Abstract
Pyrrolidine and its derivatives were used to catalyze aldol and Knoevenagel condensations for the formation of the olefinic (C=C) bond under solvent-free conditions. The 3-pyrrolidinamine showed high activity and afforded excellent yields of α,β-unsaturated compounds. The aldol condensation of aromatic/heterocyclic aldehydes with ketones affords enones in high conversion (99.5%) and selectivity (92.7%). Good to excellent yields of α,β-unsaturated compounds were obtained in the Knoevenagel condensation of aldehydes with methylene-activated substrates.
1. Introduction
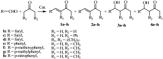
The formation of a new olefinic (C=C) bond, which is one of the most fundamental transformations in organic synthesis, is well represented by aldol and Knoevenagel condensations. This transformation is generally achieved in the presence of a strong acid or base such as HCl [1,2], p-toluenesulfonic acid [3], and potassium or sodium hydroxide [4,5]; the drawbacks of poor chemoselectivity and yield, heavy corrosion, difficulty in separation and recovery, and disposal of the spent catalyst have limited the development of these methods. To overcome the disadvantages caused by liquid acids or bases, tremendous efforts toward developing highly efficient and environmentally friendly catalysts have been made in recent years. In this endeavor, the development of organocatalysts is among the most important advances. Organocatalysis have some favorable properties, such as mild reaction conditions, being environmentally friendly, and the allowing for the facile recovery of catalysts [6]. Organic small molecules, especially proline and its structural analogues, as catalysts in the aldol condensation reactions [7,8,9,10,11,12,13,14,15,16,17,18,19] and Knoevenagel condensations [20,21,22] have been reported. As a rule, the major products of most aldol condensations are β-hydroxy ketones; also, the organic solvents employed in these reactions, such as DMSO and DMF, are not environmentally friendly. Recently, it was found that pyrrolidine and piperidine can catalyze the aldol condensation reactions in aqueous medium for the formation of β-hydroxy ketones, and the selectivity for enones is too low [23]. Herein, we report the results of an investigation on the feasibility of the application of cyclic secondary amines as catalysts in aldol and Knoevenagel condensations for the formation of α,β-unsaturated compounds without solvent (Scheme 1). Pyrrolidine with two active centers exhibited good catalytic activity which allowed us to develop a new method for the formation of olefinic (C=C) bonds catalyzed by organocatalysts.
Scheme 1.
Condensation reaction of aromatic/heterocyclic aldehydes with ketones or methylene-activated substrates catalyzed by cyclic secondary amines.
2. Results and Discussion
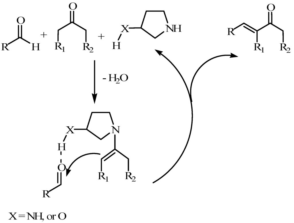
Originally, a probe reaction of furaldehyde (10 mmol) and butanone (60 mmol) was carried out at 60 °C under solvent-free conditions catalyzed by these cyclic secondary amines (4 mol %) and the results are shown in Table 1. Pyrrolidine and its derivatives exhibited high activity (Table 1, entries 1–4), in particular 3-pyrrolidinamine and 3-pyrrolidinol were very effective. The best conversion of furaldehyde (99.5%) and selectivity for enones (92.7%) were obtained over 3-pyrrolidinamine in 1 h (Table 1, entry 1), affording an 83.0% isolated yield of 1a. The conversion (94.6%) and selectivity (87.7%) decreased slightly when 3-pyrrolidinol was used as a catalyst (Table 1, entry 2). As for pyrrolidine, a moderate conversion of 80.2% and selectivity of 62.2% were achieved (Table 1, entry 3). We also investigated the activity of l-proline, which was inferior in behavior in this reaction compared to other five-membered pyrrolidine rings. We determined the pH of the 4 mol % aqueous solution of pyrrolidine and its derivatives. The alkalinity order of the four cyclic secondary amines is: pyrrolidine (13.23) > 3-pyrrolidinamine (12.62) > 3-pyrrolidinol (12.35) > l-proline (7.28). The result suggested that cyclic amines with moderate alkalinity and two active centers exhibited high activity. Plausible pathways are shown in Scheme 2 and we consider that the ratio of the aldol condensation was promoted by the hydrogen bonding between the amino group or the hydroxy group of 3-pyrrolidinamine or 3-pyrrolidinol and the aldehyde [24,25].
Table 1.
Catalytic activity of different cyclic secondary amines on the aldol condensation of furaldehyde and butanone.
Scheme 2.
A plausible pathway of the aldol condensation catalyzed by 3-pyrrolidinamine or 3-pyrrolidinol.
Other cyclic secondary amines could also catalyze the aldol condensation; the reaction of furaldehyde and butanone was performed in the presence of indoline, piperidine, or 1,2,3,4-tetrahydroquinoline (Table 1, entries 5–7). Their catalytic activities seem to be extremely inferior to that of 3-pyrrolidinamine.
