Construction of La/NiAl-LDO Catalyst for CO2 Methanation Performance and Reaction Kinetics
Abstract
1. Introduction
2. Results and Discussion
2.1. XRD Analysis
2.2. N2 Adsorption
2.3. SEM and TEM Analyses
2.4. H2-TPR and XPS Analyses
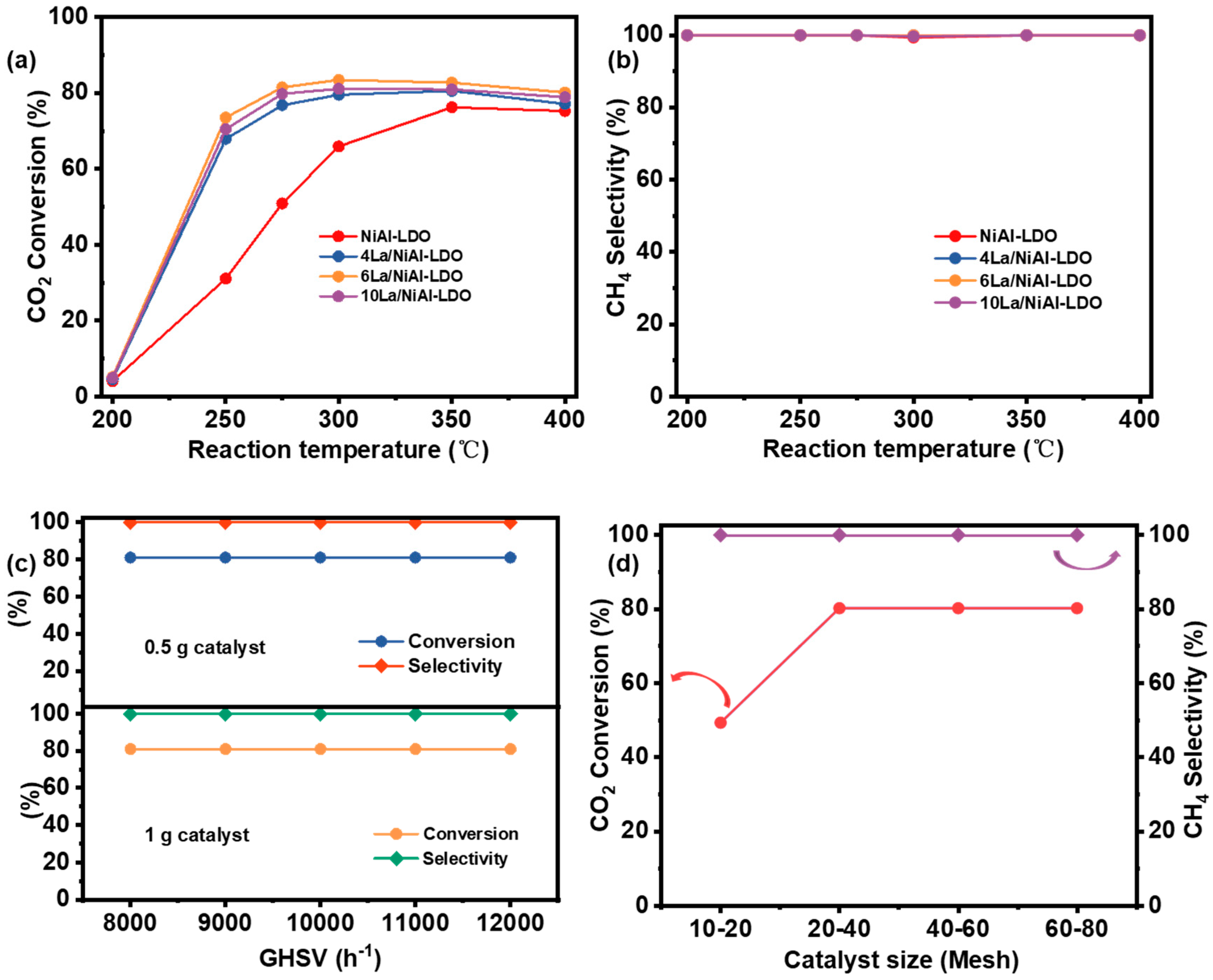
2.5. Catalytic Hydrogenation of CO2
3. Reaction Kinetics
3.1. Determination of Reaction Orders
3.2. Apparent Activation Energy
3.3. Proposed Mechanism for CO2 Methanation
4. Experimental Section
4.1. Materials
4.2. Preparation of NiAl-LDH
4.3. Preparation of xLa/40NiAl-LDO
4.4. Catalyst Characterization
4.5. Catalyst Evaluation
5. Conclusions
Supplementary Materials
Author Contributions
Funding
Data Availability Statement
Acknowledgments
Conflicts of Interest
References
- Inoue, M.; Noda, R.; Shiga, R.; Fujiki, J.; Nakagawa, N. Derivation of a Kinetic Rate Expression and Parameters for CO2 Methanation over Ni/Na/γ-Al2O3 in a Dual Functional Material System. Fuel 2026, 406, 137026. [Google Scholar] [CrossRef]
- Xu, Y.; Cui, G. Influence of Spectral Characteristics of the Earth’s Surface Radiation on the Greenhouse Effect: Principles and Mechanisms. Atmos. Environ. 2021, 244, 117908. [Google Scholar] [CrossRef]
- Zhang, J.; Lin, H.; Li, S.; Yang, E.; Ding, Y.; Bai, Y.; Zhou, Y. Accurate Gas extraction (AGE) under the Dual-Carbon Background: Green Low-Carbon Development Pathway and Prospect. J. Clean. Prod. 2022, 377, 134372. [Google Scholar] [CrossRef]
- Budinis, S.; Krevor, S.; Dowell, N.M.; Brandon, N.; Hawkes, A. An Assessment of CCS Costs, Barriers and Potential. Energy Strategy Rev. 2018, 22, 61–81. [Google Scholar] [CrossRef]
- Li, L.; Huai, W.; Zhang, Y.; Chen, X.; Li, P.; Jin, S.; Zhou, T.; Zhang, Y.; Lin, H. Ca-Ni-Based Dual-Function Materials for Integrated CO2 Capture and in-Situ Methanation with CO and HC Synergistic Purification. Sep. Purif. Technol. 2025, 379, 135151. [Google Scholar] [CrossRef]
- Ricca, A.; Renda, S.; Di Stasi, C.; Truda, L.; Palma, V. Effective H2 Conversion to Substitute Natural Gas on Ni-Based Catalysts: Role of Promoters and Synthesis Method. Renew. Energy 2026, 256, 124179. [Google Scholar] [CrossRef]
- Nasser, G.A.; Bakare, A.I.; Sanhoob, M.A.; Kopyscinski, J. CO2 Methanation over BEA Zeolite Catalysts: Effect of MgO and in-Situ Ni Incorporation. Catal. Today 2026, 462, 115572. [Google Scholar] [CrossRef]
- The Technological and Economic Prospects for CO2 Utilization and Removal. Nature 2019, 575, 87–97. [CrossRef] [PubMed]
