Next Article in Journal
A Numerical Study on Chloride Diffusion in Cracked Concrete
Previous Article in Journal
Effect of Fly Ash Belite Cement on Hydration Performance of Portland Cement
Previous Article in Special Issue
Core-Shell Structure and Dielectric Properties of Ba0.6Sr0.4TiO3@ Fe2O3 Ceramics Prepared by Co-Precipitation Method
 
 
Font Type:
Arial Georgia Verdana
Font Size:
Aa Aa Aa
Line Spacing:
Column Width:
Background:
Article

Temperature Stable, High-Quality Factor Li2TiO3-Li4NbO4F Microwave Dielectric Ceramics

1
School of Materials Science and Engineering, Hubei University, Wuhan 430062, China
2
School of Material Science and Energy Engineering, Foshan University, Foshan 528000, China
3
Shenzhen Institute of Advanced Electronic Materials, Shenzhen Institute of Advanced Technology, Chinese Academy of Sciences, Shenzhen 518055, China
*
Authors to whom correspondence should be addressed.
Crystals 2021, 11(7), 741; https://doi.org/10.3390/cryst11070741
Submission received: 30 April 2021 / Revised: 16 June 2021 / Accepted: 21 June 2021 / Published: 25 June 2021

Abstract

:
In this work, (1-x)Li2TiO3-xLi4NbO4F ceramics were prepared by the conventional solid-state ceramic route. With the increase of Li4NbO4F content, the phase structure transformed from ordered monoclinic to disordered cubic. By increasing Li3NbO4F content, the temperature coefficient of resonant frequency (τf) was successfully adjusted closer to zero, while the dielectric constant (εr) and microwave quality factor (Qf) decreased to some degree. Outstanding microwave dielectric properties with a εr = 18.7, Qf = 61,388 GHz (6.264 GHz), and τf = 0.9 ppm/°C were obtained for 0.9Li2TiO3-0.1Li4NbO4F ceramics sintered at 1050 °C for 2 h, which indicated that these ceramics are suitable for practical applications in the field of microwave substrates and components.

1. Introduction

With the rapid development of wireless and mobile communication, new microwave dielectric ceramics with a suitable dielectric constant (εr), high microwave quality factor values (Qf, low dielectric loss), and near-zero temperature coefficient of resonant frequency (τf ≈ 0 ppm/°C) are desired for microwave device applications [1,2,3,4,5,6]. Recently, lithium-based microwave dielectric ceramics with rock salt, such as Li2TiO3, Li3NbO4, Li2WO4, and Li2CeO3, have gained plenty of attention because of their relatively low sintering temperature and excellent dielectric properties [7,8,9]. Among these ceramics, Li2TiO3 ceramics sintered at 1300 °C for 2 h showed superior microwave dielectric properties with a εr of 22, Qf value of 63,500 GHz (8.6 GHz), and τf value of +20.3 ppm/°C [10]. However, its practical applications were hindered because of the high sintering temperature as well as the positive τf value. In a previous study, B2O3 was added to Li2TiO3-Li3NbO4 ceramics to decrease the sintering temperature, and the results showed that the sintering temperature was decreased to 900 °C with the deterioration of the Qf value to 44,000 GHz [11]. On the other hand, LiF, as a kind of sintering aid, was reported to successfully decrease the sintering temperature in several microwave dielectric ceramic systems [12,13,14]. As reported, Li4NbO4F with a high Qf, low sintering temperature, and negative τf was studied extensively [15]. Therefore, in this work, Li4NbO4F ceramics were implemented as a sintering aid to adjust the τf value and decrease the sintering temperature for Li2TiO3 ceramics. (1-x)Li2TiO3-xLi4NbO4F (x = 0.05, 0.10, 0.15, 0.20) ceramics, compared with non-lithium based ceramics [16,17,18], were investigated in order to reduce the sintering temperature and achieve a near-zero τf value as well as a high Qf value. Their outstanding properties made the widespread application in a satellite communication and global positioning system antenna possible to achieve [19]. The phase structure, microstructure, and microwave dielectric properties of (1-x)Li2TiO3-xLi4NbO4F (x = 0.05, 0.10, 0.15, 0.20) were studied in detail.

