A Review on Thermal Conversion of Plant Oil (Edible and Inedible) into Green Fuel Using Carbon-Based Nanocatalyst
Abstract
1. Introduction
2. Green Diesel vs. Biodiesel
3. Alternative Pathways for Production of Green Diesel
3.1. Deoxygenation (DO)
3.2. HDO (Hydrodeoxygenation)
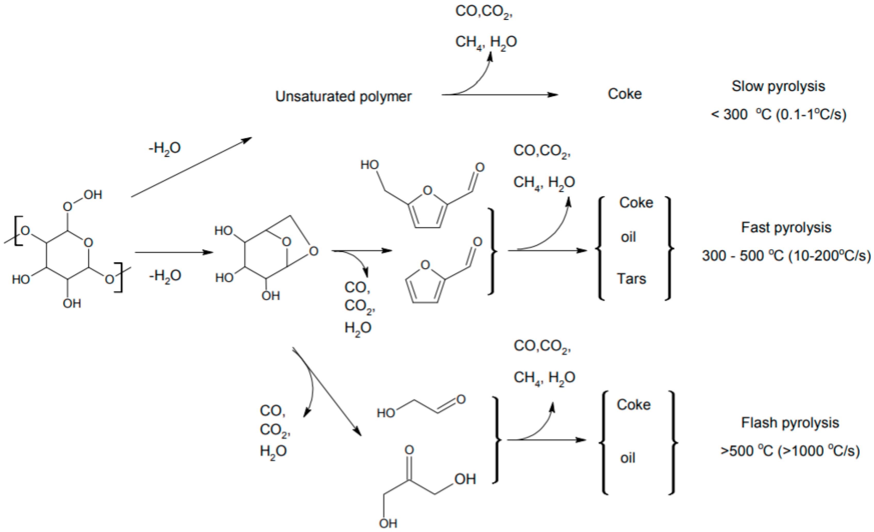
3.3. Pyrolysis
Requirements of Feedstock for Pyrolysis
4. Type of Catalyst in DO
5. DO over Carbon-Based Catalysts
5.1. Development of Carbon-Based Catalyst
5.2. Decarboxylation/Decarbonylation Selectivity over Carbon-Based Catalyst
5.3. Coke Affinity over Carbon-Based Catalyst
6. Factor Influencing the DO Process
6.1. Feedstocks
6.2. Reaction Atmosphere
6.3. Reaction Temperature
7. Recent Work on the Deoxygenation of Realistic Oil
8. Conclusions
Funding
Acknowledgements
Conflicts of Interest
References
- Knothe, G. Biodiesel and renewable diesel: A comparison. Prog. Energy Combust. Sci. 2010, 36, 364–373. [Google Scholar] [CrossRef]
- Ashraful, A.M.; Masjuki, H.H.; Kalam, M.A.; Fattah, I.R.; Imtenan, S.; Shahir, S.A.; Mobarak, H.M. Production and comparison of fuel properties, engine performance, and emission characteristics of biodiesel from various non-edible vegetable oils: A review. Energy Convers. Manag. 2014, 80, 202–228. [Google Scholar] [CrossRef]
- CIA World Factbook. Available online: https://www.cia.gov/library/publications/the-world-factbook/geos/af.html (accessed on 31 December 2013).
- Bernas, H.; Eränen, K.; Simakova, I.; Leino, A.R.; Kordás, K.; Myllyoja, J.; Mäki-Arvela, P.; Salmi, T.; Murzin, D.Y. Deoxygenation of dodecanoic acid under inert atmosphere. Fuel 2010, 89, 2033–2039. [Google Scholar] [CrossRef]
- Asikin-Mijan, N.; Lee, H.V.; Juan, J.C.; Noorsaadah, A.R.; Ong, H.C.; Razali, S.M.; Taufiq-Yap, Y.H. Promoting deoxygenation of triglycerides via Co-Ca loaded SiO2-Al2O3 catalyst. Appl. Catal. A Gen. 2018, 552, 38–48. [Google Scholar] [CrossRef]
- Pinto, F.; Martins, S.; Gonçalves, M.; Costa, P.; Gulyurtlu, I.; Alves, A.; Mendes, B. Hydrogenation of rapeseed oil for production of liquid bio-chemicals. Appl. Energy 2013, 102, 272–282. [Google Scholar] [CrossRef]
- Hermida, L.; Abdullah, A.Z.; Mohamed, A.R. Deoxygenation of fatty acid to produce diesel-like hydrocarbons: A review of process conditions, reaction kinetics and mechanism. Renew. Sustain. Energy Rev. 2015, 42, 1223–1233. [Google Scholar] [CrossRef]
- Charusiri, W. Fast pyrolysis of residues from paper mill industry to bio-oil and value chemicals: Optimization studies. Energy Procedia 2015, 74, 933–941. [Google Scholar] [CrossRef][Green Version]
- Rout, P.K.; Naik, M.K.; Naik, S.N.; Goud, V.V.; Das, L.M.; Dalai, A.K. Supercritical CO2 fractionation of bio-oil produced from mixed biomass of wheat and wood sawdust. Energy Fuels 2009, 23, 6181–6188. [Google Scholar] [CrossRef]
- Jacobson, K.; Maheria, K.C.; Dalai, A.K. Bio-oil valorization: A review. Renew. Sustain. Energy Rev. 2013, 23, 91–106. [Google Scholar] [CrossRef]
- Tani, H.; Hasegawa, T.; Shimouchi, M.; Asami, K.; Fujimoto, K. Selective catalytic decarboxy-cracking of triglyceride to middle-distillate hydrocarbon. Catal. Today 2011, 164, 410–414. [Google Scholar] [CrossRef]
- Grosso-Giordano, N.A.; Eaton, T.R.; Bo, Z.; Yacob, S.; Yang, C.C.; Notestein, J.M. Silica support modifications to enhance Pd-catalyzed deoxygenation of stearic acid. Appl. Catal. B Environ. 2016, 192, 93–100. [Google Scholar] [CrossRef]
- Zhang, J.; Choi, Y.S.; Shanks, B.H. Catalytic deoxygenation during cellulose fast pyrolysis using acid–base bifunctional catalysis. Catal. Sci. Technol. 2016, 6, 7468–7476. [Google Scholar] [CrossRef]