- Gac, W.; Zawadzki, W.; Słowik, G.; Kuśmierz, M.; Dzwigaj, S. The State of BEA Zeolite Supported Nickel Catalysts in CO2 Methanation Reaction. Appl. Surf. Sci. 2021, 564, 150421. [Google Scholar] [CrossRef]
- Xu, X.; Liu, L.; Tong, Y.; Fang, X.; Xu, J.; Jiang, D.; Wang, X. Facile Cr3+-Doping Strategy Dramatically Promoting Ru/CeO2 for Low-Temperature CO2 Methanation: Unraveling the Roles of Surface Oxygen Vacancies and Hydroxyl Groups. ACS Catal. 2021, 11, 5762–5775. [Google Scholar] [CrossRef]
- Feng, C.; Jiang, H.; Wang, L.; Yang, G. In-Situ Encapsulation Synthesis of Ni-Ce/SBA-15 by EISA for Promoting CO2 Methanation. J. Environ. Chem. Eng. 2025, 13, 119302. [Google Scholar] [CrossRef]
- Rynkowski, J.M.; Paryjczak, T.; Lewicki, A.; Szynkowska, M.I.; Maniecki, T.P.; Jóźwiak, W.K. Characterization of Ru/CeO2-Al2O3 Catalysts and Their Performance in CO2 Methanation. React. Kinet. Catal. Lett. 2000, 71, 55–64. [Google Scholar] [CrossRef]
- Ge, H.; Kuwahara, Y.; Kusu, K.; Bian, Z.; Yamashita, H. Ru/HxMoO3-y with Plasmonic Effect for Boosting Photothermal Catalytic CO2 Methanation. Appl. Catal. B Environ. 2022, 317, 121734. [Google Scholar] [CrossRef]
- Visser, N.L.; Turner, S.J.; Stewart, J.A.; Vandegehuchte, B.D.; van der Hoeven, J.E.S.; de Jongh, P.E. Direct Observation of Ni Nanoparticle Growth in Carbon-Supported Nickel under Carbon Dioxide Hydrogenation Atmosphere. ACS Nano 2023, 17, 14963–14973. [Google Scholar] [CrossRef] [PubMed]
- Takenaka, S.; Shimizu, T.; Otsuka, K. Complete Removal of Carbon Monoxide in Hydrogen-Rich Gas Stream through Methanation over Supported Metal Catalysts. Int. J. Hydrogen Energy 2004, 29, 1065–1073. [Google Scholar] [CrossRef]
- Bermejo-López, A.; Pereda-Ayo, B.; Onrubia-Calvo, J.A.; González-Marcos, J.A.; González-Velasco, J.R. Boosting Dual Function Material Ni-Na/Al2O3 in the CO2 Adsorption and Hydrogenation to CH4: Joint Presence of Na/Ca and Ru Incorporation. J. Environ. Chem. Eng. 2023, 11, 109401. [Google Scholar] [CrossRef]
- Porta, A.; Matarrese, R.; Visconti, C.G.; Castoldi, L.; Lietti, L. Storage Material Effects on the Performance of Ru-Based CO2 Capture and Methanation Dual Functioning Materials. Ind. Eng. Chem. Res. 2021, 60, 6706–6718. [Google Scholar] [CrossRef]
- Promotion of Ru or Ni on Alumina Catalysts with a Basic Metal for CO2 Hydrogenation: Effect of the Type of Metal (Na, K, Ba). Nanomaterials 2022, 12, 1052. [CrossRef]
- Highly Active Ce- and Mg-Promoted Ni Catalysts Supported on Cellulose-Derived Carbon for Low-Temperature CO2 Methanation. Energy Fuels 2021, 35, 17212–17224. [CrossRef] [PubMed]
