Effects of Uniaxial Tensile Strain on Mechanical Properties of Al6MgNb: A First-Principles Study
Abstract
:1. Introduction
2. Methodology
3. Results and Discussion
3.1. Mechanical Stability
3.2. Elastic Properties of Polycrystalline
3.3. Hardness and Ductility
3.4. Elastic Anisotropy
4. Conclusions
- The Al6MgNb compound was stable in mechanics at a uniaxial tensile strain range of 0–12%, but it was mechanically unstable while the strain εx was greater than 12%.
- The shear modulus G, bulk modulus B and Young’s modulus E of the Al6MgNb compound all went down with the growth in strain εx, exhibiting the negative sensitivities of its moduli to the uniaxial tensile strain. Thereby, the shear resistance, incompressibility and stiffness of the Al6MgNb compound all went down with the growth in uniaxial tensile strain.
- As the uniaxial tensile strain εx grew from 0 to 7%, the Poisson ratio ν of the Al6MgNb compound went up, showing the positive sensitivity of Poisson’s ratio to uniaxial tensile strain, but it went down with the growth in strain εx from 7% to 12%, showing the negative sensitivity of Poisson’s ratio to the uniaxial tensile strain. The Al6MgNb compound possesses the optimal toughness at the uniaxial tensile strain εx of 7% because of the largest Poisson’s ratio ν value.
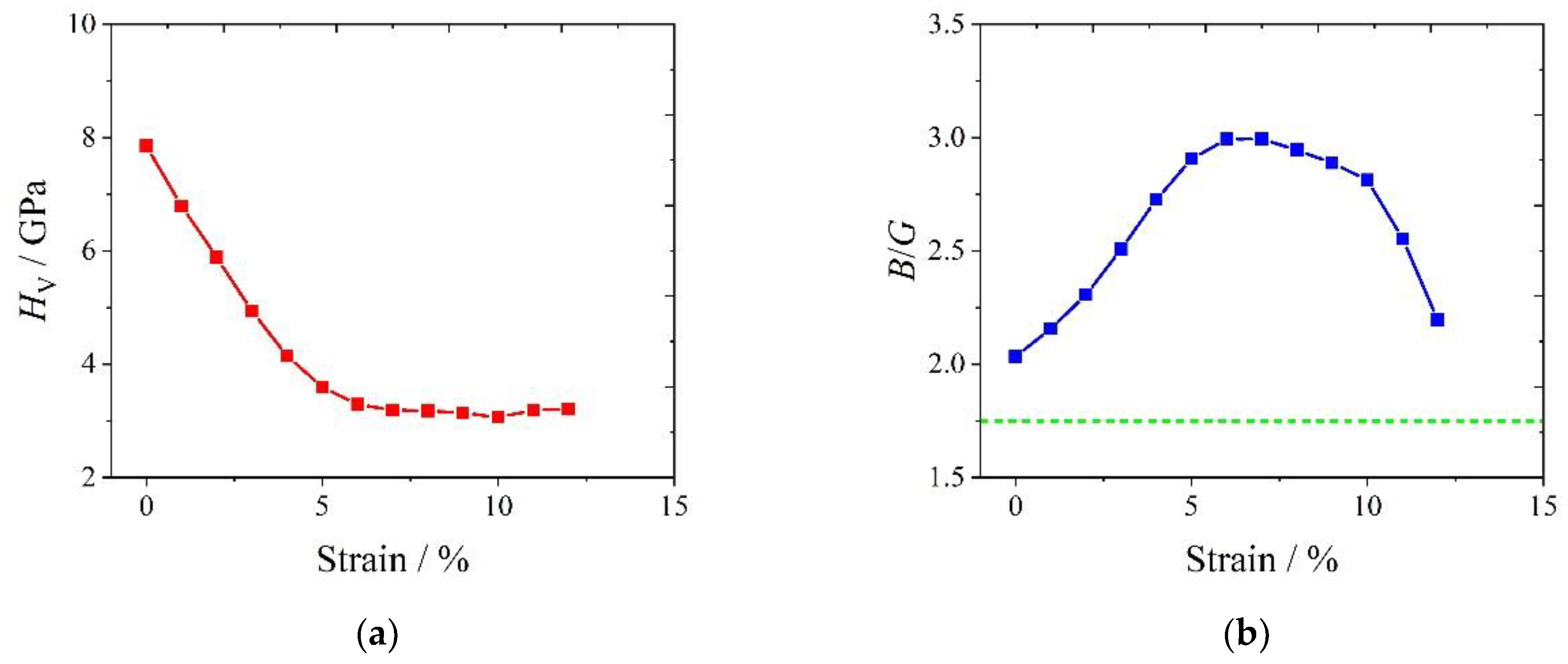
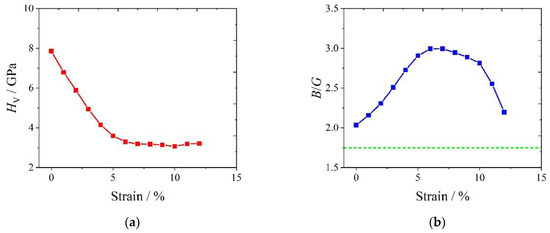
- The Vickers hardness HV of the Al6MgNb compound went down rapidly as the uniaxial tensile strain εx grew from 0 to 7%, but it changed little as the uniaxial tensile strain εx grew from 7% to 12%. Therefore, the hardness of the Al6MgNb compound showed negative sensitivity to the uniaxial tensile strain at a strain range of 0–7%.
- As the uniaxial tensile strain εx grew from 0 to 7%, the ratio of the bulk modulus B to the elastic shear modulus G (i.e., B/G) of the Al6MgNb compound went up, showing positive sensitivity to uniaxial tensile strain, but it decreased with the growth in strain εx from 7% to 12%, exhibiting its negative sensitivity to the uniaxial tensile strain. The highest ductility is achieved for the Al6MgNb compound at the uniaxial tensile strain εx of 7% because of the maximum B/G value.