- Sousa, F.P.; Silva, L.N.; De Rezende, D.B.; De Oliveira, L.C.A.; Pasa, V.M. Simultaneous deoxygenation, cracking and isomerization of palm kernel oil and palm olein over beta zeolite to produce biogasoline, green diesel and biojet-fuel. Fuel 2018, 223, 149–156. [Google Scholar] [CrossRef]
- Peng, B.; Zhao, C.; Kasakov, S.; Foraita, S.; Lercher, J.A. Manipulating catalytic pathways: Deoxygenation of palmitic acid on multifunctional catalysts. Chem. Eur. J. 2013, 19, 4732–4741. [Google Scholar] [CrossRef] [PubMed]
- Tran, T.T.V.; Kongparakul, S.; Reubroycharoen, P.; Karnjanakom, S.; Guan, G.; Samart, C. Formation and activity of activated carbon supported Ni2P catalysts for atmospheric deoxygenation of waste cooking oil. Fuel Process. Technol. 2019, 185, 117–125. [Google Scholar]
- Abdulkareem-Alsultan, G.; Asikin-Mijan, N.; Taufiq-Yap, Y.H. Effective catalytic deoxygenation of waste cooking oil over nanorods activated carbon supported CaO. Key Eng. Mater. 2016, 707, 175–181. [Google Scholar] [CrossRef]
- Kalnes, T.N.; Marker, T. Green diesel production by hydrorefining renewable feedstocks. Biofuels Technol 2008, 7–11. Available online: https://www.honeywell-uop.cn/wp-content/uploads/2011/01/UOP-Hydrorefining-Green-Diesel-Tech-Paper.pdf (accessed on 31 January 2019).
- Fernando, S.; Hall, C.; Jha, S. NOx reduction from biodiesel fuels. Energy Fuels 2006, 20, 376–382. [Google Scholar] [CrossRef]
- He, H.; Yu, Y. Selective catalytic reduction of NOx over Ag/Al2O3 catalyst: From reaction mechanism to diesel engine test. Catal. Today 2005, 100, 37–47. [Google Scholar] [CrossRef]
- Knothe, G.; Sharp, C.A.; Ryan, T.W. Exhaust emissions of biodiesel, petrodiesel, neat methyl esters, and alkanes in a new technology engine. Energy Fuels 2006, 20, 403–408. [Google Scholar] [CrossRef]
- McCormick, R.L.; Graboski, M.S.; Alleman, T.L.; Herring, A.; Tyson, K.S. Impact of biodiesel source material and chemical structure on emissions of criteria pollutants from a heavy-duty engine. Environ. Sci. Technol. 2001, 35, 1742–1747. [Google Scholar] [CrossRef] [PubMed]
- Tat, M.E.; Wang, P.S.; Van, G.J.H.; Clemente, T.E. Exhaust emissions from an engine fueled with biodiesel from high-oleic soybeans. J. Am. Oil Chem. Soc. 2007, 84, 865–869. [Google Scholar] [CrossRef]
- European Committee for Standardization. Standard EN 590. Automotive Fuels—Diesel—Requirements and Test Methods; Comité Européen de Normalisation: Brussels, Belgium, 2017. [Google Scholar]
- Kuronen, M.; Mikkonen, S.; Aakko, P.; Murtonen, T. Hydrotreated vegetable oil as fuel for heavy duty diesel engines. SAE Tech. Pap. Ser. 2007, 01-4031. [Google Scholar] [CrossRef]
- Aatola, H.; Larmi, M.; Sarjovaara, T.; Mikkonen, S. Hydrotreated vegetable oil (HVO) as a renewable diesel fuel: Trade-off between NOx, particulate emission, and fuel consumption of a heavy duty engine. SAE Int. J. Engines 2009, 1, 1251–1262. [Google Scholar] [CrossRef]
- Murtonen, T.; Aakko-Saksa, P.; Kuronen, M.; Mikkonen, S.; Lehtoranta, K. Emissions with heavy-duty diesel engines and vehices using FAME, HVO, and GTL with and without DOC¼ POC aftertreatment. SAE Int. J. Fuels Lubr. 2010, 2, 147–166. [Google Scholar]
- Bagley, S.T.; Gratz, L.D.; Johnson, J.H.; McDonald, J.F. Effects of an oxidation catalytic converter and a biodiesel fuel on the chemical, mutagenic, and particle size characteristics of emissions from a diesel engine. Environ. Sci. Technol. 1998, 32, 1183–1191. [Google Scholar] [CrossRef]
- Rantanen, L.; Mikkonen, S.; Nylund, L.; Kociba, P.; Lappi, M.; Nylund, N.O. Effect of fuel on the regulated, unregulated and mutagenic emissions of DI diesel engines. SAE Tech. Pap. Ser. 1993, 932686. [Google Scholar] [CrossRef]