- Tatsumichi, T.; Okuno, R.; Hashimoto, H.; Namiki, N.; Maeno, Z. Direct Capture of Low-Concentration CO2 and Selective Hydrogenation to CH4 over Al2O3-Supported Ni–La Dual Functional Materials. Green Chem. 2024, 26, 10842–10850. [Google Scholar] [CrossRef]
- Tang, R.; Ullah, N.; Hui, Y.; Li, X.; Li, Z. Enhanced CO2 Methanation Activity over Ni/CeO2 Catalyst by One-Pot Method. Mol. Catal. 2021, 508, 111602. [Google Scholar] [CrossRef]
- Onrubia-Calvo, J.A.; Pereda-Ayo, B.; González-Marcos, J.A.; González-Velasco, J.R. Lanthanum Partial Substitution by Basic Cations in LaNiO3/CeO2 Precursors to Raise DFM Performance for Integrated CO2 Capture and Methanation. J. CO2 Util. 2024, 81, 102704. [Google Scholar] [CrossRef]
- Hu, L.; Urakawa, A. Continuous CO2 Capture and Reduction in One Process: CO2 Methanation over Unpromoted and Promoted Ni/ZrO2. J. CO2 Util. 2018, 25, 323–329. [Google Scholar] [CrossRef]
- Li, W.; Wang, H.; Jiang, X.; Zhu, J.; Liu, Z.; Guo, X.; Song, C. A Short Review of Recent Advances in CO2 Hydrogenation to Hydrocarbons over Heterogeneous Catalysts. RSC Adv. 2018, 8, 7651–7669. [Google Scholar] [CrossRef]
- Tai, J.Z.; Alias, H.; Shamjuddin, A.; Yusof, M.S.M.; Fan, W.K. Fundamentals and Advances in Photothermal CO2 Hydrogenation to Renewable Fuels over MOF-Hybrid Catalysts: A Review. J. Environ. Chem. Eng. 2025, 13, 116291. [Google Scholar] [CrossRef]
- Chen, C.; Kosari, M.; Jiang, Z.; Xi, S.; Xia, L.; Shao, Y.; He, C.; Zeng, H.C. Boosting CO2 Hydrogenation to Methanol via Enriching the Cu-ZnO Interface on Layered Double Oxides. Small 2025, 21, 2412786. [Google Scholar] [CrossRef]
- Liang, J.; Li, W.; Yang, T.; Peng, C.; Liu, B.; Chen, K.; Sun, Q.; Wang, B.; Fang, Y.; Xu, W.; et al. In-Situ Constructing AlTiZn/CN Heterojunction via Memory Effect for Effective Degradation of Naphthalene under UV Irradiation. Process Saf. Environ. Prot. 2025, 193, 501–513. [Google Scholar] [CrossRef]
- Obeid, M.; Poupin, C.; Labaki, M.; Aouad, S.; Delattre, F.; Gupta, S.; Lucette Tidahy, H.; Younis, A.; Ben Romdhane, F.; Gaigneaux, E.M.; et al. CO2 Methanation over LDH Derived NiMgAl and NiMgAlFe Oxides: Improving Activity at Lower Temperatures via an Ultrasound-Assisted Preparation. Chem. Eng. J. 2023, 474, 145460. [Google Scholar] [CrossRef]
- Nguyen-Quang, M.; Azzolina-Jury, F.; Samojeden, B.; Motak, M.; Da Costa, P. On the Influence of the Preparation Routes of NiMgAl-Mixed Oxides Derived from Hydrotalcite on Their CO2 Methanation Catalytic Activities. Int. J. Hydrogen Energy 2022, 47, 37783–37791. [Google Scholar] [CrossRef]
