Abstract
In this paper, we explore the self-cleaning and washing durability of green-prepared ZnO NPs combined with cotton fabrics. Honeysuckle extract was used to prepare ZnO NPs with an average particle size of 15.3 nm. Cotton fabrics were then treated with oxalic acid (OA), tartaric acid (TA), and succinic acid (SA) as cross-linking agents, sodium hypophosphite as a catalyst, and after that, the ZnO NPs were applied to the cross-linked cotton fabrics by the padding to prepare the self-cleaning cotton fabrics. The morphology and structure of the fabric samples were characterized using FTIR, scanning electron microscopy (SEM), Energy-dispersive X-ray spectroscopy (EDS), and XRD. The optical properties of the cotton fabric samples were discussed by UV-vis diffuse reflectance spectrum, and the self-cleaning performance, wrinkle recovery angle and ultraviolet protection performance of the cotton fabric samples were analyzed. The results showed that the carboxyl groups of TA, OA, and SA were esterified with hydroxyl groups of the cotton fiber and formed a film on the surface of the cotton fabrics. ZnO NPs were successfully loaded onto the cotton fabrics by strong electrostatic interaction, causing the improvement of the washing resistance of the cross-linked fabrics. In addition, compared with uncross-linked fabrics, the wrinkle recovery performance of the cross-linked fabrics had also been greatly improved, and the UV protection factor reached 50+, thus obtaining an excellent self-cleaning, multifunctional cotton-based textile with anti-wrinkle and anti-ultraviolet properties.
1. Introduction
Cotton fabrics are widely used in clothing and household products because of their good moisture absorption, breathability, and skin affinity [1]. However, cotton fabrics also have shortcomings such as easy staining, easy wrinkling, and poor UV resistance [2]. Bacteria easily breed on the surface of stained fabrics, leading to an increased risk of illness for users. The formation of wrinkles affects aesthetics and fabric comfort. Cotton fabrics have poor UV resistance, which accelerates the skin aging of users and even induces skin cancer. Therefore, it is particularly necessary to endow cotton fabrics with a certain degree of self-cleaning, anti-wrinkle, and anti-ultraviolet properties.
Nano ZnO is an inorganic metal oxide, which has non-toxicity and low cost. There are many ways to synthesize ZnO, including the hydrothermal method, sol-gel method, and the precipitation method [3,4,5,6]. However, most of these methods involve using toxic chemicals and solvents harmful to human health and the environment. At present, the green preparation of nanoparticles with plant extracts such as aloe extract [7] and viburnum extract [8] have become a simple and eco-friendly preparation method. It was reported that green-prepared ZnO NPs have a smaller particle size and better optical properties [9].
Nano ZnO is also a semiconductor with a wide bandgap and high excitation binding energy [10]. When the nanoparticle is irradiated by light with energy greater than or equal to its forbidden bandwidth, the electrons are excited and transferred from the valence band to the conduction band, forming conduction band electrons (e−), while the valence band leaves holes (h+), then photo-generated electrons and holes are respectively captured by O2 and H2O molecules adsorbed on the surface, and finally, generate hydroxyl radicals (·OH). The free radicals have an oxidation potential of up to 2.7 eV, which has strong oxidizing properties and can indiscriminately oxidize and decompose the adsorbed pollutants [3,11]. So the incorporation of ZnO NPs with cotton fabric or polyester has been reported to develop photocatalytic self-cleaning textiles [12,13].
The washing resistance of functional textiles developed with nanoparticles is also a problem worthy of study. The use of cross-linking agents on the fabrics not only increases the functionality of fabrics but also improves the washing durability of fabrics. Dimethylol dihydroxy ethylene urea (DMDHEU) is one of the best cross-linkers for cotton, but it releases a high amount of toxic formaldehyde [14]. The polycarboxylic acid cross-linking agent is a formaldehyde-free crosslinking agent, which can not only give cotton fabrics easy-care performance [15,16] but also effectively connect nanoparticles to cotton fabrics [17]. So, it is the most commonly used cross-linking agent. Majid has illustrated butane tetracarboxylic acid (BTCA) as a cross-linking agent to enhance the stability of Ag NPs on cotton fabrics [18]. However, the high cost and not cost-efficient of BTCA have lost its commercial viability; J L Zhu prepared the anti-wrinkle and antibacterial cotton fabric with good washing resistance by one-liquor finishing using a combination of polymaleic acid (PMA) and citric acid (CA) and Ag NPs [19]; Loghman Karimi adopted SA as a cross-linking agent to attach TiO2 on cotton, and revealed that the self-cleaning degree of the samples treated by the cross-linking was much higher than that of the non-cross-linked cotton [20].
Some studies have been done on the application of ZnO NPs in the development of self-cleaning fabrics [21], but there are few studies on the use of different dicarboxylic acids as cross-linking agents to immobilize ZnO NPs to improve their washing resistance. So, in this paper, a variety of dicarboxylic acids were used as cross-linking agents to immobilize ZnO NPs, and they were compared in detail to find the best dicarboxylic acid. First, ZnO NPs were prepared by plant extract-honeysuckle extract. Then three dicarboxylic acids (tartaric acid [TA], oxalic acid [OA], and succinic acid [SA]) were used to finish cotton fabrics using sodium hypophosphite (SHP) as the catalyst. Finally, the cotton fabrics were padded with a ZnO NPs solution. In this way, the cotton fabric not only obtained long-term self-cleaning properties but also greatly improved its anti-wrinkle and anti-ultraviolet properties.
