Next Article in Journal
Bandgap-Tunable ZnxCd1−xS Solid Solutions for Effective Photocatalytic Degradation of Norfloxacin Under Visible Light and Natural Sunlight
Previous Article in Journal
Catalase Functions and Glycation: Their Central Roles in Oxidative Stress, Metabolic Disorders, and Neurodegeneration
 
 
Font Type:
Arial Georgia Verdana
Font Size:
Aa Aa Aa
Line Spacing:
Column Width:
Background:
Article

Performance Study of Biomass Carbon-Based Materials in Electrocatalytic Fenton Degradation of Printing and Dyeing Wastewater

Institute of Marine Materials Science and Engineering, College of Ocean Science and Engineering, Shanghai Maritime University, Shanghai 201306, China
*
Authors to whom correspondence should be addressed.
Catalysts 2025, 15(9), 818; https://doi.org/10.3390/catal15090818
Submission received: 23 July 2025 / Revised: 23 August 2025 / Accepted: 26 August 2025 / Published: 28 August 2025

Abstract

Biomass carbon materials exhibit a significant specific surface area, carbon defects, and oxygen-containing functional groups during the electrochemical cathodic oxygen reduction (ORR) process, resulting in an enhanced adsorption–desorption of reaction intermediates (e.g., *OH and *OOH) by the catalyst. In this study, a cost-effective biomass-derived carbon material (HBC-500) was prepared through low-temperature pyrolysis at 500 °C using Spirulina as a precursor for H2O2 production. By employing surface engineering modification of the carbon-based material to promote the ORR process’s two-electron selectivity, HBC-500 demonstrated consistent experimental results with the RRDE findings at pH = 5, yielding 238.40 mg·L−1 of hydrogen peroxide within a 90 min duration at a current density of 50 mA·cm−2. Furthermore, HBC-500 accomplished over 95% degradation within 30 min at pH = 5 and maintained approximately 91.79% electrocatalytic activity after undergoing five consecutive electrocatalytic cycles lasting 300 min. These results establish HBC-500 biomass carbon material as a highly suitable candidate for H2O2 production and Fenton degradation of organic wastewater.

Graphical Abstract

1. Introduction

Driven by rapid urbanization and industrial growth, global freshwater demand is rising sharply. Beyond limited supply, worsening water quality from increasing municipal and industrial wastewater discharges is intensifying scarcity and threatening aquatic ecosystems, biodiversity, and human health [1]. This dual pressure has emerged as a pressing global issue, posing significant risks to the realization of the United Nations Sustainable Development Goals (SDGs) [2]. Currently, over half of the world’s population resides in areas where water resources are either insufficient in quantity or compromised in quality, making them unfit for basic needs. Without adequate treatment, wastewater rich in organic pollutants, heavy metals, nutrients, and other hazardous substances can inflict serious damage on aquatic ecosystems, disrupt ecological stability, and threaten biodiversity [3,4].
Once toxic substances enter the human body through ecological and food-chain pathways, they may harm vital organs such as the liver and kidneys, impair reproductive health, and even induce carcinogenesis [5]. Furthermore, contaminants in water can seep into agricultural soils and surrounding environments, reducing crop yields and undermining the living conditions of nearby communities [6,7].
The current methods of treatment of organic pollutants in industrial processes mainly include physical, biological, and chemical methods. The physical method mainly uses physical processes to separate and remove organic pollutants from water bodies, including adsorption [8], membrane separation [9], evaporation [10], condensation [11], etc. Its advantages are simple operation, no need to add chemicals to the treatment process, only physical treatment of pollutants, and no secondary pollution; however, the treatment efficiency is low, only applicable to the treatment of low concentrations of organic pollutants limits its wide range of commercial applications. The biological method uses the metabolic effect of microorganisms to transform organic pollutants into harmless substances, including biofilters, aerobic bacteria degradation, anaerobic bacteria degradation [12,13,14,15], etc. Its biggest advantage is that it can be degraded in nature, and the explanation process will not produce secondary pollution, but various types of bacteria to the temperature, pH and other restrictions are more stringent conditions, and the treatment speed is relatively slow. Chemical methods of treatment for organic pollutants include oxidation, reduction, and gelation [12,16,17,18], which can be applied to high-concentration and difficult-to-degrade organic pollutants in organic wastewater treatment, while the advanced oxidation method is gradually becoming mainstream in water pollution treatment due to its high efficiency and low cost.
Advanced oxidation is a treatment method that converts organic pollutants into harmless substances by means of a high-energy oxidation reaction. This method mainly uses strong oxidizing reactive substances such as hydroxyl radicals (·OH) and superoxide radicals (·O2−) to break the carbon–carbon and carbon–hydrogen bonds of large organic molecules in organic molecules, forming new oxidation products and eventually dismantling the molecular chains into substances such as carbon dioxide, water, and inorganic salts. Advanced oxidation methods are mainly divided into the following categories: photocatalytic oxidation, Fenton oxidation, ultrasonic catalytic oxidation, electrochemical oxidation, high-temperature oxidation, plasma oxidation, etc. [19,20].
One of the Fenton reagents, hydrogen peroxide, often requires complex, large-scale facilities and platinum- or palladium-containing catalysts in conventional synthesis methods, with the accompanying generation of large amounts of waste, and the unstable H2O2 requires expensive equipment and significant capital to maintain during storage and transfer. Therefore, it is hoped that the direct in situ generation of H2O2 during application provides a new idea to reduce the application cost of Fenton’s reagent, and the production of H2O2 by direct oxygen reduction with oxygen becomes one of the effective methods to replace the complex anthraquinone process [21,22,23,24]. However, processes that react oxygen and hydrogen directly to produce hydrogen peroxide will also generally require precious metal catalysts, and direct hydrogen–oxygen mixing poses a potential explosion risk. The direct reaction reduction of oxygen and water to hydrogen peroxide via electrochemical cathodic oxygen reduction (ORR) is gaining attention from scientists for its high efficiency, low cost, and low risk advantages, and this reaction channel, which can be directly in the liquid phase, is a promising development for Fenton reactions.
The production of H2O2 by electrochemical reduction of oxygen was first reported by Berl in the 1930s and was further developed by the well-known Huron–Dow process for the production of dilute alkaline H2O2. The Huron–Dow process was commercialized in 1991 as the dilute alkaline H2O2 produced could be used directly in the bleaching of pulp and paper [25]. However, the Huron–Dow process can only produce low purity and highly basic H2O2, which cannot be used in acidic and neutral solutions. Recently, the electro-Fenton process with a mixture of H2O2 and Fe2+ ions produced by electrochemical oxygen reduction has been extensively investigated to produce hydroxyl radicals (·OH), which can be further used to degrade organic pollutants [26,27,28]. In recent years, scientists have explored a large number of catalyst materials to be used for efficient cathodic oxygen reduction reactions to produce hydrogen peroxide, such as noble metals, metal oxides, carbon materials, etc. [29,30]. Among them, noble metals can be widely studied as catalysts for efficient conduct of four-electron cathodic oxygen reduction, after surface modification, or noble metals can enhance the adsorption and desorption ability of ORR intermediates, thus reaching the transfer from the four-electron pathway to the two-electron (the two- and four-electron processes for cathodic oxygen reduction reactions are shown in Equations (1) and (2) [31].
However, the high cost of noble metals makes them much less cost-effective for commercial applications, so it is important to develop a non-precious metal material with high two-electron selectivity and oxygen reduction activity. In contrast, carbon materials, especially biomass carbon materials, have a large specific surface area, carbon defects, and oxygen-containing functional groups in the electrocatalytic ORR process, which leads to a great enhancement of the adsorption–desorption of reaction intermediates (e.g., *OH and *OOH) by the catalyst, resulting in biomass carbon-based materials with great promise for two-electron cathodic oxygen reduction catalysis, and low cost of biomass carbon materials and processing methods low cost and high efficiency, making the development of low-cost biomass carbon electrocatalysts of great commercial value [32,33,34].
O 2 + 2 e + 2 H + H 2 O 2 ( 2 e )
O 2 + 4 e + 4 H + 2 H 2 O ( 4 e )
Surface modification works on biomass carbon can, on the one hand, change the type of functional groups on the catalyst surface in order to improve the catalyst’s effect on pollutants, dissolved oxygen, and oxygen reduction intermediates, and on the other hand, changing the surface nitrogen and oxygen elemental ratios of carbon materials can improve oxygen reduction activity and increase two-electron selectivity. Nitrogen and oxygen functional groups play a pivotal role in promoting the two-electron oxygen reduction reaction (ORR) and the Fenton reaction. Pyridinic-N and graphitic-N have been demonstrated to regulate the electronic density of the carbon framework, thereby lowering the reaction energy barrier of the two-electron ORR and improving H2O2 selectivity [35,36]. In parallel, oxygen-containing groups such as –COOH and –OH not only act as active sites for H2O2 generation but also enhance its adsorption and activation on the carbon surface, facilitating ·OH production and boosting the efficiency of the Fenton reaction [37].
In general, nitrogen content and oxygen reduction activity show a strong correlation; however, their relationship with two-electron selectivity remains unclear. Wan et al. [38] prepared pyridinic-N-doped carbon materials—using single-walled carbon nanotubes and graphene with pyrrolic-N introduced by microwave-assisted pulse heating—that achieved H2O2 selectivities of 93.5% and 98.35%, respectively. They concluded that the carbon atom adjacent to a pyridinic-N site is crucial for enabling the two-electron pathway in the cathodic oxygen reduction reaction.
Oxygen-containing functional groups not only enhance the hydrophilicity of carbon materials but also serve as specific sites that promote the adsorption of ORR intermediates. When coupled with nitrogen dopants, these groups can simultaneously improve two-electron selectivity and cathodic ORR activity. For example, Ren et al. [39] synthesized a biomass carbon catalyst with a very large specific surface area (102.54 m2 g−1) and high two-electron selectivity (87.5–97%), achieving 83% removal efficiency and 79% mineralization of sulfamethoxazole (SMX) via electro-Fenton. Furthermore, Zhang et al. [40] suggested that the surface of N/O-doped carbon materials can form an interfacial atomic domain (IAD), in which pyridinic nitrogen, oxygen-containing functional groups, and adjacent carbon atoms interact synergistically. This IAD enhances two-electron selectivity, facilitates electron transfer, and improves oxygen adsorption. By employing biomass tar pyrolytic oxidation and related treatments, specific IADs were successfully constructed. The results demonstrated that enriched pyridinic nitrogen, in cooperation with the carbon substrate, accelerates electron transfer and strengthens oxygen reduction activity. In contrast, sparsely distributed pyridinic nitrogen sites favor two-electron selectivity, while oxygen-containing groups further contribute to O2 adsorption. As a result, the prepared biomass carbon exhibited more than 90% selectivity toward the two-electron pathway across a wide potential window.
Additionally, Xin et al. [41] produced N/O co-doped NO/PC catalysts by low-temperature pyrolysis (500 °C). The sample prepared at 500 °C (NO/PC-500) exhibited the highest H2O2 selectivity of 85.1%. Density functional theory (DFT) calculations revealed that the *OOH adsorption energy on most N/O functional groups in NO/PC (e.g., graphitic-N, graphitic-N + C–O–C co-doping, and pyrrolic-N + C–O–C co-doping) is lower than that of H2O2. This energetically favorable interaction promotes the two-electron ORR pathway while simultaneously suppressing H2O2 decomposition.
Therefore, in this work, a cost-effective biomass carbon material (HBC-500) was prepared from Spirulina via low-temperature pyrolysis, exhibiting high H2O2 selectivity and superior catalytic efficiency. The aim of this study is to elucidate the mechanistic role of oxygen/nitrogen surface functionalities in the two-electron ORR process and to validate the practical potential of HBC-500 for sustainable H2O2 production and efficient degradation of organic pollutants.
In this study, the term “cost-effective” does not refer to a full techno-economic analysis, but rather to reasonable comparative evidence reported in the literature. Pt-based catalysts, although highly active, are prohibitively expensive, which severely restricts their large-scale application [21]. Fe-based catalysts are inexpensive in terms of raw materials, but they generate large amounts of iron sludge, significantly increasing subsequent treatment costs [27]. Activated carbon is low-cost, yet it lacks sufficient selectivity for the two-electron oxygen reduction pathway [8]. MOF-derived carbons, on the other hand, usually rely on costly organic ligands and energy-intensive synthesis; their high production cost is further compounded by the complexity of synthesis [42].
By contrast, Spirulina powder as a precursor costs only about 0.14 USD kg−1, and HBC-500 can be prepared through simple low-temperature pyrolysis and acid washing, resulting in an extremely low estimated cost [41]. This substantial reduction in raw material and processing expenses, together with its superior electrochemical performance, provides strong justification for describing HBC-500 as a cost-effective electrocatalyst.

