Defects and Lattice Instability in Doped Lead-Based Perovskite Antiferroelectrics: Revisited
Abstract
1. Introduction
- Determination of the influence of defects generated under high vacuum conditions on phase transitions temperature in pure PbZrO3 [31],
- Determination of the role of crystal surface and volume in dielectric properties of the PbZrO3 crystal doped with niobium, in which defect segregation was generated by alternating electric field action [37].
2. Materials and Methods
- Pure PbZrO3 crystals obtained by high temperature spontaneous crystallization from solvent: the substrates in the form of PbO, B2O3, and PbZrO3 ceramics were weighed in correct proportions and mixed together; the preparation of PbZrO3 ceramics is described in detail in [23], while the exact process of crystal growth is described in [39]; crystals in the form of red plates were obtained; these crystals were deliberately defected by remaining for 15 min in high temperatures and under high vacuum (approximately 10−5 mbar) [31];
- PbZrO3 crystals doped with niobium were obtained by two methods: the same as that used in growing crystals of pure PbZrO3 and the other based on PbZrO3 ceramics doped with niobium; the preparation of ceramics used for breeding is described in [40], while the preparation of crystals is described in [32]; crystals were in the form of red colored plates and bars; the latter method which used substrates consisting of oxides alone (without the use of ceramics) is described in [34]; the resulting crystals were plate-shaped and slightly yellow in color;
- Pb(Zr0.70Ti0.30)O3 ceramics doped with different concentration of Bi2O3; their preparation process is described in detail in [38].
- −
- capacitance and electrical conductivity measurements. It allowed determining temperature changes of permittivity and dielectric loss of tested materials. The measurements were performed with the use of an automated measurement system with impedance analyzer HP 4192A, multimeter HP 34401 and temperature controller Shiemaden FP23;
- −
- birefringence (Δn) measurement as a function of temperature, using the method described in [55] and observations of domain structures using polarizing microscope and temperature heating stage THSE600 from Linkam;
- −
- piezoelectric and electrostrictive properties as a function of temperature were determined using the measuring system described in [56];
- −
- pyroelectric effect was observed by measurement of thermally stimulated depolarization currents using electrometer Keithley 6514, multimeter HP 34401 and temperature controller Shiemaden FP23;
- −
- Raman light scattering measurements were performed in cooperation with the Department of Physics and School of Nano Convergence Technology at Hallym University Chuncheon, Korea. The measurements were carried out in a micro-backscattering system using a 532 nm wavelength laser and a conventional Raman spectrometer (LabRam HR800, Horiba, Co., Kyoto, Japan) combined with a temperature adapter (THMS600, Linkam, Surrey, UK). Olympus BX41 optical microscope was used for this geometry. The Raman spectrum was measured to approximately 10 cm−1 using a holographic cut-off filter. A single diffraction grating with the density of 1800 lines/mm was used, resulting in the resolution of 0.5 cm−1;
- −
- conventional Fabry–Perot coupled interferometer was used to measure the Brillouin scattering spectrum in the range of ±60 GHz. The sample was placed in Linkam THMS 600 temperature adapter; BX41 manual Olympus microscope was used to measure scattering in backscattering geometry. Solid-state laser (Excelsior 532–300, Spectra Physics, Santa Clara, CA, USA) with a wavelength of 532 nm was used as the excitation source. Details of the spectrometer used in the study can be found in [57]. Brillouin scattering studies were performed in collaboration with the Department of Physics and School of Nano Convergence Technology at Hallym University Chuncheon, Korea;