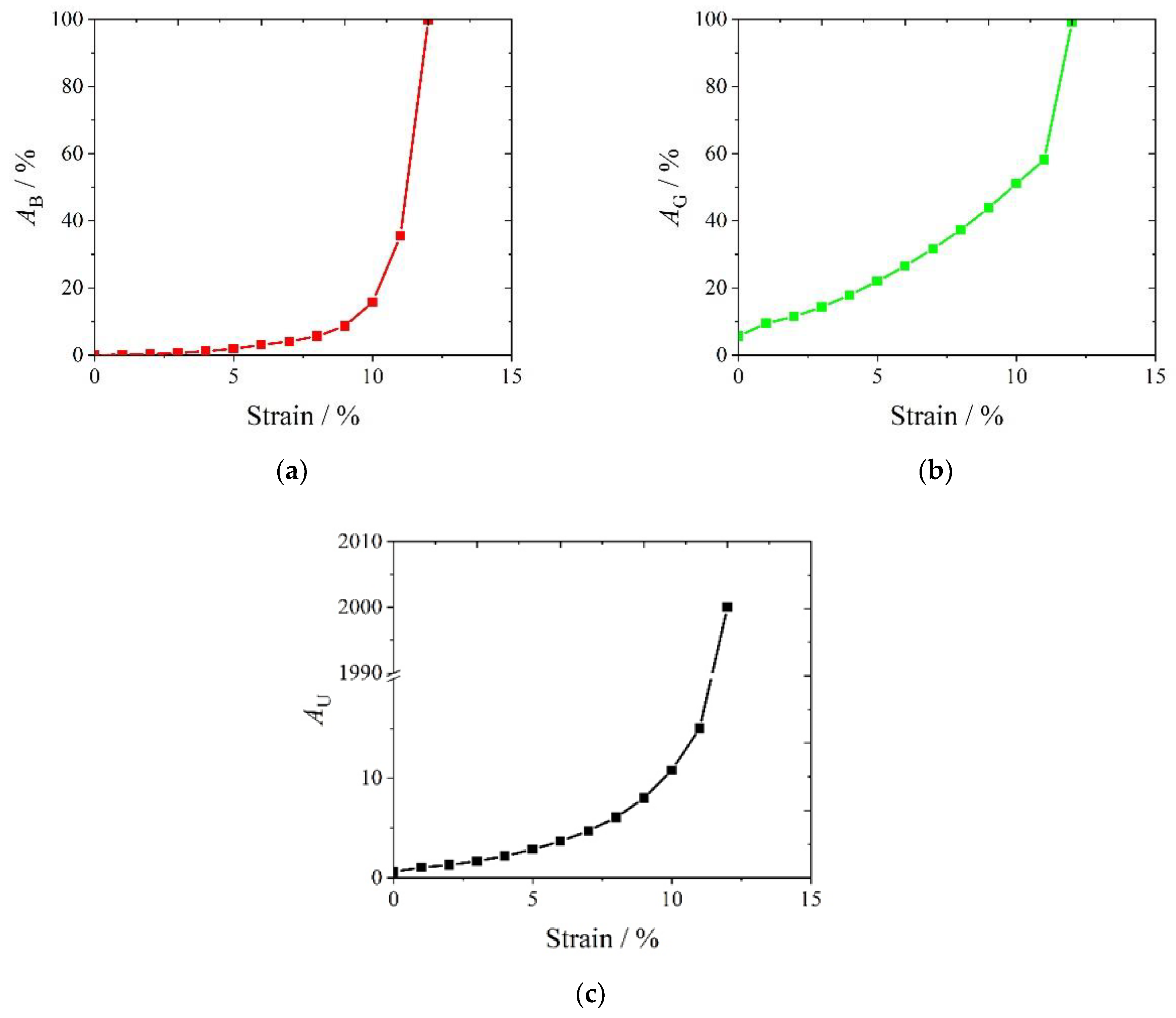
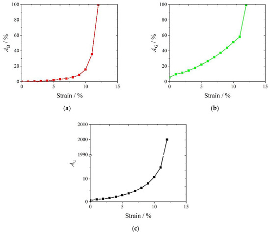
- The compression anisotropy percentage AB, shear anisotropy percentage AG and the universal anisotropy index AU of the Al6MgNb compound all increased with the increasing uniaxial tensile strain from 0 to 12%, showing their positive sensitivities to the uniaxial tensile strain. Therefore, the elastic anisotropy was enhanced by the uniaxial tensile strain, and the Al6MgNb compound exhibited stronger elastic anisotropy at higher uniaxial tensile strain.
Author Contributions
Funding
Data Availability Statement
Acknowledgments
Conflicts of Interest
References
- Dolce, D.; Swamy, A.; Hoyt, J.; Choudhury, P. Computing the solid-liquid interfacial free energy and anisotropy of the Al-Mg system using a MEAM potential with atomistic simulations. Com. Mater. Sci. 2023, 217, 111901. [Google Scholar] [CrossRef]
- Mofarrehi, M.; Javidani, M.; Chen, X.-G. Effect of Mn content on the hot deformation behavior and microstructure evolution of Al-Mg-Mn 5xxx alloys. Mat. Sci. Eng. A 2022, 845, 143217. [Google Scholar] [CrossRef]
- Grasserbauer, J.; Weißensteiner, I.; Falkinger, G.; Uggowitzer, P.J.; Pogatscher, S. Influence of Fe and Mn on the microstructure formation in 5xxx alloys-Part II: Evolution of grain size and texture. Materials 2021, 14, 3312. [Google Scholar] [CrossRef] [PubMed]
- Liu, H.; Zhang, Z.; Zhang, D.; Zhang, J. The effect of Ag on the tensile strength and fracture toughness of novel Al-Mg-Zn alloys. J. Alloys Compd. 2022, 908, 164640. [Google Scholar] [CrossRef]
- Thirathipviwat, P.; Nozawa, S.; Furusawa, M.; Onuki, Y.; Hasegawa, M.; Matsumoto, K.; Sato, S. In-situ neutron diffraction study on a dislocation density in a correlation with strain hardening in Al-Mg alloys. Mat. Sci. Eng. A-Struct. 2022, 855, 143956. [Google Scholar] [CrossRef]
- Guo, C.; Zhang, H.T.; Li, J.H. Influence of Zn and/or Ag additions on microstructure and properties of Al-Mg based alloys. J. Alloys Compd. 2022, 904, 163998. [Google Scholar] [CrossRef]