2. Experimental
2.1. Materials
Pure cotton bleached woven fabrics (440 picks/10 cm × 421 picks/10 cm) was obtained by Qingdao Coastal Textile Co., LTD., Shandong, China. Honeysuckle extract (80 mesh powder, containing 50% chlorogenic acid) was obtained by Shandong Deyan Chemical Co., LTD, Shandong, China. Zinc Nitrate Hexahydrate (ZnNO3·6H2O) was obtained by Shanghai Guangrui Biotechnology Co., LTD., Shanghai, China. Methylene blue, Oxalic acid (OA), Tartaric acid (TA), succinic acid (SA), sodium hypophosphite monohydrate (SHP, NaH2PO2·H2O), as well as other chemicals were of reagent grade was obtained by Tianjin Cormier Chemical Reagent Co., LTD., Tianjin, China.
2.2. Preparation of Self-Cleaning Cotton Fabric
2.2.1. Preparation of ZnO NPs
Zinc Nitrate Hexahydrate was used as the source of zinc in the experiment. First, Honeysuckle extract (1 g) was dissolved in 50 mL deionized water, centrifuged at 6000 r/min for 10 min, and the supernatant was collected for use as honeysuckle extract solution. Secondly, 3 mL honeysuckle extract solution and 10 mL Zinc Nitrate Hexahydrate solution of 0.1 mol/L were added into 37 mL deionized water and adjusted the pH to 7 with 0.1 mol/L NaOH solution, then heated in an oil liquor at 140 °C for 60 min to obtain a light yellow complex. Finally, the complexes were calcined at 300 °C for 3 h in a muffle furnace (atmosphere condition was air) to obtain ZnO NPs powders. Under the same conditions, a control experiment to prepare ZnO NPs without the addition of honeysuckle extract was carried out. Particle size analysis was performed by Transmission electron microscope (TEM).
2.2.2. Cross-Linking of Cotton Fabric with Dicarboxylic Acids
First, the cotton was pretreated (scoured with boiled water containing 2 g/L soap flakes and 2 g/L sodium carbonate at liquor ratio 1:30 [liquid ratio is a term used in textile dyeing and finishing, the ratio of the mass of cotton fabric to the volume of the solution, g: mL, same as below] for 5 min), and dried for later use. Secondly, the pretreated cotton fabrics were immersed in the prepared mixed solution of dicarboxylic acid (6% o.w.s.) and SHP (4% o.w.s.). The mixed solution was a mixed solution of binary carboxylic acid and catalyst sodium hypophosphate. The solvent is deionized water, and the solutes are dicarboxylic acid and SHP. The solvent is deionized water, and the solutes are dicarboxylic acid and SHP (liquor ratio 1:30—the mass ratio of cotton fabric to the solution), which is stirred with an oscillating frequency of 120 r/min at 50 °C for 60 min, then double-dipped and double-nipped [rolling residual rate (80 ± 1%), the same below]. The fabrics were dried at 70 °C for 30 min and cured at 160 °C for 2 min. Finally, the samples were washed with water for 5 min to remove excess reactants.
2.2.3. Finishing of Cotton Fabric with ZnO NPs
The cross-linked cotton fabrics with different dicarboxylic acids and a piece of uncross-linked cotton fabric were immersed into 0.005 mol/L ZnO NPs solution with a liquor ratio of 1:30, respectively, and stirred at 50 °C for 60 min. After two dips and two nips, the samples were put in an oven at 70 °C for 60 min and taken out for later use. The samples were labeled TA-ZnO/cotton, OA-ZnO/cotton, SA-ZnO/cotton, and ZnO/cotton.
2.3. Characterization of ZnO NPs and Fabrics
2.3.1. Structure Characterization
The X-ray diffraction patterns (XRD) of ZnO NPs and the cotton fabric samples were tested using an X-ray diffractometer. The test conditions: tube voltage 40 kV, tube current 30 mA, scanning speed: 5 (°)/min, 2θ: 10~90°, The crystallite size of ZnO was calculated by Scherrer’s formula [12].
where K is the Scherrer constant, 0.89; λ is the X-ray wavelength at 0.1541 nm; D is the size of the ZnO NPs, and β is the width at half-maximum; θ is the Bragg diffraction angle (in degrees).
The morphology and particle size of Zn NPs were tested by Transmission electron microscope (JEM-2100 (UHR), Beijing, China), and the accelerating voltage was 200 kV.
Fourier-transform infrared (FTIR) spectra of fabric samples were recorded through an FTIR spectrometer (FTIR920, Suzhou, China), test condition: KBr tablet, wave number range: 4000~400 cm−1. The surface morphologies of fabric samples were observed using a scanning electron microscope (SEM, Alpha300S, Dongguan, China);
The element of fabric samples was tested by an electronic energy spectrometer (EDS, HD-2001, Dongguan, China);
The content of the Zn element in the solution (wavelength band is 213 nm) was detected by an inductively coupled plasma atomic emission spectrometer (ICP-AES, Guangzhou, China), the experiment was repeated 5 times, and the average value was obtained.
The water contact angle of the fabrics was measured by an automatic surface tensiometer (k100c, Shanghai, China).
2.3.2. Optical Performance
Ultraviolet-visible (UV-vis) diffuse reflectance spectra of ZnO NPs and fabric samples were performed by a UV-vis spectrometer (Shimadzu, Japan), wave number range: 200~600 nm.