- −
- electron structure studies were performed using X-ray photoelectron spectroscopy (XPS), using Physical Electronics PHI 5700/660 spectrometer with monochromatic Al Kα radiation (1486.6 eV). An electron gun was used to compensate for the charge generated on the surface during irradiation of the sample. A detailed description of the data analysis is presented in [31];
- −
- the analysis of ion distribution in PbZrO3 crystals, in the form of depth profiles, was carried out using IONTOFToF-SIMS V spectrometer, a high-energy beam that emits secondary ions (and ion clusters from the surface of the sample), and a low-energy etching beam that operated in double-beam mode. The analysis was carried out using a single isotope ion beam emitted in the form of high-energy pulses (Bi+ ion beam with 30keV energy, with target current of approximately 1.4 pA). Digestion was carried out using high current, but with lower source energy (Cs beam operating at 1 kV and 50 nA). This beam etched a 600 × 600 μm2 crater, while the bismuth ion beam gradually analyzed the crater bottom. Due to the need to eliminate the effects associated with the heterogeneity of emissions at the edges of the crater, the analysis area has been narrowed down to 167 × 167 μm2. The details of the analysis and the experiment are described in [31];
- −
- structural tests were carried out using the powder method, by means of PANalytical PW1050 diffractometer using a nickel filter and CuKα1.2 X-ray source operating at 30 kV/30 mA. Structure refinement was carried out using the Rietveld method [58], applying FULLPROF software [59]. The details of individual experiments are presented in [32,33,38];
- −
- crystals of PbZrO3 doped niobium were characterized for chemical composition by using energy-dispersive X-ray fluorescence spectrometer (EDXRF), epsilon 3 (Panalytical, Almelo, the Netherlands) with mercury pipe as the X-ray source at the maximum voltage of 30 keV and 9 W. The spectrometer was equipped with a thermoelectrically cooled silicon drift detector (SDD) with 8mm beryllium window and the resolution of 135 eV at 5.9 keV. Quantitative analysis was performed using Omnian software. Details of the measurements are presented in [33];
- −
- chemical analysis of pure PbZrO3 crystals and Bi2O3 doped PZT 70/30 ceramics was performed using JSM-5410 scanning electron microscope from Jeol, equipped with energy-dispersive X-ray spectrometer (EDS) from Oxford Instruments.
3. Results and Discussion
3.1. Induction of the Intermediate Phase by Means of Crystal Lattice Defects in PbZrO3 Single Crystals [31]
- the occurrence of transition phase depends on the ratio of donor and acceptor centers. Because this ratio is not in equilibrium, full or empty centers act as a local stress fields, thus locally affecting lattice vibrations and the occurrence of intermediate phase, disturbing the delicate energy balance mentioned above;
- defects in the zirconium sublattice should also be taken into account as being responsible for the existence of intermediate phase;
- all occurring centers, being in different states of filling/ionization, strengthen the possibility of phase coexistence. Thus, it was found that the occurrence of these centers is the main cause of local symmetry violation, which plays an important role in the occurrence of intermediate phase in PbZrO3.
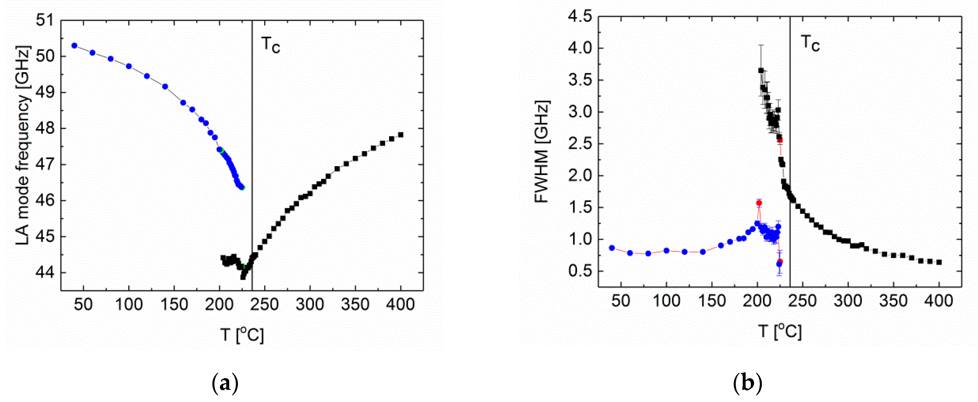
3.2. Influence of Donor Dopant in the form of Niobium Atoms on the Dynamics of the PbZrO3 Crystal Lattice and Local Symmetry Breaking Above Tc [32,33,34,35,36]
- (1)
- niobium changes its oxidation state to 4+ giving one electron to the conductivity band,
- (2)
- niobium is situated next to lead vacancy, which means that two niobium atoms can compensate for the double-ionized lead vacancy,
- (3)
- two niobium atoms generate one compensated lead vacancy.
