Highly Nonlinear Composite-Photonic Crystal Fibers with Simplified Manufacturing Process and Efficient Mid-IR Applications
Abstract
1. Introduction
2. The PCF Structure Analysis
3. Results and Discussions
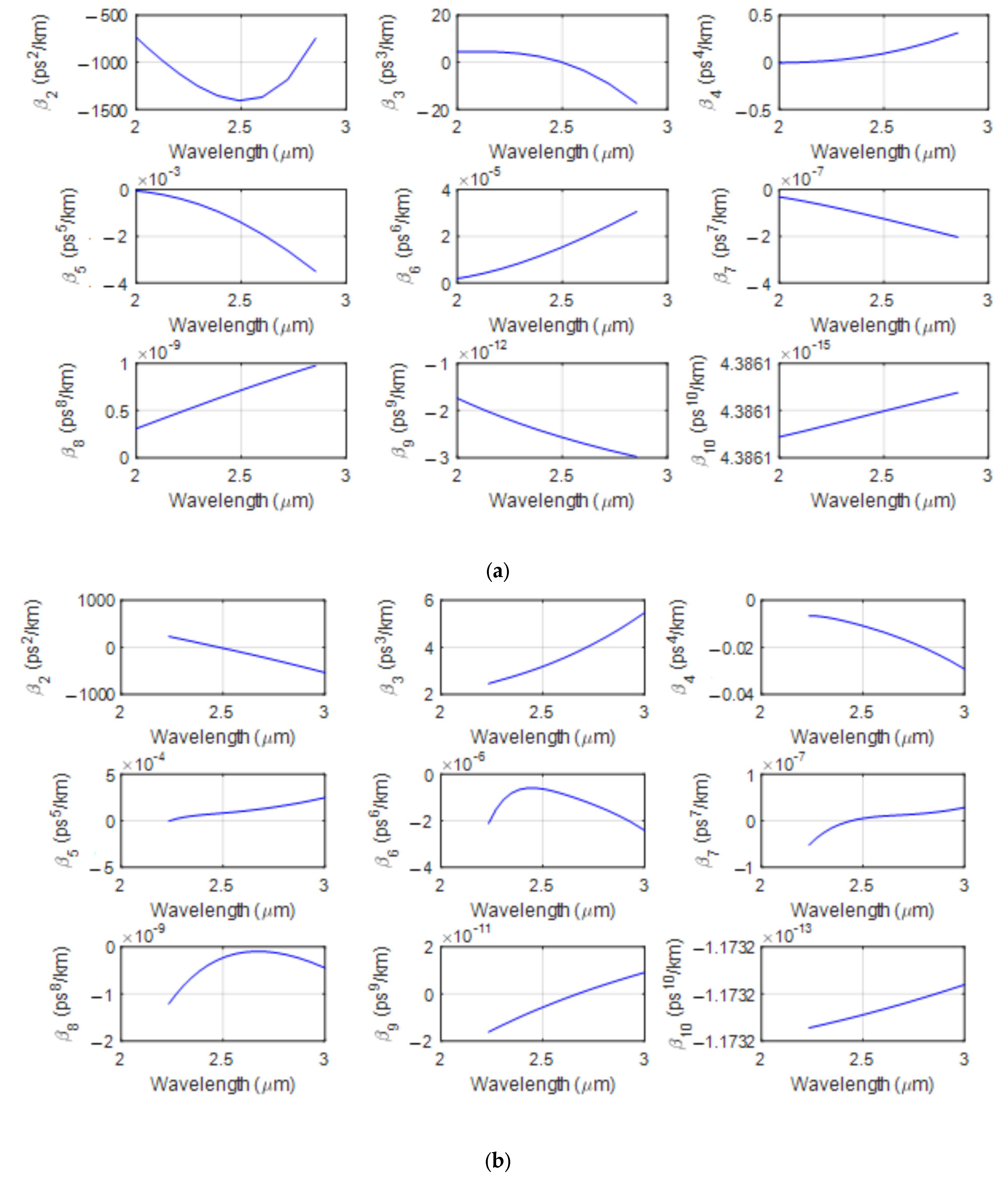
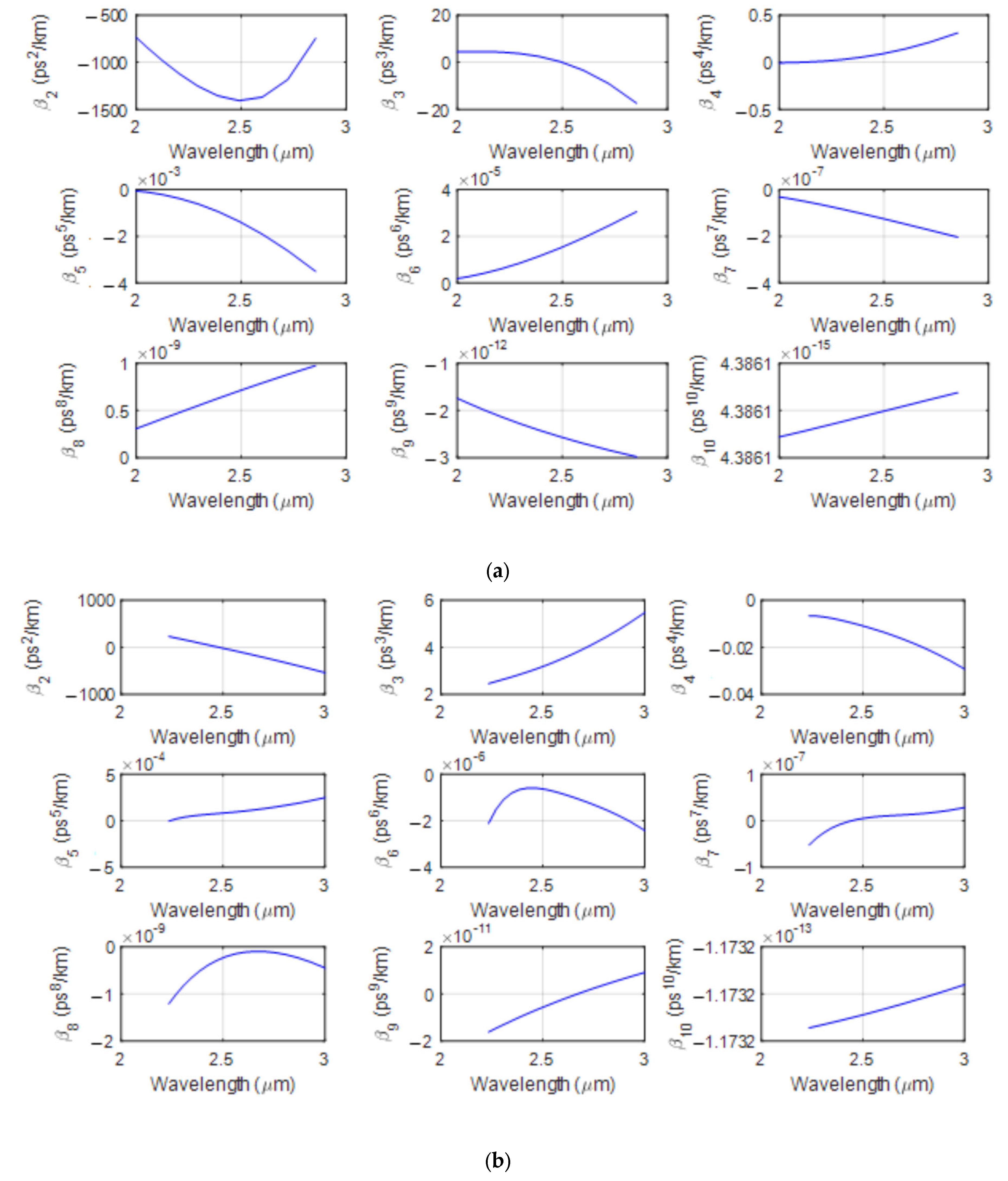
3.1. Dispersion Analyzing
3.2. Confinement Loss
3.3. Nonlinear Index and Effective Area
4. Supercontinuum Generation (SCG)
4.1. Spectral Evolution
4.2. An OCT Imaging Mid-IR Setup
5. Investigation on the Existing Challenges in the Manufacturing Process of the Proposed PCFs
6. Comparison between the Optical Properties of the Designed PCFs with Other Works
7. Conclusions
Author Contributions
Funding
Institutional Review Board Statement
Informed Consent Statement
Data Availability Statement
Acknowledgments
Conflicts of Interest
Abbreviations
| CL | Confinement Loss |
| C-PCF | Composite-Photonic Crystal Fiber |
| FCA | Free-Carrier Absorption |
| FDTD | Finite-Difference Time-Domain |
| fs | Femtosecond |
| GVD | Group Velocity Dispersion |
| HNL | Highly Nonlinear |
| HOD | Higher-Order Dispersion |
| Mid-IR | Middle Infrared |
| NIR | Near Infrared |
| NLSE | Nonlinear Schrodinger Equation |
| OCT | Optical Coherent Tomography |
| PCF | Photonic Crystal Fiber |
| ps | Picosecond |
| S-PCF | Silicon-Photonic Crystal Fiber |
| SWIR | Short Wavelength Infrared |
| TPA | Two-photon absorption |
| UBB | Ultra-Broad Band |
| UWB | Ultra-Wide Band |
| ZDW | Zero Dispersion Wavelength |
References
- Ahmadian, A.; Monfared, Y.E. Chalcogenide-tellurite composite photonic crystal fiber. Extreme non-linearity meets large birefringence. Appl. Sci. 2019, 9, 4445. [Google Scholar] [CrossRef]
- Ghanbari, A.; Kashaninia, A.; Sadr, A.; Saghaei, H. Supercontinuum generation for optical coherence tomography using magnesium fluoride photonic crystal fiber. Optik 2017, 140, 545–554. [Google Scholar] [CrossRef]
- Ghanbari, A.; Kashaninia, A.; Sadr, A.; Saghaei, H. Supercontinuum generation with femtosecond optical pulse compression in silicon photonic crystal fibers at 2500 nm. Opt. Quantum Electron. 2018, 50, 411. [Google Scholar] [CrossRef]