2. Experimental Procedure

(1-x)Li2TiO3-xLi4NbO4F ceramics were prepared by a conventional solid-state route. TiO2 (99.9%, Sinopharm, China), Li2CO3 (99%, Sinopharm, China), N2O5 (99.9%, Zibo Weijie, China), and LiF (98%, Sinopharm, China) powders were used as starting materials. Stoichiometric Li2CO3 and TiO2 were mixed according to the formula of Li2TiO3 and milled with ZrO2 balls in ethanol for 6 h. Then, the mixtures were dried and calcined at 800 °C for 2 h in air. At the same time, stoichiometric Li2CO3, N2O5, and LiF were mixed, milled, dried, and calcined at 700 °C for 2 h in air in another furnace. The obtained Li2TiO3 and Li4NbO4F powders were weighed according to the designed molar ratios, mixed with 30 mL ethanol, and milled by balls for 8 h, dried, and sieved. Subsequently, the powders were sieved through 60 mesh. Then, the powder (the particle size at a scale of 4–10 μm) was granulated with 5 wt% PVA as binder and uniaxially pressed into cylindrical disks under a pressure of 100 MPa. These samples were buried by mixed powder with the same composition and sintered at 1000–1125 °C for 2 h at a heating rate of 3 °C/min.
The bulk densities of the sintered ceramics were measured by Archimedes method. The crystal structure was analyzed using X-ray diffraction (XRD) with Cu Kα radiation (D8-Advanced, Bruker, Germany). The microstructures were observed by a scanning electron microscope (SEM) (JSM 6510LV, JEOL Japan). Microwave dielectric properties were measured using a network analyzer (E5071C, Agilent, USA) with TE01δ resonant mode. The temperature coefficient of the resonant frequency (τf) was calculated with the following formula:
τ f = ( f 80 f 25 ) f 25 ( 80 25 ) × 10 6
where f80 and f25 were the resonant frequencies at 80 °C and 25 °C, respectively.

