Mix-and-Match Diols: Adjusting Self-Assembly of Micellar Phases in Choline Chloride Eutectics
Abstract
1. Introduction
2. Materials and Methods
2.1. Materials
2.2. Solvent Property Measurements
2.3. Critical Micelle Concentration (CMC) Measurements
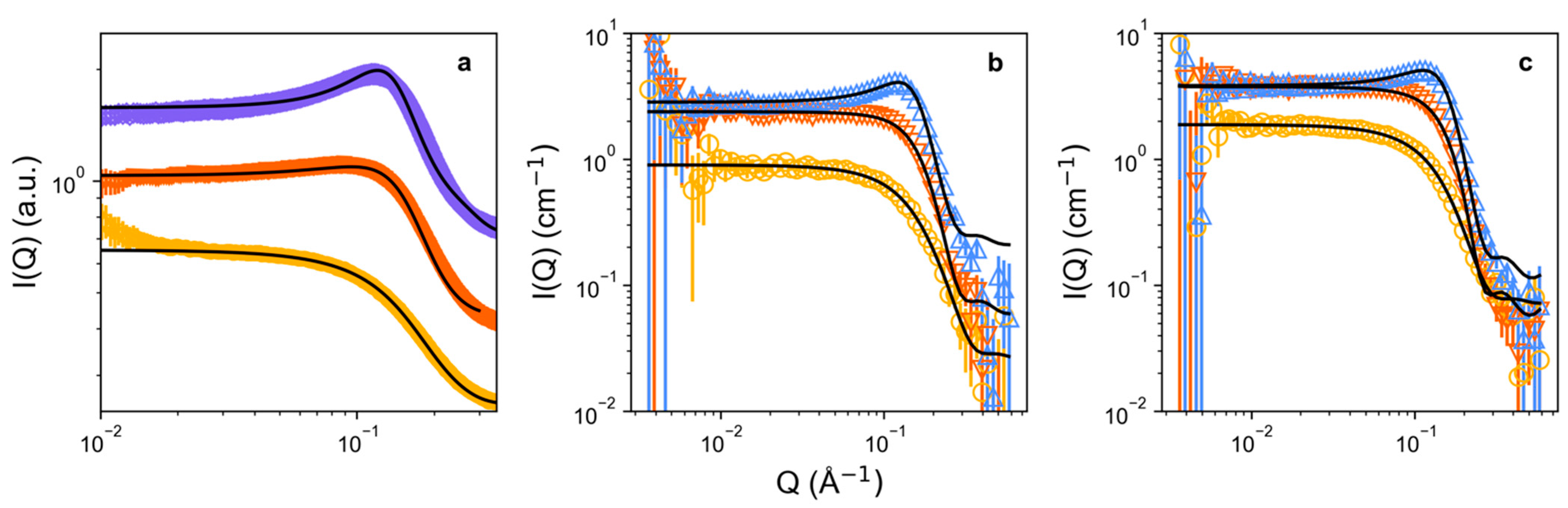
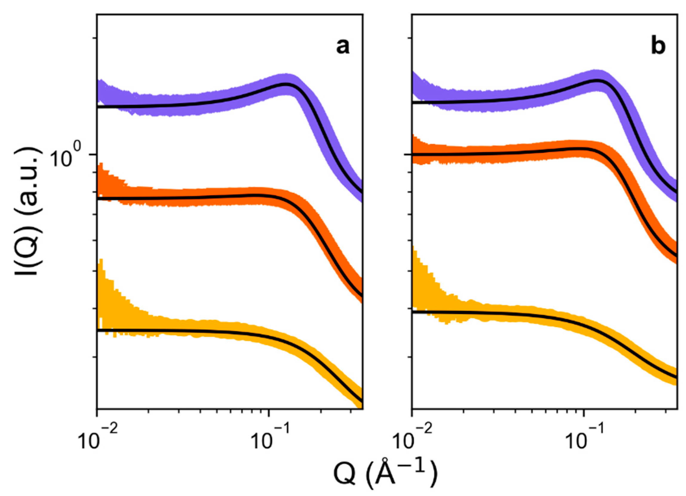
2.4. Micelle Structure Determination
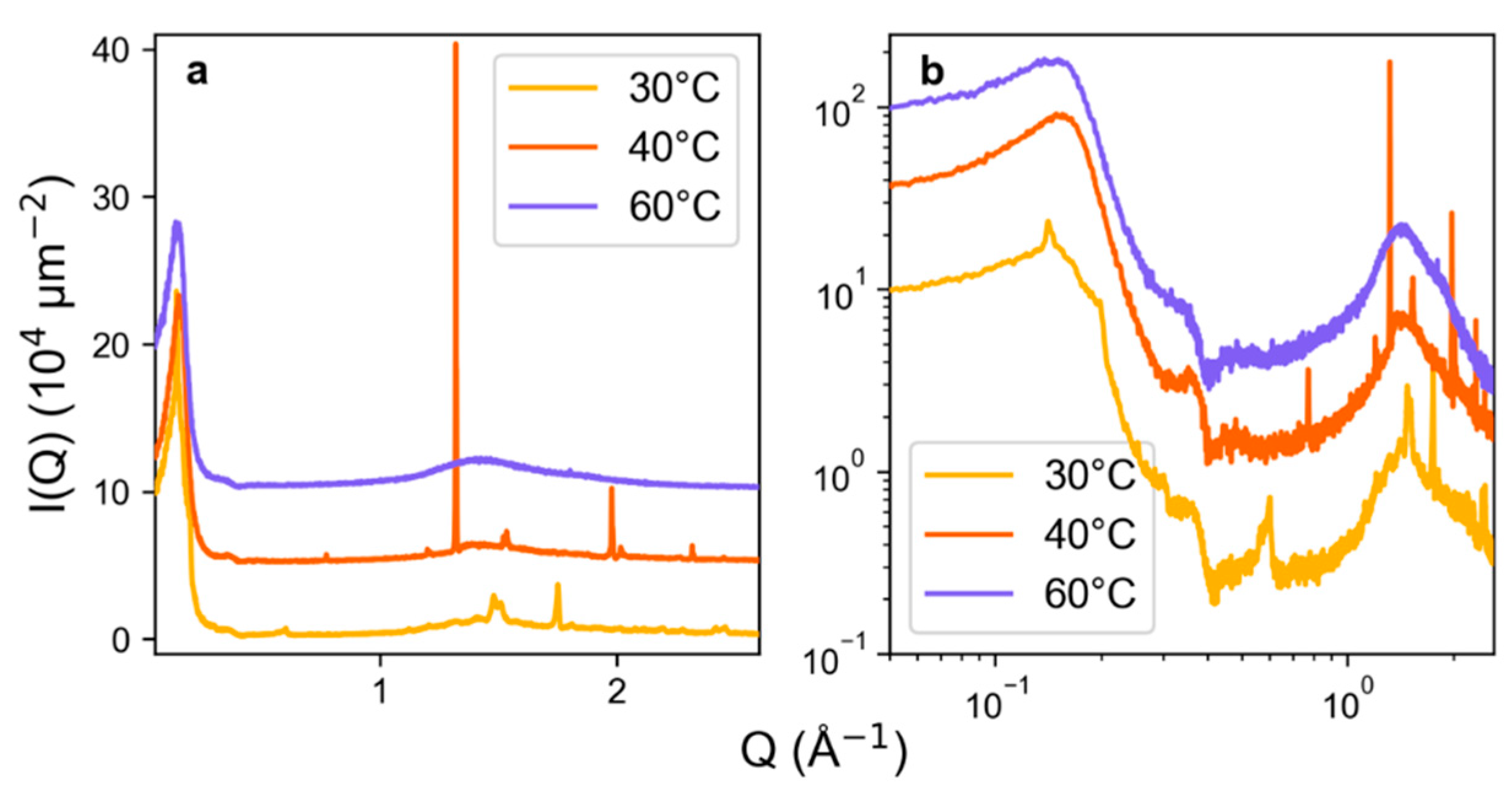
2.5. Lyotropic Phase Characterisation
3. Results and Discussion
3.1. Choice of Solvents and Physical Properties
| Name of Solvent | Diol * | Molar Ratio | |||||
|---|---|---|---|---|---|---|---|
| Choline Chloride | Ethylene Glycol | Diol | γ (mN m−1) | Density (g cm−3) | G (J m−3) | ||
| water | - | - | - | - | 71.0 ± 1.3 | 0.998 § | 2.71 |
| ethylene glycol | - | - | - | - | 47.2 ± 0.1 | 1.111 | 1.23 |
| 1,2-propanediol | - | - | - | - | 33.6 ± 0.2 | 1.035 | 0.80 |
| 1,3-propanediol | - | - | - | - | 46.8 ± 0.2 | 1.053 | 1.12 |
| 1,4-butanediol | - | - | - | - | 44.2 ± 0.2 | 1.015 | 0.99 |
| 1,5-pentanediol | - | - | - | - | 42.8 ± 0.1 | 0.989 | 0.91 |
| ethaline | ethylene glycol | 1 | - | 2 | 54.7 ± 0.3 | 1.115 | 1.28 |
| 2-propaline | 1,2-propanediol | 1 | - | 2 | 41.7 ± 0.1 | 1.079 | 0.93 |
| 3-propaline | 1,3-propanediol | 1 | - | 2 | 52.9 ± 0.3 | 1.086 | 1.18 |
| butaline | 1,4-butanediol | 1 | - | 2 | 47.5 ± 0.2 † | 1.042 † | 1.01 |
| pentaline | 1,5-pentanediol | 1 | - | 2 | 45.0 ± 0.3 † | 1.016 † | 0.93 |
| 2-propethaline | 1,2-propanediol | 1 | 1 | 1 | 46.1 ± 0.2 | 1.095 | 1.05 |
| 3-propethaline | 1,3-propanediol | 1 | 1 | 1 | 53.4 ± 0.4 | 1.096 | 1.22 |
| butethaline | 1,4-butanediol | 1 | 1 | 1 | 49.4 ± 0.5 | 1.085 | 1.10 |
| pentethaline | 1,5-pentanediol | 1 | 1 | 1 | 46.5 ± 0.2 † | 1.052 † | 1.01 |
3.2. C12TAB Phase Behaviour and Micellization in Binary Choline Chloride:Ethylene Glycol
3.3. C12TAB Micellization in Mixed (Ternary) Choline Chloride:Diol Eutectics
4. Conclusions
Supplementary Materials
Author Contributions
Funding
Data Availability Statement
Acknowledgments
Conflicts of Interest
References
- Abbott, A.P.; Capper, G.; Davies, D.L.; Munro, H.L.; Rasheed, R.K.; Tambyrajah, V. Preparation of Novel, Moisture-Stable, Lewis-Acidic Ionic Liquids Containing Quaternary Ammonium Salts with Functional Side Chains. Chem. Commun. 2001, 19, 2010–2011. [Google Scholar] [CrossRef] [PubMed]
- Earle, M.J.; Seddon, K.R. Ionic Liquids. Green Solvents for the Future. Pure Appl. Chem. 2000, 72, 1391–1398. [Google Scholar] [CrossRef]
- Guthrie, F. LII. On Eutexia. Lond. Edinb. Dublin Philos. Mag. J. Sci. 1884, 17, 462–482. [Google Scholar] [CrossRef]