2.3.3. Self-Cleaning of Fabric
To estimate the self-cleaning of the cotton fabrics finished with ZnO NPs, methylene blue, coffee, red wine, and soy sauce were selected as target organic pollutants. 1 mL methylene blue (10 mg/L) solution, coffee, red wine, and soy sauce (commercially available) were dropped on the surface of 5 cm × 5 cm fabrics that were then placed in a dark place for 30 min. After the stable absorption, the K/S values of the fabrics were measured. Then they were exposed to simulated sunlight from an argon lamp that was 15 cm away from the fabrics for a period of time before the K/S values of the fabrics were measured once again. The catalytic degradation rates of the fabrics were calculated according to the K/S values of the fabrics before and after the light, as shown in Formula (2).
where ξ is the degradation rate; (K/S)0 is the K/S value of the fabric before light; (K/S)t is the K/S after t hours of light.
To evaluate the self-cleaning durability of the fabrics, the fabrics stained by methylene blue were degraded with sunlight for 4 h, and the degradation rate was calculated. Then the fabrics were washed according to the AATCC-61-2006 method. The degradation rate was calculated after 1–10 times washing circles. The SEM images and content of the Zn element of the samples after 10 times of washing were carried out.
2.3.4. UV and Wrinkle Resistance of Fabric
The UV resistance of the ZnO/Cotton, OA-ZnO/cotton, TA-ZnO/cotton, and SA-ZnO/Cotton was measured using a Textile UV Performance Tester (YG(B)912E, Chengdu, China). The wrinkle recovery angle (WRA) of fabrics was tested using an automatic digital fabric crease elastomer (YG(B)541D-II, Xian, China).
3. Results and Discussion
3.1. Characterization and Analysis of ZnO NPs
The TEM of ZnO NPs prepared without the addition of honeysuckle extract is shown in Figure 1b. It can be seen that ZnO NPs have large-area aggregation, large particle size, and poor effect, so they cannot be used for subsequent experiments. By comparison, Figure 1a shows that the ZnO NPS prepared by adding honeysuckle extract is uniformly dispersed, with a smaller particle size and better effect [19].
Figure 1.
TEM images of ZnO NPs with honeysuckle extract added (a). TEM images of ZnO NPs without honeysuckle extract added (b).
X-ray powder diffractograms for ZnO NPs are shown in Figure 2. It can be seen that the positions of the diffraction peaks of 31.78°, 34.43°, 36.26°, 47.55°, 56.61°, 62.87°, 66.40°, 67.97°, 69.11°, 72.58°, 76.98°, and 81.40° correspond to crystal planes (100), (002), (101), (102), (110), (103), (200), (112), (201), (004), (202) and (104), respectively, which were consistent with the values in the standard card (JCPD 89-0510). The (101) plane exhibited the highest relative intensity for the entire XRD pattern, suggesting anisotropic growth and preferred orientation of the crystallites, a typical feature of wurtzite-structured materials [22,23]. In addition, no other peaks were observed in the XRD pattern, indicating the high purity of the powders. The average crystallite size was determined by Scherrer’s equation 1 (Equation (1)), and the calculated crystallite size was 15.3 nm. The morphology of the ZnO NPs was characterized using TEM. It can be seen from Figure 1a (right) that most of the ZnO NPs prepared using the honeysuckle extract were approximately spherical, and the particle size from the TEM was smaller and close to the particle size calculated by the XRD pattern.
Figure 2.
XRD patterns of ZnO NPs.
3.2. FTIR Analysis of Fabrics
FTIR analysis of the raw cotton, TA-ZnO/cotton, OA-ZnO/cotton, and SA-ZnO/cotton was performed in Figure 3. Cellulose is an important component of cotton fabrics, the macromolecular chain of cellulose mainly contains -OH, C-H, -CH2-, and C-O functional groups. As shown in Figure 3a, the peak at 3410 cm−1 is attributed to the -OH stretching vibration peak; the peak at 2901 cm−1 is attributable to the C-H stretching vibration absorption peak; the peak at 1371 cm−1 belongs to the -CH2- flexural vibration absorption peak; the peak at 1058 cm−1 is attributable to the C-O stretching vibration absorption peak; the peak at 1640 cm−1 belongs to the bending vibration peak of water adsorption [24]. It can be seen from the image of ZnO/cotton, TA-ZnO/cotton, OA-ZnO/cotton, and SA-ZnO/cotton in Figure 3b–e compared with the raw cotton that the peak at 435 cm−1 was stronger because the stretching vibration peak of Zn-O bond is between 420~450 cm−1, showing that the cotton fabrics were loaded with ZnO NPs [25]. It can be seen from the images of TA-ZnO/cotton, OA-ZnO/cotton, and SA-ZnO/cotton in Figure 3c–e, a new peak appears at 1732 cm−1, it is attributable to the peaks of ester and carboxyl groups. It is evident that hydroxyl of cotton fiber was esterified with carboxyl in dicarboxylic acids, and carboxyl was introduced [26].
Figure 3.
FTIR images of rawcotton (a), ZnO/cotton (b), OA-ZnO/cotton (c), TA-ZnO/cotton (d) and SA-ZnO/cotton (e).
3.3. SEM, EDS, and ICP-AES Analysis of Fabrics
The scanning electron microscopy (SEM) images of raw cotton (a), ZnO/cotton (b), OA- ZnO/cotton (c), TA-ZnO/cotton (d), and SA-ZnO/cotton (e) were presented in Figure 4. The content of the Zn element of cotton fabric loaded with ZnO NPs was measured by ICP-AES, and the result is shown in the upper right corner of the SEM image. The surface of the raw cotton fabric has many natural grooves, and it was not loaded with any particles. The surface of the ZnO/cotton fabric was loaded with a lot of spherical particles, and there was a slight agglomeration phenomenon. A layer of membrane structure formed on the OA-ZnO/cotton, TA-ZnO/cotton, and SA-ZnO/cotton fabrics, of which only a few spherical particles were on their surfaces, were evenly distributed and smaller in size.

