Crystal Structure and Solid-State Conformational Analysis of Active Pharmaceutical Ingredient Venetoclax
Abstract
1. Introduction
2. Materials and Methods
2.1. Materials
2.2. Characterization Methods
2.2.1. Attenuated Total Reflection Fourier Transform Infrared (ATR-FTIR) Measurements
2.2.2. Raman Measurements
2.2.3. Differential Scanning Calorimetry (DSC) Measurements
2.2.4. Thermogravimetric Analysis (TGA) Measurements
2.2.5. X-ray Single Crystal Analysis
2.2.6. Powder X-ray Diffraction Analysis
2.3. Synthesis and Characterization of Venetoclax Hydrate
3. Results and Discussion
3.1. Preparation of Venetoclax Hydrate
3.2. Characterization of Venetoclax Hydrate
3.2.1. Infrared Spectral Analysis
3.2.2. Raman Spectral Analysis
3.2.3. Thermal Analyses
3.2.4. Powder X-ray Diffraction Analysis
3.2.5. X-ray Single Crystal Analysis
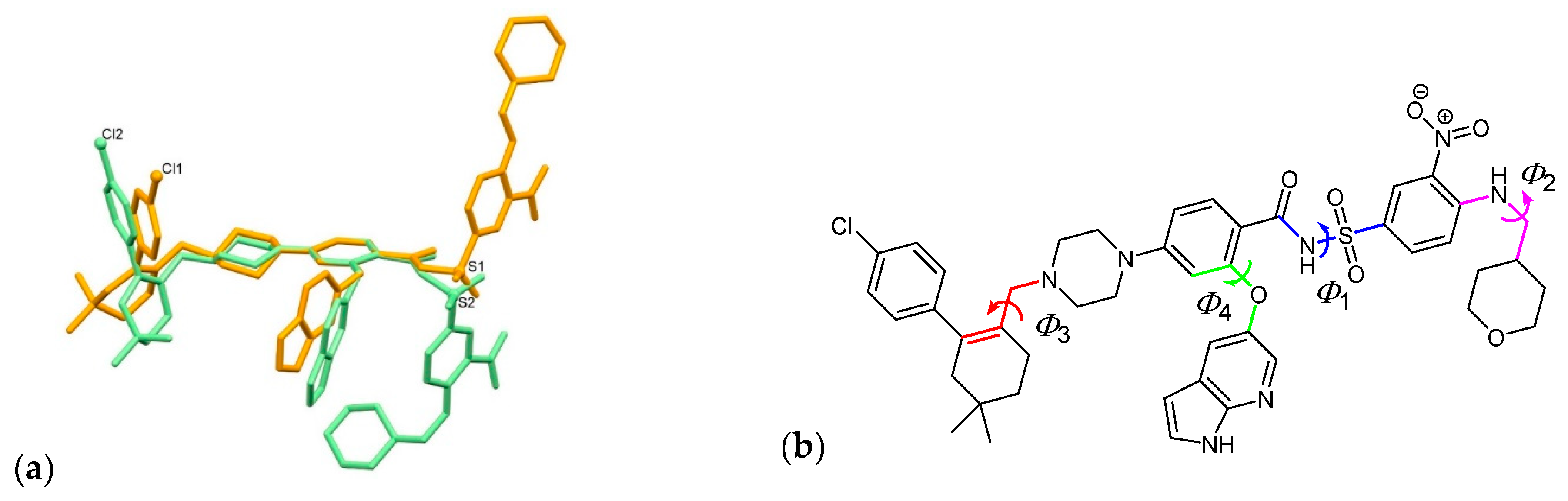
- Molecular Geometry
- Crystal Packing
- Structural comparison between conformations of VEN·H2O and protein:venetoclax complexes
4. Conclusions
Supplementary Materials
Author Contributions
Funding
Data Availability Statement
Acknowledgments
Conflicts of Interest
References
- Lutz, R.J. Role of the BH3 (Bcl-2 homology 3) domain in the regulation of apoptosis and Bcl-2-related proteins. Biochem. Soc. Trans. 2000, 28, 51–56. [Google Scholar] [CrossRef] [PubMed]
- Petch, A.; Al-Rubeai, M. The Bcl-2 family. In Cell Engineering: Apoptosis; Al-Rubeai, M., Fussenegger, M., Eds.; Springer Netherlands: Dordrecht, The Netherlands, 2004; Volume 4, pp. 25–47. ISBN 978-1-4020-2217-3. [Google Scholar] [CrossRef]
- Ku, B.; Liang, C.; Jung, J.U.; Oh, B.H. Evidence that inhibition of BAX activation by BCL-2 involves its tight and preferential interaction with the BH3 domain of BAX. Cell Res. 2011, 21, 627–641. [Google Scholar] [CrossRef] [PubMed]
- García-Sáez, A. The secrets of the Bcl-2 family. Cell Death Differ. 2012, 19, 1733–1740. [Google Scholar] [CrossRef] [PubMed]
