High-Drain Field Impacting Channel-Length Modulation Effect for Nano-Node N-Channel FinFETs
Abstract
1. Introduction
2. Brief Illustration of Device Formation
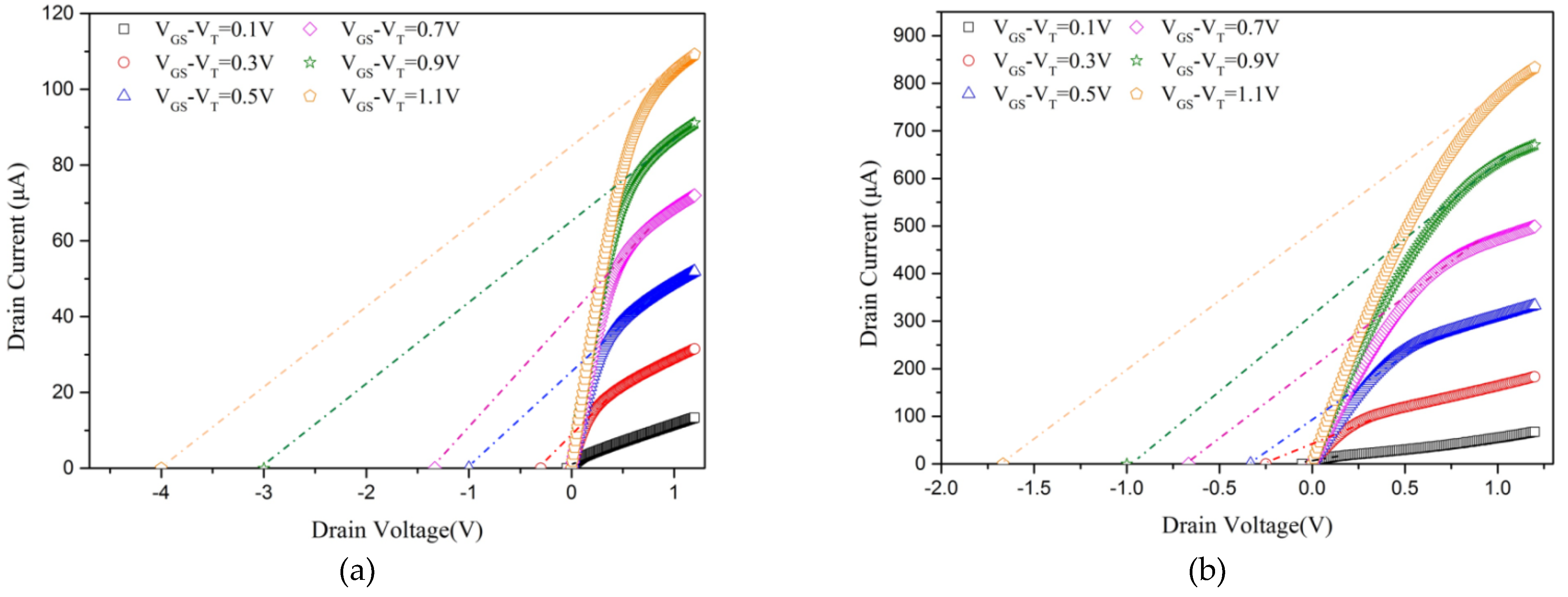
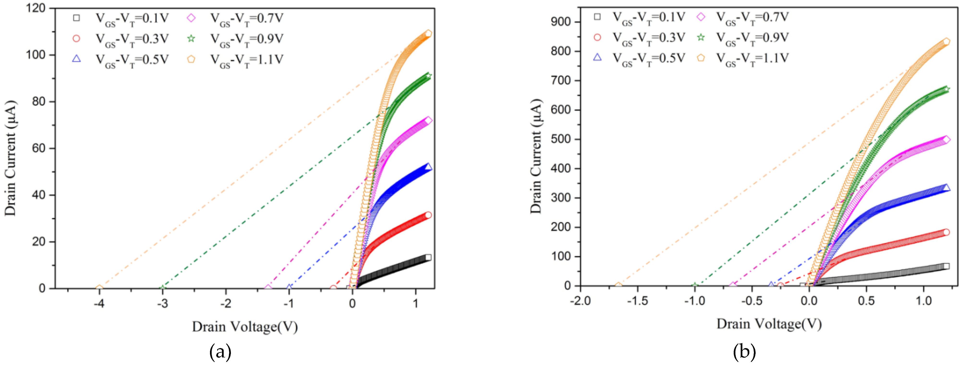
3. Results and Discussion
4. Conclusions
Author Contributions
Funding
Institutional Review Board Statement
Informed Consent Statement
Data Availability Statement
Acknowledgments
Conflicts of Interest
References
- Xiao, H. Introduction to Semiconductor Manufacturing Technology, 2nd ed.; SPIE: Washington, DC, USA, 2012; pp. 1–93. [Google Scholar]
- Dosi, G. Technical Change and Industrial Transformation: The theory and an Application to Semiconductor Industry, 1st ed.; Macmillan Press: London, UK, 1984; pp. 100–200. [Google Scholar]
- Baldauf, T.; Wei, A.; Illgen, R.; Flachowsky, S.; Herrmann, T.; Höntschel, J.; Horstmann, M.; Klix, W.; Stenzel, R. Study of 22/20 nm trigate transistors compatible in a low-cost hybrid FinFET/planar CMOS process. In Proceedings of the IEEE ISDRS, College Park, MD, USA, 7–9 December 2011. [Google Scholar]
- Pham, D.; Larson, L.; Yang, J. FinFET device junction formation challenges. In Proceedings of the IEEE IWJT, Shanghai, China, 15–16 May 2006. [Google Scholar]
- LaPedus, M. Transistor Options beyond 3 nm. Semicond. Eng., Feb. 2018. Available online: https://semiengineering.com/transistor-options-beyond-3nm/ (accessed on 3 January 2021).
- Vidya, S.; Kamat, S.; Khan, A.; Venkatesh, V. 3D FinFET for next generation nano devices. In Proceedings of the IEEE ICCTCT, Coimbatore, Tamil Nadu, India, 1–3 March 2018. [Google Scholar]
- Razavieh, A.; Zeitzoff, P.; Nowak, E. Challenges and limitations of CMOS scaling for FinFET and beyond architectures. IEEE Trans. Nanotech. 2019, 18, 999–1004. [Google Scholar] [CrossRef]
- Hisamoto, D.; Lee, W.C.; Kedzierski, J.; Takeuchi, H.; Asano, K.; Kuo, C.; Anderson, E.; King, T.J.; Bokor, J.; Hu, C. FinFET-a self-aligned double-gate MOSFET scalable to 20 nm. IEEE Trans. Electron Dev. 2000, 47, 2320–2325. [Google Scholar]
- Wong, H.S.P.; Chan, K.K.; Taur, Y. Self-aligned (top and bottom) double-gate MOSFET with a 25 nm thick silicon channel. In Proceedings of the IEEE IEDM, Washington, DC, USA, 10 December 1997. [Google Scholar]
- El-Mamouni, F.; Zhang, E.X.; Ball, D.R.; Sierawski, B.; King, M.P.; Schrimpf, R.D.; Reed, R.A.; Alles, M.L.; Fleetwood, D.M.; Linten, D.; et al. Heavy-ion-induced current transients in bulk and SOI FinFETs. IEEE Trans. Nucl. Sci. 2012, 59, 2674–2681. [Google Scholar] [CrossRef]