To optimize the aldol condensation conditions of furaldehyde and butanone, the effects of catalyst loading, the molar ratio of butanone to furaldehyde, the reaction temperature, and the reaction time were also investigated with 3-pyrrolidinamine as the catalyst, and the results are summarized in Table 2. The catalyst loading had a great effect on the reaction. When the percent content of 3-pyrrolidinamine increased from 1 mol % to 4 mol % (Table 2, entries 1–3), the conversion of furaldehyde increased from 44.9% to 99.8%, and a further increase to 5 mol % resulted in a 99.7% conversion (Table 2, entry 4). The selectivity for enones showed a maximum with the molar percent content of the 3-pyrrolidinamine increases. Hence, the optimal amount of catalyst is 4 mol %. Increasing the molar ratio of butanone to furaldehyde is propitious for the reaction (Table 2, entries 3, 5–8) because the excess of one of the reactants makes the equilibrium shift towards the product side. The dependence of the conversion of furaldehyde and the selectivity for enones on the reaction temperature was investigated in the range of 40–60 °C (Table 2, entries 3, 9). The results showed that with the temperature increase from 40 °C to 60 °C, the conversion and selectivity increased from 85.3% to 99.8% and 83.3% to 87.0%, respectively. The reaction was also influenced by the reaction time (Table 2, entries 3, 10–11). When the reactants were stirred for 1 h, the conversion of furaldehyde could reach 99.5%, and the selectivity for enones could reach 92.7%, suggesting the high efficiency of the organocatalysts.
Table 2.
Effect of different reaction conditions using 3-pyrrolidinamine as the catalyst.
The applicability of this catalytic system for the reaction of other aromatic/heterocyclic aldehydes and different ketones was also studied and the results were summarized in Table 3. The reaction of acetone with furaldehyde affords aldol adducts in good conversion but the selectivity for enone is only 51.4% (Table 3, entry 1). The cyclic donor cyclohexanone gave product 1d, with 90.4% conversion and 90.9% selectivity (Table 3, entry 2). When acetophenone reacted with furaldehyde at 60 °C for 1 h, the conversion was only 56.3% while the selectivity for 1c could reach 100%. Once the reaction time was prolonged to 20 h, the conversion of furaldehyde could be increased by up to 86.2% (Table 3, entry 3). To elaborate the synthetic utility further, aromatic aldehydes were also used. The results indicated that aromatics containing electron-donating substituents such as -OCH3 and -CH3 gave corresponding enones with 98.8%–100% conversion and 96.2%–96.8% selectivity within 1 h at 40 °C (Table 3, entries 4, 5). When benzaldehyde, which does not have any substituents on the aromatic rings, was used as the reactant, 98.6% conversion and 96.0% selectivity for 1e and 2e were also obtained, respectively (Table 3, entry 6). The aldol condensation of nitro-substituted aromatic aldehyde with butanone was also successful but the catalytic activity was slightly inferior (Table 3, entry 7). Thus, the feasibility of the 3-pyrrolidinamine catalyzing the aldol condensation of butanone with aromatic aldehydes is dependent on the electrophilicity of the respective aldehydes, and electron-rich aldehydes favor the formation of enones, which is consistent with a previous study [23].
Table 3.
Aldol condensation of aromatic/heterocyclic aldehydes with ketones catalyzed by 3-pyrrolidinamine.
To obtain more insight into the catalytic possibilities of 3-pyrrolidinamine, we investigated the Knoevenagel condensations of a series of aldehydes with methylene-activated substrates for the synthesis of α,β-unsaturated compounds. Good to excellent yields were observed in all cases. As can be seen from Table 4, the condensation of furaldehyde with malononitrile or dimethyl malonate was very fast (within 10 min) using 1 mol % 3-pyrrolidinamine as the catalyst. The yield of 5c was found to be 94.5% when the condensation was done with malononitrile (Table 4, entry 1). As for the dimethyl malonate, the yield of the corresponding product was 92.5% (Table 4, entry 2). The condensation of furaldehyde with diethyl malonate took 1 h to achieve a 96.8% yield of 5a (Table 4, entry 3). Thereafter, we studied the scope of the 3-pyrrolidinamine–catalyzed Knoevenagel condensation towards various aromatic aldehydes with diethyl malonate. Aromatic aldehydes with electron-donating or -withdrawing substituents reacted efficiently and relatively quickly with diethyl malonate, giving condensation products 5d–5h in high yields. We observed a significant yield (91.8%) in the reaction of benzaldehyde with diethyl malonate (Table 4, entry 4). The reactivity increased with the increasing electron density of the benzene ring which depends on the substituted groups (Table 4, entries 5–7). The condensation of nitrobenzaldehyde with diethyl malonate was more difficult compared to that of benzaldehyde (Table 4, entry 8).