- (4)
- one should take into account the possibility of contaminants in the used culture substrates, such as sodium or potassium, which are ionized to generate oxygen vacancies. In this case, two niobium atoms will compensate for a double-ionized oxygen vacancy.
- discovery of new, previously unobserved, phase transition and characterization of the nature of two intermediate phases,
- determination of the role of central ion in oxygen octahedron in polar regions, occurring above Tc,
- experimental confirmation of a specific interrelation (coupling) between acoustic, and optical modes of crystal lattice above Tc,
- demonstration of coexistence of intermediate phase (IM2) and antiferroelectric phase (AF), and the relaxing nature of phase transition between IM2 and IM1 phases.
3.3. Segregation of Lattice Defects in PbZrO3 Crystal Doped with Niobium by Alternating Electric Field [37]
- there is a complex relation between the interior and surface of a crystal subjected to a strong alternating field that may cause misleading interpretation of the dielectric response,
- a possibility exists of “cleaning” the interior of the crystal by transporting defects towards the surface, enabled by alternating electric fields.
3.4. Interactions between Polar Regions Occurring Above Tc in PbZr0.70Ti0.30O3 Ceramics Doped with Bismuth [38]
- (1)
- two Bi3+ ions compensate for a double-ionized lead vacancy formed in the process of synthesis,
- (2)
- two Bi3+ ions produce one lead vacancy,
- (3)
- one ion of Bi3+ compensates for Ti3+ ion, which may occur due to the existence of oxygen vacancies [71],
- (4)
- Bi3+ ion leads to a change in oxidation state of ion in the middle of oxygen octahedron from 4+ to 3+. The most likely reason for it is a change in the valence of titanium due to its lower chemical stability than that of zirconium; such effects have also been observed in PZT 70/30 ceramics doped with BiMnO3 [72].
- connection between temperatures of characteristic anomalies of dielectric properties and evolution of temperature of polar areas,
- confirmation that crystal lattice defects increase the temperature at which polar regions disappear.
4. Perspectives
5. Conclusions
- The electronic state of point defects in sublattices A, B, and O has a significant impact on the appearance of the so-called intermediate phase in PbZrO3 below Tc. It has been shown that the defects in the zirconium sublattice, previously omitted in the literature, also influence the properties of PbZrO3;
- admixture of niobium Nb5+ and bismuth Bi3+, i.e., ions with a valence different from ion A and B in the structure A2+B4+O2−3, causes defects in the lead sublattice, leading to breaking of local symmetry at temperatures above TBH, i.e., the temperature determined for pure perovskite compounds with ABO3 structure;
- experimental confirmation has been provided of interrelation between acoustic and optical modes in PbZrO3 predicted by theory, and indicating the presence of polar regions at temperatures above Tc.