3. Results and Discussion

The XRD patterns of the (1-x)Li2TiO3-xLi4NbO4F ceramics sintered at 1050 °C for 2 h are shown in Figure 1. It is well known that the Li2TiO3 phase has three modifications: the metastable cubic phase α-Li2TiO3, ordered monoclinic phase β-Li2TiO3, and disordered cubic phase γ-Li2TiO3. The α-Li2TiO3 phase transforms to the monoclinic β-Li2TiO3 phase at 670 °C, after which the reversible transition of the β-Li2TiO3 phase to the γ-Li2TiO3 phase occurs at 1150–1215 °C [20,21]. With the increase of x, the intensity of peaks, which belonged to the monoclinic phase, decreased, and there were only peaks belonging to cubic phase in the composition x = 0.20. The intensity of the (002) supercell peak, which was considered to indicate the degree of long-range order [22], decreased with the increase of x and finally faded away. At x = 0.05, the (311) and (222) supercell peaks were observed with low intensity, which belonged to cubic phase. This phenomenon showed that a true solid solution did not exist at x = 0.05. With the increase of x, the intensity of (200) and (220) supercell peaks was conspicuously enhanced, while (002) supercell peak vanished, showing that the ordered monoclinic phase transformed to the disordered cubic phase and totally transformed to the cubic phase between x = 0.10 and x = 0.15, which was consistent with the data in Table 1.
To further demonstrate the phase transformation process, the XRD pattern was refined using the Fullprof software. The refinement results of the x = 0.10 sample are shown in Figure 2, and the lattice constants, R factors, and percentages of the phase for all the studied compositions are listed in Table 1. It was clear that the Li2TiO3 structure transformed from the ordered monoclinic phase to the disordered cubic phase with the increase of x. The ceramic unit cell volume with the cubic phase steadily increased from 71.394 Å3 to 71.720 Å3.
The SEM images of the (1-x)Li2TiO3-xLi4NbO4F ceramics sintered at 1050 °C are shown in Figure 3. All samples displayed porous microstructures, which were mainly attributed to the evaporation of lithium [23]. The porous microstructures were similar to those in pure Li2TiO3 ceramics, which indicated that it was difficult to improve the densification behavior of Li2TiO3 ceramics by adding Li4NbO4F [24]. Relatively small grains were observed for the compositions with x = 0.15 and 0.2, as shown in Figure 3c,d, which were likely due to the cubic phase grain, in agreement with the phase structure as shown in Figure 1 and Table 1.
The EDS elemental mapping analysis of x = 0.05 and x = 0.20 for the ceramics sintered at 1050 °C for 2 h is given in Figure 4 and Figure 5, respectively. It was obvious that F and Nb elements were heterogeneous in samples of x = 0.05, while elements were distributed homogeneously in samples of x = 0.20, which indicated that there were two phases of monoclinic and cubic phase coexistence in the sample of x = 0.05, whereas there was a one-phase solid solution in the sample of x = 0.20.
The bulk densities of ceramics with different Li4NbO4F content as a function of sintering temperature are presented in Figure 6. In the range of x ≤ 0.15, with the increase of the sintering temperature, the bulk densities originally increased slightly but later obviously decreased at 1100 °C, which revealed that the ceramics had overburnt behavior when sintered at 1100 °C. These results agreed with more and more pores observed in Figure 3, but the bulk density of the ceramics at x = 0.20 increased with the increase of sintering temperature. On the other hand, as the x content increased, the density decreased.
Figure 7 displays the dielectric constant of samples sintered at various temperatures as a function of Li4NbO4F additions. With the increase of the sintering temperatures and Li4NbO4F content, the variations of εr coincided with bulk density, which suggested that the density was the main external factor that affected εr in the Li2TiO3-Li4NbO4F ceramics. It is well known that the εr of ceramics is mainly determined by the dipoles in the unit cell volume and the dielectric polarizabilities of ions [25]. A higher density means that are more dipoles in a unit volume. As shown in Figure 3, more and more pores were observed in the range of x ≤ 0.15, which lowered the density and further influenced εr. In this case, with the exception of the composition, the εr of the Li2TiO3-Li4NbO4F samples was decided by bulk density, and the εr of the 0.90Li2TiO3-0.10Li4NbO4F ceramics was 18.7 with a near-zero τf value, which was suitable for the application of the integrated circuit.
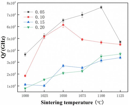
The variation of the Qf value of the (1-x)Li2TiO3-xLi4NbO4F ceramics with different sintering temperatures is plotted in Figure 8. The Qf values decreased with the increase of Li4NbO4F content. The maximum Qf value of 76,202 GHz was achieved for the 0.95Li2TiO3-0.05Li4NbO4F ceramics sintered at 1100 °C. The desired ceramics with a near-zero τf and high Qf value of 61,388 GHz were acquired for the 0.90Li2TiO3-0.10Li4NbO4F ceramics sintered at 1050 °C, which was near to that of the pure Li2TiO3 (63,500 GHz). Compared with nonlithium-based ceramics, the Li2TiO3-Li4NbO4F ceramics and other lithium-based ceramics exhibited a relatively high Qf and low εr, as shown in Table 2. At x = 0.15 and x = 0.20, the Qf value increased linearly with the increase of the sintering temperature without the downward trend because the ceramics with the cubic phase need a higher sintering temperature than the ceramics with the monoclinic phase [26]. Microstructural defects, grain boundaries, porosity, and microcracks usually play important roles in dielectric loss [27]. As mentioned in Figure 3, more pores were observed in the 0.90Li2TiO3-0.10Li4NbO4F ceramics than in the 0.95Li2TiO3-0.05Li4NbO4F ceramics, which was consistent with the decrease of Qf.
Figure 9 shows the variation of the τf value of the (1-x)Li2TiO3-xLi4NbO4F ceramics. τf was well known to be influenced by the composition, additive, and second phase of the materials [35]. With the increase of x, τf showed a negative trend. At x = 0.10, the 0.9Li2TiO3-0.1Li4NbO4F ceramics sintered at 1050 °C for 2 h achieved a τf of 0.9 ppm/°C, which is very important for applications.