- Xue, D.; Wei, W.; Shi, W.; Guo, Y.W.; Wen, S.P.; Wu, X.L.; Huang, H.; Nie, Z.R. Effect of cold rolling on mechanical and corrosion properties of stabilized Al-Mg-Mn-Er-Zr alloy. J. Mater. Res. Technol. 2021, 15, 6329–6339. [Google Scholar] [CrossRef]
- Stemper, L.; Tunes, M.A.; Paul, O.; Uggowitzer, P.J.; Pogatscher, S. Age-hardening response of AlMgZn alloys with Cu and Ag additions. Acta Mater. 2020, 195, 541–554. [Google Scholar] [CrossRef]
- Su, D.; Zhang, J.; Wang, B. The microstructure and weldability in welded joints for AA 5356 aluminum alloy after adding modified trace amounts of Sc and Zr. J. Manuf. Process. 2020, 57, 488–498. [Google Scholar] [CrossRef]
- Chen, H.M.; Li, X.W.; Chen, Z.P.; Zhang, R.; Ma, X.B.; Zheng, F.; Ma, Z.; Pan, F.C.; Lin, X.L. Investigation on electronic structures and mechanical properties of Nb–doped TiAl2 intermetallic compound. J. Alloys Compd. 2019, 780, 41–48. [Google Scholar] [CrossRef]
- Bao, N.Y.; Tong, Q.C.; Guo, F.Y.; Zhang, S.; Kang, D.D.; Akinpelu, A.; Lv, J.; Yao, Y.S.; Dai, J.Y. Structures and properties of uranium–niobium intermetallic compounds under high pressure: A first principles study. J. Appl. Phys. 2023, 133, 095901. [Google Scholar] [CrossRef]
- Chen, Z.-P.; Ma, Y.-N.; Lin, X.-L.; Pan, F.-C.; Xi, L.-Y.; Ma, Z.; Zheng, F.; Wang, Y.-Q.; Chen, H.-M. Electronic structure and mechanical properties of Nb-doped γ-TiAl intermetallic compounds. Acta. Phys. Sin. 2017, 66, 196101. [Google Scholar] [CrossRef]
- Yang, H.-F.; Chen, T.-H.; Syu, Y.-Y. Mechanical properties and microstructural evolution of TiNi-based intermetallic alloy with Nb addition. Materials 2022, 15, 3124. [Google Scholar] [CrossRef] [PubMed]
- Mahmoodan, M.; Gholamipour, R.; Sohrabi, S. Tuning glass formation and mechanical properties of ZrCoAl(Nb) bulk metallic glass with Nb microalloying Process. T. Indian I Metals. 2021, 74, 1603–1609. [Google Scholar] [CrossRef]