2. Results and Discussion

2.1. Morphological and Structural Characterization

The XRD patterns in Figure 1a exhibit characteristic (002) diffraction peaks of graphitic carbon at ~26.4° for all samples (HBC-400, HBC-500, and HBC-700). Notably, HBC-700 displays an additional faint (100) peak at ~46°, absent in lower-temperature samples, confirming progressive graphitization with elevated carbonization temperatures. Figure 1b–d reveals the corresponding morphological evolution via SEM: HBC-500 develops a hierarchical porous architecture (pore size distribution: ~1–3 μm) with superimposed scalelike graphitic domains, consistent with intermediate-stage carbonization. This dual porosity/graphitization signature—where pores arise from volatile release and layered ordering aligns with (002) peak intensification—serves as a direct morphological indicator of temperature-dependent structural reorganization.
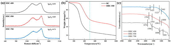
In order to further characterize the degree of graphitization of the material, Raman tests were carried out and the results analyzed. As shown in Figure 2a, two distinctive peaks can be observed in the Raman spectra of all three samples, with the D peak, symbolizing carbon defects, located at approximately 1353 cm−1 and the G peak, symbolizing graphitic carbon, located at approximately 1595 cm−1, which is consistent with the results of most articles for carbon materials. In general, in highly disordered carbon materials, the D-band can be divided into four representative peaks, D1 (~1350 cm−1), D2 (~1600 cm−1), D3 (~1460 cm−1) and D4 (~1160 cm−1), which represent various carbon defect species, with D3 representing defects caused by some ionic impurities and D4 indicating amorphous carbon on the catalyst surface, which is often considered to be essential for the reduction of O2 in the two-electron pathway during cathodic oxygen reduction. To determine the degree of disorder of the biomass carbon prepared in this experiment, we determined the total amount of graphitic carbon in the material by the peak intensity ratio of the D and G bands [40,43]. The ID/IG values of HBC-400, HBC-500, and HBC-700 were 0.93, 0.83, and 0.73, respectively. The surface gradually decreased the degree of disorder of the biomass carbon as the temperature increased and the graphitization degree gradually increased.
Importantly, such structural evolution not only modifies the defect density but also directly affects the surface morphology and catalytic functionality. In particular, the porous architecture plays a critical role in enhancing electrochemical performance. Firstly, the porous structure significantly increases the specific surface area, thereby exposing more catalytic active sites (e.g., oxygen-containing functional groups and structural defects) to the electrolyte, which markedly enhances the rate of the two-electron oxygen reduction reaction (2e ORR) for H2O2 generation [37,44]. Secondly, the interconnected pores provide efficient transport pathways for both reactants (e.g., O2 molecules and organic pollutants) and products (H2O2 and •OH radicals), reducing diffusion resistance and accelerating species exchange at the catalyst surface [37]. Furthermore, the porous structure improves electrolyte infiltration, ensuring intimate contact between the catalyst and the solution, which promotes electron and ion transfer efficiency [44,45]. Collectively, these features synergistically enhance the activity and stability of the catalyst in the electrocatalytic Fenton process, enabling more efficient degradation of organic pollutants.
Thermogravimetric tests on Spirulina were carried out to investigate the pyrolysis process of biomass carbon. From the results, it can be seen that the remaining water in Spirulina starts to crack before 200 °C, and its weight decreases substantially in the interval from 200 °C to 400 °C. This is due to the decomposition of polysaccharides in Spirulina and the large loss of volatile aromatic hydrocarbons, and the gradual conversion of the amorphous carbon in the biomass carbon to graphitic carbon, during which a large number of oxygen-containing sites with high two-electron selectivity are formed on the catalyst surface and carbon defects, after 400 °C, the weight loss gradually decreases and the quality of the material decreases steadily and slowly, this process is the conversion of the remaining amorphous carbon within the carbon material to graphitic carbon, which involves the volatilization of the remaining oxygen, nitrogen, and other elements. The thermogravimetric results from HBC-500 show a significant reduction in weight loss relative to Spirulina, from 80%/1000 °C to 58%/1000 °C, but some of the weight loss between 200 °C and 400 °C is due to the conversion of a significant amount of amorphous carbon to graphitic carbon in HBC-500, accompanied by a loss of oxygen and nitrogen [46].
FT-IR shows that as the pyrolysis temperature increases from 400 to 700 °C, the C–O–C/C–O absorptions at 1250–1000 cm−1 weaken, whereas the aromatic C=C band at ~1590 cm−1 becomes relatively more prominent; the C=O band near ~1700 cm−1 does not appear as a distinct peak, presumably being masked by the broad C=C band and the baseline [47]. Together with XPS C 1s/O 1s deconvolution (showing an overall decrease in the fractions of C–N and C–O–C/C=O and an increase in the proportion of sp2 C=C with increasing temperature), as well as XRD (appearance of the (100) reflection for HBC-700) and Raman (declining ID/IG) [48], these results indicate deoxygenation and aromatization of the carbon matrix; among the samples, HBC-500 combines an appropriate amount of oxygen-/nitrogen-containing functional groups with a more favorable sp2 framework, providing the structural basis for its 2e ORR/H2O2 generation.
In order to analyze the form and distribution ratio of each material present in the catalyst, XPS tests were carried out on HBC-400, HBC-500, and HBC-700, respectively, and the results of the test data were analyzed and counted. As can be seen from Figure 3a, the main diffraction peaks of HBC-500 represent the elements C, N, and O. The elemental proportions of the three catalyst materials were quantified by peak area, and the results are shown in Figure 3b. The elemental proportion of C in the biomass carbon materials basically remained around 72–75% as the pyrolysis temperature increased, while the elemental proportions of N and O fluctuated more significantly, decreasing from 9.83% to 5.94% and increasing from 15.34% to 19.06%, respectively.
According to the results of the previous work, which were also combined with the XPS splitting and the analysis of various functional group ratios, the splitting of the 1s orbital of element C can be divided into five characteristic peaks (Figure 4a,d,g), located at 284.0 eV, 284.8 eV, 285.35 eV, 287.7 eV and 292.4 eV, which can be classified as C=C, C-C, C-N, C-O-C/C=O, and π-π* in aromatic hydrocarbons [49,50]. Among these, C=C and C-C are often considered to be key indicators of the degree of graphitization of carbon materials. The higher the percentage of C=C, the higher the degree of graphitization of the material, and the correspondingly lower the defects in the carbon material. Defective sites, edge sites, and topological defects are formed during chemical and/or physical synthesis and are inherent to carbon-based materials. In contrast, extensive literature reports indicate that carbon defects on the catalyst surface bring a higher charge density than the internal substrate carbon, which provides a large number of sites for ORR, and that the formation of carbon defects may lead to an enrichment of hydrogen atoms, which provides a large number of sites for the adsorption and desorption of the intermediate product *OOH during ORR, thus facilitating the two-electron process. As can be seen from the distribution of the various functional groups and states of element C (Figure 5), as the carbonization temperature increases, the proportion of graphitic carbon increases while the proportion of carbon defects decreases, which is consistent with Raman’s calculations of the proportions of the D and G peaks, while the carbon pyrolyzed at 500 °C still has a large number of defects, while the proportion of graphitic carbon is greatly increased, and in the field of electrocatalysis, the large number of defects can increase the number of sites, and the high specific gravity of the graphitic carbon substrate will provide a higher electrical conductivity for the material itself, which will accelerate the rate of electron migration and thus improve the electrocatalytic activity, as we will reflect in the detailed discussion in the electrochemical analysis.
The presence of a large number of C-N bonds in the HBC-400 sample, on the other hand, may be a result of a large number of aromatic hydrocarbons, organic matter, and polysaccharides that have still not disappeared, while the more active C-N bonds in the biomass carbon gradually break and decompose as the pyrolysis temperature increases, or are converted into the more stable graphitic nitrogen that continues to exist, suggesting that the substances that are the main volatile decomposers in the thermogravimetric curve may be related to compounds of nitrogen. And C 1s can be seen to exist in a large amount of C-O-C/C=O, and it is stable on the catalyst surface, and its ratio does not change significantly during the temperature change, which represents the presence of a large number of stable oxygen-containing functional groups on the catalyst surface, such as -COOH, -C-O-C-, etc.
The presence of these oxygen-containing functional groups, on the one hand, can have good affinity with water, and good interfacial contact during the electro-Fenton process can reduce the extra energy consumption caused by the heterogeneous reaction, and at the same time promote the conversion of oxygen in air into dissolved oxygen so that it can participate in the reaction more easily; on the other hand, these oxygen-containing functional groups also play a crucial role in the adsorption/desorption of cathodic oxygen reduction intermediates.
The split peak fit to the O 1s is reflected in Figure 4b,e,h, which attributes the characteristic peaks to C-O and O-C=O at peak positions 530.86 eV and 532.4 eV, respectively, which corresponds to the results in Figure 5a. This indicates the more stable presence of carbon and also the presence of O in the form of a large number of oxygen-containing functional groups bound to C.
In general, the presence of different forms of nitrogen in the catalytic process can have a large impact on catalytic activity. Nitrogen doping is a relatively popular strategy in ORR research, where the high electronegativity of nitrogen atoms can break the integrity of the π-conjugated system within the carbon framework while inducing charge redistribution. This, in turn, alters the adsorption characteristics of oxygen reduction intermediates on the carbon surface, thereby influencing ORR activity and electron selectivity.
Several studies have shown that the presence of pyridinic nitrogen in nitrogen-containing catalysts, under alkaline or neutral conditions, promotes the four-electron process of ORR and the eventual reduction of O2 to water. This is attributed to the delocalized lone pairs of electrons on pyridinic nitrogen atoms, which facilitate charge migration from the π orbital to the antibonding orbital of O, weakening the O–O bond and making it more susceptible to decomposition. However, as the pH decreases, pyridinic nitrogen atoms gradually protonate, and the protonated nitrogen atoms occupy lone pairs of electrons to form N–H bonds. This inhibits the four-electron pathway and promotes the two-electron process. For the electro-Fenton process, a lower pH also inhibits the binding of Fe2+/Fe3+ to OH to produce precipitation, while favoring the Fenton reaction.
In contrast, the presence of graphitic nitrogen under alkaline conditions tends to bias the reaction toward the two-electron process. The unbalanced charge on the surface of graphitic nitrogen facilitates the release of H2O2 molecules anchored on its surface, preventing further reduction and thus enhancing H2O2 production. Conversely, if the graphitic nitrogen content is too low, the ORR process may follow a 2 + 2 electron transfer pathway, and graphitic nitrogen does not provide a gain effect toward the four-electron process. Therefore, a moderate amount of graphitic nitrogen is beneficial for H2O2 production.
Furthermore, the content of pyrrolic nitrogen shows a positive correlation with two-electron selectivity, whereas neither graphitic nor pyridinic nitrogen exhibits such a correlation. When the pyrrolic nitrogen content is high, *OOH intermediates remain heavily retained, leading to a two-electron ORR pathway on adjacent carbon atoms, while the four-electron ORR pathway occurs preferentially on carbon atoms near pyridinic nitrogen rather than pyrrolic nitrogen dopants. Furthermore, increasing the graphitization temperature of N-doped carbon nanomaterials leads to a reduction in the content of pyrrolic nitrogen species and lower H2O2 production, indicating the important role of pyrrolic nitrogen in the two-electron ORR process. For the effect of total nitrogen content on H2O2 production, a fluctuating trend was found between H2O2 selectivity and nitrogen content, where either too-low or too-high N content is detrimental to H2O2 selectivity. Therefore, it is crucial to explore the optimal nitrogen doping ratio for the ORR two-electron process [51].
At the same time, the results demonstrate that the outstanding performance of HBC-500 is closely related to its abundant carbon defects and oxygen/nitrogen functional groups [52]. These structural features effectively regulate the adsorption and desorption of key intermediates (*OH and *OOH) during the two-electron oxygen reduction process, thereby ensuring favorable pathway selectivity [35]. Notably, both experimental and theoretical studies have shown that surface defects can act as oxygen adsorption sites, while oxygen- and nitrogen-containing functional groups promote the selectivity of the two-electron ORR pathway [53]. Such a well-balanced adsorption–desorption process not only enhances H2O2 selectivity—significantly surpassing that of HBC-400 and HBC-700—but also ensures long-term electrocatalytic stability, with HBC-500 maintaining high activity over extended cycling.
In order to investigate the effect of different pyrolysis temperatures on the proportion of nitrogen present in the state, the nitrogen was divided into pyridine nitrogen (398.6 eV), pyrrole nitrogen (399.6 eV) and graphite nitrogen (400.8 eV) and its content was quantified by peak area analysis to investigate its effect on catalyst activity and two-electron selectivity, as shown in Figure 4c,f,i and Figure 5b. With the change in pyrolysis temperature, the ratio of the three nitrogen elements gradually changes, among which the pyridine nitrogen content has the highest proportion at 500 °C. The pyrrole nitrogen content will first slightly decrease and then gradually stabilize, while the formation of graphite nitrogen is most deeply influenced by temperature control. With the temperature rising, the graphite nitrogen ratio will first decrease and then gradually increase, which is due to a large amount of aromatic hydrocarbon volatilization and polysaccharide decomposition at 500 °C having a greater impact on its ratio.