- Bünger, J.; Krahl, J.; Weigel, A.; Schröder, O.; Brüning, T.; Müller, M. Influence of fuel properties, nitrogen oxides, and exhaust treatment by an oxidation catalytic converter on the mutagenicity of diesel engine emissions. Arch. Toxicol. 2006, 80, 540–546. [Google Scholar] [CrossRef]
- Speidel, H.K.; Ahmed, I. Biodegradability characteristics of current and newly-developed alternative fuels. SAE Tech. Pap. Ser. 1999. [Google Scholar] [CrossRef]
- Pasqualino, J.C.; Montane, D.; Salvado, J. Synergic effects of biodiesel in the biodegradability of fossil-derived fuels. Biomass Bioenergy 2006, 30, 874–879. [Google Scholar] [CrossRef]
- Sendzikiene, E.; Makareviciene, V.; Janulis, P.; Makareviciute, D. Biodegradability of biodiesel fuel of animal and vegetable origin. Eur. J. Lipid Sci. Technol. 2007, 109, 493–497. [Google Scholar] [CrossRef]
- Czajczyńska, D.; Anguilano, L.; Ghazal, H.; Krzyżyńska, R.; Reynolds, A.J.; Spencer, N.; Jouhara, H. Potential of pyrolysis processes in the waste management sector. Therm. Sci. Eng. Prog. 2017, 3, 171–197. [Google Scholar] [CrossRef]
- Pattanaik, B.P.; Misra, R.D. Effect of reaction pathway and operating parameters on the deoxygenation of vegetable oils to produce diesel range hydrocarbon fuels: A review. Renew. Sustain. Energy Rev. 2017, 73, 545–557. [Google Scholar] [CrossRef]
- Fitzherbert, E.B.; Struebig, M.J.; Morel, A.; Danielsen, F.; Brühl, C.A.; Donald, P.F.; Phalan, B. How will oil palm expansion affect biodiversity? Trends Ecol. Evol. 2008, 23, 538–545. [Google Scholar] [CrossRef]
- Jain, S.; Sharma, M.P. Thermal stability of biodiesel and its blends: A review. Renew. Sustain. Energy Rev. 2011, 15, 438–448. [Google Scholar] [CrossRef]
- Snåre, M.; Kubicˇkova, I.; Mäki-Arvela, P.; Eränen, K.; Murzin, D.Y. Heterogeneous catalytic deoxygenation of stearic acid for production of biodiesel. Ind. Eng. Chem. Res. 2006, 45, 5708–5715. [Google Scholar] [CrossRef]
- Snåre, M.; Kubickova, I.; Mäki-Arvela, P.; Eränen, K.; Murzin, D.Y. Continuous deoxygenation of ethyl stearate—A model reaction for production of diesel fuel hydrocarbons. Catal. Org. React. 2006, 21, 415–425. [Google Scholar]
- Mäki-Arvela, P.; Rozmysłowicz, B.; Lestari, S.; Simakova, O.; Eränen, K.; Salmi, T.; Murzin, D.Y. Catalytic deoxygenation of tall oil fatty acid over palladium supported on mesoporous carbon. Energy Fuels 2011, 25, 2815–2825. [Google Scholar] [CrossRef]
- Snåre, M.; Kubičková, I.; Mäki-Arvela, P.; Chichova, D.; Eränen, K.; Murzin, D.Y. Catalytic deoxygenation of unsaturated renewable feedstocks for production of diesel fuel hydrocarbons. Fuel 2008, 87, 933–945. [Google Scholar] [CrossRef]
- Gusmao, J.; Brodzki, D.; Djéga-Mariadassou, G.; Frety, R. Utilization of vegetable oils as an alternative source for diesel-type fuel: Hydrocracking on reduced Ni/SiO2 and sulphided Ni-Mo/γ-Al2O3. Catal. Today 1989, 5, 533–544. [Google Scholar] [CrossRef]
- Laurent, E.; Delmon, B. Study of the hydrodeoxygenation of carbonyl, carboxylic and guaiacyl groups over sulfided CoMo/γ-Al2O3 and NiMo/γ-Al2O3 catalysts: I. Catalytic reaction schemes. Appl. Catal. A 1994, 109, 77–96. [Google Scholar] [CrossRef]
- Centeno, A.; Laurent, E.; Delmon, B. Influence of the support of CoMo sulfide catalysts and of the addition of potassium and platinum on the catalytic performances for the hydrodeoxygenation of carbonyl, carboxyl, and guaiacol-type molecules. J. Catal. 1995, 154, 288–298. [Google Scholar] [CrossRef]