- Coutinho, J.A.P.; Pinho, S.P. Special Issue on Deep Eutectic Solvents: A Foreword. Fluid Phase Equilibria 2017, 448, 1. [Google Scholar] [CrossRef]
- Abranches, D.O.; Martins, M.A.R.; Silva, L.P.; Schaeffer, N.; Pinho, S.P.; Coutinho, J.A.P. Phenolic Hydrogen Bond Donors in the Formation of Non-Ionic Deep Eutectic Solvents: The Quest for Type V DES. Chem. Commun. 2019, 55, 10253–10256. [Google Scholar] [CrossRef]
- van den Bruinhorst, A.; Kollau, L.J.B.M.; Kroon, M.C.; Meuldijk, J.; Tuinier, R.; Esteves, A.C.C. A Centrifuge Method to Determine the Solid–Liquid Phase Behavior of Eutectic Mixtures. J. Chem. Phys. 2018, 149, 224505. [Google Scholar] [CrossRef]
- Hansen, B.B.; Spittle, S.; Chen, B.; Poe, D.; Zhang, Y.; Klein, J.M.; Horton, A.; Adhikari, L.; Zelovich, T.; Doherty, B.W.; et al. Deep Eutectic Solvents: A Review of Fundamentals and Applications. Chem. Rev. 2021, 121, 1232–1285. [Google Scholar] [CrossRef]
- Abbott, A.P.; Barron, J.C.; Frisch, G.; Ryder, K.S.; Silva, A.F. The Effect of Additives on Zinc Electrodeposition from Deep Eutectic Solvents. Electrochim. Acta 2011, 56, 5272–5279. [Google Scholar] [CrossRef]
- Abbott, A.; Aldous, L.; Borisenko, N.; Coles, S.; Fontaine, O.; Gamarra Garcia, J.D.; Gardas, R.; Hammond, O.; Hardwick, L.J.; Haumesser, P.-H.; et al. Electrochemistry: General Discussion. Faraday Discuss. 2018, 206, 405–426. [Google Scholar] [CrossRef]
- Buzzeo, M.C.; Evans, R.G.; Compton, R.G. Non-Haloaluminate Room-Temperature Ionic Liquids in Electrochemistry—A Review. ChemPhysChem 2004, 5, 1106–1120. [Google Scholar] [CrossRef]
- Alonso, D.A.; Baeza, A.; Chinchilla, R.; Guillena, G.; Pastor, I.M.; Ramón, D.J. Deep Eutectic Solvents: The Organic Reaction Medium of the Century. Eur. J. Org. Chem. 2016, 2016, 612–632. [Google Scholar] [CrossRef]
- García-Álvarez, J.; Hevia, E.; Capriati, V. The Future of Polar Organometallic Chemistry Written in Bio-Based Solvents and Water. Chem.-Eur. J. 2018, 24, 14854–14863. [Google Scholar] [CrossRef] [PubMed]
- Hammond, O.S.; Mudring, A.-V. Ionic Liquids and Deep Eutectics as a Transformative Platform for the Synthesis of Nanomaterials. Chem. Commun. 2022, 58, 3865–3892. [Google Scholar] [CrossRef] [PubMed]
- Hammond, O.S.; Simon, G.; Gomes, M.C.; Padua, A.A.H. Tuning the Solvation of Indigo in Aqueous Deep Eutectics. J. Chem. Phys. 2021, 154, 224502. [Google Scholar] [CrossRef] [PubMed]
- Hammond, O.S.; Edler, K.J. Structure and Implications. In Deep Eutectic Solvents: Synthesis, Properties, and Applications; Wiley-VCH: Weinheim, Germany, 2019; pp. 25–42. ISBN 978-3-527-81848-8. [Google Scholar] [CrossRef]
- Manasi, I.; Bryant, S.J.; Hammond, O.S.; Edler, K.J. Interactions of Water and Amphiphiles with Deep Eutectic Solvent Nanostructures; Academic Press: New York, NY, USA, 2021; p. 28. [Google Scholar] [CrossRef]
