Comparison of the Isotopic Composition of Silicon Crystals Highly Enriched in 28Si
Abstract
1. Introduction
2. Theoretical Background
3. Materials and Experimental Methods
4. Results and Discussion
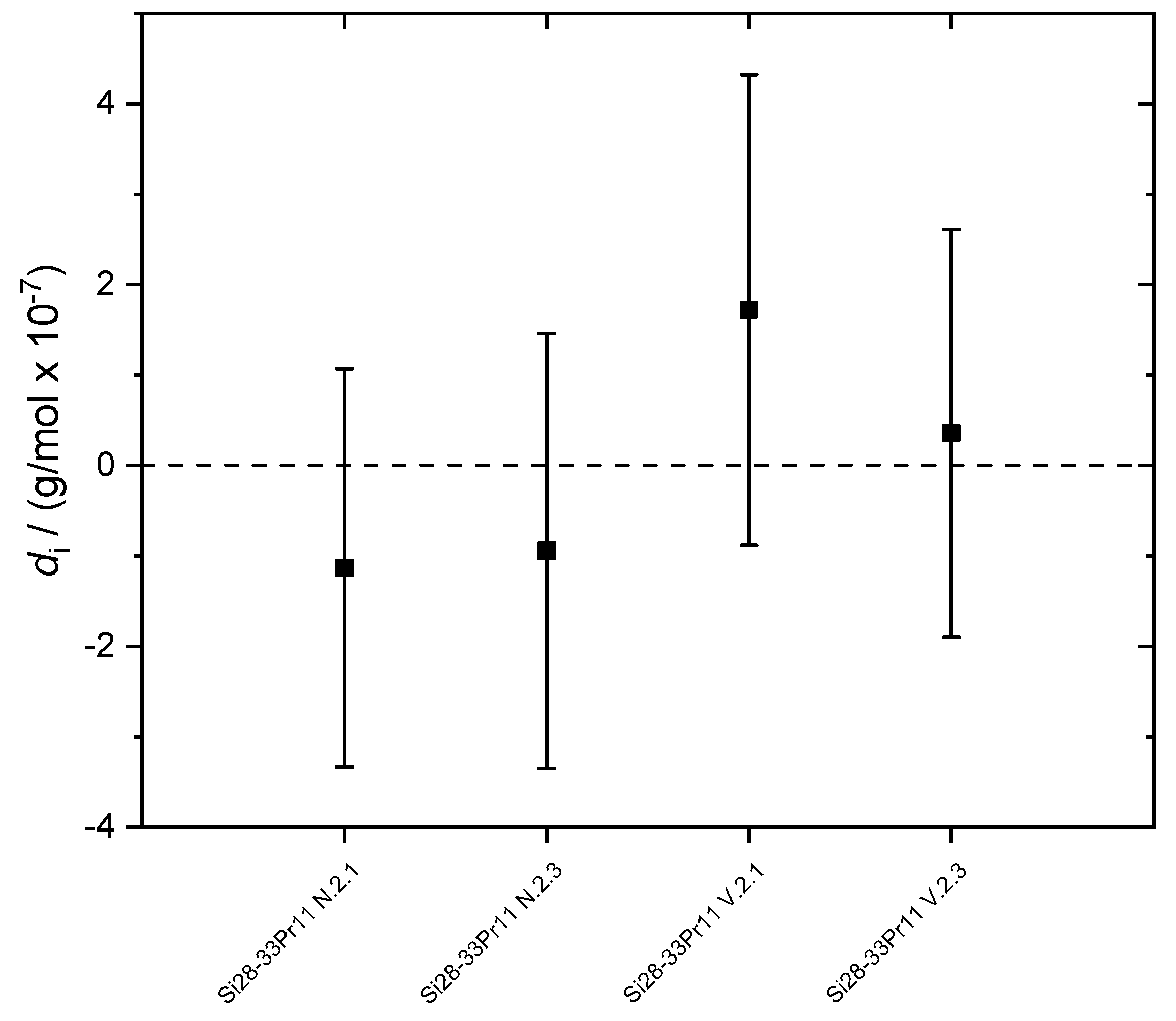
4.1. Molar Mass of Si28-33Pr11
4.2. Comparison of the Available Highly Enriched Silicon Crystals
5. Conclusions
Supplementary Materials
Author Contributions
Funding
Acknowledgments
Conflicts of Interest
References
- Deslattes, R.D.; Henins, A.; Bowman, H.A.; Schoonover, R.M.; Carroll, C.L.; Barnes, I.L.; Machlan, L.A.; Moore, L.J.; Shields, W.R. Determination of the Avogadro-Constant. Phys. Rev. Lett. 1974, 33, 463–466. [Google Scholar] [CrossRef]
- Deslattes, R.D.; Henins, A.; Schoonover, R.M.; Carroll, C.L.; Bowman, H.A. Avogadro-Constant-Corrections to an Earlier Report. Phys. Rev. Lett. 1976, 36, 898–900. [Google Scholar] [CrossRef]
- Becker, P. History and progress in the accurate determination of the Avogadro constant. Rep. Prog. Phys. 2001, 64, 1945–2008. [Google Scholar] [CrossRef]
- Cerofolini, G.F.; Meda, L. Physical Chemistry of, in, and on Silicon; Springer: Berlin/Heidelberg, Germany, 1989. [Google Scholar]
- Fujii, K.; Bettin, H.; Becker, P.; Massa, E.; Rienitz, O.; Pramann, A.; Nicolaus, A.; Kuramoto, N.; Busch, I.; Borys, M. Realization of the kilogram by the XRCD method. Metrologia 2016, 53, A19–A45. [Google Scholar] [CrossRef]
- Knopf, D.; Wiedenhöfer, T.; Lehrmann, K.; Härtig, F. A quantum on a scale? Dissemination of the quantum based kilogram. Metrologia 2019, 56, 1–9. [Google Scholar] [CrossRef]