Figure 4.
SEM images and Znelement contents of raw Cotton (a), ZnO/cotton (b),OA-ZnO/cotton (c), TA-ZnO/cotton (d), and SA-ZnO/cotton (e) and EDS spectra of ZnO/cotton (f), OA-ZnO/cotton (g), TA-ZnO/cotton (h) and SA-ZnO/cotton (i).
As shown in Figure 4f–i of Energy Dispersive Spectroscopy (EDS), zinc and oxygen were two elements on the finished samples apart from the carbon related to the cotton fabrics, verifying that the ZnO NPs were successfully loaded on the fabrics.
SEM revealed that the number of nanoparticles on the cross-linked fabric surfaces was less than on ZnO/cotton. However, the ICP-AEM data showed that the content of the Zn element in the cross-linked cotton fabrics was more than that in the ZnO/cotton. This indicates that the carboxyl groups of the cross-linked fabric adsorbed more ZnO NPs through strong electrostatic force; due to the relatively high electronegativity of the oxygen atom in the Zn-O bond of nano-zinc oxide, the electrons of zinc will be biased towards oxygen, which makes zinc positive. Then, because the oxygen on the carboxyl group shows a negative charge, the ZnO NPs are firmly loaded in the cotton fabric due to the electrostatic adsorption between anions and cations [27], and the ZnO NPsloaded on the cross-linked fabrics were mainly distributed under the film. In addition, the content of ZnO NPs on OA-ZnO/cotton (546.4 ± 12.6 mg/kg) was more than that on TA-ZnO/cotton(487.8 ± 5.6 mg/kg) and SA-ZnO/cotton (432.0 ± 8.9 mg/kg), which can be attributed to the more acidic potential and least pKa of oxalic acid (1.27) compared to that of two other dicarboxylic acids (pKa succinic acid = 4.21, pKa Tartaric acid = 3.04) [27]. The higher reactivity of oxalic acid resulted in a higher degree of esterification for the fabric, and as a result, the carboxyl content of fabric tended to increase, and the trend for electrostatic absorption of ZnO NPs increased [28]. The formation of ester cross-linkage of OA, TA, and SA with cellulose chain and ZnO and OA, TA, and SA linkage was shown in Figure 5 [29].
Figure 5.
Schematic diagram of the cross-linked structure of OA, TA, and SA with cellulose chain and linkage of ZnO and OA, TA, and SA.
3.4. XRD Analysis of Fabrics
X-ray powder diffractograms of cotton fabrics before and after finishing with ZnO NPs are shown in Figure 6. It can be seen that the positions of the diffraction peaks of 14.95°, 16.49°, 22.88°, and 34.34°are related to cotton fibers, which correspond to the crystal plane diffraction of cellulose (101), (002), and (040) [30,31]. In addition, in Figure 6b–e, there are 7 other obvious sharp peaks and 2 weak diffraction peaks. The diffraction peaks of 31.78°, 34.43°, 36.26°, 47.55°, 56.61°, 62.87°, 66.40°, 67.97°, and 69.11° correspond to the crystal planes of ZnO (100), (002), (101), (102), (110), (103), (200), (112), and (201), respectively [32], showing that the ZnO NPs were loaded on the cotton fabric. The average crystallite size was determined by Scherrer’s equation (Equation (1)), the calculated crystallite size was 21.2 nm, and the size of the ZnO NPs loaded on the fabric became larger, the reason being that during the transfer of ZnO NPs from the treated solution to the fabrics, the treatments such as rolling, drying, and curing led to an agglomeration of the particles [19].
Figure 6.
XRD patterns of raw cotton (a), ZnO/cotton (b), OA-ZnO/cotton (c), TA-ZnO/cotton (d), and SA-ZnO/cotton (e).
3.5. Optical Performance Analysis
The UV-vis diffuse reflectance spectrum and the relationship curve between (αhv)1/2 and the hv of the cotton fabrics loaded with ZnO NPs are given in Figure 7.
Figure 7.
UV-vis diffuse reflectance spectra (left), (Ahv)1/2 and hv relationship curves (right): Raw cotton (a), ZnO/cotton (b), OA-ZnO/cotton (c), TA-ZnO/cotton (d), and SA-ZnO/cotton (e).
