Role of Perovskite Phase in CeXO3 (X = Ni, Co, Fe) Catalysts for Low-Temperature Hydrogen Production from Ammonia
Abstract
1. Introduction
2. Results and Discussion
2.1. XRD Studies
2.2. H2-TPR Studies
2.3. CO2–TPD Studies
2.4. Raman Studies
2.5. XPS Studies
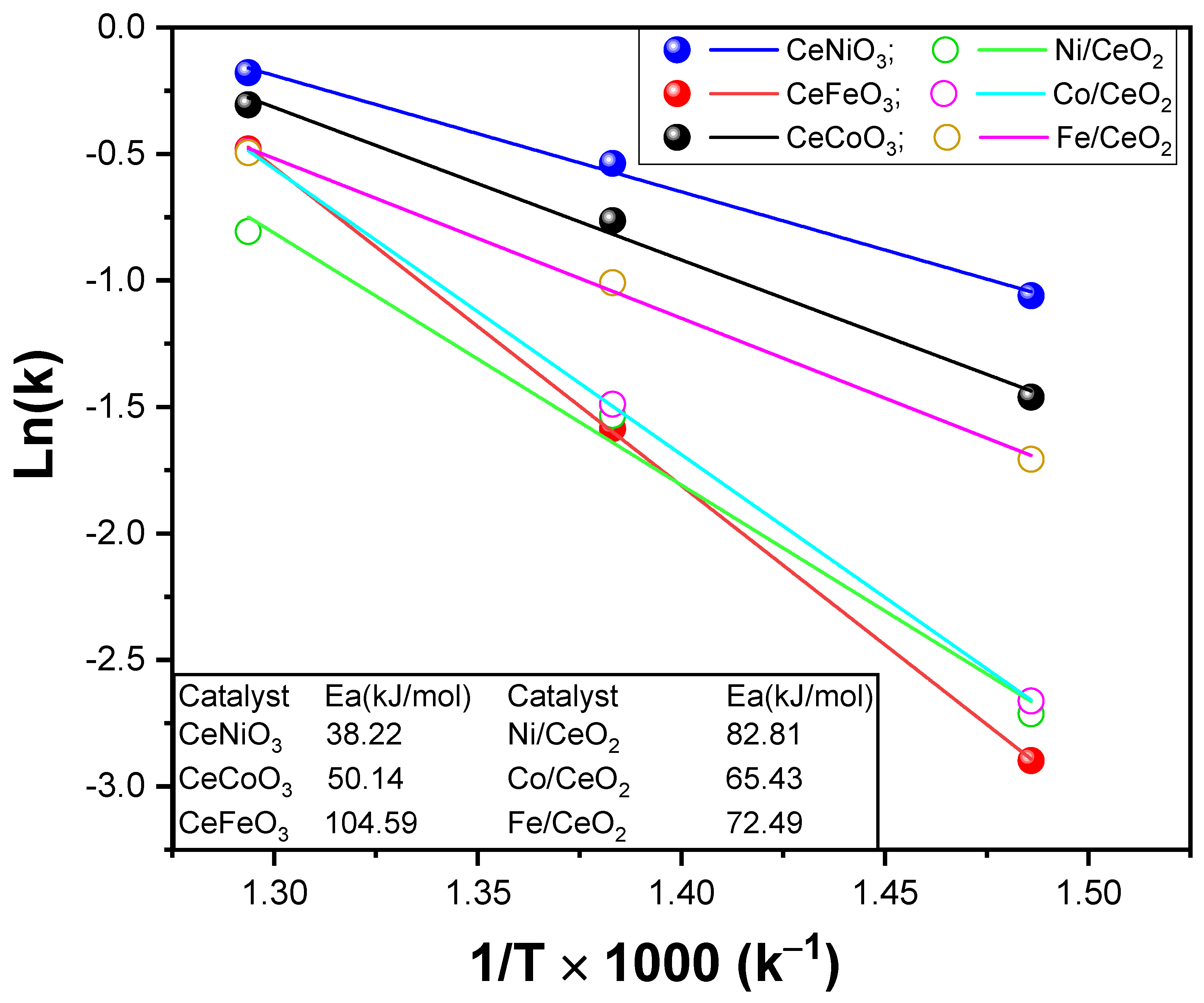
2.6. Activity Studies
3. Experimental
3.1. Preparation of Perovskite Type Oxide
3.2. Preparation of Supported Catalysts
3.3. Catalyst Characterization
3.4. Activity of Catalysts
4. Conclusions
Supplementary Materials
Author Contributions
Funding
Data Availability Statement
Acknowledgments
Conflicts of Interest
References
- Züttel, A. Hydrogen storage methods. Naturwissenschaften 2004, 91, 157–172. [Google Scholar] [CrossRef]
- Podila, S.; Al-Zahrani, A.A.; Pasupulety, N.; Alamoudi, M.A. Influence of CaCe ratio on the hydrogen production from ammonia over CaO-CeO2 supported Co catalysts. Arab. J. Chem. 2023, 16, 105235. [Google Scholar] [CrossRef]
- Sun, S.; Jiang, Q.; Zhao, D.; Cao, T.; Sha, H.; Zhang, C.; Song, H.; Da, Z. Ammonia as hydrogen carrier: Advances in ammonia decomposition catalysts for promising hydrogen production. Renew. Sustain. Energy Rev. 2022, 169, 112918. [Google Scholar] [CrossRef]
- He, T.; Pachfule, P.; Wu, H.; Xu, Q.; Chen, P. Hydrogen carriers. Nat. Rev. Mater. 2016, 1, 16059. [Google Scholar] [CrossRef]
- Su, Z.; Guan, J.; Liu, Y.; Shi, D.; Wu, Q.; Chen, K.; Zhang, Y.; Li, H. Research progress of ruthenium-based catalysts for hydrogen production from ammonia decomposition. Int. J. Hydrogen Energy 2024, 51, 1019–1043. [Google Scholar] [CrossRef]
- Zaman, S.F.; Jolaoso, L.A.; Podila, S.; Al-Zahrani, A.A.; Alhamed, Y.A.; Driss, H.; Daous, M.M.; Petrov, L. Ammonia decomposition over citric acid chelated γ-Mo2N and Ni2Mo3N catalysts. Int. J. Hydrogen Energy 2018, 43, 17252–17258. [Google Scholar] [CrossRef]
- Liu, H.; Zhang, Y.; Liu, S.; Li, S.; Liu, G. Ni-CeO2 nanocomposite with enhanced metal-support interaction for effective ammonia decomposition to hydrogen. Chem. Eng. J. 2023, 473, 145371. [Google Scholar] [CrossRef]
- Yu, Y.; Gan, Y.-M.; Huang, C.; Lu, Z.-H.; Wang, X.; Zhang, R.; Feng, G. Ni/La2O3 and Ni/MgO–La2O3 catalysts for the decomposition of NH3 into hydrogen. Int. J. Hydrogen Energy 2020, 45, 16528–16539. [Google Scholar] [CrossRef]
- Podila, S.; Driss, H.; Zaman, S.F.; Alhamed, Y.A.; AlZahrani, A.A.; Daous, M.A.; Petrov, L.A. Hydrogen generation by ammonia decomposition using Co/MgO–La2O3 catalyst: Influence of support calcination atmosphere. J. Mol. Catal. A Chem. 2016, 414, 130–139. [Google Scholar] [CrossRef]