- Wang, J.; Fan, G.; Wang, H.; Li, F. Synthesis, Characterization, and Catalytic Performance of Highly Dispersed Supported Nickel Catalysts from Ni–Al Layered Double Hydroxides. Ind. Eng. Chem. Res. 2011, 50, 13717–13726. [Google Scholar] [CrossRef]
- Zhao, J.; Yuan, H.; Li, J.; Bing, W.; Yang, W.; Liu, Y.; Chen, J.; Wei, C.; Zhou, L.; Fang, S. Effects of Preparation Parameters of NiAl Oxide-Supported Au Catalysts on Nitro Compounds Chemoselective Hydrogenation. ACS Omega 2020, 5, 7011–7017. [Google Scholar] [CrossRef]
- Yao, Y.; Yu, F.; Li, J.; Li, J.; Li, Y.; Wang, Z.; Zhu, M.; Shi, Y.; Dai, B.; Guo, X. Two-Dimensional NiAl Layered Double Oxides as Non-Noble Metal Catalysts for Enhanced CO Methanation Performance at Low Temperature. Fuel 2019, 255, 115770. [Google Scholar] [CrossRef]
- Chen, X.; Sun, C.; Ye, R.; Zhang, Y.; Li, C.; Lim, K.H.; Wang, Y.; Arandiyan, H.; Xue, Q.; Chirawatkul, P.; et al. Tri-Synergistic Catalytic Mechanism of La-Doped Ternary Hydrotalcite for Low-Temperature CO2 Hydrogenation. Appl. Catal. B 2026, 382, 125909. [Google Scholar] [CrossRef]
- Quindimil, A.; De-La-Torre, U.; Pereda-Ayo, B.; González-Marcos, J.A.; González-Velasco, J.R. Ni Catalysts with La as Promoter Supported over Y- and BETA- Zeolites for CO2 Methanation. Appl. Catal. B 2018, 238, 393–403. [Google Scholar] [CrossRef]
- Shen, M.; Liu, D.; Fu, J.; Yao, X.; Chen, X.; Fu, J.; Yan, P.; Xiao, Z.; An, Q.; Huang, J. La2O2CO3-Supported Ni Nanoparticles with Enhanced Metal–Support Interactions for Selective Hydrogenation. ACS Appl. Nano Mater. 2025, 8, 2591–2597. [Google Scholar] [CrossRef]
- Raja, A.; Selvakumar, K.; Kang, M. Hydrogen Production via Water Splitting and Photocatalytic Cr(VI) Reduction Using Cadmium Sulfide-Integrated Ni–Co–Mn Layered Double Hydroxide. Fuel 2026, 406, 136949. [Google Scholar] [CrossRef]
- Wang, J.; Yang, X.; Ma, Q.; Gao, X.; Zhang, J.; Fan, S.; Zhao, T. Promotion of Al2O3 to Ni/In2O3 in the Low-Temperature CO2 + H2 Reaction to Methanol. Fuel 2026, 405, 136814. [Google Scholar] [CrossRef]
- Wang, X.; Wang, W.; Li, J.; Xia, Y.; He, J.; Cai, D.; Bian, J.; Zhan, G. Design of Intermetallic PdZn Catalysts Supported on ZnAl Layered Double Oxides for Enhanced CO2 Thermal Hydrogenation to Methanol. Chem. Eng. J. 2025, 505, 159456. [Google Scholar] [CrossRef]
- Duyar, M.S.; Ramachandran, A.; Wang, C.; Farrauto, R.J. Kinetics of CO2 Methanation over Ru/γ-Al2O3 and Implications for Renewable Energy Storage Applications. J. CO2 Util. 2015, 12, 27–33. [Google Scholar] [CrossRef]