- Dashtban, Z.; Salehi, M.R.; Abiri, E. Supercontinuum generation in near- and Mid-infrared spectral region using highly nonlinear silicon-core photonic crystal fiber for sensing applications. Photonics Nanostruct. 2021, 46, 100942. [Google Scholar] [CrossRef]
- Ahmad, R.; Komanec, M.; Zvanovec, S. Circular lattice photonic crystal fiber for Mid-IR supercontinuum generation. IEEE Photon. Technol. Lett. 2016, 28, 2736–2739. [Google Scholar] [CrossRef]
- Chauhan, P.; Kumar, A.; Kalra, Y. A dispersion engineered silica-based photonic crystal fiber for supercontinuum generation in near-infrared wavelength region. Optik 2019, 187, 230–237. [Google Scholar] [CrossRef]
- Medjouri, A.; Abed, D. Theoretical study of coherent supercontinuum generation in chalcogenide glass photonic crystal fiber. Optik 2020, 219, 165178. [Google Scholar] [CrossRef]
- Guiyao, Z.; Zhiyun, H.; Shuguang, L.; Lantian, H. Fabrication of glass photonic crystal fibers with a die-cast process. Appl. Opt. 2006, 45, 4433–4436. [Google Scholar] [CrossRef]
- Kim, J.; Kim, H.; Paek, U.; Lee, B.; Eom, J. The fabrication of a photonic crystal fiber and measurement of its properties. J. Opt. Soc. Korea 2003, 7, 79–83. [Google Scholar] [CrossRef]
- Cho, T.Y.; Kim, G.H.; Lee, K. Study on the fabrication process of polarization maintaining photonic crystal fibers and their optical properties. J. Opt. Soc. Korea 2008, 12, 19–24. [Google Scholar] [CrossRef]
- Azman, M.F.; Mahdiraji, G.A.; Wong, W.R.; Aoni, R.A.; Adikan, F.R.M. Design and fabrication of copper-filled photonic crystal fiber-based polarization filters. Appl. Opt. 2019, 58, 2068–2075. [Google Scholar] [CrossRef]
- Chauhan, P.; Kumar, A.; Kalra, Y. Numerical exploration of coherent supercontinuum generation in multicomponent GeSe2-As2Se3-PbSe chalcogenide based photonic crystal fiber. Opt. Fiber Technol. 2020, 54, 102100. [Google Scholar] [CrossRef]
- Ranka, J.K.; Windeler, R.S.; Stentz, A.J. Visible continuum generation in air–silica microstructure optical fibers with anomalous dispersion at 800 nm. Opt. Lett. 2000, 25, 25–27. [Google Scholar] [CrossRef]