- Dang, C.Q.; Chou, J.-P.; Dai, B.; Chou, C.-T.; Yang, Y.; Fan, R.; Lin, W.T.; Meng, F.; Hu, A.; Zhu, J.; et al. Achieving large uniform tensile elasticity in microfabricated diamond. Science 2021, 371, 76–78. [Google Scholar] [CrossRef] [PubMed]
- Qi, Y.P.; Sadi, M.A.; Hu, D.; Zheng, M.; Wu, Z.P.; Jiang, Y.C.; Chen, Y.P. Recent progress in strain engineering on Van der Waals 2D materials: Tunable electrical, electrochemical, magnetic, and optical properties. Adv. Mater. 2023, 35, e2205714. [Google Scholar] [CrossRef] [PubMed]
- Dong, H.R.; Peng, X.Y.; Wang, H.B.; Fu, L.; Zhao, S.T.; Li, X.Q.; Li, L. An anomalous compression-induced softening behavior of AA6014-T4P during cyclic loading. Eur. J. Mech. A-Solid. 2023, 98, 104864. [Google Scholar] [CrossRef]
- Tan, Y.; Ma, L.M.; Wang, Y.S.; Zhou, W.; Wang, X.L.; Guo, F. Mechanical and thermodynamic behaviors of AlSi2Sc2 under uniaxial tensile loading: A first-principles study. J. Phys. Chem. Solids 2023, 174, 111160. [Google Scholar] [CrossRef]
- Islam, R.; Mojumder, R.H.; Moshwan, R.; Jannatul Islam, A.S.M.; Islam, M.A.; Rahman, S.; Kabir, H. Strain-driven optical, electronic, and mechanical properties of inorganic halide perovskite CsGeBr3. ECS J. Solid State Sci. Technol. 2022, 11, 033001. [Google Scholar] [CrossRef]
- Sun, B.Z.; Pan, Y.; Yang, J.K.; Guo, J.; Zhao, B.; Liu, X.; Liu, Z.Y.; Li, X.G. Microstructure evolution and SSCC behavior of strain-strengthened 304 SS pre–strained at room temperature and cryogenic temperature. Corros. Sci. 2023, 210, 110855. [Google Scholar] [CrossRef]
- Refson, K.; Tulip, P.R.; Clark, S.J. Variational density-functional perturbation theory for dielectrics and lattice dynamics. Phys. Rev. B 2006, 73, 155114. [Google Scholar] [CrossRef]
- Perdew, J.P.; Burke, K.; Ernzerhof, K.M. Generalized gradient approximation made simple. Phys. Rev. Lett. 1996, 77, 3865–3868. [Google Scholar] [CrossRef] [PubMed]
- Zhu, H.Y.; Shi, L.W.; Li, S.Q.; Zhang, S.B.; Xia, W.S. Effects of biaxial strains on electronic and elastic properties of hexagonal XSi2 (X = Cr, Mo, W) from first-principles. Solid State Commun. 2018, 270, 99–106. [Google Scholar] [CrossRef]