- Lopez, J.; Tait, S. Mitochondrial apoptosis: Killing cancer using the enemy within. Br. J. Cancer 2015, 112, 957–962. [Google Scholar] [CrossRef]
- Delbridge, A.R.D.; Strasser, A. The BCL-2 protein family, BH3-mimetics and cancer therapy. Cell Death Differ. 2015, 22, 1071–1080. [Google Scholar] [CrossRef]
- Dai, H.; Meng, X.W.; Kaufmann, S.H. Mitochondrial apoptosis and BH3 mimetics. F1000Research 2016, 5, 2804. [Google Scholar] [CrossRef] [PubMed]
- Mandal, T.; Shin, S.; Aluvila, S.; Chen, H.C.; Grieve, C.; Choe, J.Y.; Cheng, E.H.; Hustedt, E.J.; Oh, K.J. Assembly of Bak homodimers into higher order homooligomers in the mitochondrial apoptotic pore. Sci. Rep. 2016, 6, 30763. [Google Scholar] [CrossRef]
- Delbridge, A.R.D.; Grabow, S.; Strasser, A.; Vaux, D.L. Thirty years of BCL-2: Translating cell death discoveries into novel cancer therapies. Nat. Rev. Cancer 2016, 16, 99–109. [Google Scholar] [CrossRef]
- Adams, J.M.; Cory, S. The BCL-2 arbiters of apoptosis and their growing role as cancer targets. Cell Death Differ. 2018, 25, 27–36. [Google Scholar] [CrossRef]
- Kalkavan, H.; Green, D.R. MOMP, cell suicide as a BCL-2 family business. Cell Death Differ. 2018, 25, 46–55. [Google Scholar] [CrossRef]
- Montero, J.; Letai, A. Why do BCL-2 inhibitors work and where should we use them in the clinic? Cell Death Differ. 2018, 25, 56–64. [Google Scholar] [CrossRef] [PubMed]
- Kale, J.; Osterlund, E.J.; Andrews, D.W. BCL-2 family proteins: Changing partners in the dance towards death. Cell Death Differ. 2018, 25, 65–80. [Google Scholar] [CrossRef] [PubMed]
- Campbell, K.J.; Tait, S.W.G. Targeting BCL-2 regulated apoptosis in cancer. Open Biol. 2018, 8, 180002. [Google Scholar] [CrossRef] [PubMed]
- Ngoi, N.Y.L.; Choong, C.; Lee, J.; Bellot, G.; Wong, A.L.; Goh, B.C.; Pervaiz, S. Targeting mitochondrial apoptosis to overcome treatment resistance in cancer. Cancers 2020, 12, 574. [Google Scholar] [CrossRef] [PubMed]
- Explore BCL-2. Available online: https://www.genentechoncology.com/pathways/cancer-tumor-targets/bcl-2.html (accessed on 1 January 2021).