Funding
Acknowledgments
Conflicts of Interest
References
- Müller, K.A.; Berlinger, W. Microscopic probing of order-disorder versus displacive behavior in BaTiO3 by Fe3+ EPR. Phys. Rev. B 1986, 34, 6130–6136. [Google Scholar] [CrossRef] [PubMed]
- Müller, K.; Berlinger, W.; Blazey, K.; Albers, J. Electron paramagnetic resonance of Mn4+ in BaTiO3. Solid State Commun. 1987, 61, 21–25. [Google Scholar] [CrossRef]
- Müller, K.A.; Fayet, J.C. Structural Phase Transitions II; Müller, K.A., Thomas, H., Eds.; Springer: Berlin/Heidelberg, Germany, 1991; pp. 1–82. [Google Scholar]
- Comès, R.; Lambert, M.; Guinier, A. The chain structure of BaTiO3 and KNbO3. Solid State Commun. 1968, 6, 715–719. [Google Scholar] [CrossRef]
- Ravel, B.; Stern, E.A.; Vedrinskii, R.I.; Kraizman, V. Local structure and the phase transitions of BaTiO3. Ferroelectrics 1998, 206, 407–430. [Google Scholar] [CrossRef]
- Zalar, B.; Laguta, V.V.; Blinc, R. NMR Evidence for the coexistence of order-disorder and displacive components in barium titanate. Phys. Rev. Lett. 2003, 90, 37601. [Google Scholar] [CrossRef] [PubMed]
- Zalar, B.; Lebar, A.; Seliger, J.; Blinc, R.; Laguta, V.V.; Itoh, M. NMR study of disorder in BaTiO3 and SrTiO3. Phys. Rev. B 2005, 71, 064107. [Google Scholar] [CrossRef]
- Chaves, A.S.; Barreto, F.C.S.; Nogueira, R.A.; Zẽks, B. Thermodynamics of an eight-site order-disorder model for ferroelectrics. Phys. Rev. B 1976, 13, 207–212. [Google Scholar] [CrossRef]
- Völkel, G.; Muller, K.A. Order-disorder phenomena in the low-temperature phase of BaTiO3. Phys. Rev. B 2007, 76, 094105. [Google Scholar] [CrossRef]
- Geneste, G.; Kiat, J.-M. Ground state of ca-doped strontium titanate: Ferroelectricity versus polar nanoregions. Phys. Rev. B 2008, 77, 174101. [Google Scholar] [CrossRef]
- Ziębińska, A.; Rytz, D.; Szot, K.; Górny, M.; Rolder, K. Birefringence above Tc in single crystals of barium titanate. J. Phys. Condens. Matter 2008, 20, 142202. [Google Scholar] [CrossRef]
- Ko, J.-H.; Kojima, S.; Koo, T.-Y.; Jung, J.H.; Won, C.J.; Hur, N. Elastic softening and central peaks in BaTiO3 single crystals above the cubic-tetragonal phase-transition temperature. Appl. Phys. Lett. 2008, 93, 102905. [Google Scholar] [CrossRef]
- Tai, R.Z.; Namikawa, K.; Sawada, A.; Kishimoto, M.; Tanaka, M.; Lu, P.; Nagashima, K.; Maruyama, H.; Ando, M. Picosecond view of microscopic-scale polarization clusters in paraelectric BaTiO3. Phys. Rev. Lett. 2004, 93, 087601. [Google Scholar] [CrossRef] [PubMed]
- Kwapuldński, J.; Pawełczyk, M.; Dec, J. Thermal vibrations in PbTiO3 crystals. Ferroelectrics 1997, 192, 307–311. [Google Scholar] [CrossRef]
- Kwapulinski, J.; Kusz, J.; Böhm, H.; Dec, J. Thermal vibrations in PbTiO3 single crystals. J. Phys. Condens. Matter 2005, 17, 1825–1830. [Google Scholar] [CrossRef]
- Kwapulinski, J.; Pawelczyk, M.; Dec, J. On the Pb thermal vibrations in PbHfO3 crystals. J. Phys. Condens. Matter 1994, 6, 4655–4659. [Google Scholar] [CrossRef]
- Bussmann-Holder, A.; Kim, T.H.; Lee, B.W.; Ko, J.-H.; Majchrowski, A.; Soszyński, A.; Roleder, K. Phase transitions and interrelated instabilities in PbHfO3 single crystals. J. Phys. Condens. Matter 2015, 27, 105901. [Google Scholar] [CrossRef]