- Alam Abir, M.; Phillips, R.E.; Klug, J.; Monte, G.; Harrah, J.; Schreiber, K.; Ball, M.R. Gadolinium-Modified Nickel Catalysts for Enhanced CO2 Methanation. ACS Catal. 2025, 15, 20472–20484. [Google Scholar] [CrossRef]
- Pedrola, M.; Miró, R.; Vicente, I.; Gual, A. Ni-Based Catalysts Coupled with SERP for Efficient Power-to-X Conversion. Catalysts 2025, 15, 1082. [Google Scholar] [CrossRef]
- Abbasi, Z.; Ren, J.; Li, Y.; Ahmed, S.M.; Ullah, I.; Lou, H.; Wu, W.; Wang, Z. Engineering a Pyridinic N–Ni Single-Atom Catalyst for Efficient Low-Temperature CO2 Methanation. ACS Sustain. Chem. Eng. 2025, 13, 20837–20845. [Google Scholar] [CrossRef]
- Liu, X.; Gao, F.; Huang, J.; Zeng, Y.; Zhong, Z.; Xing, W. Insights on the effect of Si-Al interaction on Ni/Al2O3/SiC monolithic catalysts for CO2 methanation. Chin. J. Chem. Eng. 2025, 87, 171–181. [Google Scholar] [CrossRef]










| Sample | SBET (m2/g) | VT (cm3/g) | Average Pore Size (nm) |
|---|---|---|---|
| NiAl-LDO | 149.2 | 0.33 | 11.28 |
| 4La/NiAl-LDO | 130.9 | 0.24 | 8.78 |
| 6La/NiAl-LDO | 97.8 | 0.21 | 7.58 |
| 10La/NiAl-LDO | 86.6 | 0.19 | 6.44 |
Disclaimer/Publisher’s Note: The statements, opinions and data contained in all publications are solely those of the individual author(s) and contributor(s) and not of MDPI and/or the editor(s). MDPI and/or the editor(s) disclaim responsibility for any injury to people or property resulting from any ideas, methods, instructions or products referred to in the content. |
© 2025 by the authors. Licensee MDPI, Basel, Switzerland. This article is an open access article distributed under the terms and conditions of the Creative Commons Attribution (CC BY) license.
Share and Cite
Zhu, S.; Cao, Y.; Cheng, F.; Wang, B.; Ren, X.; Li, W.; Liang, J. Construction of La/NiAl-LDO Catalyst for CO2 Methanation Performance and Reaction Kinetics. Catalysts 2026, 16, 28. https://doi.org/10.3390/catal16010028
Zhu S, Cao Y, Cheng F, Wang B, Ren X, Li W, Liang J. Construction of La/NiAl-LDO Catalyst for CO2 Methanation Performance and Reaction Kinetics. Catalysts. 2026; 16(1):28. https://doi.org/10.3390/catal16010028
Chicago/Turabian StyleZhu, Shenghua, Yanwei Cao, Fuchang Cheng, Bin Wang, Xiaoqian Ren, Weixing Li, and Jinhua Liang. 2026. "Construction of La/NiAl-LDO Catalyst for CO2 Methanation Performance and Reaction Kinetics" Catalysts 16, no. 1: 28. https://doi.org/10.3390/catal16010028
APA StyleZhu, S., Cao, Y., Cheng, F., Wang, B., Ren, X., Li, W., & Liang, J. (2026). Construction of La/NiAl-LDO Catalyst for CO2 Methanation Performance and Reaction Kinetics. Catalysts, 16(1), 28. https://doi.org/10.3390/catal16010028