It can be seen from Figure 7 left that in the ultraviolet region all fabrics show certain UV absorption properties, and the absorbance of ZnO/cotton was greater than that of the cross-linked cotton fabrics. This may be because the surface of ZnO/cotton adsorbs more ZnO NPs, and ZnO NPs have stronger absorption of ultraviolet light. While ZnO NPs of the cross-linked cotton fabrics were mainly fixed under the cross-linked film, the film affects its UV absorption intensity. However, in the visible light region, the absorbance of the cross-linked fabrics was greater than that of ZnO/cotton, which may be because the cross-linking film on the surface of the fabric also partially absorbs visible light. ZnO NPs are used as a crystalline semiconductor. The light absorption near the band edge follows the formula αhν = A(hν-Eg)n/2, where α, ν, Eg,, and A are absorption coefficient, optical frequency, bandgap energy, and constant, respectively [33], where n depends on the characteristics of semiconductor electronic transitions, that is direct transition n = 1 and indirect transition n = 4 for ZnO, n = 4. The relationship between (αhν)1/2 and photon energy (hv) is shown on the right in Figure 7, where the intercept of the x-axis tangent is the forbidden bandwidth. The narrower the forbidden bandwidth of a semiconductor, the higher its light utilization. The right of Figure 7 shows that the bandgap width of ZnO prepared with honeysuckle extract was 2.90 eV, and ZnO/cotton was 2.57 eV. The bandgap of ZnO/cotton was narrower than that of ZnO NPs. This may be because cotton fabric also has a certain absorption effect on ultraviolet light, which increases its light utilization rate. Furthermore, the bandgap widths of OA-ZnO/cotton, TA-ZnO/cotton, and SA- ZnO/cotton were 2.55 eV, 2.54 eV and 2.48 eV, respectively. The bandgap widths of cross-linked cotton fabrics were narrower than that of the ZnO/cotton, indicating that cross-linking agents increased the utilization rate of cotton fabric to light.
3.6. Self-Cleaning Performance Analysis
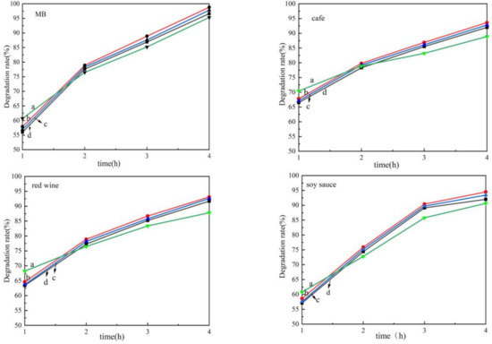
The degradation rate of cotton fabrics after finishing with ZnO NPs was calculated by K/S before and after light exposure. The cotton fabrics stained with pollutants were placed under simulated sunlight, and the K/S values were measured at intervals of 1 h for a total of 4 h of irradiation. According to Formula (2), the degradation rates of cotton fabric under different times of light exposure were calculated, and the results are shown in Figure 8.
Figure 8.
Degradation rates of ZnO/cotton (a), OA-ZnO/cotton (b), TA-ZnO/cotton (c), and SA-ZnO/cotton (d) to MB, coffee, red wine, and soy sauce under different irradiation times.
Figure 8 shows that all samples have a self-cleaning effect on methylene blue, coffee, red wine, and soy sauce. The degradation rate of ZnO/cotton fabrics at the initial stage of illumination is higher than that of cross-linked cotton fabrics. This may be because most of the target pollutants were adsorbed on the ZnO/cotton surface during the initial stage of illumination. There were moreZnO NPs on the surface of ZnO/cotton, and a large number of free radicals generated by photoexcitation could contact the target pollutants and decompose them, so the degradation efficiency was higher, while for the cross-linked fabric, most of the target pollutants were adsorbed on the surface of the membrane during the initial stage of illumination. A few ZnO NPs were distributed on the surface of the membrane, so only fewer free radicals could directly contact the target pollutants, resulting in lower degradation efficiency. With the prolonged light time, the target pollutant diffused underneath the cross-linked membrane, at which time more free radicals could contact the pollutant and decompose it. Therefore, in the stage after contaminant diffusion has ended, the cross-linked cotton fabric had a high degradation rate of the target pollutant. In conclusion, improving the utilization rates of light of the cross-linked fabrics loaded with ZnO NPs led to increased degradation rates.
To evaluate the washing resistance of the cotton fabrics loaded with ZnO NPs, the SEM images and Znelement content of the fabrics by ICP-AES after 10 cycles of washing were tested, as shown in Figure 9.
Figure 9.
SEM images and Zn element contents ofZnO/cotton (a), OA-ZnO/cotton (b), TA-ZnO/cotton (c) and SA-ZnO/cotton (d) after 10 cycles of washing.
It can be seen from Figure 9 that the number of particles adsorbed on the ZnO/cotton surface obviously decreased after 10 cycles of washings, and the size of the particles became significantly smaller in contrast with the unwashed ZnO/cotton (Figure 4b), indicating that during the washing process, the larger ZnO NPs were likely to fall off the surface of the fabric, and smaller particles have relatively firm linkage to the fabric and did not easily fall off the surface of the fabric. Moreover, the surface of cross-linked fabrics still has only a few particles, but the surface of the fabrics became rough. This may be because the continuous washing caused the membrane structure on the surface of the cotton fabrics to be damaged.
It can be seen from the ICP data that after 10 cycles of washing, the content of Zn element in the ZnO/cotton decreased from 369.4 ± 7.6 mg/kg to 253.6 ± 12.8 mg/kg. This is because ZnO NPs were adsorbed by ZnO/cottons via weak intermolecular forces, so they tended to fall off during washing. The content of a Zn element of OA-ZnO/cotton, TA-ZnO/cotton, and SA-ZnO/cotton decreased from 546.4 ± 12.6 mg/kg, 487.8 ± 5.6 mg/kg, and 432.0 ± 8.9 mg/kg to 395.6 ± 18.3 mg/kg, 379.4 ± 15.9 mg/kg and 335.8 ± 13.5 mg/kg, respectively, indicating that the washing durability of the cross-linked cotton fabrics was greatly improved, possibly because the positively charged Zn2+ may be attracted by the negative charge of the carboxylate anion of the crosslinking agent [33]. The strong electrostatic attraction enforced the washing resistance of the fabric. Furthermore, the washing resistance of OA-ZnO/cotton was lower than that of TA-ZnO/cotton and SA-ZnO/cotton because the water contact angle (35.5°) of OA-ZnO/cotton was lower than that of TA-ZnO/cotton (46.34) and SA-ZnO/cotton (41.25°). Thus, the surface energy of OA-ZnO/cotton was higher, and the ZnO NPs were more likely to fall off during washing [28].