- Li, Y.; Hwang, C.H. Effect of fin angle on electrical characteristics of nanoscale round-top-gate bulk FinFETs. IEEE Trans. Electron Dev. 2007, 54, 3426–3429. [Google Scholar] [CrossRef]
- Han, M.H.; Chang, C.Y.; Chen, H.B.; Cheng, Y.C.; Wu, Y.C. Device and circuit performance estimation of junctionless bulk FinFETs. IEEE Trans. Electron Dev. 2013, 60, 1807–1813. [Google Scholar] [CrossRef]
- Mittl, S.; Guarín, F. Self-heating and its implications on hot carrier reliability evaluations. In Proceedings of the IEEE IRPS, Monterey, CA, USA, 19–23 April 2015. [Google Scholar]
- Poljak, M.; Jovanovic, V.; Suligoj, T. SOI vs. bulk FinFET: Body doping and corner effects influence on device characteristics. In Proceedings of the IEEE MELECON, Ajaccio, France, 5–7 May 2008. [Google Scholar]
- Aziz, M.N.I.A.; Salehuddin, F.; Mohd Zain, A.S.; Kaharudin, K.E.; Radzi, S.A. Comparison of electrical characteristics between bulk MOSFET and silicon-on-insulator (SOI) MOSFET. J. Telecom. Electron. Comp. Eng. 2014, 6, 45–49. [Google Scholar]
- Krivec, S.; Prgić, H.; Poljak, M.; Suligoj, T. Comparison of RF performance between 20 nm-gate bulk and SOI FinFET. In Proceedings of the IEEE MIPRO, Opatija, Croatia, 26–30 May 2014. [Google Scholar]
- Ernst, T.; Tinell, C.; Raynaud, C.; Cristoloveanu, S. Fringing fields in sub-0.1 μm fully depleted SOI MOSFETs: Optimization of the device architecture. Solid State Electron. 2002, 46, 373–378. [Google Scholar] [CrossRef]
- Cristoloveanu, S. Silicon on insulator technologies and devices: From present to future. Solid State Electron. 2001, 45, 1403–1411. [Google Scholar] [CrossRef]
- Deshmukh, R.; Khanzode, A.; Kakde, S.; Shah, N. Compairing FinFETs: SOI vs. Bulk: Process variability, process cost, and device performance. In Proceedings of the IEEE IC4, Indore, India, 10–12 September 2015. [Google Scholar]
- Godara, M.; Madhu, C.; Joshi, G. Comparison of electrical characteristics of 28 nm bulk MOSFET and FDSOI MOSFET. In Proceedings of the IEEE EDKCON, Kolkata, India, 24–25 November 2018. [Google Scholar]
- Lederer, D.; Kilchytska, V.; Rudenko, T.; Collaert, N.; Flandre, D.; Dixit, A.; De Meyer, K.; Raskin, J.-P. FinFET analogue characterization from DC to 110 GHz. Solid State Electron. 2005, 49, 1488–1496. [Google Scholar] [CrossRef]
- Crupi, G.; Schreurs, D.M.M.-P.; Caddemi, A.; Angelov, I.; Homayouni, M.; Raffo, A.; Vannini, G.; Parvais, B. Purely analytical extraction of an improved nonlinear FinFET model including non-quasi-static effects. Microelectron. Eng. 2009, 86, 2283–2289. [Google Scholar] [CrossRef]