- Bussmann-Holder, A.; Ko, J.-H.; Majchrowski, A.; Górny, M.; Roleder, K. Precursor dynamics, incipient ferroelectricity and huge anharmonicity in antiferroelectric lead zirconate PbZrO3. J. Phys. Condens. Matt. 2013, 25, 212202. [Google Scholar] [CrossRef]
- Tennery, V.J. A study of the phase transitions in PbZrO3. J. Electrochem. Soc. 1965, 112, 1117. [Google Scholar] [CrossRef]
- Tennery, V.J. High-temperature phase transitions in PbZrO3. J. Am. Ceram. Soc. 1966, 49, 483–486. [Google Scholar] [CrossRef]
- Goulpeau, L. Phase Transitions in Lead Zirconate. Sov. Phys. Solid State 1967, 8, 1970–1971. [Google Scholar]
- Scott, B.A.; Burns, G. Crystal growth and observation of the ferroelectric phase of PbZrO3. J. Am. Ceram. Soc. 1972, 55, 331–333. [Google Scholar] [CrossRef]
- Ujma, Z.; Hańderek, J. Phase transitions and spontaneous polarization in PbZrO3. Phys. Status Solidi (a) 1975, 28, 489–496. [Google Scholar] [CrossRef]
- Whatmore, R.W.; Glazer, A.M. Structural phase transitions in lead zirconate. J. Phys. C Solid State Phys. 1979, 12, 1505. [Google Scholar] [CrossRef]
- Roleder, K.; Dee, J. The defect-induced ferroelectric phase in thin PbZrO3 single crystals. J. Phys. Condens. Matter 1989, 1, 1503–1510. [Google Scholar] [CrossRef]
- Ujma, Z.; Hańderek, J. The influence of defects in the Pb and O sub-lattices on dielectric properties and phase transitions in PbZrO3. Phase Transit. 1983, 3, 121–130. [Google Scholar] [CrossRef]
- Ujma, Z. Dielectric properties and phase transitions in PbZrO3 with oxygen vacancies. Phase Transit. 1984, 4, 169–181. [Google Scholar] [CrossRef]
- Ujma, Z.; Dmytrow, D.; Handerek, J. The intermediate ferroelectric phase in PbZrO3 with high concentration of defects. Ferroelectrics 1988, 81, 107–110. [Google Scholar] [CrossRef]
- Ko, J.-H.; Górny, M.; Majchrowski, A.; Roleder, K.; Bussmann-Holder, A. Mode softening, precursor phenomena, and intermediate phases in PbZrO3. Phys. Rev. B 2013, 87, 184110. [Google Scholar] [CrossRef]
- Bussmann-Holder, A.; Beige, H.; Völkel, G. Precursor effects, broken local symmetry, and coexistence of order-disorder and displacive dynamics in perovskite ferroelectrics. Phys. Rev. B 2009, 79, 184111. [Google Scholar] [CrossRef]
- Kajewski, D.; Kubacki, J.; Balin, K.; Lazar, I.; Piecha, J.; Bussmann-Holder, A.; Ko, J.-H.; Roleder, K. Defect-induced intermediate phase appearance in a single PbZrO3 crystal. J. Alloys Compd. 2020, 812, 152090. [Google Scholar] [CrossRef]
- Kajewski, D.; Ujma, Z.; Zajdel, P.; Roleder, K. Nb-stabilized locally broken symmetry below and above Tc in a PbZrO3 single crystal. Phys. Rev. B 2016, 93, 054104. [Google Scholar] [CrossRef]
- Kajewski, D.; Zajdel, P.; Sitko, R.; Lazar, I.; Bussmann-Holder, A.; Ko, J.-H.; Roleder, K.; Roleder, R. Defect induced lattice instabilities and competing interactions in niobium doped lead zirconate single crystals. J. Alloys Compd. 2018, 739, 499–503. [Google Scholar] [CrossRef]