The degradation rates of the cotton fabrics after repeated washing and lighting for different cycles (0–10) were tested. The results are shown in Figure 10.
Figure 10.
Degradation rates of methylene blue in ZnO/cotton (a), OA-ZnO/cotton (b), TA-ZnO/cotton (c) and SA-ZnO/cotton (d) at different washing cycles.
Figure 10 shows that after 10 cycles washes, the degradation rate of ZnO/cotton decreased more than OA-ZnO/cotton, TA-ZnO/cotton, and SA-ZnO/cotton. In addition, during the washing process of 1–4 cycles, the degradation rate of methylene blue by ZnO-cotton decreased greatly. This is because the larger particles of ZnO NPs adsorbed on the cotton fabric fall off the fabric first, resulting in a significant decrease in the degradation rate of the fabric. In the next few washing processes, the degradation rate decreased slowly because the retained small-size particles have relatively strong adsorption with the fabric and were not easy to fall off. However, the degradation rate of cross-linked fabrics decreased gently throughout the washing.
3.7. UV and Wrinkle Resistance of Fabric Analysis
The anti-ultraviolet and wrinkle resistance performances of the cotton fabrics were analyzed, and the results are given in Table 1. It can be seen from Table 1 that, compared with the raw cotton, the average UV transmittance of the UVA (320–400 nm) and UVB (280–320 nm) of ZnO/cotton, OA-ZnO/cotton, TA-ZnO/cotton, and SA-ZnO/cotton was significantly reduced, and the UPF values were significantly increased. It shows that the ZnO NPs loaded in the cotton fabrics greatly improved their UV resistance. This is because ZnO NPs can absorb photons with bandgap energy greater than 2.90 eV, and the photon energy in the ultraviolet region meets this requirement. After ZnO NPs absorb ultraviolet light energy, it not only produces oxidative degradation but also greatly reduces the ultraviolet transmission rate of the fabrics. In addition, the reflection and scattering of ultraviolet rays through the interface formed by the NPs and the fabric were also strengthened, thereby enhancing the shielding effect of the cotton fabrics to ultraviolet rays and improving its anti-ultraviolet performance [19]. According to the requirements of GB/T18830-2009, when the UPF value of the textile is more than 40, and its UVAtransmittance is less than 5%, it is considered as an anti-ultraviolet product with a mark of 40+. So ZnO/cotton, OA-ZnO/cotton, TA-ZnO/cotton, and SA-ZnO/cotton can be called anti-ultraviolet textiles.
Table 1.
UV and wrinkle resistance of the Raw Cotton, ZnO/Cotton, SA-ZnO/Cotton, OA-ZnO/cotton, and TA-ZnO/cotton.
In addition, compared with raw cotton, the wrinkle recovery angles of cotton fabrics loaded with ZnO NPs were improved. The wrinkle recovery angle of ZnO/cotton was slightly increased by 26.23%. However, the wrinkle recovery angles of OA-ZnO/cotton, TA-ZnO/cotton, and SA-ZnO/cotton were considerably increased by 87.93%, 51.21%, and 60.87%, respectively. This is due to the cross-linking of OA, SA, and TA with cotton fabrics effectively preventing the slippage of the cellulose macromolecular chain so that the cross-linked fabric has better resistance to deformation.
4. Conclusions
In this paper, honeysuckle extract was used to prepare ZnO NPs with an average particle size of 15.3 nm. Three dicarboxylic acids of OA, TA, and SA were adopted to cross-link cotton fabrics. Then ZnO NPs were applied to the cotton fabrics before and after cross-linking by the padding method to obtain the self-cleaning ZnO/cotton, OA-ZnO/cotton, TA-ZnO/cotton, and SA-ZnO/cotton. Through structure characterization and performance analysis of samples, we found that all the cotton fabrics finished with ZnO NPs have a high degradation ability to methylene blue, coffee, red wine, and soy sauce. Compared with the ZnO/cotton, the bandgap width of the cross-linked fabrics became narrower, the utilization rate to light was improved, and better self-cleaning performance was exhibited. A film formed on the surface of the cross-linked cotton fabrics, and ZnO NPs were mainly fixed under the film through strong electrostatic force, while the ZnO NPs on ZnO/cotton was adsorbed on the surface of the fabric through relatively weak van der Waals force, so the cross-linked cotton fabrics had better washing resistance. Moreover, for the cross-linked cotton fabrics, the adsorption amount of ZnO NPs of OA-ZnO/cotton was highest, the washing resistance of TA-ZnO/cotton was best, and after cross-linkage, the UV and wrinkle resistance of cotton fabrics was greatly improved.
Author Contributions
X.J., H.L. and J.Y. designed the experiments. X.J. and Y.Q. performed the experiments. X.J. analyzed the data. X.J. and Y.Q. wrote the paper. All authors have read and agreed to the published version of the manuscript.
Funding
This work was supported by the project of “Five Strategies” of Education Service of Industrial Technology Research Institute of Liaoning Universities (No. 2018LY027).
Institutional Review Board Statement
Not applicable.
Informed Consent Statement
Not applicable.