Table 4.
Knoevenagel condensation of aromatic/heterocyclic aldehydes with methylene-activated substrates catalyzed by 3-pyrrolidinamine.
3. Experimental Section
The reactions were carried out in a 25 mL round-bottomed flask equipped with a magnetic stirrer. In a typical experiment, aldehyde (10 mmol), ketone or active methylene group (60 mmol) and amine (2.8 mmol) were charged into the flask, then the sealed reactor was heated at 40–60 °C for 10 min–20 h. After reaction, the round-bottomed flask was cooled to room temperature. The final products were identified and quantitatively analyzed by gas chromatography/mass spectrometry (GC/MS) (Agilent 7890A/5975C, Santa Clara, CA, USA) and GC (Agilent 6890 equipped with a SE-54 capillary column, Santa Clara, CA, USA), respectively. A known amount of furanidine was added as an internal standard to the product mixture before the GC analysis.
The 1H-NMR spectra and 13C-NMR spectra in CD3OD were recorded on an Avance TM III-400 MHz NMR spectrometer (Bruker, Switzerland) using tetramethylsilane (TMS) as internal standard. Chemical shifts are reported in parts per million (ppm, δ) and referenced to CD3OD (δ = 3.33).
1a: 1H-NMR (400 MHz, CD3OD): δ 1.12 (t, J = 12.0 Hz, 3H), 2.69 (q, J = 20.0 Hz, 2H ), 6.57 (q, J = 4.0 Hz, 1H), 6.62 (d, J = 16.0 Hz, 1H), 6.82 (d, J = 4.0 Hz, 1H), 7.41 (d, J = 16.0 Hz, 1H), 7.65 (d, J = 4.0 Hz, 1H), 13C-NMR (100 MHz, CD3OD): δ 7.22, 33.22, 112.28, 115.75, 122.63, 129.03, 145.29, 151.05, 201.79.
4. Conclusions
In conclusion, we have demonstrated that pyrrolidine and its derivatives catalyze the aldol and Knoevenagel condensations for the formation of olefinic (C=C) bonds under solvent-free conditions. The 3-pyrrolidinamine showed high activity and afforded good to excellent yields of α,β-unsaturated compounds. The electron-rich aromatic aldehydes are favored for the reactivity. The present study provides an environmentally friendly and high-yielding synthetic methodology for procuring α,β-unsaturated compounds.
Acknowledgments
This work was supported by the National Natural Science Foundation of China (Project No. 21473225).
Author Contributions
J.C. and H.S. conceived and designed the experiments; H.S., R.J., F.J. and M.K. performed the experiments and analyzed the data; H.S. and L.Z. wrote the paper and proofread the manuscript.
Conflicts of Interest
The authors declare no conflict of interest.
References
- Sipos, G.Y.; Sirokman, F. Chalcon formation of different substituted acetophenones and p-hydroxy-benzaldehyde. Nature 1964, 202, 489. [Google Scholar] [CrossRef]
- Kozlov, N.G.; Basalaeva, L.I. Synthesis of unsymmetrical β-arylaminoketones. Russ. J. Gen. Chem. 2004, 74, 926–932. [Google Scholar] [CrossRef]
- Le Gall, E.; Texier-Boullet, F.; Hamelin, J. Simple access to α,β-unsaturated ketones by acid-catalyzed solvent-free reactions. Synth. Commun. 1999, 29, 3651–3657. [Google Scholar] [CrossRef]
- Li, J.T.; Chen, G.F.; Wang, J.X.; Li, T.S. Ultrasound promoted synthesis of α,α′-bis(substituted furfurylidene) cycloalkanones and chalcones. Synth. Commun. 1999, 29, 965–971. [Google Scholar] [CrossRef]
- Sivakumar, P.M.; Seenivasan, S.P.; Kumar, V.; Doble, M. Synthesis, antimycobacterial activity evaluation, and QSAR studies of chalcone derivatives. Bioorg. Med. Chem. Lett. 2007, 17, 1695–1700. [Google Scholar] [CrossRef] [PubMed]
- Berkessel, A.; Groger, H. Asymmetric Organocatalysis; Wiley-VCH: Weinheim, Germany, 2005. [Google Scholar]
- List, B.; Lerner, R.A.; Barbas, C.F. Proline-catalyzed direct asymmetric Aldol reactions. J. Am. Chem. Soc. 2000, 122, 2395–2396. [Google Scholar] [CrossRef]
- Notz, W.; List, B.J. Catalytic asymmetric synthesis of anti-1,2-Diols. Am. Chem. Soc. 2000, 122, 7386–7387. [Google Scholar] [CrossRef]