2.2. Electrochemical Performance Testing and Analysis

Figure 6a shows the RRDE curves of HBC-400, HBC-500, and HBC-700. Both HBC-400 and HBC-500 exhibit two-stage oxygen reduction, indicating a trend towards two-electron transfer in the direction of electrocatalytic oxygen reduction. It can be observed from the ring current collected that HBC-500 exhibits a higher ring current intensity than HBC-400 and HBC-700, which indicates that a large amount of hydrogen peroxide is produced on the surface of HBC-500 during the ORR process. Electron transfer number calculations and hydrogen peroxide selectivity calculations for RRDE showed (Figure 6b) that the electron transfer numbers of HBC-400, -500, and -700 were 3.96, 2.39, and 3.86, respectively, corresponding to hydrogen peroxide selectivities of 2.07%, 80.47% and 6.68%, indicating that HBC-500, as an excellent two-electron oxygen reduction catalyst, has an excellent electron transfer number.
The Tafel slope data calculated by RRDE (Figure 6c) illustrates that all three biomass carbon catalysts have good catalytic activity of 83.97 mV·dec−1, 91.23 mV·dec−1, and 254.14 mV·dec−1, where the higher catalytic activity of HBC-700 may be due to the high amount of graphitic carbon and graphitic nitrogen in the catalysts providing higher conductivity and thus less resistance to electron transfer and faster electron migration efficiency, however, the bias towards four-electron transfer of this catalyst leads to a lower prospect for its application in the field of electrocatalytic Fenton. The presence of a suitable amount of graphitic carbon as a substrate in the HBC-500 catalyst material provides a high electron mobility, while the presence of a large number of carbon defects on the surface provides hydrophilic and *OOH adsorption/desorption sites for the oxygen reduction reaction, and a suitable ratio of graphitic nitrogen/pyridine nitrogen/pyrrole nitrogen promotes the two-electron selectivity of the material, providing the basis for a good electro-Fenton catalyst [33].
In contrast, although HBC-700 is similar to HBC-500 in terms of nitrogen distribution ratio, the large amount of amorphous carbon on its surface rises with temperature, resulting in reduced adsorption and desorption of ORR two-electron intermediates during the reaction, and thus much reduced two-electron selectivity. The HBC-400 catalyst also contains a large proportion of amorphous carbon and moderate amounts of pyridine nitrogen, pyrrole nitrogen, and graphite nitrogen; however, the lower graphite carbon content inhibits its charge transfer and increases its electrical resistance, which makes it difficult to collect enough two-electron oxygen reduction products during the oxygen reduction process, resulting in a low ring current [43].

2.3. Hydrogen Peroxide Production and Faraday Efficiency Analysis

The rate of hydrogen peroxide production for the electro-Fenton cathode catalyst was tested, and its current efficiency was calculated according to the current efficiency Equation (3), which is shown below:
Current   efficiency ( % ) = n F C V Q %
where n is the number of electron transfers from the catalyst, F is Faraday’s constant (96,485 C·mol−1), C is the concentration of H2O2 produced (mol·L−1), V is the volume of solution (L), and Q is the total charge (C).
For the detection of hydrogen peroxide, the potassium titanium oxalate assay was used. The specific procedure was as follows: firstly, a potassium titanium oxalate solution with a concentration of 0.05 M and a sulphuric acid solution with pH = 3 were configured, then the concentrations of 100 mg·L−1, 80 mg·L−1, 60 mg·L−1, 40 mg·L−1, and 20 mg·L−1 were configured, respectively, and the potassium titanium oxalate solution and the sulphuric acid solution were mixed in a 1:1 ratio by volume and left to stand for 10 min. The solution was then mixed with hydrogen peroxide in a ratio of 1:3 and allowed to stand for 15 min before being suppressed in a quartz cuvette. The absorbance was tested by a UV spectrophotometer at 385 nm, and a standard curve for the detection of hydrogen peroxide was constructed. The fitted results are shown in Figure 7.
In order to investigate the effect of pH on the amount of hydrogen peroxide produced, the HBC-500 was selected as the subject of this study, and the actual hydrogen peroxide yield from pH = 1–13 was investigated at a constant current of 50 mA·cm−2, and the results are shown in Figure 8a. It can be seen that at the same current density, the actual amount of hydrogen peroxide produced climbs gradually with increasing pH. When the pH = 1, the amount of hydrogen peroxide produced during electrocatalysis can only reach 29.26 mg·L−1 in 90 min. This may be because under acidic conditions, a large number of hydrogen ions are adsorbed on the electrode surface, which makes the contact between electrons and sites on the electrode surface need to break through the thicker double electric layer, and the reduction reaction of hydrogen ions under acidic conditions will occupy most of the sites and energy, which will affect the contact between oxygen and sites. This leads to a reduction in cathodic oxygen reduction efficiency. As the hydrogen ion concentration decreases, a large number of sites on the HBC-500 surface are exposed and the concentration of hydrogen ions adsorbed on the catalyst surface decreases, resulting in faster migration of electrons and ORR intermediates across the catalyst surface and better adsorption of dissolved oxygen to the carbon defect sites, which in turn will lead to higher current utilization efficiency and hydrogen peroxide production per unit time.
At pH = 7, the amount of hydrogen peroxide produced in 90 min was 233.1 mg·L−1, which was lower than that at pH = 5 (238.40 mg·L−1). The current efficiency also decreased because, under neutral conditions, there are not enough hydrogen ions (H+) on the cathode surface to participate in the reaction, leading to a slower oxygen reduction process. By comparison, under slightly acidic conditions with the involvement of trace amounts of H+, hydrogen ions attach to graphite carbon and carbon defect surfaces, helping to adsorb ORR intermediates such as *OOH, thereby facilitating the oxygen reduction reaction and accelerating the reaction rate.
Moreover, the slightly lower pH at the cathode surface makes it easier for dissolved oxygen molecules to adsorb and participate in the reaction. As the OH concentration in the solution increased, the ORR activity gradually improved, and the production efficiency and current utilization of hydrogen peroxide increased accordingly, consistent with mainstream theory. Photocatalytic tests at pH = 5 and a current density of 50 mA·cm−2 further demonstrated that HBC-500 achieved a yield of 238.40 mg·L−1 in 90 min with a current efficiency of 30%, whereas HBC-400 and HBC-700 only produced 30.74 and 46.56 mg·L−1, with much lower current efficiencies of 6.34% and 9.45%, respectively.
In summary, pH has a significant effect on hydrogen peroxide production by electrocatalytic ORR, while the hydrogen peroxide yield under slightly acidic conditions (pH = 5) is lower than that under alkaline conditions, but its electrocatalytic performance is improved compared to both neutral and strongly acidic conditions, while the reduced catalytic activity due to iron sludge under alkaline conditions and the low hydrogen peroxide yield under strongly acidic conditions in the conventional Fenton process both limit the performance of the electro-Fenton reaction. Therefore, a highly efficient cathodic oxygen reduction catalyst with high hydrogen peroxide yield in a slightly acidic environment was constructed and is expected to be effective in advanced oxidation processes.

2.4. Catalytic Performance Analysis

To evaluate the pollutant removal performance of biomass carbon HBC-500 in the treatment of organic wastewater, electrocatalytic degradation of the simulated pollutant methylene blue was carried out using the electro-Fenton experimental method and its suitable Fe2+ addition, the optimum reaction pH of the system was explored, and the cycling stability was explored. The results are shown in Figure 9. Figure 9a shows the degradation experiments of HBC-400, HBC-500, and HBC-700 at pH = 5 by adding 7 mg·200 mL−1 of Fe2+ to 4 mg·200 mL−1 of methylene blue, respectively, and the results show that HBC-500 exhibits the best degradation activity and can achieve more than 95% degradation effect within 25 min, while HBC-400 and HBC-700 could only achieve 32.83% and 59.4%, respectively, within 60 min, which was consistent with the above hydrogen peroxide production curve results, indicating that the rapid accumulation of hydrogen peroxide could accelerate the degradation effect.
For catalysts in homogeneous reactions, the addition of Fe2+ plays a direct role in the decomposition of hydrogen peroxide and the production of hydroxyl groups with high oxidative activity. In order to investigate the most economical and catalytically active Fe2+ addition, three reference ratios were chosen for experiments in this paper, and the results are shown in Figure 9b. The degradation of methylene blue by the electro-Fenton system showed an increasing trend with increasing Fe2+ concentration, and all reached the maximum degradation efficiency within 30 min. The curve represents the complete depletion of Fe2+, while the final degradation effect of 9mg addition could reach 99.83% at 30 min, indicating the excess addition of Fe2+.
The actual degradation of simulated pollutants by HBC-500 at different pH conditions is shown in Figure 9c, indicating that over 80% degradation can be achieved at 60 min in the pH = 3–9 range. Although the rate of hydrogen peroxide production decreased with increasing pH, the strong effect of hydrogen ions promoted a positive Fenton reaction, leading to a maximum Fenton reaction activity at pH = 3. However, due to the effect of OH limiting the combination of Fe2+ and hydrogen peroxide, although a large amount of H2O2 was produced at pH = 9, the lower concentration of available Fe2+ inhibited the forward progress of the Fenton reaction, resulting in a lower rate of electro-Fenton reaction under alkaline conditions than under acidic conditions.
We then carried out five cycle stability tests on the HBC-500 cathode at pH = 5, Fe2+ concentration of 7 mg·200 mL−1, and a current density of 50 mA·cm2. The results showed that the degradation of the catalyst decreased from 95.03% to 87.20% after five cycles of the experiment, indicating that the catalytic activity only decreased to the initial 91.79% after 300 min of continuous degradation of the material. This indicates that the catalytic activity of the catalyst was good.
In summary, HBC-500 presented higher catalytic activity compared to other biomass carbon materials prepared at pyrolysis temperatures, and an Fe2+ addition of 7 mg·20 mL−1 was the optimum addition for this system, with high catalytic activity in the electro-Fenton degradation of simulated contaminated water at pH = 5 and below.