4. Conclusions

In this work, the structural evolution, microstructure, surface analysis, and microwave dielectric properties of (1-x)Li2TiO3-xLi4NbO4F (x = 0.05, 0.10, 0.15, 0.20) ceramics have been investigated. Continuous solid solutions between Li2TiO3 and Li4NbO4F were formed across the entire compositional range, with the phase structure transforming from the monoclinic phase to cubic phase. With the increase of Li4NbO4F, the τf value of Li2TiO3-based ceramics was close to zero, and the sintering temperature of the ceramics was reduced. The Qf value of the Li2TiO3-xLi4NbO4F ceramics was conspicuously enhanced compared with that of the Li2TiO3-Li3NbO4 ceramics doped with B2O3. Excellent microwave dielectric properties of εr = 18.7, Qf = 61,388GHz, and τf = 0.9 ppm/°C were obtained for the 0.90Li2TiO3-0.10Li4NbO4F ceramics sintered at 1050 °C. The samples with a near-zero τf and high Qf were suitable for practical applications in the field of satellite communications and global positioning system antennas.

Author Contributions

Analysis and writing, S.X.; Review and editing, J.J. and D.W.; Methodology, S.S. and X.C.; Date curation, Z.C.; Project administration, T.Z. All authors have read and agreed to the published version of the manuscript.

Funding

This research was funded by the National Science Foundation of China (Grant Nos. 11774083 and 51902093) and China Scholarship Council (Grant No. 201808420353).

Conflicts of Interest

The authors declare no conflict and interest.