- Podila, S.; Driss, H.; Zaman, S.F.; Ali, A.M.; Al-Zahrani, A.A.; Daous, M.A.; Petrov, L.A. Effect of preparation methods on the catalyst performance of Co/MgLa mixed oxide catalyst for COx-free hydrogen production by ammonia decomposition. Int. J. Hydrogen Energy 2017, 42, 24213–24221. [Google Scholar] [CrossRef]
- AlAmoudi, O.M.; Ullah Khan, W.; Hantoko, D.; Bakare, I.A.; Ali, S.A.; Hossain, M.M. Catalytic activity of Co/γ-Al2O3 catalysts for decomposition of ammonia to produce hydrogen. Fuel 2024, 372, 132230. [Google Scholar] [CrossRef]
- Podila, S.; Driss, H.; Zaman, S.F.; Ali, A.M.; Al-Zahrani, A.A.; Daous, M.A.; Petrov, L.A. MgFe and Mg–Co–Fe mixed oxides derived from hydrotalcites: Highly efficient catalysts for COx free hydrogen production from NH3. Int. J. Hydrogen Energy 2020, 45, 873–890. [Google Scholar] [CrossRef]
- Hajduk, Š.; Dasireddy, V.D.B.C.; Likozar, B.; Dražić, G.; Orel, Z.C. COx-free hydrogen production via decomposition of ammonia over Cu–Zn-based heterogeneous catalysts and their activity/stability. Appl. Catal. B Environ. 2017, 211, 57–67. [Google Scholar] [CrossRef]
- Yin, S.F.; Xu, B.Q.; Wang, S.J.; Ng, C.F.; Au, C.T. Magnesia–Carbon Nanotubes (MgO–CNTs) Nanocomposite: Novel Support of Ru Catalyst for the Generation of COx-Free Hydrogen from Ammonia. Catal. Lett. 2004, 96, 113–116. [Google Scholar] [CrossRef]
- Ju, X.; Liu, L.; Zhang, X.; Feng, J.; He, T.; Chen, P. Highly Efficient Ru/MgO Catalyst with Surface--Enriched Basic Sites for Production of Hydrogen from Ammonia Decomposition. ChemCatChem 2019, 11, 4161. [Google Scholar] [CrossRef]
- Hu, X.-C.; Fu, X.-P.; Wang, W.-W.; Wang, X.; Wu, K.; Si, R.; Ma, C.; Jia, C.-J.; Yan, C.-H. Ceria-supported ruthenium clusters transforming from isolated single atoms for hydrogen production via decomposition of ammonia. Appl. Catal. B Environ. 2020, 268, 118424. [Google Scholar] [CrossRef]
- Gong, S.; Du, Z.; Hu, Y.; Yao, W. Role of cation in catalytic decomposition of ammonia over Ni supported zeolite Y catalysts. Int. J. Hydrogen Energy 2024, 63, 547–555. [Google Scholar] [CrossRef]
- Li, G.; Yu, X.; Lei, Z.; Yin, F.; Zhang, H.; He, X. Preparation of lanthanum hexaaluminate supported nickel catalysts for hydrogen production by ammonia decomposition. Catal. Lett. 2023, 153, 3148–3158. [Google Scholar] [CrossRef]
- Ju, X.; Liu, L.; Yu, P.; Guo, J.; Zhang, X.; He, T.; Wu, G.; Chen, P. Mesoporous Ru/MgO prepared by a deposition-precipitation method as highly active catalyst for producing COx-free hydrogen from ammonia decomposition. Appl. Catal. B Environ. 2017, 211, 167–175. [Google Scholar] [CrossRef]
- Wu, Z.-W.; Li, X.; Qin, Y.-H.; Deng, L.; Wang, C.-W.; Jiang, X. Ammonia decomposition over SiO2-supported Ni–Co bimetallic catalyst for COx-free hydrogen generation. Int. J. Hydrogen Energy 2020, 45, 15263–15269. [Google Scholar] [CrossRef]