- Avdokhin, A.V.; Popov, S.V.; Taylor, J.R. Continuous-wave, high-power, Raman continuum generation in holey fibers. Opt. Lett. 2003, 28, 1353–1355. [Google Scholar] [CrossRef]
- Van, T.H.; Rafal, K.; Grzegorz, S.; Khoa, D.X.; Van, C.L.; Marek, T.; Mariusz, K.; Ryszard, B.; Jacek, P. Femtosecond supercontinuum generation around 1560 nm in hollow-core photonic crystal fibers filled with carbon tetrachloride. Appl. Opt. 2020, 59, 3720–3725. [Google Scholar]
- Gao, W.; Zhang, L.; Chen, H.; Li, J.; Jiang, Y.; Wan, L.; Zhou, Y.; Ma, X. Experimental study of supercontinuum generation in step-index highly nonlinear fibers. Res. Sq. 2021, 11, 806–810. [Google Scholar]
- Saghaei, H.; Van, V. Broadband mid-infrared supercontinuum generation in dispersion-engineered silicon-on-insulator waveguide. J. Opt. Soc. Am. B 2019, 36, A193–A202. [Google Scholar] [CrossRef]
- Ghosh, A.N.; Meneghetti, M.; Petersen, C.R.; Bang, O.; Brilland, L.; Venck, S.; Troles, J.; Dudley, J.M.; Sylvestre, T. Chalcogenide-glass polarization-maintaining photonic crystal fiber for mid-infrared supercontinuum generation. J. Phys. Photonics 2019, 1, 044003. [Google Scholar] [CrossRef]
- Jamatia, P.; Saini, T.S.; Kumar, A.; Sinha, R.K. Design and analysis of a highly nonlinear composite photonic crystal fiber for supercontinuum generation: Visible to mid-infrared. Appl. Opt. 2016, 55, 6775–6781. [Google Scholar] [CrossRef]
- Rajesh, A.; Sivasankar, P.; Sai, S.; Chandini, M. Design of Highly Sensitive Hybrid Honeycomb Photonic Crystal Fiber for Sensing C8H8O3/AsCl3/C8H10 Analyte. Res. Sq. 2022, 21, 1–20. [Google Scholar]
- Saini, T.S.; Kumar, A.; Sinha, R.K. Broadband mid-infrared supercontinuum spectra spanning 2–15 μm using As2Se3 chalcogenide glass triangular-core graded-index photonic crystal fiber. J. Light. Technol. 2015, 33, 3914–3920. [Google Scholar] [CrossRef]
- Gao, W.; Duan, Z.; Asano, K.; Cheng, T.; Deng, D.; Matsumoto, M.; Misumi, T.; Suzuki, T.; Ohishi, Y. Mid-infrared supercontinuum generation in a four-hole As2S5 chalcogenide microstructured optical fiber. Appl. Phys. B Laser Opt. 2014, 116, 847–853. [Google Scholar] [CrossRef]