- List, B.; Pojarliev, P.; Castello, C. Proline-catalyzed asymmetric Aldol reactions between ketones and α-unsubstituted aldehydes. Org. Lett. 2001, 3, 573–575. [Google Scholar] [CrossRef] [PubMed]
- Sakthivel, K.; Notz, W.; Bui, T.; Barbas, C.F. Amino acid catalyzed direct asymmetric aldol reactions: A bioorganic approach to catalytic asymmetric carbon-carbon bond-forming reactions. J. Am. Chem. Soc. 2001, 123, 5260–5267. [Google Scholar] [CrossRef] [PubMed]
- Co´rdova, A.; Notz, W.; Barbas, C.F., III. Proline-Catalyzed One-Step Asymmetric Synthesis of 5-Hydroxy-(2E)-hexenal from Acetaldehyde. J. Org. Chem. 2002, 67, 301–303. [Google Scholar] [CrossRef]
- Hajos, Z.G.; Parrish, D.R. Asymmetric synthesis of bicyclic intermediates of natural product chemistry. J. Org. Chem. 1974, 39, 1615–1621. [Google Scholar] [CrossRef]
- Eder, U.; Sauer, G.; Wiechert, R. New type of asymmetric cyclization to optically active steroid CD partial structures. Angew. Chem. Int. Ed. 1971, 10, 496–497. [Google Scholar] [CrossRef]
- Northrup, A.B.; MacMillan, D.W.C. The first direct and enantioselective cross-aldol reaction of aldehydes. J. Am. Chem. Soc. 2002, 124, 6798–6799. [Google Scholar] [CrossRef] [PubMed]
- Bøgevig, A.; Kumaragurubaran, N.; Jørgensen, K.A. Direct catalytic asymmetric aldol reactions of aldehydes. Chem. Commun. 2002, 620–621. [Google Scholar] [CrossRef]
- Dickerson, T.J.; Janda, K.D. Aqueous aldol catalysis by a nicotine metabolite. J. Am. Chem. Soc. 2002, 124, 3220–3221. [Google Scholar] [CrossRef] [PubMed]
- Cordova, A.; Notz, W.; Barbas, C.F., III. Direct organocatalytic aldol reactions in buffered aqueous media. Chem. Commun. 2002, 3024–3025. [Google Scholar] [CrossRef]
- Reymond, J.L.; Chen, Y.W. Catalytic, Enantioselective aldol reaction with an artificial aldolase assembled from a primary amine and an antibody. J. Org. Chem. 1995, 60, 6970–6979. [Google Scholar] [CrossRef]
- Dickerson, T.J.; Lovell, T.; Meijler, M.M.; Noodleman, L.; Janda, K.D. Nornicotine aqueous aldol reactions: Synthetic and theoretical investigations into the origins of catalysis. J. Org. Chem. 2004, 69, 6603–6609. [Google Scholar] [CrossRef] [PubMed]
- Wang, Y.; Shang, Z.; Wu, T.; Fan, J.; Chen, X. Synthetic and theoretical study on proline-catalyzed Knoevenagel condensation in ionic liquid. J. Mol. Catal. A Chem. 2006, 253, 212–221. [Google Scholar] [CrossRef]
- Forbes, D.C.; Law, A.M.; Morrison, D.W. The Knoevenagel reaction: Analysis and recycling of the ionic liquid medium. Tetrahedron Lett. 2006, 47, 1699–1703. [Google Scholar] [CrossRef]
- Santamarta, F.; Verda, P.; Tojo, E. A simple, efficient and green procedure for Knoevenagel reaction in [MMIm][MSO4] ionic liquid. Catal. Commun. 2008, 9, 1779–1781. [Google Scholar] [CrossRef]
- Chimni, S.S.; Mahajan, D. Electron deficiency of aldehydes controls the pyrrolidine catalyzed direct cross-aldol reaction of aromatic/heterocyclic aldehydes and ketones in water. Tetrahedron 2005, 61, 5019–5025. [Google Scholar] [CrossRef]
- Bertelsen, S.; Marigo, M.; Brandes, S.; Diner, P.; Joergensen, K.A. Dienamine Catalysis: Organocatalytic Asymmetric γ-Amination of γ,β-Unsaturated Aldehydes. J. Am. Chem. Soc. 2006, 128, 12973–12980. [Google Scholar] [CrossRef] [PubMed]
- Heckel, T.; Konieczna, D.D.; Wilhelm, P. An Ionic Liquid Solution of Chitosan as Organocatalyst. Catalysts 2013, 3, 914–921. [Google Scholar] [CrossRef]
© 2016 by the authors; licensee MDPI, Basel, Switzerland. This article is an open access article distributed under the terms and conditions of the Creative Commons Attribution (CC-BY) license (http://creativecommons.org/licenses/by/4.0/).






