- Ji, J.; Duan, X.; Qian, G.; Zhou, X.; Tong, G.; Yuan, W. Towards an efficient CoMo/γ-Al2O3 catalyst using metal amine metallate as an active phase precursor: Enhanced hydrogen production by ammonia decomposition. Int. J. Hydrogen Energy 2014, 39, 12490–12498. [Google Scholar] [CrossRef]
- Yan, W.; Liang, B.; Bi, G.; Zhuo, H.; Wang, W.; Duan, H.; Xu, G.; Wang, F.; Su, Y.; Zhang, T.; et al. Interfacial Regulation of Ru-Based Catalysts for the Enhanced Activity of Ammonia Decomposition. ACS Sustain. Chem. Eng. 2024, 12, 15024–15032. [Google Scholar] [CrossRef]
- Zhang, T.; Ju, X.; Liu, L.; Liu, L.; He, T.; Xu, Y.; Wang, H.; Chen, P. Steering ammonia decomposition over Ru nanoparticles on ZrO2 by enhancing metal–support interaction. Catal. Sci. Technol. 2023, 13, 5205–5213. [Google Scholar] [CrossRef]
- Zhang, H.; Alhamed, Y.A.; Kojima, Y.; Al-Zahrani, A.A.; Miyaoka, H.; Petrov, L.A. Structure and catalytic properties of Ni/MWCNTs and Ni/AC catalysts for hydrogen production via ammonia decomposition. Int. J. Hydrogen Energy 2014, 39, 277–287. [Google Scholar] [CrossRef]
- Zhang, H.; Alhamed, Y.A.; Chu, W.; Ye, Z.; AlZahrani, A.; Petrov, L. Controlling Co-support interaction in Co/MWCNTs catalysts and catalytic performance for hydrogen production via NH3 decomposition. Appl. Catal. A Gen. 2013, 464–465, 156–164. [Google Scholar] [CrossRef]
- Huang, C.; Yu, Y.; Tang, X.; Liu, Z.; Zhang, J.; Ye, C.; Ye, Y.; Zhang, R. Hydrogen generation by ammonia decomposition over Co/CeO2 catalyst: Influence of support morphologies. Appl. Surf. Sci. 2020, 532, 147335. [Google Scholar] [CrossRef]
- He, H.; Jiang, H.; Yang, F.; Liu, J.; Zhang, W.; Jin, M.; Li, Z. Bimetallic NixCo10-x/CeO2 as highly active catalysts to enhance mid-temperature ammonia decomposition: Kinetics and synergies. Int. J. Hydrog. Energy 2022, 48, 5030–5041. [Google Scholar] [CrossRef]
- Chen, C.; Fan, X.; Zhou, C.; Lin, L.; Luo, Y.; Au, C.; Cai, G.; Wang, X.; Jiang, L. Hydrogen production from ammonia decomposition over Ni/CeO2 catalyst: Effect of CeO2 morphology. J. Rare Earths 2023, 41, 1014–1021. [Google Scholar] [CrossRef]
- Muhammad, P.; Zada, A.; Rashid, J.; Hanif, S.; Gao, Y.; Li, C.; Li, Y.; Fan, K.; Wang, Y. Defect engineering in nanocatalysts: From design and synthesis to applications. Adv. Funct. Mater. 2024, 34, 2314686. [Google Scholar] [CrossRef]
- Akay, G. Plasma generating—Chemical looping catalyst synthesis by microwave plasma shock for nitrogen fixation from air and hydrogen production from water for agriculture and energy technologies in global warming prevention. Catalysts 2020, 10, 152. [Google Scholar] [CrossRef]