- Srivastava, R.K.; Sasaki, C.Y.; Hardwick, J.M.; Longo, D.L. Bcl-2–mediated drug resistance: Inhibition of apoptosis by blocking nuclear factor of activated T lymphocytes (Nfat)-induced FAS ligand transcription. J. Exp. Med. 1999, 190, 253–266. [Google Scholar] [CrossRef]
- Reed, J.C. BCL-2: Prevention of apoptosis as a mechanism of drug resistance. Oncol. Clin. N. Am. 1995, 9, 451–473. [Google Scholar] [CrossRef]
- Reed, J.C.; Miyashita, T.; Takayama, S.; Wang, H.-G.; Sato, T.; Krajewski, S.; Aimé-Sempé, C.; Bodrug, S.; Kitada, S.; Hanada, M. BCL-2 family proteins: Regulators of cell death involved in the pathogenesis of cancer and resistance to therapy. J. Cell. Biochem. 1996, 60, 23–32. [Google Scholar] [CrossRef]
- Flemming, A. Reversing resistance. Nat. Rev. Drug. Discov. 2008, 7, 119. [Google Scholar] [CrossRef]
- D’Aguanno, S.; Del Bufalo, D. Inhibition of anti-apoptotic Bcl-2 proteins in preclinical and clinical studies: Current overview in cancer. Cells 2020, 9, 1287. [Google Scholar] [CrossRef]
- Lin, V.S.; Xu, Z.-F.; Huang, D.C.S.; Thijssen, R. BH3 mimetics for the treatment of B-cell malignancies—Insights and lessons from the clinic. Cancers 2020, 12, 3353. [Google Scholar] [CrossRef]
- Liu, Q.; Wang, H.-G. Anti-cancer drug discovery and development. Commun. Integr. Biol. 2012, 5, 557–565. [Google Scholar] [CrossRef] [PubMed]
- Mullard, A. Pioneering apoptosis-targeted cancer drug poised for FDA approval. Nat. Rev. Drug Discov. 2016, 15, 147–149. [Google Scholar] [CrossRef] [PubMed]
- Adams, C.M.; Clark-Garvey, S.; Porcu, P.; Eischen, C.M. Targeting the Bcl-2 family in B cell lymphoma. Front. Oncol. 2019, 8, 636. [Google Scholar] [CrossRef] [PubMed]
- Sillar, J.R.; Enjeti, A.K. Targeting apoptotic pathways in acute myeloid leukaemia. Cancers 2019, 11, 1660. [Google Scholar] [CrossRef]
- Carneiro, B.A.; El-Deiry, W.S. Targeting apoptosis in cancer therapy. Nat. Rev. Clin. Oncol. 2020, 17, 395–417. [Google Scholar] [CrossRef]
- Souers, A.J.; Leverson, J.D.; Boghaert, E.R.; Ackler, S.L.; Catron, N.D.; Chen, J.; Dayton, B.D.; Ding, H.; Enschede, S.H.; Fairbrother, W.J.; et al. ABT-199, a potent and selective BCL-2 inhibitor, achieves antitumor activity while sparing platelets. Nat. Med. 2013, 19, 202–208. [Google Scholar] [CrossRef]
- Deeks, E.D. Venetoclax: First global approval. Drugs 2016, 76, 979–987. [Google Scholar] [CrossRef]
- King, A.C.; Peterson, T.J.; Horvat, T.Z.; Rodriguez, M.; Tang, L.A. Venetoclax: A first-in-class oral BCL-2 Inhibitor for the management of lymphoid malignancies. Ann. Pharmacother. 2017, 51, 410–416. [Google Scholar] [CrossRef]
- Žigart, N.; Časar, Z. A literature review of the patent publications on venetoclax—A selective Bcl-2 inhibitor: Discovering the therapeutic potential of a novel chemotherapeutic agent. Expert Opin. Ther. Pat. 2019, 29, 487–496. [Google Scholar] [CrossRef]
- Korycka-Wolowiec, A.; Wolowiec, D.; Kubiak-Mlonka, A.; Robak, T. Venetoclax in the treatment of chronic lymphocytic leukemia. Expert Opin. Drug Metab. Toxicol. 2019, 15, 353–366. [Google Scholar] [CrossRef]
- Blair, H.A. Venetoclax: A review in previously untreated chronic lymphocytic leukaemia. Drugs 2020, 80, 1973–1980. [Google Scholar] [CrossRef] [PubMed]
- Guerra, V.A.; DiNardo, C.; Konopleva, M. Venetoclax-based therapies for acute myeloid leukemia. Best Pract. Res. Clin. Haematol. 2019, 32, 145–153. [Google Scholar] [CrossRef]
- DiNardo, C.D.; Jonas, B.A.; Pullarkat, V.; Thirman, M.J.; Garcia, J.S.; Wei, A.H.; Konopleva, M.; Döhner, H.; Letai, A.; Fenaux, P.; et al. Azacitidine and venetoclax in previously untreated acute myeloid leukemia. N. Engl. J. Med. 2020, 383, 617–629. [Google Scholar] [CrossRef]
- Venclexta FDA Approval History. Available online: https://www.drugs.com/history/venclexta.html (accessed on 7 February 2021).