- Liebisch, T.C.; Stenger, J.; Ullrich, J. Understanding the Revised SI: Background, Consequences, and Perspectives. Ann. Phys. 2019, 531, 1800339. [Google Scholar] [CrossRef]
- Newell, D.B. The CODATA 2017 values of h, e, k, and NA for the revision of the SI. Metrologia 2018, 55, L13–L16. [Google Scholar] [CrossRef]
- Robinson, I.A.; Schlamminger, S. The watt or Kibble balance: A technique for implementing the new SI definition of the unit of mass. Metrologia 2016, 53, A46–A74. [Google Scholar] [CrossRef]
- Wang, M.; Audi, G.; Kondev, F.G.; Huang, W.J.; Naimi, S.; Xu, X. The AME2016 atomic mass evaluation. Chin. Phys. C 2017, 41, 030003. [Google Scholar] [CrossRef]
- Güttler, B.; Rienitz, O.; Pramann, A. The Avogadro Constant for the Definition and Realization of the Mole. Ann. Phys. 2018, 531, 1800292. [Google Scholar]
- Abrosimov, N.V.; Aref’Ev, D.G.; Becker, P.; Bettin, H.; Bulanov, A.D.; Churbanov, M.F.; Filimonov, S.V.; Gavva, V.A.; Godisov, O.N.; Gusev, A.V.; et al. A new generation of 99.999% enriched 28Si single crystals for the determination of Avogadro’s constant. Metrologia 2017, 54, 599–609. [Google Scholar] [CrossRef]
- BIPM; IEC; IFCC; ILAC; ISO; IUPAC; IUPAP; OIML. JCGM 100:2008. Evaluation of Measurement Data−Guide to the Expression of Uncertainty in Measurement. 2008. Available online: https://www.bipm.org/utils/common/documents/jcgm/JCGM_100_2008_E.pdf (accessed on 8 June 2020).