- Akay, G. Green Ammonia, Nitric Acid, Advanced Fertilizer and Electricity Production with In Situ CO2 Capture and Utilization by Integrated Intensified Nonthermal Plasma Catalytic Processes: A Technology Transfer Review for Distributed Biorefineries. Catalysts 2025, 15, 105. [Google Scholar] [CrossRef]
- Akay, G.; González-Elipe, A.; Gómez-Ramírez, A. Comment to ’Plasma catalysis for gas conversion—Impact of catalyst on the plasma behavior’. Curr. Opin. Green Sustain. Chem. 2025, 55, 101043. [Google Scholar] [CrossRef]
- Al-attar, O.A.; Podila, S.; Al-Zahrani, A.A. Preparation and Study of XCeO3 (X: Mg, Ca, Sr, Ba) Perovskite-type oxide supported Cobalt Catalyst for Hydrogen Production by Ammonia Decomposition. Arab. J. Sci. Eng. 2023, 48, 8667–8677. [Google Scholar] [CrossRef]
- Tri, N.; Anh, N.P.; Huy, T.D.; Long, D.B.; Anh, H.C.; Phuong, P.H.; Van, N.T.T.; Nguyen, T.-T.; Loc, L.C. In situ synthesis of highly effective nickel nanocatalyst for methane bireforming. J. Sci. Adv. Mater. Devices 2023, 8, 100529. [Google Scholar] [CrossRef]
- Su, Y.-J.; Pan, K.-L.; Chang, M.-B. Modifying perovskite-type oxide catalyst LaNiO3 with Ce for carbon dioxide reforming of methane. Int. J. Hydrog. Energy 2014, 39, 4917–4925. [Google Scholar] [CrossRef]
- Thomas, J.; Anitha, P.; Thomas, T.; Thomas, N. The influence of B-site cation in LaBO3 (B= Fe, Co, Ni) perovskites on the nanomolar sensing of neurotransmitters. Sens. Actuators B Chem. 2021, 332, 129362. [Google Scholar] [CrossRef]
- Pinzón, M.; Sánchez-Sánchez, A.; Sánchez, P.; de la Osa, A.; Romero, A. Ammonia as a carrier for hydrogen production by using lanthanum based perovskites. Energy Convers. Manag. 2021, 246, 114681. [Google Scholar] [CrossRef]
- Podila, S.; Driss, H.; Ali, A.M.; Al-Zahrani, A.A.; Daous, M.A. Influence of Ce substitution in LaMO3 (M = Co/Ni) perovskites for COx-free hydrogen production from ammonia decomposition. Arab. J. Chem. 2022, 15, 103547. [Google Scholar] [CrossRef]
- Sing, K.S. Reporting physisorption data for gas/solid systems with special reference to the determination of surface area and porosity (Recommendations 1984). Pure Appl. Chem. 1985, 57, 603–619. [Google Scholar] [CrossRef]
- Zhao, S.; Luo, Y.; Li, C.; Ren, K.; Zhu, Y.; Dou, W. High-performance photothermal catalytic CO2 reduction to CH4 and CO by ABO3 (A = La, Ce; B = Ni, Co, Fe) perovskite nanomaterials. Ceram. Int. 2023, 49, 20907–20919. [Google Scholar] [CrossRef]
- Usman, M.; Podila, S.; Al-Zahrani, A.A. Role of perovskites phase in Ni-based catalysts for low temperature CO2 methanation. Int. J. Hydrog. Energy 2024, 95, 173–184. [Google Scholar] [CrossRef]