- FDA Grants Regular Approval to Venetoclax in Combination for Untreated Acute Myeloid Leukemia. Available online: https://www.fda.gov/drugs/drug-approvals-and-databases/fda-grants-regular-approval-venetoclax-combination-untreated-acute-myeloid-leukemia (accessed on 7 February 2021).
- FDA Approves Venetoclax for CLL or SLL, with or Without 17 p Deletion, After One Prior Therapy. Available online: https://www.fda.gov/drugs/resources-information-approved-drugs/fda-approves-venetoclax-cll-or-sll-or-without-17-p-deletion-after-one-prior-therapy (accessed on 7 February 2021).
- FDA Approves New Drug for Chronic Lymphocytic Leukemia in Patients with a Specific Chromosomal Abnormality. Available online: https://www.fda.gov/news-events/press-announcements/fda-approves-new-drug-chronic-lymphocytic-leukemia-patients-specific-chromosomal-abnormality (accessed on 7 February 2021).
- Clinical Trials Using Venetoclax. Available online: https://www.cancer.gov/about-cancer/treatment/clinical-trials/intervention/Venetoclax (accessed on 7 February 2021).
- Birkinshaw, R.W.; Gong, J.N.; Luo, C.S.; Lio, D.; White, C.A.; Anderson, M.A.; Blombery, P.; Lessene, G.; Majewski, I.J.; Thijssen, R.; et al. Structures of BCL-2 in complex with venetoclax reveal the molecular basis of resistance mutations. Nat. Commun. 2019, 10, 2385. [Google Scholar] [CrossRef]
- Catron, N.D.; Chen, S.; Gong, Y.; Zhang, G.G. Salts and Crystalline Forms of an Apoptosis-Inducing Agent. International Patent Application WO12071336 A1, 31 May 2012. [Google Scholar]
- Potarine Juhasz, Z.; Struba, S.; Nemethne Racz, C.; Toth, Z.G.; Szilagyi, A.; Kerti-Ferenczi, R.; Molnar, S.J.; Pasztor Debreczeni, N.; Hajko, J. Solid State Forms of Venetoclax and Processes for Preparation of Venetoclax. International Patent Application WO17156398 A1, 14 September 2017. [Google Scholar]
- Vadali, L.R.; Gottumukkala, N.; Sangvikar, Y.; Jayachandra, S.B.; Jaldu, R. Polymorphic Forms of Venetoclax. WO19135253 A1, 11 July 2019. [Google Scholar]
- Datta, S.; Grant, D.J.W. Crystal Structures of Drugs: Advances in Determination, Prediction and Engineering. Nat. Rev. Drug Discov. 2004, 3, 42–57. [Google Scholar] [CrossRef] [PubMed]
- Rychkov, D.A.; Arkhipov, S.G.; Boldyreva, E.V. Simple and efficient modifications of well known techniques for reliable growth of high-quality crystals of small bioorganic molecules. J. Appl. Cryst. 2014, 47, 1435–1442. [Google Scholar] [CrossRef]
- Growing Crystals for X-ray Diffraction Analysis. Available online: https://www.jove.com/v/10216/growing-crystals-for-X-ray-diffraction-analysis (accessed on 14 February 2021).