3. Materials and Methods

3.1. Chemicals

Hydrochloric acid (HCl, 37%), polytetrafluoroethylene dispersion (PTFE, wt= 60%), and spiral diatom powder (SiO2, 22.5 μm) were purchased from Shanghai Aladdin Biochemical Technology Co. (Shanghai, China). Methylene blue (C16H18ClN3S, 98%), acetone (C3H6O, 99.5%), and anhydrous ethanol (C2H5OH, 99.7%) were provided by Sinopharm Chemical Reagent Co Ltd. (Shanghai, China). All chemicals used in this study were of analytical reagent grade. Carbon cloth (W1S1010, CeTech, Beijing, China) was supplied by Carbon Energy Technology Co Ltd. (Suzhou, China).

3.2. Material Synthesis

3.2.1. Preparation of Biomass Carbon Materials

Spirulina powder was placed in a tube furnace and heated to 400, 500, and 700 °C, respectively, at a rate of 3 °C·min−1 under Ar atmosphere and held for 2 h. The resulting high-temperature pyrolyzed biomass carbon materials were then soaked in 1M HCl for 12 h to remove metal ion impurities from the biomass carbon, followed by extraction and washing to a neutral supernatant, and then dried at 60 °C for 24 h, ground, and sieved through a 200-mesh screen to obtain the biomass-derived carbon catalysts, named HBC-400, HBC-500, and HBC-700, respectively, depending on the pyrolysis temperature.

3.2.2. Preparation of Electrocatalytic Cathodes

The electrocatalytic electrodes were carried out using 2 cm × 2 cm carbon cloth as a substrate in the following way: firstly, the cut 2 cm × 2 cm carbon cloth was sonicated in acetone and anhydrous ethanol for 30 min, and then placed in an oven at 60 °C for use. A total of 0.1 g of the above-prepared biomass carbon catalyst powder was dispersed into 1 mL of anhydrous ethanol, to which 15 µL of 60% PTFE dispersion was added as a binder, sonicated until the catalyst ink appeared as a paste, and then added to the surface of the carbon cloth in drops to control the catalyst loading at 2 mg·cm−2. This results in a biomass carbon cathode, while the anode is made from the above washed carbon cloth.

3.3. Characterization

The crystal structure was examined using an X-ray diffractometer (XRD, Bruker, D8 Advance, Billerica, MA, USA) with a Cu Kα radiation source. The scanning angle range was from 10 to 90° and the scanning rate was 2° min−1. The morphology was studied using a scanning electron microscope (SEM, ZEISS Sigam500, Oberkochen, Germany). The degree of graphitization of the material was characterized using a Raman spectrometer (Raman, HORIBA-EVA, Kyoto, Japan). Pyrolytic weight loss tests were carried out on Spirulina using a thermogravimetric analyzer (TG, STA6000, PerkinElmer Inc., Waltham, MA, USA). X-ray photoelectron spectroscopy (XPS, Thermo ESCA Lab 250xl, Waltham, MA, USA) was carried out to analyze the surface elemental state and distribution ratios of the biomass char material.

3.4. Electrochemical Characterizations

3.4.1. Electro-Fenton Test Method

This was carried out in a single-chamber electrolytic cell with a two-electrode system. The cathode was a carbon cloth electrode loaded with catalyst powder, while the anode was a carbon cloth of the same area without catalyst loading. The experiment simulated the same contaminant as the methylene blue solution, with sodium sulfate used as the electrolyte. Before the experiment began, O2 was introduced into the solution while the electrodes were immersed. Continuous magnetic stirring was maintained for 30 min until the solution reached oxygen saturation.
Ferrous sulfate was then added, and after complete dispersion, the electro-Fenton test was initiated under a constant current density. During the test, samples were taken at fixed intervals. The absorbance of each sample was measured with a UV–Vis spectrophotometer to quantify the degradation of the contaminants. The hydrogen peroxide production test was performed under the same conditions, but without the addition of FeSO4 and methylene blue. The test was directly energized, and the hydrogen peroxide was detected with a UV–Vis spectrophotometer using the potassium titanium oxalate colorimetric method.
In these experiments, the simulated pollutant concentrations were the same as those in the photo-Fenton experiments. The effective areas of both the cathode and the anode were controlled at 4 cm2, and the electrode spacing was kept at 2 cm. A constant current was applied as the power source for the reaction.

3.4.2. Electrochemical Test Methods

Preparation of electrode for electrochemical testing: Firstly, the glassy carbon electrode was repeatedly rinsed and dried under an infrared light lamp for use; 4 mg of catalyst powder and 50 µL of 5% Nafion solution were evenly dispersed in 800 µL of anhydrous ethanol, 10 µL of mixed electrode ink was taken and evenly dropped onto the surface of the glassy carbon electrode, which was then dried under an infrared light lamp and used as a working electrode for electrochemical testing.
A three-electrode system is used in the electrochemical tests, with a glassy carbon electrode loaded with catalyst powder as the working electrode, a platinum wire as the counter electrode, and Ag/AgCl (saturated KCl) as the reference electrode. The tests were carried out on a Gamry electrochemical workstation equipped with a rotating disc ring-disk unit. The EIS test frequency range was set to 0.1–105 Hz, and the test electrolyte solution was 0.5 M Na2SO4. LSV and RRDE were both performed in an O2-saturated 0.1 M KOH solution, and the catalyst oxygen reduction process data were collected at a rotational speed of 1600 RPM set within a voltage window of 0–1.2 V (Vs. RHE). The equations for calculating the electron transfer number and two-electron selectivity by RRDE are shown below (4) and (5):
H 2 O 2 % = 200 × I R / N I R / N + I D
n = 4 × I D I R / N + I D
where IR and ID are the ring and disk currents collected by the RRDE, respectively, and N is the ring current collection efficiency of 0.37. Since the reference electrode is an Ag/AgCl electrode, the Nernst equation is used to convert the voltage values to a hydrogen standard electrode, as shown in (6):
E ( V s . R H E ) = E ( A g / A g C l ) + 0.0591 p H + 0.19

4. Conclusions

A series of studies was carried out to evaluate the activity of biomass carbon derived from Spirulina at different pyrolysis temperatures. The analysis focused on the ratio of carbon defects to graphitic carbon, the types of oxygen-containing functional groups on the surface, the forms and relative distribution of nitrogen species, and the catalytic activity of the biomass carbon toward hydrogen peroxide generation under different pH conditions. In addition, the effect of these catalysts on the Fenton degradation of organic wastewater was systematically investigated:
(1)
Characterization of the catalyst material itself, including XRD and Raman, has shown that the proportion of amorphous carbon in the material decreases and the proportion of graphitic carbon increases as the temperature increases.
(2)
A detailed analysis of the XPS peaks and the ratios of each functional group of the three catalyst materials, combined with the electrochemical results of the control group, revealed that HBC-500, which is rich in both amorphous carbon sites and graphitic carbon as a substrate, can be a good two-electron cathodic oxygen reduction catalyst, and concluded that a large number of oxygen-containing functional groups and a suitable pyrrole nitrogen–pyridine nitrogen/graphite nitrogen ratio are important for the oxygen reduction process to follow a two-electron pathway.
(3)
Exploration of the electrocatalytic production of hydrogen peroxide with catalysts prepared at different pyrolysis temperatures and pH values led to the conclusion that HBC-500 exhibited experimental results consistent with the RRDE results at pH = 5, producing 238.40 mg·L−1 of hydrogen peroxide in 90 min at a current density of 50 mA·cm−2. Whereas the production effect on hydrogen peroxide increases with increasing pH, its current efficiency also increases, and it is worth noting that hydrogen peroxide production in a slightly acidic environment is higher than in a neutral environment, which provides the basis for an efficient Fenton reaction.
(4)
The biomass carbon material was applied to the electrocatalytic Fenton reaction, and the results showed that HBC-500 achieved more than 95% degradation within 30 min at pH = 5. After five consecutive electrocatalytic cycles of 300 min, the catalyst maintained approximately 91.79% electrocatalytic activity.
Beyond the current findings, the developed biomass-derived carbon catalyst (HBC-500) demonstrates promising potential for broader environmental and energy-related applications. Its efficient H2O2 generation and excellent stability under slightly acidic conditions make it suitable not only for large-scale treatment of dyeing and printing wastewater but also for the remediation of other refractory organic pollutants. Moreover, the low-cost and sustainable preparation strategy indicates feasibility for practical implementation in industrial wastewater treatment systems. In the future, further tuning of the catalyst structure, combined with mechanistic insights from theoretical simulations, is expected to expand its applicability to energy storage, green synthesis, and other advanced electrochemical processes.