- Yang, J.Z.; Yang, D.F.; Wang, Y.Q.; Quan, X.J.; Li, Y.Y. First principles investigation of elastic and thermodynamic properties of CoSbS thermoelectric material. J. Solid State Chem. 2021, 302, 122443. [Google Scholar] [CrossRef]
- Born, M.; Huang, K.; Lax, M. Dynamical theory of crystal lattices. Am. J. Phys. 1955, 23, 474. [Google Scholar] [CrossRef]
- Peng, M.J.; Wang, R.F.; Wu, Y.J.; Yang, A.C.; Duan, Y.H. Elastic anisotropies, thermal conductivities and tensile properties of MAX phases Zr2AlC and Zr2AlN: A first-principles calculation. Vacuum 2022, 196, 110715. [Google Scholar] [CrossRef]
- Mouhat, F.; Coudert, F.-X. Necessary and sufficient elastic stability conditions in various crystal systems. Phys. Rev. B 2014, 90, 224104. [Google Scholar] [CrossRef]
- Yang, A.C.; Bao, L.K.; Peng, M.J.; Duan, Y.H. Explorations of elastic anisotropies and thermal properties of the hexagonal TMSi2 (TM = Cr, Mo, W) silicides from first-principles calculations. Mater. Today Commun. 2021, 27, 102474. [Google Scholar] [CrossRef]
- Li, L.H.; Wang, W.L.; Wei, B. First-principle and molecular dynamics calculations for physical properties of Ni-Sn alloy system. Comput. Mater. Sci. 2015, 99, 274–284. [Google Scholar] [CrossRef]
- Chen, X.Q.; Niu, H.Y.; Li, D.Z.; Li, Y.Y. Modeling hardness of polycrystalline materials and bulk metallic glasses. Intermetallics 2011, 19, 1275–1281. [Google Scholar] [CrossRef]
- Pugh, S.F. XCII. Relations between the elastic moduli and the plastic properties of polycrystalline pure metals. Lond. Edinb. Dublin Philos. Mag. J. Sci. 1954, 45, 823–843. [Google Scholar] [CrossRef]
- Zhu, H.Y.; Shi, L.W.; Li, S.Q.; Zhang, S.B.; Xia, W.S. Pressure effects on structural, electronic, elastic and lattice dynamical properties of XSi2 (X=Cr, Mo, W) from first principles. Int. J. Mod. Phys. B 2018, 32, 1850120. [Google Scholar] [CrossRef]




| εx (%) | C11 (GPa) | C12 (GPa) | C13 (GPa) | C22 (GPa) | C23 (GPa) | C33 (GPa) | C44 (GPa) | C55 (GPa) | C66 (GPa) |
|---|---|---|---|---|---|---|---|---|---|