- Raskin, J.P.; Pailloncy, G.; Lederer, D.; Danneville, F.; Dambrine, G.; Decoutere, S.; Mercha, A.; Parvais, B. High-frequency noise performance of 60-nm gate-length FinFETs. IEEE Trans. Electron Dev. 2008, 55, 2718–2727. [Google Scholar] [CrossRef]
- Crupi, G.; Caddemi, A.; Schreurs, D.M.M.-P.; Wiatr, W.; Mercha, A. Microwave noise modeling of FinFETs. Solid State Electron. 2011, 56, 18–22. [Google Scholar] [CrossRef]
- Neamen, D.A. An Introduction to Semiconductor Devices, 1st ed.; McGraw-Hill: New York, NY, USA, 2006; pp. 223–357. [Google Scholar]
- Lee, W.D.; Wang, M.C.; Wang, S.J.; Lan, W.H.; Li, C.W.; Yang, B.W. Modification of Early effect for 28-nm nMOSFETs deposited with HfZrOx dielectric after DPN process accompanying nitrogen concentrations. IEEE Trans. Plasma Sci. 2014, 42, 3747–3750. [Google Scholar] [CrossRef]
- Yang, H.C.; Du, C.K.; Liao, W.S.; Jhang, J.Z.; Lee, Y.H.; Chen, T.Y.; Liao, K.F.; Wang, M.C.; Chi, S.; Wang, S.J. The side effects on n-type FinFET device. In Proceedings of the IEEE INEC, Singapore, 2–4 January 2013. [Google Scholar]
- Streetman, B.G. , Banerjee, S.K. Solid State Electronic Devices, 7th ed.; Pearson: Hoboken, NJ, USA, 2016; pp. 280–350. [Google Scholar]
- Hu, C. Modern Semiconductor Devices for Integrated Circuits, 1st ed.; Pearson: Hoboken, NJ, USA, 2010; pp. 175–307. [Google Scholar]
- Shang, H.; Chang, L.; Wang, X.; Rooks, M.; Zhang, Y.; To, B.; Babich, K.; Totir, G.; Sun, Y.; Kiewra, E.; et al. Investigation of FinFET devices for 32 nm technologies and beyond. In Proceedings of the IEEE VLSIT, Honolulu, HI, USA, 13–15 January 2006. [Google Scholar]
- Wangm, X.; Bryantm, A.; Dokumacim, O.; Oldigesm, P.; Haenschm, W. Simulation study of multiple fin FinFET design for 32 nm technology node and beyond. In Simulation of Semiconductor Processes and Devices 2007; Springer: Vienna, Austria, 2007. [Google Scholar] [CrossRef]
- Avushyan, S.; Petrosyan, K.; Kaplanyan, T.; Shaljyan, D.; Mikaelyan, L.; Shukhyan, N.; Momjyan, A. Current scaling of multi-fin devices in FinFET process. In Proceedings of the IEEE ELNANO, Kyiv, Ukraine, 16–18 April 2019. [Google Scholar]
- Yeh, W.; Zhang, W.; Chen, P.; Yang, Y. The impact of fin number on device performance and reliability for multi-fin tri-gate n- and p-type FinFET. IEEE Trans. Dev. Mater. Reliab. 2018, 18, 555–560. [Google Scholar] [CrossRef]