Supplementary Materials

The following supporting information can be downloaded at: https://www.mdpi.com/article/10.3390/catal15090818/s1, Table S1: Comparison of HBC-500 with Recent Representative Carbon-Based Catalysts. Refs. [54,55,56,57] are cited in the Supplementary Materials.

Author Contributions

Conceptualization, Y.L.; Methodology, L.W.; Validation, Y.A.; Formal analysis, Y.A.; Investigation, L.W.; Data curation, Y.A.; Writing—original draft, L.W.; Writing—review & editing, Y.A. and Y.L.; Supervision, Y.L.; Project administration, Y.L.; Funding acquisition, Y.L. All authors have read and agreed to the published version of the manuscript.

Funding

This research received no external funding.

Data Availability Statement

Data are contained within the article and Supplementary Materials. Further inquiries can be directed to the corresponding author(s).

Conflicts of Interest

The authors declare no conflict of interest.

References

  1. Schreyers, L.J.; van Emmerik, T.H.M.; Huthoff, F.; Collas, F.P.L.; Wegman, C.; Vriend, P.; Boon, A.; de Winter, W.; Oswald, S.B.; Schoor, M.M.; et al. River plastic transport and storage budget. Water Res. 2024, 259, 121786. [Google Scholar] [CrossRef]
  2. Baccour, S.; Goelema, G.; Kahil, T.; Albiac, J.; van Vliet, M.T.H.; Zhu, X.; Strokal, M. Water quality management could halve future water scarcity cost-effectively in the Pearl River Basin. Nat. Commun. 2024, 15, 5669. [Google Scholar] [CrossRef] [PubMed]
  3. Fan, H.; Wang, F.; Ma, J.; Li, E.; Zhou, X.; Zhang, Y.; Chu, H. Field-scale zero liquid discharge of coking wastewater—Operating efficiency and environmental impact. J. Cleaner Prod. 2023, 424, 138736. [Google Scholar] [CrossRef]
  4. Khan, U.A.; Löffler, P.; Spilsbury, F.; Wiberg, K.; Stålsby Lundborg, C.; Lai, F.Y. Towards sustainable water reuse: A critical review and meta-analysis of emerging chemical contaminants with risk-based evaluation, health hazard prediction and prioritization for assessment of effluent water quality. J. Hazard. Mater. 2024, 480, 136175. [Google Scholar] [CrossRef] [PubMed]
  5. Yang, K.; Abu-Reesh, I.M.; He, Z. Domestic wastewater treatment towards reuse by “self-supplied” microbial electrochemical system assisted UV/H2O2 process. Water Res. 2024, 267, 122504. [Google Scholar] [CrossRef] [PubMed]
  6. Li, H.; Yang, Z.; Liu, G.; Casazza, M.; Yin, X. Analyzing virtual water pollution transfer embodied in economic activities based on gray water footprint: A case study. J. Cleaner Prod. 2017, 161, 1064–1073. [Google Scholar] [CrossRef]
  7. Baig, U.; Faizan, M.; Sajid, M. Multifunctional membranes with super-wetting characteristics for oil-water separation and removal of hazardous environmental pollutants from water: A review. Adv. Colloid Interface 2020, 285, 102276. [Google Scholar] [CrossRef]
  8. Awad, A.M.; Shaikh, S.M.R.; Jalab, R.; Gulied, M.H.; Nasser, M.S.; Benamor, A.; Adham, S. Adsorption of organic pollutants by natural and modified clays: A comprehensive review. Sep. Purif. Technol. 2019, 228, 115719. [Google Scholar] [CrossRef]
  9. Lin, H.; Fang, Q.; Wang, W.; Li, G.; Guan, J.; Shen, Y.; Ye, J.; Liu, F. Prussian blue/PVDF catalytic membrane with exceptional and stable Fenton oxidation performance for organic pollutants removal. Appl. Catal. B Environ. Energy 2020, 273, 119047. [Google Scholar] [CrossRef]
  10. Shi, L.; Shi, Y.; Zhuo, S.; Zhang, C.; Aldrees, Y.; Aleid, S.; Wang, P. Multi-functional 3D honeycomb ceramic plate for clean water production by heterogeneous photo-Fenton reaction and solar-driven water evaporation. Nano Energy 2019, 60, 222–230. [Google Scholar] [CrossRef]
  11. Wang, H.; Guo, H.; Zhao, Y.; Dong, X.; Gong, M. Thermodynamic analysis of a petroleum volatile organic compounds (VOCs) condensation recovery system combined with mixed-refrigerant refrigeration. Int. J. Refrig. 2020, 116, 23–35. [Google Scholar] [CrossRef]
  12. Rahman, Z. An overview on heavy metal resistant microorganisms for simultaneous treatment of multiple chemical pollutants at co-contaminated sites, and their multipurpose application. J. Hazard. Mater. 2020, 396, 122682. [Google Scholar] [CrossRef] [PubMed]
  13. Mai, W.; Chen, J.; Liu, H.; Liang, J.; Tang, J.; Wei, Y. Advances in Studies on Microbiota Involved in Nitrogen Removal Processes and Their Applications in Wastewater Treatment. Front. Microbiol. 2021, 12, 746293. [Google Scholar] [CrossRef] [PubMed]
  14. Ahmad, H.A.; Ahmad, S.; Cui, Q.; Wang, Z.; Wei, H.; Chen, X.; Ni, S.-Q.; Ismail, S.; Awad, H.M.; Tawfik, A. The environmental distribution and removal of emerging pollutants, highlighting the importance of using microbes as a potential degrader: A review. Sci. Total Environ. 2022, 809, 151926. [Google Scholar] [CrossRef]
  15. Yaashikaa, P.R.; Devi, M.K.; Kumar, P.S. Engineering microbes for enhancing the degradation of environmental pollutants: A detailed review on synthetic biology. Environ. Res. 2022, 214, 113868. [Google Scholar] [CrossRef]
  16. Chatterjee, S.; Chatterjee, T.; Lim, S.R.; Woo, S.H. Adsorption of a cationic dye, methylene blue, on to chitosan hydrogel beads generated by anionic surfactant gelation. Environ. Technol. 2011, 32, 1503–1514. [Google Scholar] [CrossRef]
  17. Qi, N.; Zhao, H.; Qin, Y.; Wang, Q.; Wang, G.; Li, Y. An innovative strategy for synchronous treatment of combined heavy metal and organic pollutants through polysaccharide gel encapsulating S2−. Sci. Total Environ. 2020, 742, 140601. [Google Scholar] [CrossRef]
  18. Sun, W.; Zhou, S.; Sun, Y.; Tang, J.; Zheng, H. Ozone catalytic oxidation capacity of Ti-Co@Al2O3 for the treatment of biochemical tailwater from the coal chemical industry. Water Environ. Res. 2020, 92, 1283–1292. [Google Scholar] [CrossRef]
  19. Beltrán, F.J.; González, M.; Alvarez, R.P. Fenton Reagent Advanced Oxidation of Polynuclear Aromatic Hydrocarbons in Water. Water Air Soil Poll. 1998, 105, 685–700. [Google Scholar] [CrossRef]
  20. Zheng, H.; Hou, Y.; Li, S.; Ma, J.; Nan, J.; Li, T. Recent advances in the application of metal organic frameworks using in advanced oxidation progresses for pollutants degradation. Chin. Chem. Lett. 2022, 33, 5013–5022. [Google Scholar] [CrossRef]
  21. Choi, C.H.; Kwon, H.C.; Yook, S.; Shin, H.; Kim, H.; Choi, M. Hydrogen Peroxide Synthesis via Enhanced Two-Electron Oxygen Reduction Pathway on Carbon-Coated Pt Surface. J. Phys. Chem. C 2014, 118, 30063–30070. [Google Scholar] [CrossRef]
  22. von Weber, A.; Baxter, E.T.; White, H.S.; Anderson, S.L. Cluster Size Controls Branching between Water and Hydrogen Peroxide Production in Electrochemical Oxygen Reduction at Ptn/ITO. J. Phys. Phys. C 2015, 119, 11160–11170. [Google Scholar] [CrossRef]