- Kajewski, D.; Jankowska-Sumara, I.; Ko, J.-H.; Lee, J.W.; Majchrowski, A.; Bussmann-Holder, A.; Roleder, K. Influence of Nb+5 ions on phase transitions and polar disorder above Tc in PbZrO3 studied by Raman spectroscopy. J. Am. Ceram. Soc. 2020, 103, 3657–3666. [Google Scholar] [CrossRef]
- Kajewski, D.; Ko, J.-H.; Lee, J.W.; Jankowska-Sumara, I.; Majchrowski, A.; Bussmann-Holder, A.; Roleder, K. Phase coexistence in slightly doped PbZrO3 investigated by brillouin light scattering. In Proceedings of the 5th International Conference on Advanced Electromaterials, Jeju, Korea, 5–8 November 2019. [Google Scholar]
- Kajewski, D.; Ko, J.-H.; Lee, J.W.; Jankowska-Sumara, I.; Majchrowski, A.; Roleder, K. Isothermal self-ordering in niobium doped lead zirconate single crystals. In Proceedings of the European Meeting on Ferroelectricity, Lausanne, Switzerland, 14–19 June 2019. [Google Scholar]
- Kajewski, D.; Kubacki, J.; Bussmann-Holder, A.; Roleder, K. Surface–bulk interrelation in a PbZrO3 single crystal. J. Mater. Chem. C 2017, 5, 10456–10461. [Google Scholar] [CrossRef]
- Kajewski, D.; Zajdel, P.; Soszyński, A.; Koperski, J.; Lazar, I.; Roleder, K. Bismuth doped PbZr0.70Ti0.30O3 ceramics and their properties driven by high temperature local polarity. Ceram. Int. 2019, 45, 9871–9877. [Google Scholar] [CrossRef]
- Wojcik, K.; Ujma, Z. Nonstoichiometry and optical absorption in PbZrO3 and PbTiO3 single crystals. Ferroelectrics 1989, 89, 133–142. [Google Scholar] [CrossRef]
- Ujma, Z.; Dmytrow, D.; Pawełczyk, M. Structure and electrical properties of PbZrO3 doped with Nb2O5. Ferroelectrics 1991, 120, 211–224. [Google Scholar] [CrossRef]
- Shirane, G.; Sawaguchi, E.; Takeda, A. On the phase transition in lead zirconate. Phys. Rev. 1950, 80, 485. [Google Scholar] [CrossRef]
- Vales-Castro, P.; Roleder, K.; Zhao, L.; Li, J.; Kajewski, D.; Catalan, G. Flexoelectricity in antiferroelectrics. Appl. Phys. Lett. 2018, 113, 132903. [Google Scholar] [CrossRef]
- Vales-Castro, P.; Faye, R.; Vellvehí, M.; Perpinya, X.; Kajewki, D.; Roleder, K.; Defay, E.; Perez-Tomas, V.; Catalan, G. Direct measurement of large negative and positive electrocaloric effects in antiferroelectric PbZrO3, advanced materials. Sci. Adv. 2020. submitted for publication. [Google Scholar]
- Benguigui, L. Ferroelectricity and antiferroelectricity in pure and Nb2O5 doped lead zirconate. J. Solid State Chem. 1971, 3, 381–386. [Google Scholar] [CrossRef]
- Samara, G.A. Pressure and temperature dependence of the dielectric properties and phase transitions of the antiferroelectric perovskites: PbZrO3 and PbHfO3. Phys. Rev. B 1970, 1, 3777–3786. [Google Scholar] [CrossRef]
- Ujma, Z.; Hańderek, J. Electric Properties of PbZrO3 monocrystals. Acta Phys. Polon. A 1978, 53, 665. [Google Scholar]
- Ujma, Z.; Hańderek, J. Space-charge polarization and phase transitions in lead zirconate. Phase Transit. 1980, 1, 363–376. [Google Scholar] [CrossRef]
- Frantti, J.; Fujioka, Y.; Puretzky, A.A.; Xie, Y.; Ye, Z.-G.; Glazer, A.M. A statistical model approximation for perovskite solid-solutions: A Raman study of lead-zirconate-titanate single crystal. J. Appl. Phys. 2013, 113, 174104. [Google Scholar] [CrossRef]