- Singh, N.; Hudson, D.D.; Yu, Y.; Grillet, C.; Jackson, S.D.; Casas-Bedoya, A.; Read, A.; Atanackovic, P.; Duvall, S.G.; Palomba, S.; et al. Mid-infrared supercontinuum generation from 2 to 6 μm in a silicon nanowire. Optica 2015, 2, 797–802. [Google Scholar] [CrossRef]
- Sellmeier, W. To explain the abnormal sequence of colors in the spectrum of some substances. J. Y. Phys. 1871, 143, 272–282. (In German) [Google Scholar]
- Cheshberah, A.; Seifouri, M.; Olyaee, S. Design of normal dispersion with Ge11.5As24Se64.5/Ge20Sb15Se65 chalcogenide PCF pumped at 1300 nm for supercontinuum generation. Opt. Quantum Electron. 2021, 53, 461. [Google Scholar] [CrossRef]
- Sharma, R.; Kaur, S.; Chauhan, P.; Kumar, A. Computational design & analysis of GeSe2-As2Se3-PbSe based rib waveguide for Mid-infrared supercontinuum generation. Optik 2020, 220, 165032. [Google Scholar]
- Ademgil, H.; Haxha, S. Endlessly single mode photonic crystal fiber with improved effective mode area. J. Opt. Commun. 2012, 285, 1514–1518. [Google Scholar] [CrossRef]
- Islam, I.; Paul, B.K.; Ahmed, K.; Hasan, R.; Chowdhury, S.; Islam, S.; Sen, S.; Bahar, A.N.; Asaduzzaman, S. Highly birefringent single mode spiral shape photonic crystal fiber-based sensor for gas sensing applications. Sens. Bio-Sens. Res. 2017, 14, 30–38. [Google Scholar] [CrossRef]
- Hooper, L.E.; Mosley, P.J.; Muir, A.C.; Wadsworth, W.J.; Knight, J.C. Coherent supercontinuum generation in photonic crystal fiber with all-normal group velocity dispersion. Opt. Express 2011, 19, 4902–4907. [Google Scholar] [CrossRef]
- Wang, Y.; Yan, X.; Cheng, T.; Li, S. High sensitivity with wide detection range refractive index sensor based on dual-core photonic crystal fiber. J. Opt. 2022, 51, 397–407. [Google Scholar] [CrossRef]
- Seifouri, M.; Alizadeh, M.R. Supercontinuum Generation in a Highly Nonlinear Chalcogenide/MgF2 Hybrid Photonic Crystal Fiber. IJOP 2018, 12, 69–78. [Google Scholar] [CrossRef]
- Kumar, P.; Fiaboe, K.F.; Roy, J.S. Highly birefringent do-octagonal photonic crystal fibers with ultra flattened zero dispersion for supercontinuum generation. J. Microw. Optoelectron. Electromagn. Appl. 2019, 18, 80–95. [Google Scholar] [CrossRef]