| 0 | 177.30 | 49.321 | 49.251 | 165.257 | 65.73 | 165.162 | 64.91 | 30.5332 | 30.5334 |
| 1% | 162.48 | 41.6166 | 41.6164 | 154.9274 | 69.16 | 154.9228 | 64.49 | 23.9430 | 23.9367 |
| 2% | 150.01 | 39.14 | 39.13 | 145.04 | 74.79 | 145.04 | 62.65 | 20.7198 | 20.7206 |
| 3% | 136.86 | 37.15 | 37.15 | 135.66 | 79.08 | 135.67 | 60.15 | 17.3070 | 17.3071 |
| 4% | 124.25 | 35.10 | 35.11 | 128.24 | 81.94 | 128.21 | 58.02 | 14.1912 | 14.1887 |
| 5% | 112.70 | 32.72 | 32.77 | 122.86 | 83.35 | 122.86 | 56.99 | 11.6577 | 11.6580 |
| 6% | 100.41 | 29.65 | 29.65 | 119.35 | 83.52 | 119.34 | 57.65 | 9.6618 | 9.6604 |
| 7% | 92.88 | 26.34 | 26.35 | 117.63 | 82.77 | 117.65 | 60.12 | 8.1493 | 8.1474 |
| 8% | 83.76 | 23.41 | 23.40 | 117.24 | 81.16 | 117.27 | 63.78 | 6.8150 | 6.8164 |
| 9% | 70.03 | 21.31 | 21.33 | 117.09 | 78.64 | 117.13 | 67.36 | 5.4851 | 5.4862 |
| 10% | 49.76 | 20.89 | 20.91 | 116.25 | 75.28 | 116.17 | 69.62 | 4.1904 | 4.1915 |
| 11% | 25.86 | 21.97 | 22.00 | 114.58 | 71.32 | 114.61 | 70.28 | 3.2110 | 3.2132 |
| 12% | 5.63 | 22.52 | 22.53 | 113.65 | 67.71 | 113.66 | 69.86 | 2.9094 | 2.9037 |
| 13% | −4.33 | 20.12 | 20.18 | 113.97 | 65.18 | 113.87 | 68.94 | 3.6312 | 3.6562 |
| εx (%) | G (GPa) | B (GPa) | E (GPa) | ν |
|---|---|---|---|---|
| 0 | 45.575 | 92.700 | 117.473 | 0.289 |
| 1% | 40.000 | 86.235 | 103.931 | 0.299 |
| 2% | 35.840 | 82.625 | 93.938 | 0.311 |
| 3% | 31.450 | 78.895 | 83.284 | 0.324 |
| 4% | 27.585 | 75.210 | 73.740 | 0.337 |
| 5% | 24.615 | 71.535 | 66.247 | 0.346 |
| 6% | 22.500 | 67.350 | 60.736 | 0.350 |
| 7% | 21.360 | 63.955 | 57.661 | 0.350 |
| 8% | 20.510 | 60.405 | 55.274 | 0.347 |
| 9% | 19.365 | 55.925 | 52.083 | 0.345 |
| 10% | 17.615 | 49.550 | 47.246 | 0.341 |
| 11% | 15.590 | 39.805 | 41.369 | 0.327 |
| 12% | 11.620 | 25.500 | 30.263 | 0.302 |
| εx (%) | HV (GPa) | B/G |
|---|---|---|
| 0 | 7.852 | 2.034 |
| 1% | 6.791 | 2.156 |
| 2% | 5.883 | 2.305 |
| 3% | 4.933 | 2.509 |
| 4% | 4.141 | 2.726 |
| 5% | 3.593 | 2.906 |
| 6% | 3.291 | 2.993 |
| 7% | 3.190 | 2.994 |
| 8% | 3.176 | 2.945 |
| 9% | 3.141 | 2.888 |