- Burkovsky, R.G.; Bronwald, Y.A.; Filimonov, A.V.; Rudskoy, A.I.; Chernyshov, D.; Bosak, A.; Hlinka, J.; Long, X.; Ye, Z.-G.; Vakhrushev, S. Structural heterogeneity and diffuse scattering in morphotropic lead zirconate-titanate single crystals. Phys. Rev. Lett. 2012, 109, 097603. [Google Scholar] [CrossRef] [PubMed]
- Phelan, D.; Long, X.; Xie, Y.; Ye, Z.-G.; Glazer, A.M.; Yokota, H.; Thomas, P.; Gehring, P.M. Single crystal study of competing rhombohedral and monoclinic order in lead zirconate titanate. Phys. Rev. Lett. 2010, 105, 207601. [Google Scholar] [CrossRef]
- Lazar, I.; Kajewski, D.; Majchrowski, A.; Soszyński, A.; Koperski, J.; Roleder, K. A contribution to understanding the complex phase diagram of PZT compounds. Ferroelectrics 2016, 500, 67–75. [Google Scholar] [CrossRef]
- Lazar, I.; Oboz, M.; Kubacki, J.; Majchrowski, A.; Piecha, J.; Kajewski, D.; Roleder, K. Weak ferromagnetic response in PbZr1−xTixO3 single crystals. J. Mater. Chem. C 2019, 7, 11085–11089. [Google Scholar] [CrossRef]
- Lazar, I.; Oh, S.H.; Ko, J.-H.; Zajdel, P.; Kajewski, D.; Majchrowski, A.; Piecha, J.; Koperski, J.; Soszyński, A.; Roleder, K. Additional phase transition in a PbZr0.87Ti0.13O3 single crystal. J. Phys. D Appl. Phys. 2019, 52, 115302. [Google Scholar] [CrossRef]
- Zhang, N.; Yokota, H.; Glazer, A.M.; Ren, Z.; Keen, D.A.; Keeble, D.S.; Thomas, P.A.; Ye, Z.-G. The missing boundary in the phase diagram of PbZr1−xTixO3. Nat. Comm. 2014, 5, 5231. [Google Scholar] [CrossRef] [PubMed]
- Geday, M.A.; Glazer, A.M. Birefringence of SrTiO3 at the ferroelastic phase transition. J. Phys. Condens. Matter 2004, 16, 3303–3310. [Google Scholar] [CrossRef]
- Wieczorek, K.; Ziebiniska, A.; Ujma, Z.; Szot, K.; Górny, M.; Franke, I.; Koperski, J.; Soszyński, A.; Roleder, K. Electrostrictive and piezoelectric effect in BaTiO3 and PbZrO3. Ferroelectrics 2006, 336, 61–67. [Google Scholar] [CrossRef]
- Kim, J.H.; Choi, J.-Y.; Jeong, M.-S.; Ko, J.-H.; Ahart, M.; Ko, Y.H.; Kim, K.J. Development of a high-pressure brillouin spectrometer and its application to an ethylene-vinyl acetate copolymer. J. Korean Phys. Soc. 2012, 60, 1419–1423. [Google Scholar] [CrossRef]
- Rietveld, H.M. A profile refinement method for nuclear and magnetic structures. J. Appl. Crystallogr. 1969, 2, 65–71. [Google Scholar] [CrossRef]
- Rodriguez-Carvajal, J. Recent developments of the program FULLPROF commission on powder diffraction. IUCr Newsl. 2001, 26, 12–19. [Google Scholar]
- Waghmare, U.V.; Rabe, K.M. Lattice instabilities, anharmonicity and phase transitions in PbZrO3 from first principles. Ferroelectrics 1997, 194, 135–147. [Google Scholar] [CrossRef]
- Singh, D.J. Structure and energetics of antiferroelectric PbZrO3. Phys. Rev. B 1995, 52, 12559–12563. [Google Scholar] [CrossRef]
- Kagimura, R.; Singh, D.J. First-principles investigations of elastic properties and energetics of antiferroelectric and ferroelectric phases of PbZrO3. Phys. Rev. B 2008, 77, 104113. [Google Scholar] [CrossRef]