  23. He, D.; Zhong, L.; Gan, S.; Xie, J.; Wang, W.; Liu, Z.; Guo, W.; Yang, X.; Niu, L. Hydrogen peroxide electrosynthesis via regulating the oxygen reduction reaction pathway on Pt noble metal with ion poisoning. Electrochim. Acta 2021, 371, 137721. [Google Scholar] [CrossRef]
  24. Zhang, L.; Jiang, S.; Ma, W.; Zhou, Z. Oxygen reduction reaction on Pt-based electrocatalysts: Four-electron vs. two-electron pathway. Chin. J. Catal. 2022, 43, 1433–1443. [Google Scholar] [CrossRef]
  25. Wang, N.; Ma, S.; Zuo, P.; Duan, J.; Hou, B. Recent Progress of Electrochemical Production of Hydrogen Peroxide by Two-Electron Oxygen Reduction Reaction. Adv. Sci. 2021, 8, 2100076. [Google Scholar] [CrossRef] [PubMed]
  26. Anotai, J.; Su, C.C.; Tsai, Y.C.; Lu, M.C. Effect of hydrogen peroxide on aniline oxidation by electro-Fenton and fluidized-bed Fenton processes. J. Hazard. Mater. 2010, 183, 888–893. [Google Scholar] [CrossRef]
  27. Liu, Y.; Zhao, Y.; Wang, J. Fenton/Fenton-like processes with in-situ production of hydrogen peroxide/hydroxyl radical for degradation of emerging contaminants: Advances and prospects. J. Hazard. Mater. 2021, 404, 124191. [Google Scholar] [CrossRef] [PubMed]
  28. Zhang, T.; Wen, Y.; Pan, Z.; Kuwahara, Y.; Mori, K.; Yamashita, H.; Zhao, Y.; Qian, X. Overcoming Acidic H2O2/Fe(II/III) Redox-Induced Low H2O2 Utilization Efficiency by Carbon Quantum Dots Fenton-like Catalysis. Environ. Sci. Technol. 2022, 56, 2617–2625. [Google Scholar] [CrossRef]
  29. Li, Z.; Xu, Q.; Gou, F.; He, B.; Chen, W.; Zheng, W.; Jiang, X.; Chen, K.; Qi, C.; Ma, D. Gd-doped CuBi2O4/CuO heterojunction film photocathodes for photoelectrochemical H2O2 production through oxygen reduction. Nano Res. 2021, 14, 3439–3445. [Google Scholar] [CrossRef]
  30. Xu, Y.; Li, Z.; Hu, X.; Wu, X.; Chen, W.; Zhou, S.; Li, J.; Qi, C.; Ma, D.-K. Fluorine-doped CuBi2O4 nanorod arrays for enhanced photoelectrochemical oxygen reduction reaction toward H2O2 production. J. Catal. 2022, 410, 339–346. [Google Scholar] [CrossRef]
  31. Song, M.; Liu, W.; Zhang, J.; Zhang, C.; Huang, X.; Wang, D. Single-Atom Catalysts for H2O2 Electrosynthesis via Two-Electron Oxygen Reduction Reaction. Adv. Funct. Mater. 2023, 33, 2212087. [Google Scholar] [CrossRef]
  32. Wang, K.; Huang, J.; Chen, H.; Wang, Y.; Song, S. Recent advances in electrochemical 2e oxygen reduction reaction for on-site hydrogen peroxide production and beyond. Chem. Commun. 2020, 56, 12109–12121. [Google Scholar] [CrossRef]
  33. Wang, Y.; Waterhouse, G.I.N.; Shang, L.; Zhang, T. Electrocatalytic Oxygen Reduction to Hydrogen Peroxide: From Homogenous to Heterogenous Electrocatalysis. Adv. Energy Mater. 2020, 11, 2003323. [Google Scholar] [CrossRef]
  34. Ding, Y.; Zhou, W.; Gao, J.; Sun, F.; Zhao, G. H2O2 Electrogeneration from O2 Electroreduction by N-Doped Carbon Materials: A Mini-Review on Preparation Methods, Selectivity of N Sites, and Prospects. Adv. Mater. Interfaces 2021, 8, 2002091. [Google Scholar] [CrossRef]
  35. Peng, W.; Liu, J.; Liu, X.; Wang, L.; Yin, L.; Tan, H.; Hou, F.; Liang, J. Facilitating two-electron oxygen reduction with pyrrolic nitrogen sites for electrochemical hydrogen peroxide production. Nat. Commun. 2023, 14, 4430. [Google Scholar] [CrossRef] [PubMed]
  36. Zhang, W.; van Dijk, B.; Wu, L.; Maheu, C.; Tudor, V.; Hofmann, J.P.; Jiang, L.; Hetterscheid, D.; Schneider, G.F. Role of Vacancy Defects and Nitrogen Dopants for the Reduction of Oxygen on Graphene. ACS Catal. 2024, 14, 11065–11075. [Google Scholar] [CrossRef]
  37. Albashir, A.I.M.; Lu, X.; Dai, X.; Qi, W. Effects of porous structure and oxygen functionalities on electrochemical synthesis of hydrogen peroxide on ordered mesoporous carbon. Commun. Chem. 2024, 7, 111. [Google Scholar] [CrossRef]
  38. Wan, J.; Zhang, G.; Jin, H.; Wu, J.; Zhang, N.; Yao, B.; Liu, K.; Liu, M.; Liu, T.; Huang, L. Microwave-assisted synthesis of well-defined nitrogen doping configuration with high centrality in carbon to identify the active sites for electrochemical hydrogen peroxide production. Carbon 2022, 191, 340–349. [Google Scholar] [CrossRef]
  39. Ren, Y.; Yan, Y.; Wang, Y.; Zhang, H.; Li, X. Thermally treated candle soot as a novel catalyst for hydrogen peroxide in-situ production enhancement in the bio-electro-Fenton system. Chemosphere 2021, 262, 127839. [Google Scholar] [CrossRef]
  40. Zhang, C.; Liu, G.; Ning, B.; Qian, S.; Zheng, D.; Wang, L. Highly efficient electrochemical generation of H2O2 on N/O co-modified defective carbon. Int. J. Hydrog. Energy 2021, 46, 14277–14287. [Google Scholar] [CrossRef]
  41. Xin, S.; Li, Y.; Guan, J.; Ma, B.; Zhang, C.; Ma, X.; Liu, W.; Xin, Y.; Gao, M. Electrocatalytic oxygen reduction to hydrogen peroxide through a biomass-derived nitrogen and oxygen self-doped porous carbon metal-free catalyst. J. Mater. Chem. A 2021, 9, 25136–25149. [Google Scholar] [CrossRef]
  42. Shahzadi, S.; Akhtar, M.; Arshad, M.; Ijaz, M.H.; Janjua, M.R.S.A. A review on synthesis of MOF-derived carbon composites: Innovations in electrochemical, environmental and electrocatalytic technologies. RSC Adv. 2024, 14, 27575–27607. [Google Scholar] [CrossRef]
  43. Huang, B.; Cui, Y.; Hu, R.; Huang, J.; Guan, L. Promoting the Two-Electron Oxygen Reduction Reaction Performance of Carbon Nanospheres by Pore Engineering. ACS Appl. Energy Mater. 2021, 4, 4620–4629. [Google Scholar] [CrossRef]
  44. Yang, S.; Verdaguer-Casadevall, A.; Logi, A.; Silvioli, L.; Čolić, V.; Frydendal, R.; Rossmeisl, J.; Ib, C.; Stephens, I.E.L. Toward the Decentralized Electrochemical Production of H2O2: A Focus on the Catalysis. ACS Catal. 2018, 8, 4064–4081. [Google Scholar] [CrossRef]
  45. Chang, Q.; Zhang, P.; Mostaghimi, A.H.B.; Zhao, X.; Denny, S.R.; Lee, J.H.; Gao, H.; Zhang, Y.; Xin, H.L.; Siahrostami, S.; et al. Promoting H2O2 production via 2-electron oxygen reduction by coordinating partially oxidized Pd with defect carbon. Nat. Commun. 2020, 11, 2178. [Google Scholar] [CrossRef]
  46. Mayer, Z.A.; Apfelbacher, A.; Hornung, A. Nitrogen cycle of effluent-irrigated energy crop plantations: From wastewater treatment to thermo-chemical conversion processes. J. Sci. Ind. Res. India 2011, 70, 675–682. [Google Scholar] [CrossRef]
  47. Li, R.; Tang, Y.; Song, X.; Wang, S.; Che, Q.; Chen, C. Chemical Structure Evolution of Thermally Altered Coal during the Preparation of Coal-Based Graphene and Division of Thermally Altered Zone: Based on FTIR and Raman. ACS Omega 2024, 9, 34397–34412. [Google Scholar] [CrossRef]