| 10% | 3.063 | 2.813 |
| 11% | 3.192 | 2.553 |
| 12% | 3.203 | 2.194 |
| εx (%) | AB | AG | AU |
|---|---|---|---|
| 0% | 0 | 5.672% | 0.601 |
| 1% | 0.133% | 9.500% | 1.052 |
| 2% | 0.345% | 11.468% | 1.302 |
| 3% | 0.691 | 14.277% | 1.679 |
| 4% | 1.197% | 17.890% | 2.203 |
| 5% | 1.908% | 21.999% | 2.859 |
| 6% | 3.073% | 26.578% | 3.683 |
| 7% | 4.073% | 31.695% | 4.725 |
| 8% | 5.620% | 37.348% | 6.080 |
| 9% | 8.646% | 43.868% | 8.004 |
| 10% | 15.782% | 51.064% | 10.810 |
| 11% | 35.561% | 58.178% | 15.015 |
| 12% | 99.765% | 99.139% | 2000.000 |
Disclaimer/Publisher’s Note: The statements, opinions and data contained in all publications are solely those of the individual author(s) and contributor(s) and not of MDPI and/or the editor(s). MDPI and/or the editor(s) disclaim responsibility for any injury to people or property resulting from any ideas, methods, instructions or products referred to in the content. |
© 2023 by the authors. Licensee MDPI, Basel, Switzerland. This article is an open access article distributed under the terms and conditions of the Creative Commons Attribution (CC BY) license (https://creativecommons.org/licenses/by/4.0/).
Share and Cite
Zhang, L.; Li, J.; Zhang, J.; Liu, Y.; Lin, L. Effects of Uniaxial Tensile Strain on Mechanical Properties of Al6MgNb: A First-Principles Study. Crystals 2023, 13, 1458. https://doi.org/10.3390/cryst13101458
Zhang L, Li J, Zhang J, Liu Y, Lin L. Effects of Uniaxial Tensile Strain on Mechanical Properties of Al6MgNb: A First-Principles Study. Crystals. 2023; 13(10):1458. https://doi.org/10.3390/cryst13101458
Chicago/Turabian StyleZhang, Lihua, Jijun Li, Jing Zhang, Yanjie Liu, and Lin Lin. 2023. "Effects of Uniaxial Tensile Strain on Mechanical Properties of Al6MgNb: A First-Principles Study" Crystals 13, no. 10: 1458. https://doi.org/10.3390/cryst13101458
APA StyleZhang, L., Li, J., Zhang, J., Liu, Y., & Lin, L. (2023). Effects of Uniaxial Tensile Strain on Mechanical Properties of Al6MgNb: A First-Principles Study. Crystals, 13(10), 1458. https://doi.org/10.3390/cryst13101458