- He, Z.; Wang, X. Hydrodeoxygenation of model compounds and catalytic systems for pyrolysis bio-oils upgrading. Catal. Sustain. Energy 2012, 1, 28–52. [Google Scholar] [CrossRef]
- Lin, Y.C.; Li, C.L.; Wan, H.P.; Lee, H.T.; Liu, C.F. Catalytic hydrodeoxygenation of guaiacol on Rh-based and sulfided CoMo and NiMo catalysts. Energy Fuels 2011, 25, 890–896. [Google Scholar] [CrossRef]
- Ferrari, M.; Bosmans, S.; Maggi, R.; Delmon, B.; Grange, P. CoMo/carbon hydrodeoxygenation catalysts: Influence of the hydrogen sulfide partial pressure and of the sulfidation temperature. Catal. Today 2001, 65, 257–264. [Google Scholar] [CrossRef]
- Ferrari, M.; Maggi, R.; Delmon, B.; Grange, P. Influences of the hydrogen sulfide partial pressure and of a nitrogen compound on the hydrodeoxygenation activity of a CoMo/carbon catalyst. J. Catal. 2001, 198, 47–55. [Google Scholar] [CrossRef]
- Gandarias, I.; Barrio, V.L.; Requies, J.; Arias, P.L.; Cambra, J.F.; Güemez, M.B. From biomass to fuels: Hydrotreating of oxygenated compounds. Int. J. Hydrog. Energy 2008, 33, 3485–3488. [Google Scholar] [CrossRef]
- Kubičková, I.; Snåre, M.; Eränen, K.; Mäki-Arvela, P.; Murzin, D.Y. Hydrocarbons for diesel fuel via decarboxylation of vegetable oils. Catal. Today 2005, 106, 197–200. [Google Scholar] [CrossRef]
- Liu, D.; Chen, E.Y. Diesel and alkane fuels from biomass by organocatalysis and metal–acid tandem catalysis. Chem. Sustain. Chem. 2013, 6, 2236–2239. [Google Scholar] [CrossRef]
- Bezergianni, S. Catalytic Hydroprocessing of Liquid Biomass for Biofuels Production; INTECH Open Access Publisher: London, UK, 2013. [Google Scholar]
- Bagheri, S. Catalysis for Green Energy and Technology; Springer: Berlin, Germany, 2017. [Google Scholar]
- Craig, W.K.; Soveran, D.W. Production of Hydrocarbons with a Relatively High Cetane Rating. U.S. Patent US4,992,605, 12 February 1991. [Google Scholar]
- Kim, S.K.; Han, J.Y.; Lee, H.S.; Yum, T.; Kim, Y.; Kim, J. Production of renewable diesel via catalytic deoxygenation of natural triglycerides: Comprehensive understanding of reaction intermediates and hydrocarbons. Appl. Energy 2014, 116, 199–205. [Google Scholar] [CrossRef]
- Onay, O.; Koçkar, O.M. Fixed-bed pyrolysis of rapeseed (Brassica napus L.). Biomass Bioenergy 2004, 26, 289–299. [Google Scholar] [CrossRef]
- Vardon, D.R.; Sharma, B.K.; Blazina, G.V.; Rajagopalan, K.; Strathmann, T.J. Thermochemical conversion of raw and defatted algal biomass via hydrothermal liquefaction and slow pyrolysis. Bioresour. Technol. 2012, 109, 178–187. [Google Scholar] [CrossRef]
- Bridgwater, A.V.; Peacocke, G.V. Fast pyrolysis processes for biomass. Renew. Sustain. Energy Rev. 2000, 4, 1–73. [Google Scholar] [CrossRef]
- Gunawardena, D.A.; Fernando, S.D. Methods and applications of deoxygenation for the conversion of biomass to petrochemical products. In Biomass Now-Cultivation and Utilization; Intech: London, UK, 2013; pp. 273–298. [Google Scholar]
- Katikaneni, S.P.; Adjaye, J.D.; Bakhshi, N.N. Performance of aluminophosphate molecular sieve catalysts for the production of hydrocarbons from wood-derived and vegetable oils. Energy Fuels 1995, 9, 1065–1078. [Google Scholar] [CrossRef]
- Duman, G.; Okutucu, C.; Ucar, S.; Stahl, R.; Yanik, J. The slow and fast pyrolysis of cherry seed. Bioresour. Technol. 2011, 102, 1869–1878. [Google Scholar] [CrossRef]
- Pütün, A.E.; Önal, E.; Uzun, B.B.; Özbay, N. Comparison between the “slow” and “fast” pyrolysis of tobacco residue. Ind. Crops Prod. 2007, 26, 307–314. [Google Scholar] [CrossRef]
- BioBoost. Feedstock Selection, Characterization and Preparation; Report No.: D2.1; AVA-CO2 Forschung GmbH: Karlsruhe, Germany, 2012. [Google Scholar]