- Sorahi-Nobar, M.; Maleki-Javan, A. Supercontinuum generation for ultrahigh-resolution OCT via selective liquid infiltration approach. Radio Eng. 2018, 27, 16–21. [Google Scholar] [CrossRef]
- Ferhat, M.L.; Cherbi, L.; Haddouche, I. Supercontinnum generation in silica photonic crystal fiber at 1.3µm and 1.65µm wavelength for optical coherence tomography. Optik 2018, 152, 106–115. [Google Scholar] [CrossRef]
- Kirishna, G.D.; Prasanan, G.; Sudheer, S.K.; Pillai, V.P.M. Analysis of zero dispersion shift and supercontinuum generation near-IR in circular photonic crystal fibers. Optik 2017, 145, 599–607. [Google Scholar] [CrossRef]
- Arif, M.F.H.; Biddut, M.J.H. Enhancement of relative sensitivity of photonic crystal fiber with high birefringence and low confinement loss. Optik 2017, 131, 697–704. [Google Scholar] [CrossRef]
- Sharma, M.; Konar, S.; Khan, K.R. Supercontinuum generation in highly nonlinear hexagonal photonic crystal fiber at very low power. J. Nanophotonics 2015, 9, 093073. [Google Scholar] [CrossRef]
- Bozolan, A.; Gerosa, R.M.; De Matos, C.; Romero, M.A.; Cordeiro, C.M.B. Sealed liquid-core photonic crystal fibers for practical nonlinear optics, nanophotonics, and sensing applications. J. SPIE 2010, 7839, 78390. [Google Scholar]
- Raei, R.; Heidari, M.E.; Saghaie, H. Supercontinnum generation in organic liquid-liquid core cladding photonic crystal fiber in visible and near infra-red regions. J. Opt. Soc. Am. B 2018, 36, 323–330. [Google Scholar] [CrossRef]
- Ahamad, R. Mid-Infrared Supercontinuum Generation in Photonic Crystal Fibers. Ph.D. Thesis, Czech Technical University, Prague, Czech Republic, 2016. [Google Scholar]
- Ghanbari, A.; Sadr, A.; Hesari, H.T. Modeling photonic crystal fiber for efficient soliton-effect compression of femtosecond optical pulses at 850 nm. Arab. J. Sci. Eng. 2014, 39, 3917–3923. [Google Scholar]
- Boris, I.G. Modern technologies for retinal scanning and imaging: An introduction for the biomedical engineer. Biomed. Eng. 2014, 13, 52. [Google Scholar]