- Dai, X.; Li, J.; Viehland, D. Weak ferroelectricity in antiferroelectric lead zirconate. Phys. Rev. B 1995, 51, 2651–2655. [Google Scholar] [CrossRef]
- Roleder, K.; Maglione, M.; Fontana, M.D.; Dec, J. Behaviour of a polar relaxation mode around the phase transition point in the antiferroelectric single crystal. J. Phys. Condens. Matter 1996, 8, 10669–10678. [Google Scholar] [CrossRef]
- Aoyagi, S.; Kuroiwa, Y.; Sawada, A.; Tanaka, H.; Harada, J.; Nishibori, E.; Takata, M.; Sakata, M. Direct observation of covalency between O and disordered Pb in cubic PbZrO3. J. Phys. Soc. Jpn. 2002, 71, 2353–2356. [Google Scholar] [CrossRef]
- Jankowska-Sumara, I.; Jeong, M.-S.; Ko, J.-H.; Majchrowski, A.; Zmija, J. Phase transitions in PbZr0.72Sn0.28O3 single crystals studied by Raman spectroscopy. Phase Transit. 2016, 89, 768–776. [Google Scholar] [CrossRef]
- Hlinka, J.; Ostapchuk, T.; Buixaderas, E.; Kadlec, F.; Kužel, P.; Gregora, I.; Kroupa, J.; Savinov, M.; Klic, A.; Drahokoupil, J.; et al. Multiple soft-mode vibrations of lead zirconate. Phys. Rev. Lett. 2014, 112. [Google Scholar] [CrossRef]
- Ostapchuk, T.; Petzelt, J.; Zelezny, V.; Kamba, S.; Bovtun, V.; Porokhonskyy, V.; Pashkin, A.; Kužel, P.; Glinchuk, M.D.; Bykov, I.P.; et al. Polar phonons and central mode in antiferroelectric PbZrO3 ceramics. J. Phys. Condens. Matter 2001, 13, 2677–2689. [Google Scholar] [CrossRef]
- Pasto, A.E.; Condrate, R.A. Raman spectrum of PbZrO3. J. Am. Ceram. Soc. 1973, 56, 436–438. [Google Scholar] [CrossRef]
- Rodenbücher, C.; Speier, W.; Bihlmayer, G.; Breuer, U.; Waser, R.; Szot, K. Cluster-like resistive switching of SrTiO3: Nb surface layers. New J. Phys. 2013, 15, 103017. [Google Scholar] [CrossRef]
- Pilch, M.; Molak, A.; Szot, K. Thermal treatment effects in PbTiO3 crystals studied by XPS and electric conductivity tests. Ferroelectrics 2014, 466, 51–62. [Google Scholar] [CrossRef]
- Szeremeta, A.; Pawlus, S.; Pilch, M.; Balin, K.; Leonarska, A.; Molak, A.; Paluch, M. Relaxor state and electric relaxations induced by the addition of Bi and Mn ions to Pb(Zr0.70Ti0.30)O3 ceramics. Ceram. Int. 2017, 43, 11699–11709. [Google Scholar] [CrossRef]













© 2020 by the author. Licensee MDPI, Basel, Switzerland. This article is an open access article distributed under the terms and conditions of the Creative Commons Attribution (CC BY) license (http://creativecommons.org/licenses/by/4.0/).
Share and Cite
Kajewski, D. Defects and Lattice Instability in Doped Lead-Based Perovskite Antiferroelectrics: Revisited. Crystals 2020, 10, 501. https://doi.org/10.3390/cryst10060501
Kajewski D. Defects and Lattice Instability in Doped Lead-Based Perovskite Antiferroelectrics: Revisited. Crystals. 2020; 10(6):501. https://doi.org/10.3390/cryst10060501
Chicago/Turabian StyleKajewski, Dariusz. 2020. "Defects and Lattice Instability in Doped Lead-Based Perovskite Antiferroelectrics: Revisited" Crystals 10, no. 6: 501. https://doi.org/10.3390/cryst10060501
APA StyleKajewski, D. (2020). Defects and Lattice Instability in Doped Lead-Based Perovskite Antiferroelectrics: Revisited. Crystals, 10(6), 501. https://doi.org/10.3390/cryst10060501