Data Availability Statement
The data presented in this study are available on request from the corresponding author.
Conflicts of Interest
The authors declare no conflict of interest.
References
- Saxena, A.; Tripathi, R.M.; Singh, R.P. Biological synthesis of silver nanoparticles by using onion (Allium cepa) extract and their antibacterial activity. Dig. J. Nanomater. Biostruct. 2010, 5, 427–432. [Google Scholar]
- Cruz, D.; Fale, P.L.; Mourato, A.; Vaz, P.D.; Luisa, S.M.; Lino, A.R.L. Preparation and physicochemical characterization of Ag nanoparticles biosynthesized by Lippia citriodora (lemon verbena). Colloid Surf. B 2010, 81, 67–73. [Google Scholar] [CrossRef] [PubMed]
- Gunalan, S.; Sivaraj, R.; Rajendran, V. Green synthesized ZnO nanoparticles against bacterial and fungal pathogens. Prog. Nat. Sci. Mater. Int. 2012, 22, 693–700. [Google Scholar] [CrossRef] [Green Version]
- Khun, K.; Ibupoto, Z.H.; Chey, C.O.; Lu, J.; Nur, O.; Willander, M. Comparative study of ZnO nanorods and thin films for chemical and biosensing applications and the development of ZnO nanorods based potentiometric strontium ion sensor. Appl. Surf. Sci. 2013, 268, 37–43. [Google Scholar] [CrossRef]
- Vanaja, A.; Srinivisa Rao, K. Effect of Co Doping on Structural and Optical Properties of Zinc Oxide Nanoparticles Synthesized by Sol-Gel Method. Adv. Nanopart. 2016, 5, 83–89. [Google Scholar] [CrossRef] [Green Version]
- Tang, E.; Tian, B.Y.; Zheng, E.; Fu, C.Y.; Cheng, G.X. Preparation of zinc oxide nanoparticle via uniform precipitation method and its surface modification by methacryloxypropyltrimethoxysilane. Chem. Eng. Commun. 2008, 195, 479–491. [Google Scholar] [CrossRef]
- Sangeetha, G.; Rajeshwari, S.; Venckatesh, R. Green synthesis of zinc oxide nanoparticles by aloe barbadensis miller leaf extract: Structure and optical properties. Mater. Res. Bull. 2011, 46, 2560–2566. [Google Scholar] [CrossRef]
- Taşdemir, A.; Aydin, R.; Akkaya, A.; Akman, N.; Altınay, Y.; Çetin, H.; Şahin, B.; Uzun, A.; Ayyıldız, E. A green approach for the preparation of nanostructured zinc oxide: Characterization and promising antibacterial behaviour. Ceram. Int. 2021, 47, 19362–19373. [Google Scholar] [CrossRef]
- Wang, L.; Chang, L.X.; Zhao, B.; Yuan, Z.Y.; Shao, G.; Zheng, W.J. Systematic investigation on morphologies, forming mechanism, photocatalytic and photoluminescent properties of ZnO nanostructures constructed in ionic liquids. Inorg. Chem. 2008, 47, 1443–1452. [Google Scholar] [CrossRef]
- Deng, Z.W.; Chen, M.; Gu, G.X.; Wu, L.M. A facile method to fabricate ZnO hollow spheres and their photocatalytic property. J. Phys. Chem. B 2008, 112, 16–22. [Google Scholar] [CrossRef]
- Zuo, D.Y.; Li, G.Q.; Ling, Y.L.; Cheng, S.J.; Xu, J.; Zhang, H.W. Durable UV-blocking Property of Cotton Fabrics with Nanocomposite Coating Based on Graphene Oxide/ZnO Quantum Dot via Water-based Self-assembly. Fibers Polym. 2021, 22, 1837–1843. [Google Scholar] [CrossRef]
- Amani, A.; Montazer, M.; Mahmoudirad, M. Synthesis of applicable hydrogel corn silk/ZnO nanocomposites on polyester fabric with antimicrobial properties and low cytotoxicity. Int. J. Biol. Macromol. 2019, 123, 1079–1090. [Google Scholar] [CrossRef]
- Ankamwar, B.; Chahudhary, M.; Sastry, M. Gold nanotriangles biologically synthesized using tamarind leaf extract and potential application in vapor sensing. Synth. React. Inorg. Met.-Org. Nano-Met. Chem. 2005, 35, 19–26. [Google Scholar] [CrossRef]
- Hossain, M.F.; Asaduzzaman, M.U. Optimum Concentration of Cross-Linking Agent for Crease-Resistant Finishing Using DMDHEU on Knit and Woven Fabric in the Field of Ease Care Durable Press. J. Text. Sci. 2016, 5, 74–81. [Google Scholar]
- Cai, X.Y.; Li, H.; Zhang, L.; Yan, J. Dyeing Property Improvement of Madder with Polycarboxylic Acid for Cotton. Polymers 2021, 13, 3289. [Google Scholar] [CrossRef]
- Kumar, R.R.; Yazhini, K.B.; Prabu, H.G.; Zhou, Q.X. Polyfunctional Application on Modified Cotton Fabric. Natl. Acad. Sci. Lett. 2019, 42, 475–478. [Google Scholar] [CrossRef]
- Dong, Y.M.; Liu, X.Y.; Liu, J.; Yan, Y.; Liu, X.; Wang, K.; Li, J. Evaluation of anti-mold, termite resistance and physical-mechanical properties of bamboo cross-linking modified by polycarboxylic acids. Constr. Build. Mater. 2021, 272, 121953. [Google Scholar] [CrossRef]