  48. Ferrari, A.C.; Robertson, J. Interpretation of Raman spectra of disordered and amorphous carbon. Phys. Rev. B 2000, 61, 14095–14107. [Google Scholar] [CrossRef]
  49. Lai, H.K.; Chou, Y.Z.; Lee, M.H.; Lin, K.Y. Coordination polymer-derived cobalt nanoparticle-embedded carbon nanocomposite as a magnetic multi-functional catalyst for energy generation and biomass conversion. Chem. Eng. J. 2018, 332, 717–726. [Google Scholar] [CrossRef]
  50. Hu, L.; Liao, Y.; Xia, D.; Peng, F.; Tan, L.; Hu, S.; Zheng, C.; Lu, X.; He, C.; Shu, D. Engineered photocatalytic fuel cell with oxygen vacancies-rich rGO/BiO1−xI as photoanode and biomass-derived N-doped carbon as cathode: Promotion of reactive oxygen species production via Fe2+/Fe3+ redox. Chem. Eng. J. 2020, 385, 123824. [Google Scholar] [CrossRef]
  51. Xue, Y.; Du, X.; Cai, W.; Sun, Z.; Zhang, Y.; Zheng, S.; Zhang, Y.; Jin, W. Ramie Biomass Derived Nitrogen-Doped Activated Carbon for Efficient Electrocatalytic Production of Hydrogen Peroxide. J. Electrochem. Soc. 2018, 165, E171–E176. [Google Scholar] [CrossRef]
  52. Wu, Q.; Zou, H.; Mao, X.; He, J.; Shi, Y.; Chen, S.; Yan, X.; Wu, L.; Lang, C.; Zhang, B.; et al. Unveiling the dynamic active site of defective carbon-based electrocatalysts for hydrogen peroxide production. Nat. Commun. 2023, 14, 6275. [Google Scholar] [CrossRef] [PubMed]
  53. Fang, W.; Wang, L.; Shen, D.; Meng, X.; Bai, H.; Li, C. Oxygen-containing functional groups cooperate to boost electrochemical ORR selectivity to H2O2. Inorg. Chem. Front. 2025, 10, 1039. [Google Scholar] [CrossRef]
  54. Guo, Q.; Kong, F.; Yu, X.; Dai, N.; Li, Q.; Wu, P.; Tian, H.; Song, K.; Sun, W.; Cui, X. An inter-atomic synergistic Co–Zn diatomic catalyst for efficient H2O2 electrosynthesis in neutral and alkaline media. Green Chem. 2025, 27, 3032–3043. [Google Scholar] [CrossRef]
  55. Xu, H.; Zhang, S.; Zhang, X.; Xu, M.; Han, M.; Zheng, L.R.; Zhang, Y.; Wang, G.; Zhang, H.; Zhao, H. Atomically Dispersed Iron Regulating Electronic Structure of Iron Atom Clusters for Electrocatalytic H2O2 Production and Biomass Upgrading. Angew. Chem. Int. Ed. Engl. 2023, 62, e202314414. [Google Scholar] [CrossRef] [PubMed]
  56. Lv, T.; Jin, H.; Sang, Z.; Li, Z.; Li, X.; Wang, L.; Cai, S.; Liang, J.; Li, Q.; Yan, X. Carbon-based catalysts for electrosynthesis of hydrogen peroxide. ChemSusChem 2025, 18, e202500675. [Google Scholar] [CrossRef]
  57. Jia, J.; Li, Z.; Tian, Y.; Li, X.; Chen, R.; Liu, J.; Liang, J. Electrosynthesis of H2O2 via two-electron oxygen reduction over carbon-based catalysts: From microenvironment control to electrode/reactor design. Energy Rev. 2024, 3, 100069. [Google Scholar] [CrossRef]
Figure 1. (a) XRD curves of HBC-400, HBC-500, and HBC-700; (bd) SEM image of HBC-500.
Figure 1. (a) XRD curves of HBC-400, HBC-500, and HBC-700; (bd) SEM image of HBC-500.
Catalysts 15 00818 g001
Figure 2. (a) Raman spectra of HBC-400, HBC-500, and HBC-700; (b) thermogravimetric (TG) curves of BC and HBC-500; (c) FT-IR spectra of HBC-400, HBC-500, and HBC-700.
Figure 2. (a) Raman spectra of HBC-400, HBC-500, and HBC-700; (b) thermogravimetric (TG) curves of BC and HBC-500; (c) FT-IR spectra of HBC-400, HBC-500, and HBC-700.
Catalysts 15 00818 g002
Figure 3. (a) XPS full spectrum of HBC-500; (b) C, N, and O elemental ratios of HBC-400, HBC-500, and HBC-700.
Figure 3. (a) XPS full spectrum of HBC-500; (b) C, N, and O elemental ratios of HBC-400, HBC-500, and HBC-700.
Catalysts 15 00818 g003
Figure 4. Partition peaks of C, N, and O elements for (ac) HBC-400, (df) HBC-500, and (gi) HBC-700 catalysts.
Figure 4. Partition peaks of C, N, and O elements for (ac) HBC-400, (df) HBC-500, and (gi) HBC-700 catalysts.
Catalysts 15 00818 g004
Figure 5. (a) Statistics of the fractionation ratio of C 1s orbitals at different pyrolysis temperatures; (b) statistics of the fractionation ratio of N 1s orbitals at different pyrolysis temperatures.
Figure 5. (a) Statistics of the fractionation ratio of C 1s orbitals at different pyrolysis temperatures; (b) statistics of the fractionation ratio of N 1s orbitals at different pyrolysis temperatures.
Catalysts 15 00818 g005
Figure 6. (a) RRDE curves of HBC-400, HBC-500, and HBC-700; (b) peroxide selectivity and electron transfer number calculated by RRDE; (c) Tafel slope.
Figure 6. (a) RRDE curves of HBC-400, HBC-500, and HBC-700; (b) peroxide selectivity and electron transfer number calculated by RRDE; (c) Tafel slope.
Catalysts 15 00818 g006
Figure 7. Hydrogen peroxide absorbance standard curve.
Figure 7. Hydrogen peroxide absorbance standard curve.
Catalysts 15 00818 g007
Figure 8. (a) Hydrogen peroxide accumulation of HBC-500 at different pH; (b) current efficiency when producing hydrogen peroxide at different pH; (c) hydrogen peroxide accumulation of different catalysts; (d) current efficiency when producing hydrogen peroxide with different catalysts (pH = 5) (experimental conditions: electrode area: 4 cm2; current density: 50 mA·cm2; electrode catalyst loading: 2 mg·cm2; solution volume: 200 mL).
Figure 8. (a) Hydrogen peroxide accumulation of HBC-500 at different pH; (b) current efficiency when producing hydrogen peroxide at different pH; (c) hydrogen peroxide accumulation of different catalysts; (d) current efficiency when producing hydrogen peroxide with different catalysts (pH = 5) (experimental conditions: electrode area: 4 cm2; current density: 50 mA·cm2; electrode catalyst loading: 2 mg·cm2; solution volume: 200 mL).
Catalysts 15 00818 g008
Figure 9. (a) Electro-Fenton degradation curves of HBC-400, HBC-500, and HBC-700 for methylene blue; (b) investigation of the optimal Fe2+ addition for the electrocatalytic process of HBC-500; (c) investigation of the optimal reaction pH for the electro-Fenton process of HBC-500; (d) cycle stability curves for the electro-Fenton catalysis of HBC-500.
Figure 9. (a) Electro-Fenton degradation curves of HBC-400, HBC-500, and HBC-700 for methylene blue; (b) investigation of the optimal Fe2+ addition for the electrocatalytic process of HBC-500; (c) investigation of the optimal reaction pH for the electro-Fenton process of HBC-500; (d) cycle stability curves for the electro-Fenton catalysis of HBC-500.
Catalysts 15 00818 g009
Disclaimer/Publisher’s Note: The statements, opinions and data contained in all publications are solely those of the individual author(s) and contributor(s) and not of MDPI and/or the editor(s). MDPI and/or the editor(s) disclaim responsibility for any injury to people or property resulting from any ideas, methods, instructions or products referred to in the content.