- Wang, M.; Han, Z.; Liu, Y.; Gao, C.; Pan, X.; Zhou, S. The influence of partial substitution of Ce with K in CeMO3 (M = Mn, Fe, Co, Ni, Cu) perovskite catalysts on soot combustion performance. J. Environ. Chem. Eng. 2023, 11, 110850. [Google Scholar] [CrossRef]
- Matveyeva, A.N.; Omarov, S.O.; Gavrilova, M.A.; Sladkovskiy, D.A.; Murzin, D.Y. CeFeO3–CeO2–Fe2O3 Systems: Synthesis by Solution Combustion Method and Catalytic Performance in CO2 Hydrogenation. Materials 2022, 15, 7970. [Google Scholar] [CrossRef]
- Mihai, O.; Chen, D.; Holmen, A. Chemical looping methane partial oxidation: The effect of the crystal size and O content of LaFeO3. J. Catal. 2012, 293, 175–185. [Google Scholar] [CrossRef]
- Greluk, M.; Rotko, M.; Słowik, G.; Turczyniak-Surdacka, S. Hydrogen production by steam reforming of ethanol over Co/CeO2 catalysts: Effect of cobalt content. J. Energy Inst. 2019, 92, 222–238. [Google Scholar] [CrossRef]
- Greluk, M.; Gac, W.; Rotko, M.; Słowik, G.; Turczyniak-Surdacka, S. Co/CeO2 and Ni/CeO2 catalysts for ethanol steam reforming: Effect of the cobalt/nickel dispersion on catalysts properties. J. Catal. 2021, 393, 159–178. [Google Scholar] [CrossRef]
- Luo, J.-Y.; Meng, M.; Li, X.; Li, X.-G.; Zha, Y.-Q.; Hu, T.-D.; Xie, Y.-N.; Zhang, J. Mesoporous Co3O4–CeO2 and Pd/Co3O4–CeO2 catalysts: Synthesis, characterization and mechanistic study of their catalytic properties for low-temperature CO oxidation. J. Catal. 2008, 254, 310–324. [Google Scholar] [CrossRef]
- Greluk, M.; Rotko, M.; Turczyniak-Surdacka, S. Comparison of catalytic performance and coking resistant behaviors of cobalt-and nickel based catalyst with different Co/Ce and Ni/Ce molar ratio under SRE conditions. Appl. Catal. A Gen. 2020, 590, 117334. [Google Scholar] [CrossRef]
- Tang, K.; Liu, W.; Li, J.; Guo, J.; Zhang, J.; Wang, S.; Niu, S.; Yang, Y. The effect of exposed facets of ceria to the nickel species in nickel-ceria catalysts and their performance in a NO+ CO reaction. ACS Appl. Mater. Interfaces 2015, 7, 26839–26849. [Google Scholar] [CrossRef]
- Tan, J.; Wang, J.; Zhang, Z.; Ma, Z.; Wang, L.; Liu, Y. Highly dispersed and stable Ni nanoparticles confined by MgO on ZrO2 for CO2 methanation. Appl. Surf. Sci. 2019, 481, 1538–1548. [Google Scholar] [CrossRef]
- Hu, Q.; Yue, B.; Shao, H.; Yang, F.; Wang, J.; Wang, Y.; Liu, J. Facile syntheses of cerium-based CeMO3 (M=Co, Ni, Cu) perovskite nanomaterials for high-performance supercapacitor electrodes. J. Mater. Sci. 2020, 55, 8421–8434. [Google Scholar] [CrossRef]
- Schilling, C.; Hofmann, A.; Hess, C.; Ganduglia-Pirovano, M.V. Raman Spectra of Polycrystalline CeO2: A Density Functional Theory Study. J. Phys. Chem. C 2017, 121, 20834–20849. [Google Scholar] [CrossRef]