- Aumann, S.; Donner, S.; Fischer, J.; Müller, F. Optical Coherence Tomography (OCT): Principle and Technical Realization. In High Resolution Imaging in Microscopy and Ophthalmology; Bille, J., Ed.; Springer: Berlin/Heidelberg, Germany, 2019; Chapter 3. [Google Scholar] [CrossRef]
- Van Le, H.; Hoang, V.T.; Nguyen, H.T.; Long, V.C.; Buczynski, R.; Kasztelanic, R. Supercontinuum generation in photonic crystal fibers infiltrated with tetrachloroethylene. Opt. Quantum Electron. 2021, 53, 187. [Google Scholar]
- Kiroriwal, M.; Singal, P. Numerical analysis on the supercontinuum generation through Al0.24Ga0.76As based photonic crystal fiber. Sādhanā 2021, 46, 167–174. [Google Scholar] [CrossRef]
- Borgohain, N.; Sharma, M.; Konar, S. Broadband supercontinuum generation in photonic crystal fibers using cosh-Gaussian pulses at 835 nm wavelength. Optik 2016, 127, 1630. [Google Scholar] [CrossRef]
- Hadi, H. Modelling Silica Core-Air Clad Nanowires for Supercontinuum Generation. Master’s Thesis, Qazvin Azad University, Qazvin, Iran, 2012; pp. 1–135. [Google Scholar]






| C-PCF | S-PCF | |
| –12.5 | –1400 | |
| 3 | 0 | |
| 0.072 | ||
| 0 | ||
| 2500 | 2500 | |
| ZDW (nm) | 2490 | 1800 & 3100 |
| Parameters | Spectral Broadening | Power/Energy | ) | /) | The PCF Type | ||||||
|---|---|---|---|---|---|---|---|---|---|---|---|
| The first proposed work | −12.5 | 3 | 8.1 | 3200 nm | 400 W | 2500 | 2.83 | 2.2 mm | C-PCF | ||
| The second proposed work | −1400 | 0 | 0.072 | 31 | 3700 nm | 400 W | 2500 | 0.53 | 0.58 mm | Silicon-PCF | |
| Ref. [7] | 150 | −1 | 0.0041 | 0.29 | 4400 nm | 3 nJ | 3000 | 15 | 15 mm | Chalcogenide PCF | |
| Ref. [6] | −2.3 | 0.049 | 0.026 | 2270 nm | 8000 W | 1300 | 4.7 | 37 cm | Silica-PCF | ||
| Ref. [31] | −3.7 | 0.15 | 0.0012 | 14.98 | 5000 nm | 200 W | 20,000 | 0.68 | 10 cm | C-PCF | |
| Ref. [21] | −170 | Not listed | Not listed | Not listed | 1.9 | 14,000 nm | 3500 W | 4000 | 4.1 | 6 mm | As2Se3- PCF |
| Ref. [32] | 2.253 | 3.4 | 1500 nm | 10,000 W | 1250 | 10.5 | 15 cm | C-PCF | |||
| Ref. [41] | −32 | 0.0011 | 0.3 | 1200 nm | 184 pJ | 850 | 0.81 | 10 mm | Silica-PCF | ||
