Murakami, Y.; Yamamoto, H. Phase equilibria in Al2O3-Y2O3-SiO2 system and phase separation and crystallization behavior of glass. J. Ceram. Soc. Jpn. 1991, 99, 215–221. [Google Scholar] [CrossRef]
- Wang, M.; Zheng, Q.; Chen, A.; Li, Y.; Zhang, X.; Zhang, D.; Jin, S.; Xiong, D.; Deng, W. Crystallization, thermal expansion and hardness of Y2O3–Al2O3–SiO2 glasses. Ceram. Int. 2021, 47, 25059–25066. [Google Scholar] [CrossRef]
- Gazzara, C.P.; Messier, D.R. Determination of phase content of Si3N4 by X-ray diffration analysis. Am. Ceram. Soc. Bull. 1977, 56, 777–780. [Google Scholar]
- Miranzo, P.; González-Julián, J.; Osendi, M.I.; Belmonte, M. Enhanced particle rearrangement during liquid phase spark plasma sintering of silicon nitride-based ceramics. Ceram. Int. 2011, 37, 159–166. [Google Scholar] [CrossRef]
- Jiang, Q.G.; Liu, W.Y.; Zhu, Z.Y.; Liu, J.; Wu, H.D.; Guo, W.M.; Wu, S.H. Fabrication of fine-grained α/β Si3N4 by Hot Pressing Flowing Sintering at 1550 °C. Ceram. Int. 2019, 45, 13958–13963. [Google Scholar] [CrossRef]
- Matovic, B.; Rixecker, G.; Boskovic, S.; Aldinger, F. Effect of LiYO2 addition on sintering behavior and indentation properties of silicon nitride ceramics. Int. J. Mater. Res. 2006, 97, 1268–1272. [Google Scholar] [CrossRef]
- Streitenberger, P.; Zöllner, D. The envelope of size distributions in Ostwald ripening and grain growth. Acta Mater. 2015, 88, 334–345. [Google Scholar] [CrossRef]
- Wang, W.; Yao, D.; Chen, H.; Xia, Y.; Zuo, K.; Yin, J.; Liang, H.; Zeng, Y.-P. ZrSi2-MgO as novel additives for high thermal conductivity of beta-Si3N4 ceramics. J. Am. Ceram. Soc. 2020, 103, 2090–2100. [Google Scholar] [CrossRef]
- Krstic, Z.; Krstic, V.D. Silicon nitride: The engineering material of the future. J. Mater. Sci. 2012, 47, 535–552. [Google Scholar] [CrossRef]
- Honma, T.; Ukyo, Y. Sintering Process of Si3N4 with Y2O3 and Al2O3 as Sintering Additives. J. Mater. Sci. Lett. 1999, 18, 735–737. [Google Scholar] [CrossRef]
- Hu, F.; Zhao, L.; Xie, Z.P. Silicon Nitride Ceramics with High Thermal Conductivity and Excellent Mechanical Properties Fabricated with MgF2 Sintering Aid and Post-Sintering Heat Treatment. J. Ceram. Sci. Technol. 2016, 7, 423–428. [Google Scholar] [CrossRef]
- Lee, C.J.; Chae, J.I.; Kim, D.J. Effect of β-Si3N4 starting powder size on elongated grain growth in β-Si3N4 ceramics. J. Eur. Ceram. Soc. 2000, 20, 2667–2671. [Google Scholar] [CrossRef]
- Romaniv, O.M.; Vasyliv, B.D. Some features of formation of the structural strength of ceramic materials. Mater. Sci. 1998, 34, 149–161. [Google Scholar] [CrossRef]
Disclaimer/Publisher’s Note: The statements, opinions and data contained in all publications are solely those of the individual author(s) and contributor(s) and not of MDPI and/or the editor(s). MDPI and/or the editor(s) disclaim responsibility for any injury to people or property resulting from any ideas, methods, instructions or products referred to in the content. |
© 2023 by the authors. Licensee MDPI, Basel, Switzerland. This article is an open access article distributed under the terms and conditions of the Creative Commons Attribution (CC BY) license (https://creativecommons.org/licenses/by/4.0/).