- Rienitz, O.; Pramann, A.; Schiel, D. Novel concept for the mass spectrometric determination of absolute isotopic abundances with improved measurement uncertainty: Part 1-theoretical derivation and feasibility study. Int. J. Mass Spectrom. 2010, 289, 47–53. [Google Scholar] [CrossRef]
- Mana, G.; Rienitz, O. The calibration of Si isotope-ratio measurements. Int. J. Mass Spectrom. 2010, 291, 55–60. [Google Scholar] [CrossRef]
- Pramann, A.; Rienitz, O.; Schiel, D.; Güttler, B.; Valkiers, S. Novel concept for the mass spectrometric determination of absolute isotopic abundances with improved measurement uncertainty: Part 3-Molar mass of silicon highly enriched in 28Si. Int. J. Mass Spectrom. 2011, 305, 58–68. [Google Scholar] [CrossRef]
- Yang, L.; Mester, Z.; Sturgeon, R.E.; Meija, J. Determination of the Atomic Weight of 28Si-Enriched Silicon for a Revised Estimate of the Avogadro Constant. Anal. Chem. 2012, 84, 2321–2327. [Google Scholar] [CrossRef]
- Narukawa, T.; Hioki, A.; Kuramoto, N.; Fujii, K. Molar-mass Measurement of a 28Si-enriched silicon crystal for determination of the Avogadro constant. Metrologia 2014, 51, 161–168. [Google Scholar] [CrossRef]
- Vocke, R.D., Jr.; Rabb, S.A.; Turk, G.C. 2014 Absolute silicon molar mass measurements, the Avogadro constant and the redefinition of the kilogram. Metrologia 2014, 51, 361–375. [Google Scholar] [CrossRef]
- Ren, T.; Wang, J.; Zhou, T.; Lu, H.; Zhou, Y.-j. Measurement of the molar mass of the 28Si-enriched silicon crystal (AVO28) with HR-ICP-MS. J. Anal. At. Spectrom. 2015, 30, 2449–2458. [Google Scholar] [CrossRef]
- Pramann, A.; Narukawa, T.; Rienitz, O. Determination of the isotopic composition and molar mass of a new ‘Avogadro’ crystal: Homogeneity and enrichment-related uncertainty reduction. Metrologia 2017, 54, 738–747. [Google Scholar] [CrossRef]
- Pramann, A.; Rienitz, O. The molar mass of a new enriched silicon crystal: Maintaining the realization and dissemination of the kilogram and mole in the new SI. Eur. Phys. J. Appl. Phys. 2019, 88, 20904. [Google Scholar] [CrossRef]
- Pramann, A.; Rienitz, O.; Schiel, D.; Güttler, B. Novel concept for the mass spectrometric determination of absolute isotopic abundances with improved measurement uncertainty: Part 2–Development of an experimental procedure for the determination of the molar mass of silicon using MC-ICP-MS. Int. J. Mass Spectrom. 2011, 299, 78–86. [Google Scholar] [CrossRef]
- Pramann, A.; Lee, K.-S.; Noordmann, J.; Rienitz, O. Probing the homogeneity of the isotopic composition and molar mass of the ‘Avogadro’-crystal. Metrologia 2015, 52, 800–810. [Google Scholar] [CrossRef]






| Argon gas (cooling, auxiliary, sample)/L min−1 | 16, 0.8, 0.9…1.2 |
| power (radio frequency)/W | 1175 |
| torch, bonnet | sapphire |
| nebulizer (PFA 1; flow rate/µL min−1) | 50 |
| spray chamber (PFA 1, PEEK 2) | cyclonic/Scott |
| sampler, skimmer (orifice/mm) | nickel (1.1), nickel (0.8; XT type) |
| mass resolution M/∆M | 8000 (high resolution) |
| slit size/µm | 25 |
| autosampler | CETAC ASX 110 FR |
| Faraday detectors | C, H3 |
| operation mode | static |
| virtual amplifier™ | left rotation |