- Majid, M.; Alimohammadi, F.; Shamei, A.; Rahimi, M.K. Durable antibacterial and cross-linking cotton with colloidal silver nanoparticles and butane tetracarboxylic acid without yellowing. Colloid Surf. B 2012, 89, 196–202. [Google Scholar]
- Zhu, J.L.; Li, H.; Wang, Y.; Wang, Y.S.; Yan, J. Preparation of Ag NPs and Its Multifunctional Finishing for Cotton Fabric. Polymers 2021, 13, 1338. [Google Scholar] [CrossRef]
- Mirjalili, M.; Karimi, L. Photocatalytic Degradation of Synthesized Colorant Stains on Cotton Fabric Coated with Nano TiO2. J. Fiber Bioeng. Inform. 2010, 3, 208–215. [Google Scholar] [CrossRef]
- Tran, V.H.T.; Lee, B.K. Development of multifunctional self-cleaning and UV blocking cotton fabric with modification of photoactive ZnO coating via microwave method. J. Photochem. Photobiol. A 2017, 338, 13–22. [Google Scholar] [CrossRef]
- Uribe López, M.C.; Hidalgo López, M.C.; LópezGonzález, R.; Frías Márquez, D.M.; Núñez Nogueira, G.; Hernández Castillo, D.; Alvarez Lemus, M.A. Photocatalytic activity of ZnO nanoparticles and the role of the synthesis method on their physical and chemical properties. J. Photochem. Photobiol. A 2021, 404, 112866. [Google Scholar] [CrossRef]
- Peng, Y.G.; Ji, J.L.; Zhao, X.Y.; Wan, H.X.; Chen, D.J. Preparation of ZnOnanopowder by a novel ultrasound assisted non-hydrolytic sol–gel process and its application in photocatalytic degradation of C.I. Acid Red 249. Powder Technol. 2013, 233, 325–330. [Google Scholar] [CrossRef]
- Cao, Y.; Tan, H.M. Structural characterization of cellulose with enzymatic treatment. J. Mol. Struct. 2004, 705, 189–193. [Google Scholar] [CrossRef]
- Mahamuni, P.P.; Patil, P.M.; Dhanavade, M.J.; Badiger, M.; Shadija, P.G.; Lokhande, A.C. Synthesis and characterization of zinc oxide nanoparticles by using polyol chemistry for their antimicrobial and antibiofilm activity. Biochem. Biophys. Rep. 2018, 17, 71–80. [Google Scholar] [CrossRef] [PubMed]
- Sarwar, N.; Ashraf, M.; Mohsin, M.; Rehman, M.; Younus, A.; Javid, A.; Iqbal, K.; Riaz, S. Multifunctional Formaldehyde Free Finishing of Cotton by Using Metal Oxide Nanoparticles and Ecofriendly Cross-Linkers. Fibers Polym. 2019, 20, 2326–2333. [Google Scholar] [CrossRef]
- Cornils, B.; Lappe, P. Dicarboxylic Acids, Aliphatic. In Ullmann’s Encyclopedia of Industrial Chemistry; Wiley-VCH: Weinheim, Germany, 2006. [Google Scholar]
- Khajavi, R.; Berendjchi, A. Effect of Dicarboxylic Acid Chain Length on the Self-Cleaning Property of Nano-TiO2-Coated Cotton Fabrics. ACS Appl. Mater. Interfaces 2014, 6, 18795–18799. [Google Scholar] [CrossRef] [PubMed]
- Karimi, L.; Mirjalili, M.; Yazdanshenas, M.E.; Nazari, A. Effect of Nano TiO2 on Self-cleaning Property of Cross-linking Cotton Fabric with Succinic Acid under UV Irradiation. Photochem. Photobiol. 2010, 86, 1030–1037. [Google Scholar] [CrossRef] [PubMed]
- Siami, A.M.; Majid, M. Clean Sono-synthesis of ZnO on Cotton/Nylon Fabric Using Dopamine: Photocatalytic, Hydrophilic, Antibacterial Features. Fibers Polym. 2021, 22, 97–108. [Google Scholar]
- Hu, C.; Zhou, Y.Y.; Zhang, T.; Jiang, T.J.; Meng, C.; Zeng, G.S. Morphological, Thermal, Mechanical, and Optical Properties of Hybrid Nanocellulose Film Containing Cellulose Nanofiber and Cellulose Nanocrystals. Fibers Polym. 2021, 22, 2187–2193. [Google Scholar] [CrossRef]
- Gokula, K.P.; Muthukumaran, S.; Raja, V. Structural, energy gap tuning, photoluminescence and magnetic properties of Sn-doped Zn0.96Ni0.04O nanostructures. J. Lumin. 2021, 238, 118258. [Google Scholar]
- Zhang, X.; Ai, Z.H.; Jia, F.J.; Jia, F.L.; Zhang, L.Z. Generalized One-Pot Synthesis, Characterization, and Photocatalytic Activity of Hierarchical BiOX (X = Cl, Br, I) Nanoplate Microspheres. J. Phys. Chem. C 2008, 112, 747–753. [Google Scholar] [CrossRef]
Publisher’s Note: MDPI stays neutral with regard to jurisdictional claims in published maps and institutional affiliations. |
© 2022 by the authors. Licensee MDPI, Basel, Switzerland. This article is an open access article distributed under the terms and conditions of the Creative Commons Attribution (CC BY) license (https://creativecommons.org/licenses/by/4.0/).