References

  1. Wang, D.; Chen, J.; Wang, G.; Lu, Z.; Sun, S.; Li, J.; Jiang, J.; Zhou, D.; Song, K.; Reaney, I.M. Cold sintered LiMgPO4 based composites for low temperature co-fired ceramic (LTCC) applications. J. Am. Ceram. Soc. 2020, 103, 6237–6244. [Google Scholar] [CrossRef]
  2. Wang, D.; Siame, B.; Zhang, S.; Wang, G.; Ju, X.; Li, J.; Lu, Z.; Vardaxoglou, Y.; Whittow, W.; Cadman, D.; et al. Direct integration of cold sintered, temperature-stable Bi2Mo2O9-K2MoO4 ceramics on printed circuit boards for satellite navigation antennas. J. Eur. Ceram. Soc. 2020, 40, 4029–4034. [Google Scholar] [CrossRef]
  3. Wang, D.; Zhang, S.; Wang, G.; Vardaxoglou, Y.; Whittow, W.; Cadman, D.; Zhou, D.; Song, K.; Reaney, I.M. Cold sintered CaTiO3-K2MoO4 microwave dielectric ceramics for integrated microstrip patch antennas. Appl. Mater. Today 2020, 18, 100519. [Google Scholar] [CrossRef]
  4. Ratheesh, R.; Sebastian, M.T.; Mohanan, P.; Tobar, M.E.; Hartnett, J.; Woode, R.; Blair, D.G. Microwave characterization of BaCe2Ti5O15 and Ba5Nb4O15 ceramic dielectric resonators using whispering gallery mode method. Mater. Lett. 2000, 45, 279–285. [Google Scholar] [CrossRef]
  5. Zhang, Q.L.; Yang, H.; Zou, J.L.; Wang, H.P. Sintering and microwave dielectric properties of LTCC-zinc titanate multilayers. Mater. Lett. 2005, 59, 880–884. [Google Scholar] [CrossRef]
  6. Lei, W.; Lu, W.Z.; Zhu, J.H.; Wang, X.H. Microwave dielectric properties of ZnAl2O4–TiO2 spinel-based composites. Mater. Lett. 2007, 61, 4066–4069. [Google Scholar] [CrossRef]
  7. Liu, W.; Zuo, R. A novel Li2TiO3–Li2CeO3 ceramic composite with excellent microwave dielectric properties for low-temperature cofired ceramic applications. J. Eur. Ceram. Soc. 2018, 38, 119–123. [Google Scholar] [CrossRef]
  8. Bian, J.; Liang, Z.; Wang, L. Structural evolution and microwave dielectric properties of Li3− 3xM4xNb1− xO4 (M = Mg, Zn; 0 ≤ x ≤ 0.9). J. Am. Ceram. Soc. 2011, 94, 1447–1453. [Google Scholar] [CrossRef]
  9. Zhou, D.; Wang, H.; Pang, L.-X.; Yao, X.; Wu, X.-G. Microwave dielectric characterization of a Li3NbO4 ceramic and its chemical compatibility with silver. J. Am. Ceram. Soc. 2008, 91, 4115–4117. [Google Scholar] [CrossRef]
  10. Ding, Y.; Bian, J. Structural evolution, sintering behavior and microwave dielectric properties of (1− x)Li2TiO3+ xLiF ceramics. Mater. Res. Bull. 2013, 48, 2776–2781. [Google Scholar] [CrossRef]
  11. Wang, F.; Yao, C.F.; Zeng, Q.; Zhou, H.; Zhou, Z.Y. Structures, Dielectric Properties and Luminescence Properties of Nb Doped Li2TiO3 Solid Solution Ceramics//Key Engineering Materials; Trans Tech Publications Ltd.: Freienbach, Switzerland, 2017; Volume 748, pp. 137–142. [Google Scholar]
  12. Hao, Y.Z.; Yang, H.; Chen, G.H.; Zhang, Q.L. Microwave dielectric properties of Li2TiO3 ceramics doped with LiF for LTCC applications. J. Alloy. Compd. 2013, 552, 173–179. [Google Scholar] [CrossRef]
  13. Xu, N.X.; Zhou, J.H.; Yang, H.; Zhang, Q.; Wang, M.; Hu, L. Structural evolution and microwave dielectric properties of MgO–LiF co-doped Li2TiO3 ceramics for LTCC applications. Ceram. Int. 2014, 40, 15191–15198. [Google Scholar] [CrossRef]
  14. Zhang, J.; Yue, Z.; Luo, Y.; Zhang, X.; Li, L. Novel low-firing forsterite-based microwave dielectric for LTCC applications. J. Am. Ceram. Soc. 2016, 99, 1122–1124. [Google Scholar] [CrossRef]
  15. Chu, X.; Jiang, J.; Wang, J.; Wu, Y.; Gan, L.; Zhang, T. A new high-Q× f Li4NbO4F microwave dielectric ceramic for LTCC applications. Ceram. Int. 2021, 47, 4344–4351. [Google Scholar] [CrossRef]
  16. Lou, W.; Song, K.; Hussain, F.; Liu, B.; Bafrooei, H.B.; Lin, H.; Su, W.; Shi, F.; Wang, D. Bond characteristics and microwave dielectric properties of (Li0. 5Ga0. 5)2+ doped Mg2Al4Si5O18 ceramics. Ceram. Int. 2020, 46, 28631–28638. [Google Scholar] [CrossRef]