- Wang, F.; Xie, Y.; Bernstein, K.; Luo, Y. Dependability analysis of nano-scale FinFET circuits. In Proceedings of the IEEE ISVLSI, Karlsruhe, Germany, 2–3 March 2006. [Google Scholar]
- Lu, D.; Dunga, M.; Niknejad, A.; Hu, C.; Liang, F.; Hung, W.; Lee, J.; Hsu, C.; Chiang, M. Compact device models for FinFET and beyond. In Proceedings of the AWAD, Kitakyushu, Japan, 2–4 July 2018; Available online: http://arXiv:2005.02580 (accessed on 3 January 2021).
- Chauhan, Y.; Lu, D.; Vanugopalan, S.; Khandelwal, S.; Duarte, J.; Paydavosi, N.; Niknejad, A.; Hu, C. FinFET Modeling for IC Simulation and Design, 1st ed.; Academic Press: Cambridge, MA, USA, 2015; pp. 72–96. [Google Scholar] [CrossRef]
- Kim, S.; Kim, J.; Jang, D.; Ritzenthaler, R.; Parvais, B.; Mitard, J.; Mertens, H.; Chiarella, T.; Horiguchi, N.; Lee, J. Comparison of temperature dependent carrier transport in FinFET and gate-all-around nanowire FET. Appl. Sci. 2020, 10, 2979. [Google Scholar] [CrossRef]
- Khan, T.E.A.; Sheena, S.; Hameed, T.A.S. An investigation on the effect of LER on threshold voltage and On Current of SOI, bulk and GAA FinFETs. In Proceedings of the IEEE ICETIETR, Ernakulam, India, 11–13 July 2018. [Google Scholar]
- Liao, W.S. A high aspect ratio Si-fin FinFET fabricated with 193 nm scanner photolithography and thermal oxide hard mask etching techniques. In Proceedings of the SPIE 6156, San Jose, CA, USA, 14 March 2006. [Google Scholar]
- Liao, W.S.; Liaw, Y.G.; Tang, M.C.; Chakraborty, S.; Liu, C.W. Investigation of reliability characteristics in NMOS and PMOS FinFETs. IEEE Electron Dev. Lett. 2008, 29, 788–790. [Google Scholar] [CrossRef]
- Liaw, Y.G.; Liao, W.S.; Wang, M.C.; Lin, C.L.; Zhou, B.; Gu, H.; Li, D.; Zou, X. A high aspect ratio silicon-fin FinFET fabricated upon SOI wafer. Solid State Electron. 2016, 126, 46–50. [Google Scholar] [CrossRef]
- Han, J.W.; Lee, C.H.; Park, D.; Choi, Y.K. Parasitic S/D resistance effects on hot-carrier reliability in body-tied FinFETs. IEEE Electron Dev. Lett. 2006, 27, 514–516. [Google Scholar]
- Elgomati, H.A.; Majlis, B.Y.; Salehuddin, F.; Ahmad, I.; Zaharim, A.; Hamid, F.A. Cobalt silicide and titanium silicide effects on nano devices. In Proceedings of the IEEE RSM, Kota Kinabalu, Malaysia, 28–30 September 2011. [Google Scholar]
- Xu, Q.; Xiong, W.; Wang, G.; Ye, T. Stressor SiNx contact etch stop layer (CESL) technology and its application in nano-scale transistors. J. Mater. Sci.: Mater. Electron. 2020, 31, 10078–10083. [Google Scholar] [CrossRef]