- Raveendran, K.; Ganesh, A.; Khilar, K.C. Influence of mineral matter on biomass pyrolysis characteristics. Fuel 1995, 74, 1812–1822. [Google Scholar] [CrossRef]
- Alcala, R.; Mavrikakis, M.; Dumesic, J.A. DFT studies for cleavage of C–C and C–O bonds in surface species derived from ethanol on Pt (111). J. Catal. 2003, 218, 178–190. [Google Scholar] [CrossRef]
- Dupont, C.; Lemeur, R.; Daudin, A.; Raybaud, P. Hydrodeoxygenation pathways catalyzed by MoS2 and NiMoS active phases: A DFT study. J. Catal. 2011, 279, 276–286. [Google Scholar] [CrossRef]
- Do, P.T.; Chiappero, M.; Lobban, L.L.; Resasco, D.E. Catalytic deoxygenation of methyl-octanoate and methyl-stearate on Pt/Al2O3. Catal. Lett. 2009, 130, 9–18. [Google Scholar] [CrossRef]
- Morgan, T.; Santillan-Jimenez, E.; Harman-Ware, A.E.; Ji, Y.; Grubb, D.; Crocker, M. Catalytic deoxygenation of triglycerides to hydrocarbons over supported nickel catalysts. Chem. Eng. J. 2012, 189, 346–355. [Google Scholar] [CrossRef]
- Madsen, A.T.; Rozmysłowicz, B.; Simakova, I.L.; Kilpiö, T.; Leino, A.R.; Kordás, K.; Eränen, K.; Mäki-Arvela, P.; Murzin, D.Y. Step changes and deactivation behavior in the continuous decarboxylation of stearic acid. Ind. Eng. Chem. Res. 2011, 50, 11049–11058. [Google Scholar] [CrossRef]
- Veriansyah, B.; Han, J.Y.; Kim, S.K.; Hong, S.A.; Kim, Y.J.; Lim, J.S.; Shu, Y.W.; Oh, S.G.; Kim, J. Production of renewable diesel by hydroprocessing of soybean oil: Effect of catalysts. Fuel 2012, 94, 578–585. [Google Scholar] [CrossRef]
- Jasinski, R. A new fuel cell cathode catalyst. Nature 1964, 201, 1212. [Google Scholar] [CrossRef]
- Widelöv, A.; Larsson, R. ESCA and electrochemical studies on pyrolysed iron and cobalt tetraphenylporphyrins. Electrochim. Acta 1992, 37, 187–197. [Google Scholar] [CrossRef]
- Lalande, G.; Cote, R.; Guay, D.; Dodelet, J.P.; Weng, L.T.; Bertrand, P. Is nitrogen important in the formulation of Fe-based catalysts for oxygen reduction in solid polymer fuel cells. Electrochim. Acta 1997, 42, 1379–1388. [Google Scholar] [CrossRef]
- Gouerec, P.; Savy, M.; Riga, J. Oxygen reduction in acidic media catalyzed by pyrolyzed cobalt macrocycles dispersed on an active carbon: The importance of the content of oxygen surface groups on the evolution of the chelate structure during the heat treatment. Electrochim. Acta 1998, 43, 743–753. [Google Scholar] [CrossRef]
- Konwar, L.J.; Boro, J.; Deka, D. Review on latest developments in biodiesel production using carbon-based catalysts. Renew. Sustain. Energy Rev. 2014, 29, 546–564. [Google Scholar] [CrossRef]
- Dufresne, P. Hydroprocessing catalysts regeneration and recycling. Appl. Catal. A 2007, 322, 67–75. [Google Scholar] [CrossRef]
- Yeager, E. Electrocatalysts for O2 reduction. Electrochim. Acta 1984, 29, 1527–1537. [Google Scholar] [CrossRef]
- Wiesener, K. N4-chelates as electrocatalyst for cathodic oxygen reduction. Electrochim. Acta 1986, 31, 1073–1078. [Google Scholar] [CrossRef]
- Maldonado, S.; Stevenson, K.J. Influence of nitrogen doping on oxygen reduction electrocatalysis at carbon nanofiber electrodes. J. Phys. Chem. B 2005, 109, 4707–4716. [Google Scholar] [CrossRef]
- Subramanian, N.P.; Kumaraguru, S.P.; Colon-Mercado, H.; Kim, H.; Popov, B.N.; Black, T.; Chen, D.A. Studies on Co-based catalysts supported on modified carbon substrates for PEMFC cathodes. J. Power Sources 2006, 157, 56–63. [Google Scholar] [CrossRef]
- Popov, B.N. DOE Hydrogen Program Annual Progress Report; ENERGY EFFICIENCY & RENEWABLE ENERGY: Washington, DC, USA, 2006; pp. 1–5.