Share and Cite

MDPI and ACS Style

Wen, L.; An, Y.; Lei, Y. Performance Study of Biomass Carbon-Based Materials in Electrocatalytic Fenton Degradation of Printing and Dyeing Wastewater. Catalysts 2025, 15, 818. https://doi.org/10.3390/catal15090818

AMA Style

Wen L, An Y, Lei Y. Performance Study of Biomass Carbon-Based Materials in Electrocatalytic Fenton Degradation of Printing and Dyeing Wastewater. Catalysts. 2025; 15(9):818. https://doi.org/10.3390/catal15090818

Chicago/Turabian Style

Wen, Lie, Yan An, and Yanhua Lei. 2025. "Performance Study of Biomass Carbon-Based Materials in Electrocatalytic Fenton Degradation of Printing and Dyeing Wastewater" Catalysts 15, no. 9: 818. https://doi.org/10.3390/catal15090818

APA Style

Wen, L., An, Y., & Lei, Y. (2025). Performance Study of Biomass Carbon-Based Materials in Electrocatalytic Fenton Degradation of Printing and Dyeing Wastewater. Catalysts, 15(9), 818. https://doi.org/10.3390/catal15090818

Note that from the first issue of 2016, this journal uses article numbers instead of page numbers. See further details here.

Article Metrics

Back to TopTop