  17. Tan, Z.; Song, K.; Bafrooei, H.B.; Liu, B.; Wu, J.; Xu, J.; Lin, H.; Wang, D. The effects of TiO2 addition on microwave dielectric properties of Y3MgAl3SiO12 ceramic for 5G application. Ceram. Int. 2020, 46, 15665–15669. [Google Scholar] [CrossRef]
  18. Song, Z.; Song, K.; Liu, B.; Zheng, P.; Bafrooei, H.B.; Su, W.; Lin, H.; Shi, F.; Wang, D.; Reaney, I.M. Temperature-dependent dielectric and Raman spectra and microwave dielectric properties of gehlenite-type Ca2Al2SiO7 ceramics. Int. J. Appl. Ceram. Technol. 2020, 17, 771–777. [Google Scholar] [CrossRef]
  19. Narang, S.B.; Bahel, S. Low loss dielectric ceramics for microwave applications: A review. J. Ceram. Process. Res. 2010, 11, 316–321. [Google Scholar]
  20. Izquierdo, G.; West, A.R. Phase equilibria in the system Li2O-TiO2. Mater. Res. Bull. 1980, 15, 1655–1660. [Google Scholar] [CrossRef]
  21. Mikkelsen, J.C., Jr. Pseudobinary phase relations of Li2Ti3O7. J. Am. Ceram. Soc. 1980, 63, 331–335. [Google Scholar] [CrossRef]
  22. Castellanos, M.; West, A.R. Order-disorder phenomena in oxides with rock salt structures: The system Li2TiO3-MgO. J. Mater. Sci. 1979, 14, 450–454. [Google Scholar] [CrossRef]
  23. Bian, J.J.; Dong, Y.F. New high Qf microwave dielectric ceramics with rock salt structures:(1 − x)Li2TiO3+ xMgO system (0 ≤ x ≤ 0.5). J. Eur. Ceram. Soc. 2010, 30, 325–330. [Google Scholar] [CrossRef]
  24. Bian, J.J.; Dong, Y.F. Sintering behavior, microstructure and microwave dielectric properties of Li2+ xTiO3 (0 ≤ x ≤ 0.2). Mater. Sci. Eng. B 2011, 176, 147–151. [Google Scholar] [CrossRef]
  25. Sebastian, M.T. Dielectric Materials for Wireless Communication; Elsevier: Amsterdam, Netherlands, 2010. [Google Scholar]
  26. Kleykamp, H. Phase equilibria in the Li–Ti–O system and physical properties of Li2TiO3. Fusion Eng. Des. 2002, 61, 361–366. [Google Scholar] [CrossRef]
  27. Penn, S.J.; Alford, N.M.N.; Templeton, A.; Wang, X.; Xu, M.; Reece, M.; Schrapel, K. Effect of porosity and grain size on the microwave dielectric properties of sintered alumina. J. Am. Ceram. Soc. 1997, 80, 1885–1888. [Google Scholar] [CrossRef]
  28. Dai, Q.; Zuo, R.; Xu, Y.; He, L. A novel temperature-stable Ba2-xCaxMgTi5O13 microwave dielectric ceramic. J. Eur. Ceram. Soc. 2020, 40, 376–380. [Google Scholar] [CrossRef]
  29. Xia, W.S.; Yang, F.Y.; Zhang, G.Y.; Han, K.; Guo, D.C. New low-dielectric-loss NiZrNb2O8 ceramics for microwave application. J. Alloy. Compd. 2016, 656, 470–475. [Google Scholar] [CrossRef]
  30. Song, X.Q.; Du, K.; Zhang, X.Z.; Li, J.; Lu, W.Z.; Wang, X.C.; Lei, W. Crystal structure, phase composition and microwave dielectric properties of Ca3MSi2O9 ceramics. J. Alloy. Compd. 2018, 750, 996–1002. [Google Scholar] [CrossRef]
  31. Bafrooei, H.B.; Feizpour, M.; Sayyadi-Shahraki, A.; Song, K.X. High-performance ZnTiNb2O8 microwave dielectric ceramics produced from ZnNb2O6–TiO2 nano powders. J. Alloy. Compd. 2020, 834, 155082. [Google Scholar] [CrossRef]
  32. Cheng, K.; Tang, Y.; Xiang, H.; Li, C.; Fang, L.; Sun, Y. Two novel low permittivity microwave dielectric ceramics Li2TiMO5 (M= Ge, Si) with abnormally positive τf. J. Eur. Ceram. Soc. 2019, 39, 2680–2684. [Google Scholar] [CrossRef]
  33. Pei, C.; Hou, C.; Li, Y.; Yao, G.; Ren, Z.; Liu, P.; Zhang, H. A low εr and temperature-stable Li3Mg2SbO6 microwave dielectric ceramics. J. Alloy. Compd. 2019, 792, 46–49. [Google Scholar] [CrossRef]
  34. Fang, Z.; Tang, B.; Si, F.; Zhang, S. Temperature stable and high-Q microwave dielectric ceramics in the Li2Mg3 − xCaxTiO6 system (x = 0.00–0.18). Ceram. Int. 2017, 43, 1682–1687. [Google Scholar] [CrossRef]
  35. Huang, C.L.; Liu, S.S. Low-loss microwave dielectrics in the (Mg1 − xZnx)2TiO4 ceramics. J. Am. Ceram. Soc. 2008, 91, 3428–3430. [Google Scholar] [CrossRef]