| Ref. [5] | −0.0107 | 0.00145 | 2.3 | 6600 nm | 10,000 W | 2500 | 3.98 | 5 mm | As2S3- PCF | ||
| Ref. [44] | −4.1 | Not listed | Not listed | Not listed | 0.189 | 1200 nm | 16,000 W | 1030 | 3591 | 10 cm | C2CL4- PCF |
| Ref. [45] | −0.0041 | Not listed | Not listed | Not listed | 2.35 | 6000 nm | 2500 W | 3250 | Not listed | 4 mm | Al0.24Ga0.76As based PCF |
| Ref. [46] | −11.8 | 0.11 | 800 nm | 10,000 W | 835 | Not listed | 0.1 m | Silica-PCF | |||
| Ref. [47] | −10.8 | 3 | Not listed | Not listed | 0.03 | 1200 nm | 20,000 W | 1550 nm | 20 | 0.3 | Nanowire |
Disclaimer/Publisher’s Note: The statements, opinions and data contained in all publications are solely those of the individual author(s) and contributor(s) and not of MDPI and/or the editor(s). MDPI and/or the editor(s) disclaim responsibility for any injury to people or property resulting from any ideas, methods, instructions or products referred to in the content. |
© 2023 by the authors. Licensee MDPI, Basel, Switzerland. This article is an open access article distributed under the terms and conditions of the Creative Commons Attribution (CC BY) license (https://creativecommons.org/licenses/by/4.0/).
Share and Cite
Ghanbari, A.; Olyaee, S. Highly Nonlinear Composite-Photonic Crystal Fibers with Simplified Manufacturing Process and Efficient Mid-IR Applications. Crystals 2023, 13, 226. https://doi.org/10.3390/cryst13020226
Ghanbari A, Olyaee S. Highly Nonlinear Composite-Photonic Crystal Fibers with Simplified Manufacturing Process and Efficient Mid-IR Applications. Crystals. 2023; 13(2):226. https://doi.org/10.3390/cryst13020226
Chicago/Turabian StyleGhanbari, Ashkan, and Saeed Olyaee. 2023. "Highly Nonlinear Composite-Photonic Crystal Fibers with Simplified Manufacturing Process and Efficient Mid-IR Applications" Crystals 13, no. 2: 226. https://doi.org/10.3390/cryst13020226
APA StyleGhanbari, A., & Olyaee, S. (2023). Highly Nonlinear Composite-Photonic Crystal Fibers with Simplified Manufacturing Process and Efficient Mid-IR Applications. Crystals, 13(2), 226. https://doi.org/10.3390/cryst13020226