- Nallathambi, V.; Lee, J.W.; Kumaraguru, S.P.; Wu, G.; Popov, B.N. Development of high performance carbon composite catalyst for oxygen reduction reaction in PEM Proton Exchange Membrane fuel cells. J. Power Sources 2008, 183, 34–42. [Google Scholar] [CrossRef]
- Sidik, R.A.; Anderson, A.B.; Subramanian, N.P.; Kumaraguru, S.P.; Popov, B.N. O2 reduction on graphite and nitrogen-doped graphite: Experiment and theory. J. Phys. Chem. B 2006, 110, 1787–1793. [Google Scholar] [CrossRef]
- Matter, P.H.; Ozkan, U.S. Non-metal catalysts for dioxygen reduction in an acidic electrolyte. Catal. Lett. 2006, 109, 115–123. [Google Scholar] [CrossRef]
- Matter, P.H.; Zhang, L.; Ozkan, U.S. The role of nanostructure in nitrogen-containing carbon catalysts for the oxygen reduction reaction. J. Catal. 2006, 239, 83–96. [Google Scholar] [CrossRef]
- Matter, P.H.; Wang, E.; Millet, J.M.; Ozkan, U.S. Characterization of the iron phase in CNx-based oxygen reduction reaction catalysts. J. Phys. Chem. C 2007, 111, 1444–1450. [Google Scholar] [CrossRef]
- Subramanian, N.P.; Li, X.; Nallathambi, V.; Kumaraguru, S.P.; Colon-Mercado, H.; Wu, G.; Lee, J.W.; Popov, B.N. Nitrogen-modified carbon-based catalysts for oxygen reduction reaction in polymer electrolyte membrane fuel cells. J. Power Sources 2009, 188, 38–44. [Google Scholar] [CrossRef]
- Oh, H.S.; Oh, J.G.; Lee, W.H.; Kim, H.J.; Kim, H. The influence of the structural properties of carbon on the oxygen reduction reaction of nitrogen modified carbon based catalysts. Int. J. Hydrog. Energy 2011, 36, 8181–8186. [Google Scholar] [CrossRef]
- Shu, Q.; Gao, J.; Nawaz, Z.; Liao, Y.; Wang, D.; Wang, J. Synthesis of biodiesel from waste vegetable oil with large amounts of free fatty acids using a carbon-based solid acid catalyst. Appl. Energy 2010, 87, 2589–2596. [Google Scholar] [CrossRef]
- Toda, M.; Takagaki, A.; Okamura, M.; Kondo, J.N.; Hayashi, S.; Domen, K.; Hara, M. Green chemistry: Biodiesel made with sugar catalyst. Nature 2005, 438, 178. [Google Scholar] [CrossRef]
- Dehkhoda, A.M.; West, A.H.; Ellis, N. Biochar based solid acid catalyst for biodiesel production. Appl. Catal. A 2010, 382, 197–204. [Google Scholar] [CrossRef]
- Lou, W.Y.; Zong, M.H.; Duan, Z.Q. Efficient production of biodiesel from high free fatty acid-containing waste oils using various carbohydrate-derived solid acid catalysts. Bioresour. Technol. 2008, 99, 8752–8758. [Google Scholar] [CrossRef]
- Wang, J.; Xu, W.; Ren, J.; Liu, X.; Lu, G.; Wang, Y. Efficient catalytic conversion of fructose into hydroxymethylfurfural by a novel carbon-based solid acid. Green Chem. 2011, 13, 2678–2681. [Google Scholar] [CrossRef]
- Alsultan, G.A.; Asikin-Mijan, N.; Lee, H.V.; Albazzaz, A.S.; Taufiq-Yap, Y.H. Deoxygenation of waste cooking to renewable diesel over walnut shell-derived nanorode activated carbon supported CaO-La2O3 catalyst. Energy Convers. Manag. 2017, 151, 311–323. [Google Scholar] [CrossRef]
- Chen, J.; Shi, H.; Li, L.; Li, K. Deoxygenation of methyl laurate as a model compound to hydrocarbons on transition metal phosphide catalysts. Appl. Catal. B. 2014, 144, 870–884. [Google Scholar] [CrossRef]
- Kubička, D.; Horáček, J. Deactivation of HDS catalysts in deoxygenation of vegetable oils. Appl. Catal. A Gen. 2011, 394, 9–17. [Google Scholar] [CrossRef]
- Arun, N.; Sharma, R.V.; Dalai, A.K. Green diesel synthesis by hydrodeoxygenation of bio-based feedstocks: Strategies for catalyst design and development. Renew. Sustain. Energy Rev. 2015, 48, 240–255. [Google Scholar] [CrossRef]
- Abdulkareem-Alsultan, G.; Asikin-Mijan, N.; Mansir, N.; Lee, H.V.; Zainal, Z.; Islam, A.; Taufiq-Yap, Y.H. Pyro-lytic de-oxygenation of waste cooking oil for green diesel production over Ag2O3-La2O3/AC nano-catalyst. J. Anal. Appl. Pyrolysis 2019, 137, 171–184. [Google Scholar] [CrossRef]