Figure 1. XRD patterns of (1-x)Li2TiO3-xLi4NbO4F ceramics sintered at 1050 °C for 2 h.
Figure 1. XRD patterns of (1-x)Li2TiO3-xLi4NbO4F ceramics sintered at 1050 °C for 2 h.
Crystals 11 00741 g001
Figure 2. Refined XRD pattern of 0.90Li2TiO3-0.10Li4NbO4F ceramics sintered at 1050 °C for 2 h.
Figure 2. Refined XRD pattern of 0.90Li2TiO3-0.10Li4NbO4F ceramics sintered at 1050 °C for 2 h.
Crystals 11 00741 g002
Figure 3. SEM micrographs of (1-x)Li2TiO3-xLi4NbO4F ceramics sintered at 1050 °C. (a) x = 0.05; (b) x = 0.10; (c) x = 0.15; (d) x = 0.20.
Figure 3. SEM micrographs of (1-x)Li2TiO3-xLi4NbO4F ceramics sintered at 1050 °C. (a) x = 0.05; (b) x = 0.10; (c) x = 0.15; (d) x = 0.20.
Crystals 11 00741 g003
Figure 4. SEM micrographs (a) of 0.95Li2TiO3-0.05Li4NbO4F ceramics sintered at 1050 °C for 2 h and corresponding EDS analysis surface scanning of (b) F element, (c) Nb element, (d) Ti element, and (e) O element.
Figure 4. SEM micrographs (a) of 0.95Li2TiO3-0.05Li4NbO4F ceramics sintered at 1050 °C for 2 h and corresponding EDS analysis surface scanning of (b) F element, (c) Nb element, (d) Ti element, and (e) O element.
Crystals 11 00741 g004
Figure 5. SEM micrographs (a) of 0.80Li2TiO3-0.20Li4NbO4F ceramics sintered at 1050 °C for 2 h and corresponding EDS analysis surface scanning of (b) F element, (c) Nb element, (d) Ti element, and (e) O element.
Figure 5. SEM micrographs (a) of 0.80Li2TiO3-0.20Li4NbO4F ceramics sintered at 1050 °C for 2 h and corresponding EDS analysis surface scanning of (b) F element, (c) Nb element, (d) Ti element, and (e) O element.
Crystals 11 00741 g005
Figure 6. Variation of bulk density of (1-x)Li2TiO3-xLi4NbO4F ceramics sintered at 1000–1125 °C for 2 h.
Figure 6. Variation of bulk density of (1-x)Li2TiO3-xLi4NbO4F ceramics sintered at 1000–1125 °C for 2 h.
Crystals 11 00741 g006
Figure 7. Dielectric constant of (1-x)Li2TiO3-xLi4NbO4F ceramics sintered at 1000–1125 °C for 2 h.
Figure 7. Dielectric constant of (1-x)Li2TiO3-xLi4NbO4F ceramics sintered at 1000–1125 °C for 2 h.
Crystals 11 00741 g007
Figure 8. Quality factor of (1-x)Li2TiO3-xLi4NbO4F ceramics sintered at 1000–1125 °C for 2 h.
Figure 8. Quality factor of (1-x)Li2TiO3-xLi4NbO4F ceramics sintered at 1000–1125 °C for 2 h.
Crystals 11 00741 g008
Figure 9. Temperature coefficient of resonant frequency of (1-x)Li2TiO3-xLi4NbO4F ceramics sintered at 1050 °C for 2 h.
Figure 9. Temperature coefficient of resonant frequency of (1-x)Li2TiO3-xLi4NbO4F ceramics sintered at 1050 °C for 2 h.
Crystals 11 00741 g009
Table 1. Refinement parameters of (1-x)Li2TiO3-xLi4NbO4F ceramics sintered at 1050 °C for 2 h.
Table 1. Refinement parameters of (1-x)Li2TiO3-xLi4NbO4F ceramics sintered at 1050 °C for 2 h.
(1-x)Li2TiO3-xLi4NbO4FPhasea (Å)a (Å)a (Å)α (°C)β (°C)γ (°C)V (Å3)wt%Rwp
x = 0.05monoclinic5.070658.778989.7637690100.047790427.96939.069.16
cubic4.148464.148464.1484690909071.39460.94
x = 0.10monoclinic5.083918.888459.7351390100.860990432.03227.0010.5
cubic4.149914.149914.1499190909071.46873.00
x = 0.15monoclinic 6.96
cubic4.151684.151684.1516890909071.560100.00
x = 0.20monoclinic 6.18
cubic4.154764.154764.1547690909071.720100.00
Table 2. Microwave dielectric properties of nonlithium and lithium-based microwave dielectric ceramics.
Table 2. Microwave dielectric properties of nonlithium and lithium-based microwave dielectric ceramics.
MaterialεrQf (GHz)τf (ppm/°C)Sintering
Temperature (°C)
Reference
Ba1.85Ca0.15MgTi5O1329.330,870+2.1 1160 [28]
NiZrNb2O823.7740,280−27.51200[29]
Ca3Sn0.95Ti0.05Si2O911.0742,400−5.1 1325 [30]
ZnTiNb2O835.552,500−601050[31]
0.9Li2TiO3-0.1Li4NbO4F18.761,388+0.91050this work
Li2TiGeO59.4365,300+24.11140 [32]
Li3Mg2SbO610.584,600-9.0 1300 [33]
Li2Mg2.88Ca0.12TiO617.8102,246−0.71280[34]
Publisher’s Note: MDPI stays neutral with regard to jurisdictional claims in published maps and institutional affiliations.