- Smith, E.L.; Abbott, A.P.; Ryder, K.S. Deep Eutectic Solvents (DESs) and Their Applications. Chem. Rev. 2014, 114, 11060–11082. [Google Scholar] [CrossRef]
- Kaur, S.; Kumari, M.; Kashyap, H.K. Microstructure of Deep Eutectic Solvents: Current Understanding and Challenges. J. Phys. Chem. B 2020, 124, 10601–10616. [Google Scholar] [CrossRef]
- Zhang, Q.; De Oliveira Vigier, K.; Royer, S.; Jérôme, F. Deep Eutectic Solvents: Syntheses, Properties and Applications. Chem. Soc. Rev. 2012, 41, 7108–7146. [Google Scholar] [CrossRef]
- Hammond, O.S.; Atri, R.; Bowron, D.T.; Edler, K.J. Neutron Diffraction Study of Indole Solvation in Deep Eutectic Systems of Choline Chloride, Malic Acid, and Water. Chem.-Eur. J. 2022, 28, e202200566. [Google Scholar] [CrossRef]
- Hammond, O.S.; Bowron, D.T.; Edler, K.J. Liquid Structure of the Choline Chloride-Urea Deep Eutectic Solvent (Reline) from Neutron Diffraction and Atomistic Modelling. Green Chem. 2016, 18, 2736–2744. [Google Scholar] [CrossRef]
- Ashworth, C.R.; Matthews, R.P.; Welton, T.; Hunt, P.A. Doubly Ionic Hydrogen Bond Interactions within the Choline Chloride–Urea Deep Eutectic Solvent. Phys. Chem. Chem. Phys. 2016, 18, 18145–18160. [Google Scholar] [CrossRef]
- Kollau, L.J.B.M.; Vis, M.; Van Den Bruinhorst, A.; Tuinier, R.; de With, G. Entropy Models for the Description of the Solid-Liquid Regime of Deep Eutectic Solutions. J. Mol. Liq. 2020, 302, 112155. [Google Scholar] [CrossRef]
- Kollau, L.J.B.M.; Vis, M.; van den Bruinhorst, A.; de With, G.; Tuinier, R. Activity Modelling of the Solid–Liquid Equilibrium of Deep Eutectic Solvents. Pure Appl. Chem. 2019, 91, 1341–1349. [Google Scholar] [CrossRef]
- Martins, M.A.R.; Pinho, S.P.; Coutinho, J.A.P. Insights into the Nature of Eutectic and Deep Eutectic Mixtures. J. Solut. Chem. 2018, 48, 962–982. [Google Scholar] [CrossRef]
- Agieienko, V.; Buchner, R. Is Ethaline a Deep Eutectic Solvent? Phys. Chem. Chem. Phys. 2022, 24, 5265–5268. [Google Scholar] [CrossRef] [PubMed]
- Alizadeh, V.; Malberg, F.; Pádua, A.A.H.; Kirchner, B. Are There Magic Compositions in Deep Eutectic Solvents? Effects of Composition and Water Content in Choline Chloride/Ethylene Glycol from Ab Initio Molecular Dynamics. J. Phys. Chem. B 2020, 124, 7433–7443. [Google Scholar] [CrossRef]
- Pal, M.; Rai, R.; Yadav, A.; Khanna, R.; Baker, G.A.; Pandey, S. Self-Aggregation of Sodium Dodecyl Sulfate within (Choline Chloride + Urea) Deep Eutectic Solvent. Langmuir 2014, 30, 13191–13198. [Google Scholar] [CrossRef]