- Asikin-Mijan, N.; Afandi, A.; Abdulkareem-Alsultan, G.; Lee, H.V.; Taufiq-Yap, Y.H. Production of green diesel via cleaner catalytic deoxygenation of Jatropha curcas oil. J. Clean. Prod. 2017, 167, 1048–1059. [Google Scholar] [CrossRef]
- Lestari, S.; Mäki-Arvela, P.; Simakova, I.; Beltramini, J.; Lu, G.M.; Murzin, D.Y. Catalytic deoxygenation of stearic acid and palmitic acid in semibatch mode. Catal. Lett. 2009, 130, 48–51. [Google Scholar] [CrossRef]
- Santiago, N.; Sanchez-Castillo, M.A.; Cortright, R.D.; Dumesic, J.A. Catalytic reduction of acetic acid, methyl acetate, and ethyl acetate over silica-supported copper. J. Catal. 2000, 193, 16–28. [Google Scholar] [CrossRef]
- Rozmysłowicz, B.; Maki-Arvela, P.; Tokarev, A.; Leino, A.R.; Eränen, K.; Murzin, D.Y. Influence of hydrogen in catalytic deoxygenation of fatty acids and their derivatives over Pd/C. Ind. Eng. Chem. Res. 2012, 51, 8922–8927. [Google Scholar] [CrossRef]
- Auersvald, M.; Shumeiko, B.; Vrtiška, D.; Straka, P.; Staš, M.; Šimáček, P.; Kubička, D. Hydrotreatment of straw bio-oil from ablative fast pyrolysis to produce suitable refinery intermediates. Fuel. 2019, 238, 98–110. [Google Scholar] [CrossRef]
- Lestari, S.; Simakova, I.; Tokarev, A.; Maki-Arvela, P.; Eranen, K.; Murzin, D.Y. Synthesis of biodiesel via deoxygenation of stearic acid over supported Pd/C catalyst. Catal. Lett. 2008, 122, 247–251. [Google Scholar] [CrossRef]
- Li, S.; Wang, Y.; Dong, S.; Chen, Y.; Cao, F.; Chai, F. Biodiesel production from Eruca sativa Gars vegetable oil and motor, emissions properties. Renew. Energy 2009, 34, 1871–1876. [Google Scholar] [CrossRef]
- Meller, E.; Green, U.; Aizenshtat, Z.; Sasson, Y. Catalytic deoxygenation of castor oil over Pd/C for the production of cost effective biofuel. Fuel 2014, 133, 89–95. [Google Scholar] [CrossRef]
- Yeh, T.M.; Hockstad, R.L.; Linic, S.; Savage, P.E. Hydrothermal decarboxylation of unsaturated fatty acids over PtSnx/C catalysts. Fuel 2015, 156, 219–224. [Google Scholar] [CrossRef]
- Popov, S.; Kumar, S. Rapid hydrothermal deoxygenation of oleic acid over activated carbon in a continuous flow process. Energy Fuels 2015, 29, 3377–3384. [Google Scholar] [CrossRef]
- Silva, L.N.; Fortes, I.C.P.; De Sousa, F.P.; Pasa, V.M.D. Biokerosene and green diesel from macauba oils via catalytic deoxygenation over Pd/C. Fuel 2016, 164, 329–338. [Google Scholar] [CrossRef]
- Eibner, S.; Margeriat, A.; Broust, F.; Laurenti, D.; Geantet, C.; Julbe, A.; Blin, J. Catalytic deoxygenation of model compounds from flash pyrolysis of lignocellulosic biomass over activated charcoal-based catalysts. Appl. Catal. B 2017, 219, 517–525. [Google Scholar] [CrossRef]
- Viegas, C.V.; Hachemi, I.; Freitas, S.P.; Mäki-Arvela, P.; Aho, A.; Hemming, J.; Smeds, A.; Heinmaa, I.; Fontes, F.B.; Pereira, D.C.S.; et al. A route to produce renewable diesel from algae: Synthesis and characterization of biodiesel via in situ transesterification of chlorella alga and its catalytic deoxygenation to renewable diesel. Fuel 2015, 155, 144–154. [Google Scholar] [CrossRef]
- Wang, W.-C.; Bai, C.J.; Thapaliya, N. The production of renewable transportation fuel through fed-batch and continuous deoxygenation of vegetable oil derived fatty acids over Pd/C catalyst. Int. J. Energy Res. 2015, 39, 1083–1093. [Google Scholar] [CrossRef]
- Aslam, M.; Konwar, L.J.; Sarma, A.K.; Kothiyal, N.C. An investigation of catalytic hydrocracking of high FFA vegetable oils to liquid hydrocarbons using biomass derived heterogeneous catalysts. J. Anal. Appl. 2015, 115, 401–409. [Google Scholar] [CrossRef]




| Fuel Properties | Biodiesel | Green Diesel |
|---|---|---|
| Oxygen, % | 11 | 0 |
| Specific gravity | 0.88 | 0.78 |
| Sulfur, ppm | <1 | <1 |
| Heating value, MJ/kg | 38 | 44 |
| Cloud point, °C | −5 to +15 | −20 to +20 |
| Cetane | 50–65 | 70–90 |
| Stability | Marginal | Good |
| Method | Catalyst | Carbon Source | Synthesis Method | Surface Area (m2g-1) | Remarks | Ref. |
|---|---|---|---|---|---|---|