- Dash, T.; Dey, S.; Das, S.; Mohapatra, E.; Jena, J.; Maiti, C. Strain-engineering in nanowire field-effect transistors at 3 nm technology node. Phys. E Low dim. Syst. Nanostr. 2020, 118, 113964. [Google Scholar] [CrossRef]
- Voisin, S.; Knopik, V.; Forest, J.; Kerhervé, E. A 65 nm CMOS SOI 4-bit digitally controlled variable gain amplifier for Ka-band beamforming. In Proceedings of the IEEE EuMIC, Utrecht, Netherlands, 10–15 January 2021. [Google Scholar]
- Shauly, E.N. Physical, electrical, and reliability considerations for copper BEOL layout design rules. J. Low Power Electron. Appl. 2018, 8, 20. [Google Scholar] [CrossRef]
- Fiori, G.G.; Iannaccone, G. The effect of quantum confinement and discrete dopants in nanoscale 50 nm nMOSFETs: A three-dimensional simulation. Nanotechnology 2002, 13, 294–297. [Google Scholar] [CrossRef]
- Schulz, T.; Xiong, W.; Cleavelin, C.R.; Schruefer, K.; Gostkowski, M.; Matthews, K.; Gebara, G.; Zaman, R.J.; Patruno, P.; Chaudhry, A.; et al. Fin thickness asymmetry effects in multiple-gate SOI FETs (MuGFETs). In Proceedings of the IEEE SOI, Honolulu, HI, USA, 3–6 October 2005. [Google Scholar]
- Chen, M.; Wu, C.; Hou, Y.; Chen, Y.; Lin, C.H.; Lin, C.Y.; Wu, B.; Yeh, W. A Si-based bulk FinFET by novel etching process with mask-less and photoresist-free lithography technique. Int. J. Nanotech. 2015, 12, 87. [Google Scholar] [CrossRef]
- Shamiry, D.; Redolfi, A.; Boullart, W. Dry etching process for bulk FinFET manufacturing. Microelectron. Eng. 2009, 86, 96–98. [Google Scholar] [CrossRef]
- Wang, L.; Brown, A.R.; Nedjalkov, M.; Alexander, C.; Cheng, B.; Millar, C.; Asenov, A. Impact of Self-Heating on the Statistical Variability in Bulk and SOI FinFETs. IEEE Trans. Electron Dev. 2015, 62, 2106–2112. [Google Scholar] [CrossRef]
- Rezali, F.A.M.; Othman, N.A.F.; Mazhar, M.; Hatta, S.W.M.; Soin, N. Performance and device design based on geometry and process considerations for 14/16-nm Strained FinFETs. IEEE Trans. Electron Dev. 2016, 63, 974–981. [Google Scholar] [CrossRef]
- Qin, C.L.; Wang, G.; Kolahdouz, M.; Luo, J.; Yin, H.; Yang, P.; Li, J.; Zhu, H.; Chao, Z.; Ye, T.; et al. Impact of pattern dependency of SiGe layers grown selectively in source/drain on the performance of 14 nm node FinFETs. Solid State Electron. 2016, 124, 10–15. [Google Scholar] [CrossRef]
- Park, J.; Yun, D.H.; Choi, Y.K. Curing of hot-carrier induced damage by gate-induced drain leakage current in gate-all-around FETs. IEEE Electron Dev. Lett. 2019, 40, 1909–1912. [Google Scholar] [CrossRef]