- Arnold, T.; Jackson, A.J.; Sanchez-Fernandez, A.; Magnone, D.; Terry, A.E.; Edler, K.J. Surfactant Behavior of Sodium Dodecylsulfate in Deep Eutectic Solvent Choline Chloride/Urea. Langmuir 2015, 31, 12894–12902. [Google Scholar] [CrossRef]
- Sanchez-Fernandez, A.; Edler, K.J.; Arnold, T.; Heenan, R.K.; Porcar, L.; Terrill, N.J.; Terry, A.; Jackson, A.J. Micelle Structure in a Deep Eutectic Solvent: A Small-Angle Scattering Study. Phys. Chem. Chem. Phys. 2016, 18, 14063–14070. [Google Scholar] [CrossRef]
- Sanchez-Fernandez, A.; Hammond, O.S.; Edler, K.J.; Arnold, T.; Doutch, J.; Dalgliesh, R.M.; Li, P.; Ma, K.; Jackson, A.J. Counterion Binding Alters Surfactant Self-Assembly in Deep Eutectic Solvents. Phys. Chem. Chem. Phys. 2018, 20, 13952–13961. [Google Scholar] [CrossRef]
- Pal, M.; Singh, R.K.; Pandey, S. Evidence of Self-Aggregation of Cationic Surfactants in a Choline Chloride+Glycerol Deep Eutectic Solvent. ChemPhysChem 2015, 16, 2538–2542. [Google Scholar] [CrossRef]
- Sanchez-Fernandez, A.; Arnold, T.; Jackson, A.J.; Fussell, S.L.; Heenan, R.K.; Campbell, R.A.; Edler, K.J. Micellization of Alkyltrimethylammonium Bromide Surfactants in Choline Chloride:Glycerol Deep Eutectic Solvent. Phys. Chem. Chem. Phys. 2016, 18, 33240–33249. [Google Scholar] [CrossRef] [PubMed]
- Sanchez-Fernandez, A.; Hammond, O.S.; Jackson, A.J.; Arnold, T.; Doutch, J.; Edler, K.J. Surfactant-Solvent Interaction Effects on the Micellization of Cationic Surfactants in a Carboxylic Acid-Based Deep Eutectic Solvent. Langmuir 2017, 33, 14304–14314. [Google Scholar] [CrossRef] [PubMed]
- Sanchez-Fernandez, A.; Moody, G.L.; Murfin, L.C.; Arnold, T.; Jackson, A.J.; King, S.M.; Lewis, S.E.; Edler, K.J. Self-Assembly and Surface Behaviour of Pure and Mixed Zwitterionic Amphiphiles in a Deep Eutectic Solvent. Soft Matter 2018, 14, 5525–5536. [Google Scholar] [CrossRef] [PubMed]
- Tan, X.; Zhang, J.; Luo, T.; Sang, X.; Liu, C.; Zhang, B.; Peng, L.; Li, W.; Han, B. Micellization of Long-Chain Ionic Liquids in Deep Eutectic Solvents. Soft Matter 2016, 12, 5297–5303. [Google Scholar] [CrossRef] [PubMed]
- Rengstl, D.; Fischer, V.; Kunz, W. Low-Melting Mixtures Based on Choline Ionic Liquids. Phys. Chem. Chem. Phys. 2014, 16, 22815–22822. [Google Scholar] [CrossRef]
- Atri, R.; Sanchez-Fernandez, A.; Hammond, O.S.; Manasi, I.; Doutch, J.; Tellam, J.P.; Edler, K.J. Morphology Modulation of Ionic Surfactant Micelles in Ternary Deep Eutectic Solvents. J. Phys. Chem. B 2020, 124, 6004–6014. [Google Scholar] [CrossRef]
- Hammond, O.S.; Bowron, D.T.; Edler, K.J. Structure and Properties of “Type IV” Lanthanide Nitrate Hydrate:Urea Deep Eutectic Solvents. ACS Sustain. Chem. Eng. 2019, 7, 4932–4940. [Google Scholar] [CrossRef]