| N-containing carbon | FeNx/C CoNx/C CoFe3Nx/C Co3FeNx/C CoFeNx/C | Carbon black | Co–N or Co–Fe–N chelate complex on the carbon support, | - | N-treated carbon are the real active sites | [79] [80] [81] |
| Vulcan carbon (VC) Fe/VC Ni/VC | Vulcan carbon | Vulcan carbon impregnated with 2 wt % Fe or 2 wt % Ni | 228–234 | N-containing carbon samples in nanostructures resulting in exposure of more edge planes and lead to high activity | [86] | |
| C UF-C SeUF-C | Carbon black | Nitrogen-rich polymeric resins on the oxidized carbon. Resins: melamine formaldehyde (MF), urea formaldehyde (UF), thiourea formaldehyde (TUF), and selenourea formaldehyde (SeUF) by a simple addition-condensation reaction on the oxidized carbon | 321–694 | On the carbon surface, pyridinic (quaternary) and graphitic nitrogens act as catalytic sites for oxygen reduction | [87] | |
| Sulfonation | V–C-600–S-210 | Vegetable oil asphalt | Carbonized vegetable oil asphalt (5.0 g) and 100 mL concentrated H2SO4 (96%) | - | high catalytic activity and stability related to its high acid site density (–OH, Brönsted acid sites) | [89] |
| Sulfonated C | D-glucose sucrose | Sulfonate incompletely carbonized saccharides | - | High stability of catalyst | [90] [92] | |
| Cat A1 Cat A2 Cat A3 | Biochar | Sulfonation by H2SO4 followed by KOH chemical treatment | 2–6 | High stability of catalyst | [91] | |
| Phosporus-metal dual doped carbon | CaO-La2O3/ACnano | Walnut shell | AC treated by phosphoric acid followed by incorporation of Ca and La species via vacuum impregnation method | 150–223 | Balance acid–base sites formed | [94] |
| Catalyst | Reaction | Feed | Reaction Condition | Reactor Mode | H/C Yield (%) | Diesel Selectivity (%) | Coke (wt %) | Ref. |
|---|---|---|---|---|---|---|---|---|
| Pd/C, Pd/Sebunit | DO | Lauric acid | 26 h, 300 °C: 0.075 ml/min reactant flow rate (WHSV 0.33h−1), 15 bar Ag, 10 ml/min argon flow, 4.4 mol/l (solvent-free conditions). | Fixed-bed | >80 | - | - | [38] |
| Pd/C | DO | Lauric acid | 1 h; 270 °C; Atm pressure | Fixed-bed | - | - | - | [96] |
| Pd/C, Pt/C | DO | Stearic acid | 6 h; 300 °C, 6 bar; He 25ml/min | Semibatch | >90 | 98 | - | [101] |
| MgO-C | DO | Palm oil | 430 °C, feed late 13.5 g/h., under atm pressure | Semibatch | 65 | 12 | - | [11] |
| Ni/MWCNT NiCo/MWCNT | DO | JCO | 1 h; 350 °C; partial vacuum condition | Semibatch | 82 | 48 | - 4.5 | [99] |
| CaO-La2O3/ACnano | DO | WCO | 3 h; 330 °C; N2 flow condition | Semibatch | 73 | 82 | 1.5 | [101] |
| Ag2O3–La2O3/ACnano | DO | WCO | 2 h; 350 °C; N2 flow condition | Semibatch | 89 | 93 | 1.8 | [98] |
© 2019 by the authors. Licensee MDPI, Basel, Switzerland. This article is an open access article distributed under the terms and conditions of the Creative Commons Attribution (CC BY) license (http://creativecommons.org/licenses/by/4.0/).
Share and Cite
Abdulkareem-Alsultan, G.; Asikin-Mijan, N.; Lee, H.V.; Rashid, U.; Islam, A.; Taufiq-Yap, Y.H. A Review on Thermal Conversion of Plant Oil (Edible and Inedible) into Green Fuel Using Carbon-Based Nanocatalyst. Catalysts 2019, 9, 350. https://doi.org/10.3390/catal9040350
Abdulkareem-Alsultan G, Asikin-Mijan N, Lee HV, Rashid U, Islam A, Taufiq-Yap YH. A Review on Thermal Conversion of Plant Oil (Edible and Inedible) into Green Fuel Using Carbon-Based Nanocatalyst. Catalysts. 2019; 9(4):350. https://doi.org/10.3390/catal9040350
Chicago/Turabian StyleAbdulkareem-Alsultan, G., N. Asikin-Mijan, H. V. Lee, Umer Rashid, Aminul Islam, and Y. H. Taufiq-Yap. 2019. "A Review on Thermal Conversion of Plant Oil (Edible and Inedible) into Green Fuel Using Carbon-Based Nanocatalyst" Catalysts 9, no. 4: 350. https://doi.org/10.3390/catal9040350
APA StyleAbdulkareem-Alsultan, G., Asikin-Mijan, N., Lee, H. V., Rashid, U., Islam, A., & Taufiq-Yap, Y. H. (2019). A Review on Thermal Conversion of Plant Oil (Edible and Inedible) into Green Fuel Using Carbon-Based Nanocatalyst. Catalysts, 9(4), 350. https://doi.org/10.3390/catal9040350