| integration time/s | 4 |
| number of integrations (cycles) per block | 1 (3) |
| number of blocks | 6 |
| Sample | M | x(28Si) | x(29Si) | x(30Si) |
|---|---|---|---|---|
| g mol−1 | mol/mol | mol/mol | mol/mol | |
| ×10−5 | ×10−7 | |||
| N.2.1 | 27.976 950 371 (71) | 0.999 976 461 (64) | 2.3232 (60) | 3.07 (17) |
| N.2.3 | 27.976 950 390 (86) | 0.999 976 266 (85) | 2.3602 (85) | 1.312 (47) |
| V.2.1 | 27.976 950 655 (99) | 0.999 976 061 (98) | 2.3747 (96) | 1.926 (86) |
| V.2.3 | 27.976 950 519 (76) | 0.999 976 161 (74) | 2.3683 (74) | 1.562 (74) |
| average | 27.976 950 484 (84) | 0.999 976 237 (81) | 2.3566 (80) | 1.97 (10) |
| Quantity | Unit | Best Estimate (Value) | Standard Uncertainty | Sensitivity Coefficient | Index |
|---|---|---|---|---|---|
| Xi | [Xi] | xi | u(xi) | ci | |
| M(28Si) | g/mol | 27.976926534940 | 540 × 10−12 | 1.0 | 0.0% |
| myx | g | 5.611000 × 10−6 | 704 × 10−12 | 4.2 | 0.0% |
| mx | g | 0.062474995 | 569 × 10−9 | −380 × 10−6 | 0.0% |
| M(29Si) | g/mol | 28.976494669090 | 610 × 10−12 | 23 × 10−6 | 0.0% |
| M(30Si) | g/mol | 29.9737701360 | 27.0 × 10−9 | −560 × 10−9 | 0.0% |
| Ry,3 | mol/mol | 1.5855 | 0.0222 | −81 × 10−9 | 0.1% |
| Ry,2 | mol/mol | 269.04 | 5.65 | 2.0 × 10−9 | 1.4% |
| V/V | 0.010380 | 686 × 10−6 | 50 × 10−6 | 13.0% | |
| V/V | 3.7540 | 0.0116 | −6.4 × 10−6 | 60.9% | |
| Rw,2 | mol/mol | 0.66230 | 1.32 × 10−3 | −36 × 10−6 | 24.5% |
| V/V | 0.7028500 | 73.8 × 10−6 | 33 × 10−6 | 0.0% | |
| Y | [Y] | y | uc(y) | ||
| M | g/mol | 27.9769502183 | 95.1 × 10−9 |
| Crystal | M | x(28Si) | x(29Si) | x(30Si) | Year | Ref |
|---|---|---|---|---|---|---|
| Si28- | g mol−1 | mol/mol | mol/mol | mol/mol | ||
| ×10−5 | ×10−7 | |||||
| 10Pr11 | 27.976 970 12 (12) | 0.999 957 52 (12) | 4.136 (11) | 11.21 (14) | 2015 | [24] |
| 23Pr11 | 27.976 942 666 (40) | 0.999 984 470 (39) | 1.492 1 (38) | 6.095 (48) | 2017 | [21] |
| 24Pr11 | 27.976 933 787 (77) | 0.999 993 104 (66) | 0.653 6 (51) | 3.60 (17) | 2019 | [22] |
| 31Pr11 | 27.976 941 260 (42) | 0.999 985 501 (40) | 1.426 4 (39) | 2.338 (75) | 2018 | 1 |
| 33Pr11 | 27.976 950 48 (16) | 0.999 976 24 (19) | 2.357 (24) | 1.97 (78) | 2020 | 2 |
© 2020 by the authors. Licensee MDPI, Basel, Switzerland. This article is an open access article distributed under the terms and conditions of the Creative Commons Attribution (CC BY) license (http://creativecommons.org/licenses/by/4.0/).
Share and Cite
Rienitz, O.; Pramann, A. Comparison of the Isotopic Composition of Silicon Crystals Highly Enriched in 28Si. Crystals 2020, 10, 500. https://doi.org/10.3390/cryst10060500
Rienitz O, Pramann A. Comparison of the Isotopic Composition of Silicon Crystals Highly Enriched in 28Si. Crystals. 2020; 10(6):500. https://doi.org/10.3390/cryst10060500
Chicago/Turabian StyleRienitz, Olaf, and Axel Pramann. 2020. "Comparison of the Isotopic Composition of Silicon Crystals Highly Enriched in 28Si" Crystals 10, no. 6: 500. https://doi.org/10.3390/cryst10060500
APA StyleRienitz, O., & Pramann, A. (2020). Comparison of the Isotopic Composition of Silicon Crystals Highly Enriched in 28Si. Crystals, 10(6), 500. https://doi.org/10.3390/cryst10060500