- Manasi, I.; Andalibi, M.R.; Atri, R.S.; Hooton, J.; King, S.M.; Edler, K.J. Self-Assembly of Ionic and Non-Ionic Surfactants in Type IV Cerium Nitrate and Urea Based Deep Eutectic Solvent. J. Chem. Phys. 2021, 155, 084902. [Google Scholar] [CrossRef]
- Sanchez-Fernandez, A.; Leung, A.E.; Kelley, E.G.; Jackson, A.J. Complex by Design: Hydrotrope-Induced Micellar Growth in Deep Eutectic Solvents. J. Colloid Interface Sci. 2021, 581, 292–298. [Google Scholar] [CrossRef]
- Du Noüy, P.L. Advantages of the Ring Method for the Study of the Surface Equilibria of Colloidal Solutions. Nature 1927, 119, 598. [Google Scholar] [CrossRef]
- Berry, J.D.; Neeson, M.J.; Dagastine, R.R.; Chan, D.Y.C.; Tabor, R.F. Measurement of Surface and Interfacial Tension Using Pendant Drop Tensiometry. J. Colloid Interface Sci. 2015, 454, 226–237. [Google Scholar] [CrossRef] [PubMed]
- Basham, M.; Filik, J.; Wharmby, M.T.; Chang, P.C.Y.; El Kassaby, B.; Gerring, M.; Aishima, J.; Levik, K.; Pulford, B.C.A.; Sikharulidze, I.; et al. Data Analysis WorkbeNch (DAWN). J. Synchrotron Radiat. 2015, 22, 853–858. [Google Scholar] [CrossRef] [PubMed]
- Abbott, A.P.; Capper, G.; Davies, D.L.; Rasheed, R.K.; Tambyrajah, V. Novel Solvent Properties of Choline Chloride/Urea Mixtures. Chem. Commun. 2003, 70–71. [Google Scholar] [CrossRef]
- Hayler, H.J.; Perkin, S. The Eutectic Point in Choline Chloride and Ethylene Glycol Mixtures. Chem. Commun. 2022. [Google Scholar] [CrossRef] [PubMed]
- van den Bruinhorst, A.; Kollau, L.J.B.M.; Vis, M.; Hendrix, M.M.R.M.; Meuldijk, J.; Tuinier, R.; Esteves, A.C.C. From a Eutectic Mixture to a Deep Eutectic System via Anion Selection: Glutaric Acid + Tetraethylammonium Halides. J. Chem. Phys. 2021, 155, 014502. [Google Scholar] [CrossRef] [PubMed]
- Hammond, O.S.; Bowron, D.T.; Jackson, A.J.; Arnold, T.; Sanchez-Fernandez, A.; Tsapatsaris, N.; Sakai, V.G.; Edler, K.J. Resilience of Malic Acid Natural Deep Eutectic Solvent Nanostructure to Solidification and Hydration. J. Phys. Chem. B 2017, 121, 7473–7483. [Google Scholar] [CrossRef]
- Araujo, C.F.; Coutinho, J.A.P.; Nolasco, M.M.; Parker, S.F.; Ribeiro-Claro, P.J.A.; Rudić, S.; Soares, B.I.G.; Vaz, P.D. Inelastic Neutron Scattering Study of Reline: Shedding Light on the Hydrogen Bonding Network of Deep Eutectic Solvents. Phys. Chem. Chem. Phys. 2017, 19, 17998–18009. [Google Scholar] [CrossRef] [PubMed]
- Di Pietro, M.E.; Goloviznina, K.; van den Bruinhorst, A.; de Araujo Lima e Souza, G.; Costa Gomes, M.; Padua, A.A.H.; Mele, A. Lithium Salt Effects on the Liquid Structure of Choline Chloride–Urea Deep Eutectic Solvent. ACS Sustain. Chem. Eng. 2022, 10, 11835–11845. [Google Scholar] [CrossRef]