- Brameld, K.A.; Kuhn, B.; Reuter, D.C.; Stahl, M. Small molecule conformational preferences derived from crystal structure data. A medicinal chemistry focused analysis. J. Chem. Inf. Model. 2008, 48, 1–24. [Google Scholar] [CrossRef]
- Groom, C. Small Molecule Crystal Structures in Drug Discovery. In Multifaceted Roles of Crystallography in Modern Drug Discovery. NATO Science for Peace and Security Series A: Chemistry and Biology; Scapin, G., Patel, D., Arnold, E., Eds.; Springer: Dordrecht, The Netherlands, 2015; pp. 107–114. [Google Scholar] [CrossRef]
- Liebeschuetz, J.; Hennemann, J.; Olsson, T.; Groom, C.R. The good, the bad and the twisted: A survey of ligand geometry in protein crystal structures. J. Comput. Aided. Mol. Des. 2012, 26, 169–183. [Google Scholar] [CrossRef]
- Zheng, Y.; Tice, C.M.; Singh, S.B. Conformational control in structure-based drug design. Bioorg. Med. Chem. Lett. 2017, 27, 2825–2837. [Google Scholar] [CrossRef]
- Friedrich, N.-O.; Simsir, M.; Kirchmair, J. How diverse are the protein-bound conformations of small-molecule drugs and cofactors? Front. Chem. 2018, 6, 68. [Google Scholar] [CrossRef] [PubMed]
- Jarvis, A.; Ouvry, G. Essential ingredients for rational drug design. Bioorg. Med. Chem. Lett. 2019, 29, 126674. [Google Scholar] [CrossRef] [PubMed]
- Taylor, R.; Wood, P.A. A million crystal structures: The whole is greater than the sum of its parts. Chem. Rev. 2019, 119, 9427–9477. [Google Scholar] [CrossRef] [PubMed]
- Agilent Technologies Ltd. CrysAlisPro, Version 1.171.36.28; Agilent Technologies: Yarnton, UK, 2013; Available online: https://www.agilent.com/cs/library/usermanuals/Public/CrysAlis_Pro_User_Manual.pdf (accessed on 7 February 2021).
- Sheldrick, G.M. SHELXT—Integrated space-group and crystal-structure determination. Acta Crystallogr. 2015, A71, 3–8. [Google Scholar] [CrossRef] [PubMed]
- Sheldrick, G.M. Crystal structure refinement with SHELXL. Acta Crystallogr. 2015, C71, 3–8. [Google Scholar] [CrossRef]
- Dolomanov, O.V.; Bourhis, L.J.; Gildea, R.J.; Howard, J.A.K.; Puschmann, H. OLEX2: A complete structure solution, refinement and analysis program. J. Appl. Crystallogr. 2009, 42, 339–341. [Google Scholar] [CrossRef]
- Žigart, N.; Črnugelj, M.; Ilaš, J.; Časar, Z. On the stability and degradation pathways of venetoclax under stress conditions. Pharmaceutics 2020, 12, 639. [Google Scholar] [CrossRef]
- Žigart, N.; Časar, Z. Development of a stability-indicating analytical method for determination of venetoclax using AQbD principles. ACS Omega 2020, 5, 17726–17742. [Google Scholar] [CrossRef] [PubMed]
- Bernstein, J.; Davis, R.E.; Shimoni, L.; Chang, N.L. Patterns in hydrogen bonding: Functionality and graph set analysis in crystals. Angew. Chem. Int. Ed. 1995, 34, 1555–1573. [Google Scholar] [CrossRef]













| Parameter | VEN·H2O |
|---|---|
| CCDC number | 2063224 |
| Formula | C45H50ClN7O7S·H2O |
| Mr | 886.44 |
| T (K) | 150.00(10) |