- Shimanovich, K.; Mutsafi, Z.; Shach-Caplan, M.; Pikhay, E.; Roizin, Y.; Rosenwaks, Y. Efficient temperature sensor based on SOI gate-all-around electrostatically formed nanowire transistor. IEEE Trans. Electron Dev. 2019, 66, 3549–3553. [Google Scholar] [CrossRef]
- Shen, C.H.; Chen, W.Y.; Lee, S.Y.; Kuo, P.Y.; Chao, T.S. Nitride induced stress affecting crystallinity of sidewall damascene gate-all-around nanowire poly-Si FETs. IEEE Trans. Nanotech. 2020, 19, 322–327. [Google Scholar] [CrossRef]
- Seon, Y.; Chang, J.; Yoo, C.; Jeon, J. Device and circuit exploration of multi-nanosheet transistor for sub-3 nm technology node. Electronics 2021, 10, 180. [Google Scholar] [CrossRef]












| W/L (μm/μm) | 0.12/0.10 | 0.12/0.24 | 0.12/0.50 |
|---|---|---|---|
| λ | −6.0893 | −0.15 | −0.5492 |
| β | 20.023 | 0.375 | 1.7857 |
| W/L(μm/μm) | 0.12/0.10 | 0.12/0.24 | 0.12/0.50 |
|---|---|---|---|
| λ | −9.1018 | −0.5778 | −0.4222 |
| β | 26.632 | 0.9998 | 1.1667 |
| W/L(μm/μm) | 0.12/0.10 | 0.12/0.24 | 0.12/0.50 |
|---|---|---|---|
| λ | −0.6019 | −0.2611 | −0.3319 |
| β | 0.3175 | 0.1667 | 2.083 |
| W/L(μm/μm) | 0.12/0.10 | 0.12/0.24 | 0.12/0.50 |
|---|---|---|---|
| λ | −1.4767 | −0.2897 | −4.0787 |
| β | 0.7515 | 0.1190 | 2.4963 |
Publisher’s Note: MDPI stays neutral with regard to jurisdictional claims in published maps and institutional affiliations. |
© 2021 by the authors. Licensee MDPI, Basel, Switzerland. This article is an open access article distributed under the terms and conditions of the Creative Commons Attribution (CC BY) license (http://creativecommons.org/licenses/by/4.0/).
Share and Cite
Wang, M.-C.; Hsieh, W.-C.; Lin, C.-R.; Chu, W.-L.; Liao, W.-S.; Lan, W.-H. High-Drain Field Impacting Channel-Length Modulation Effect for Nano-Node N-Channel FinFETs. Crystals 2021, 11, 262. https://doi.org/10.3390/cryst11030262
Wang M-C, Hsieh W-C, Lin C-R, Chu W-L, Liao W-S, Lan W-H. High-Drain Field Impacting Channel-Length Modulation Effect for Nano-Node N-Channel FinFETs. Crystals. 2021; 11(3):262. https://doi.org/10.3390/cryst11030262
Chicago/Turabian StyleWang, Mu-Chun, Wen-Ching Hsieh, Chii-Ruey Lin, Wei-Lun Chu, Wen-Shiang Liao, and Wen-How Lan. 2021. "High-Drain Field Impacting Channel-Length Modulation Effect for Nano-Node N-Channel FinFETs" Crystals 11, no. 3: 262. https://doi.org/10.3390/cryst11030262
APA StyleWang, M.-C., Hsieh, W.-C., Lin, C.-R., Chu, W.-L., Liao, W.-S., & Lan, W.-H. (2021). High-Drain Field Impacting Channel-Length Modulation Effect for Nano-Node N-Channel FinFETs. Crystals, 11(3), 262. https://doi.org/10.3390/cryst11030262