- Estager, J.; Holbrey, J.D.; Swadźba-Kwaśny, M. Halometallate Ionic Liquids—Revisited. Chem. Soc. Rev. 2014, 43, 847–886. [Google Scholar] [CrossRef]
- Greaves, T.L.; Drummond, C.J. Solvent Nanostructure, the Solvophobic Effect and Amphiphile Self-Assembly in Ionic Liquids. Chem. Soc. Rev. 2013, 42, 1096–1120. [Google Scholar] [CrossRef]
- Kestin, J.; Sokolov, M.; Wakeham, W.A. Viscosity of Liquid Water in the Range −8 °C to 150 °C. J. Phys. Chem. Ref. Data 1978, 7, 941–948. [Google Scholar] [CrossRef]
- Li, Q.; Wang, J.; Lei, N.; Yan, M.; Chen, X.; Yue, X. Phase Behaviours of a Cationic Surfactant in Deep Eutectic Solvents: From Micelles to Lyotropic Liquid Crystals. Phys. Chem. Chem. Phys. 2018, 20, 12175–12181. [Google Scholar] [CrossRef] [PubMed]
- Eastoe, J.; Tabor, R.F. Surfactants and Nanoscience; Elsevier: Amsterdam, The Netherlands, 2014; ISBN 978-0-444-59541-6. [Google Scholar] [CrossRef]
- Evans, D.F.; Allen, M.; Ninham, B.W.; Fouda, A. Critical Micelle Concentrations for Alkyltrimethylammonium Bromides in Water from 25 to 160 °C. J. Solut. Chem. 1984, 13, 87–101. [Google Scholar] [CrossRef]
- Schick, M.J. Effect of temperature on the critical micelle concentration of nonionic detergents. thermodynamics of micelle formation 1. J. Phys. Chem. 1963, 67, 1796–1799. [Google Scholar] [CrossRef]
- Evans, D.F.; Yamauchi, A.; Roman, R.; Casassa, E.Z. Micelle Formation in Ethylammonium Nitrate, a Low-Melting Fused Salt. J. Colloid Interface Sci. 1982, 88, 89–96. [Google Scholar] [CrossRef]
- Alexander, S.; Smith, G.N.; James, C.; Rogers, S.E.; Guittard, F.; Sagisaka, M.; Eastoe, J. Low-Surface Energy Surfactants with Branched Hydrocarbon Architectures. Langmuir 2014, 30, 3413–3421. [Google Scholar] [CrossRef]
- Mukherjee, I.; Moulik, S.P.; Rakshit, A.K. Tensiometric Determination of Gibbs Surface Excess and Micelle Point: A Critical Revisit. J. Colloid Interface Sci. 2013, 394, 329–336. [Google Scholar] [CrossRef]
- McCluskey, A.R.; Sanchez-Fernandez, A.; Edler, K.J.; Parker, S.C.; Jackson, A.J.; Campbell, R.A.; Arnold, T. Bayesian Determination of the Effect of a Deep Eutectic Solvent on the Structure of Lipid Monolayers. Phys. Chem. Chem. Phys. 2019, 9, 6133–6141. [Google Scholar] [CrossRef]
- Brown, P.; Butts, C.; Dyer, R.; Eastoe, J.; Grillo, I.; Guittard, F.; Rogers, S.; Heenan, R. Anionic Surfactants and Surfactant Ionic Liquids with Quaternary Ammonium Counterions. Langmuir 2011, 27, 4563–4571. [Google Scholar] [CrossRef]
- Perkin, S.; Salanne, M.; Madden, P.; Lynden-Bell, R. Is a Stern and Diffuse Layer Model Appropriate to Ionic Liquids at Surfaces? Proc. Natl. Acad. Sci. USA 2013, 110, E4121. [Google Scholar] [CrossRef]