Share and Cite

MDPI and ACS Style

Xu, S.; Jiang, J.; Cheng, Z.; Chen, X.; Sun, S.; Wang, D.; Zhang, T. Temperature Stable, High-Quality Factor Li2TiO3-Li4NbO4F Microwave Dielectric Ceramics. Crystals 2021, 11, 741. https://doi.org/10.3390/cryst11070741

AMA Style

Xu S, Jiang J, Cheng Z, Chen X, Sun S, Wang D, Zhang T. Temperature Stable, High-Quality Factor Li2TiO3-Li4NbO4F Microwave Dielectric Ceramics. Crystals. 2021; 11(7):741. https://doi.org/10.3390/cryst11070741

Chicago/Turabian Style

Xu, Shangrui, Juan Jiang, Zelai Cheng, Xiangyi Chen, Shikuan Sun, Dawei Wang, and Tianjin Zhang. 2021. "Temperature Stable, High-Quality Factor Li2TiO3-Li4NbO4F Microwave Dielectric Ceramics" Crystals 11, no. 7: 741. https://doi.org/10.3390/cryst11070741

APA Style

Xu, S., Jiang, J., Cheng, Z., Chen, X., Sun, S., Wang, D., & Zhang, T. (2021). Temperature Stable, High-Quality Factor Li2TiO3-Li4NbO4F Microwave Dielectric Ceramics. Crystals, 11(7), 741. https://doi.org/10.3390/cryst11070741

Note that from the first issue of 2016, this journal uses article numbers instead of page numbers. See further details here.

Article Metrics

Back to TopTop