| Crystal system | triclinic |
| Space group | P–1 |
| a (Å) | 12.6058(3) |
| b (Å) | 13.6947(3) |
| c (Å) | 26.0490(6) |
| α (°) | 83.7790(18) |
| β (°) | 87.6244(18) |
| γ (°) | 81.3877(18) |
| Volume (Å3) | 4418.55(17) |
| Z | 4 |
| Dc (g/cm3) | 1.333 |
| μ (mm–1) | 1.714 |
| F(000) | 1872.0 |
| Reflections collected | 34794 |
| Rint | 0.0305 |
| Data/restraints/parameters | 16756/8/1152 |
| R, wR2 [I > 2σ(I)] a | 0.0463, 0.1239 |
| R, wR2 (all data) a | 0.0619, 0.1323 |
| GOF, S b | 1.039 |
| Largest diff. peak/hole / e Å−3 | 1.00/–0.50 |
| D–H⋯A | d(D–H) | d(H⋯A) | d(D⋯A) | <(DHA) |
|---|---|---|---|---|
| N1–H1⋯O7 | 0.833(17) | 1.97(2) | 2.602(2) | 132(2) |
| N3–H3⋯O5 | 0.848(17) | 2.01(2) | 2.636(2) | 130(2) |
| N5–H5⋯N4i | 0.864(17) | 2.041(18) | 2.891(3) | 168(3) |
| C15–H15⋯O13ii | 1.00 | 2.55 | 3.375(3) | 139.3 |
| C27–H27A⋯O4iii | 0.99 | 2.43 | 3.368(3) | 157.1 |
| C29–H29A⋯O6iv | 0.99 | 2.48 | 3.456(3) | 166.9 |
| C29–H29B⋯O16Bii | 0.99 | 2.51 | 3.393(13) | 148.8 |
| C31–H31A⋯O12 | 0.99 | 2.50 | 3.292(3) | 136.8 |
| C31–H31A⋯N9 | 0.99 | 2.61 | 3.310(3) | 128.1 |
| C39–H39⋯O1iii | 0.95 | 2.55 | 3.244(2) | 130.5 |
| C45–H45A⋯O16B | 0.98 | 2.48 | 3.429(14) | 163.8 |
| N8–H8⋯O14 | 0.880(17) | 1.90(2) | 2.650(3) | 141(3) |
| N10–H10⋯O12 | 0.879(18) | 2.05(3) | 2.665(3) | 127(3) |
| N12–H12A⋯O11v | 0.870(17) | 2.25(2) | 3.070(3) | 157(3) |
| C51–H51⋯O16B | 0.95 | 2.47 | 3.328(13) | 150.3 |
| C61–H61B⋯O10vi | 0.99 | 2.58 | 3.330(3) | 132.5 |
| C71–H71⋯O15vii | 0.95 | 2.55 | 3.483(3) | 168.8 |
| O15–H15A⋯O16A | 0.871(10) | 2.18(3) | 2.890(4) | 139(4) |
| O15–H15A⋯O16B | 0.871(10) | 2.03(3) | 2.843(14) | 156(5) |
| O15–H15B⋯O9viii | 0.858(3) | 2.330(2) | 3.170(3) | 166.0(2) |
Publisher’s Note: MDPI stays neutral with regard to jurisdictional claims in published maps and institutional affiliations. |
© 2021 by the authors. Licensee MDPI, Basel, Switzerland. This article is an open access article distributed under the terms and conditions of the Creative Commons Attribution (CC BY) license (http://creativecommons.org/licenses/by/4.0/).
Share and Cite
Perdih, F.; Žigart, N.; Časar, Z. Crystal Structure and Solid-State Conformational Analysis of Active Pharmaceutical Ingredient Venetoclax. Crystals 2021, 11, 261. https://doi.org/10.3390/cryst11030261
Perdih F, Žigart N, Časar Z. Crystal Structure and Solid-State Conformational Analysis of Active Pharmaceutical Ingredient Venetoclax. Crystals. 2021; 11(3):261. https://doi.org/10.3390/cryst11030261
Chicago/Turabian StylePerdih, Franc, Nina Žigart, and Zdenko Časar. 2021. "Crystal Structure and Solid-State Conformational Analysis of Active Pharmaceutical Ingredient Venetoclax" Crystals 11, no. 3: 261. https://doi.org/10.3390/cryst11030261
APA StylePerdih, F., Žigart, N., & Časar, Z. (2021). Crystal Structure and Solid-State Conformational Analysis of Active Pharmaceutical Ingredient Venetoclax. Crystals, 11(3), 261. https://doi.org/10.3390/cryst11030261