- Sanchez-Fernandez, A.; Jackson, A.J.; Prévost, S.F.; Doutch, J.J.; Edler, K.J. Long-Range Electrostatic Colloidal Interactions and Specific Ion Effects in Deep Eutectic Solvents. J. Am. Chem. Soc. 2021, 143, 14158–14168. [Google Scholar] [CrossRef] [PubMed]
- D’Errico, G.; Ortona, O.; Paduano, L.; Vitagliano, V. Transport Properties of Aqueous Solutions of Alkyltrimethylammonium Bromide Surfactants at 25 °C. J. Colloid Interface Sci. 2001, 239, 264–271. [Google Scholar] [CrossRef] [PubMed]
- Greaves, T.L.; Drummond, C.J. Ionic Liquids as Amphiphile Self-Assembly Media. Chem. Soc. Rev. 2008, 37, 1709–1726. [Google Scholar] [CrossRef] [PubMed]
- Hamley, I.W. Diffuse Scattering from Lamellar Structures. Soft Matter 2022, 18, 711–721. [Google Scholar] [CrossRef]
- Yuan, C.; Chu, K.; Li, H.; Su, L.; Yang, K.; Wang, Y.; Li, X. In Situ Raman and Synchrotron X-ray Diffraction Study on Crystallization of Choline Chloride/Urea Deep Eutectic Solvent under High Pressure. Chem. Phys. Lett. 2016, 661, 240–245. [Google Scholar] [CrossRef]
- Alhadid, A.; Jandl, C.; Mokrushina, L.; Minceva, M. Cocrystal Formation in Choline Chloride Deep Eutectic Solvents. Cryst. Growth Des. 2022, 22, 1933–1942. [Google Scholar] [CrossRef]
- Petrouleas, V.; Lemmon, R.M.; Christensen, A. X-ray Diffraction Study of Choline Chloride’s β Form. J. Chem. Phys. 1978, 68, 2243–2246. [Google Scholar] [CrossRef]
- Nath, A.; Agarwal, R.; Lemmon, R.M. Further Studies on the Solid-state Chemistry of Irradiated Choline Chloride. J. Chem. Phys. 1974, 61, 1542–1547. [Google Scholar] [CrossRef]
- Philippoff, W.; Mcbain, J.W. Expansion of the Lamellar Crystal Lattice of Aerosol OT’ upon the Addition of Water. Nature 1949, 164, 885. [Google Scholar] [CrossRef]
- Klee, A.; Prevost, S.; Kunz, W.; Schweins, R.; Kiefer, K.; Gradzielski, M. Magnetic Microemulsions Based on Magnetic Ionic Liquids. Phys. Chem. Chem. Phys. 2012, 14, 15355. [Google Scholar] [CrossRef]
- Eastoe, J. Microemulsions. In Surfactant Chemistry; Wuhan University Press: Whuan, China, 2003; pp. 59–95. ISBN 978-1-4443-0552-4. [Google Scholar]
- Sears, V.F. Neutron Scattering Lengths and Cross Sections. Neutron News 1992, 3, 26–37. [Google Scholar] [CrossRef]
- Azizian, S.; Bashavard, N. Surface Properties of Diluted Solutions of Cyclohexanol and Cyclopentanol in Ethylene Glycol. J. Colloid Interface Sci. 2005, 282, 428–433. [Google Scholar] [CrossRef] [PubMed]
- Edler, K.J.; Jackson, A.J.; Sanchez-Fernandez, A.; Doutch, J.; Bowron, D.T.; Hammond, O.S.; Arnold, T.; da Silva, M.A.; Moody, G.L.; Dalgliesh, R.M.; et al. Anion Effects on Self-Assembly in Deep Eutectic Solvents. ISIS Neutron Muon Source Data J. 2017. [Google Scholar] [CrossRef]






| Contrast | C (wt.%) | C (mol kg−1) | Polar Radius (Å) | Equatorial Radius (Å) | ϕHS | ϕmicelles |
|---|---|---|---|---|---|---|
| SAXS | 5 | 0.17 | 24.7 ± 1.3 | 12.8 ± 0.7 | 0.058 | 0.052 * |
| 10 | 0.36 | 24.3 ± 0.7 | 12.3 ± 0.2 | 0.108 | 0.127 * | |
| 15 | 0.57 | 32.0 ± 0.1 | 12.0 ± 0.0 | 0.189 | 0.260 * | |
| SANS D-C12TAB/H-ChCl:EG | 5 | 0.17 | 26.6 ± 2.8 | 13.1 ± 0.5 | 0.038 | 0.023 |
| 10 | 0.36 | 24.3 ± 1.7 | 15.4 ± 0.1 | 0.096 | 0.065 | |
| 20 | 0.81 | 24.5 ± 2.6 | 14.9 ± 0.3 | 0.188 | 0.131 | |
| SANS H-C12TAB/D-ChCl:EG | 5 | 0.17 | 25.4 ± 6.2 | 10.9 ± 0.8 | 0.036 | 0.021 |
| 10 | 0.36 | 23.8 ± 3.8 | 13.5 ± 0.4 | 0.087 | 0.061 | |
| 20 | 0.81 | 26.0 ± 4.1 | 14.0 ± 0.3 | 0.209 | 0.141 |
| Solvent | C (wt.%) | C (mol kg−1) | Polar Radius (Å) | Equatorial Radius (Å) | ϕHS | Scale Factor |
|---|---|---|---|---|---|---|
| 2-propethaline | 5 | 0.17 | 10.1 ± 1.1 | 8.6 ± 0.8 | 0.018 | 0.047 |
| 10 | 0.36 | 14.6 ± 1.3 | 8.7 ± 1.1 | 0.05 | 0.127 | |
| 15 | 0.58 | 17.9 ± 0.2 | 8.9 ± 0.0 | 0.112 | 0.266 | |
| 3-propethaline | 5 | 0.17 | 16.5 ± 2.3 | 6.6 ± 0.8 | 0.018 | 0.044 |
| 10 | 0.37 | 18.5 ± 0.8 | 8.9 ± 0.4 | 0.053 | 0.146 | |
| 15 | 0.57 | 19.6 ± 0.3 | 9.5 ± 0.0 | 0.129 | 0.223 |
Publisher’s Note: MDPI stays neutral with regard to jurisdictional claims in published maps and institutional affiliations. |
© 2022 by the authors. Licensee MDPI, Basel, Switzerland. This article is an open access article distributed under the terms and conditions of the Creative Commons Attribution (CC BY) license (https://creativecommons.org/licenses/by/4.0/).
Share and Cite
Hammond, O.S.; Sanchez-Fernandez, A.; Tyte, R.; Dalgliesh, R.; Smith, A.J.; Edler, K.J. Mix-and-Match Diols: Adjusting Self-Assembly of Micellar Phases in Choline Chloride Eutectics. Crystals 2022, 12, 1621. https://doi.org/10.3390/cryst12111621
Hammond OS, Sanchez-Fernandez A, Tyte R, Dalgliesh R, Smith AJ, Edler KJ. Mix-and-Match Diols: Adjusting Self-Assembly of Micellar Phases in Choline Chloride Eutectics. Crystals. 2022; 12(11):1621. https://doi.org/10.3390/cryst12111621
Chicago/Turabian StyleHammond, Oliver S., Adrian Sanchez-Fernandez, Rachel Tyte, Robert Dalgliesh, Andrew J. Smith, and Karen J. Edler. 2022. "Mix-and-Match Diols: Adjusting Self-Assembly of Micellar Phases in Choline Chloride Eutectics" Crystals 12, no. 11: 1621. https://doi.org/10.3390/cryst12111621
APA StyleHammond, O. S., Sanchez-Fernandez, A., Tyte, R., Dalgliesh, R., Smith, A. J., & Edler, K. J. (2022). Mix-and-Match Diols: Adjusting Self-Assembly of Micellar Phases in Choline Chloride Eutectics. Crystals, 12(11), 1621. https://doi.org/10.3390/cryst12111621