- Liu, G.; Yue, R.; Jia, Y.; Ni, Y.; Yang, J.; Liu, H.; Wang, Z.; Wu, X.; Chen, Y. Catalytic oxidation of benzene over Ce–Mn oxides synthesized by flame spray pyrolysis. Particuology 2013, 11, 454–459. [Google Scholar] [CrossRef]
- Yang, J.; Liu, H.; Martens, W.N.; Frost, R.L. Synthesis and Characterization of Cobalt Hydroxide, Cobalt Oxyhydroxide, and Cobalt Oxide Nanodiscs. J. Phys. Chem. C 2010, 114, 111–119. [Google Scholar] [CrossRef]
- Ahmed, M.; Rüsing, M.; Berth, G.; Lischka, K.; Pawlis, A. CuO and Co3O4 Nanoparticles: Synthesis, Characterizations, and Raman Spectroscopy. J. Nanomater. 2013, 2013, 714853. [Google Scholar] [CrossRef]
- Parwaiz, S.; Bhunia, K.; Das, A.K.; Khan, M.M.; Pradhan, D. Cobalt-Doped Ceria/Reduced Graphene Oxide Nanocomposite as an Efficient Oxygen Reduction Reaction Catalyst and Supercapacitor Material. J. Phys. Chem. C 2017, 121, 20165–20176. [Google Scholar] [CrossRef]
- Mironova-Ulmane, N.; Kuzmin, A.; Sildos, I.; Pars, M. Polarisation dependent Raman study of single-crystal nickel oxide. Cent. Eur. J. Phys. 2011, 9, 1096–1099. [Google Scholar] [CrossRef]
- Matus, E.; Shlyakhtina, A.; Sukhova, O.; Ismagilov, I.; Ushakov, V.; Yashnik, S.A.; Andrey, N.; Bharali, P.; Kerzhentsev, M.; Ismagilov, Z. Effect of Preparation Methods on the Physicochemical and Functional Properties of Ni/CeO2 Catalysts. Kinet. Catal. 2019, 60, 221–230. [Google Scholar] [CrossRef]
- Zahid, U.; Sarifuddin, W.S.; Mahadi, A.H.; Prasetyoko, D.; Bahruji, H. CeNiO3 perovskite nanoparticles synthesized using gelatin as a chelating agent for CO2 dry reforming of methane. RSC Sustain. 2024, 2, 3806–3816. [Google Scholar] [CrossRef]
- Shah, L.R.; Ali, B.; Zhu, H.; Wang, W.; Song, Y.; Zhang, H.; Shah, S.; Xiao, J.Q. Detailed study on the role of oxygen vacancies in structural, magnetic and transport behavior of magnetic insulator: Co–CeO2. J. Phys. Condens. Matter 2009, 21, 486004. [Google Scholar] [CrossRef]
- Reddy, A.S.; Chen, C.-Y.; Chen, C.-C.; Chien, S.-H.; Lin, C.-J.; Lin, K.-H.; Chen, C.-L.; Chang, S.-C. Synthesis and characterization of Fe/CeO2 catalysts: Epoxidation of cyclohexene. J. Mol. Catal. A Chem. 2010, 318, 60–67. [Google Scholar] [CrossRef]
- Shin, J.; Jung, U.; Kim, J.; Kim, K.D.; Song, D.; Park, Y.; An, B.-S.; Koo, K.Y. Elucidating the effect of Ce with abundant surface oxygen vacancies on MgAl2O4-supported Ru-based catalysts for ammonia decomposition. Appl. Catal. B Environ. 2024, 340, 123234. [Google Scholar] [CrossRef]
- Long, G.; Wang, A.; Liu, X.; Li, X.; Liu, M.; Liu, Y.; Long, J. Tunable Oxygen Vacancy Clusters Enhanced Catalytic Activity of CeO2 Nanorods on CO2 Cycloaddition. Angew. Chem. 2025, 137, e202508217. [Google Scholar] [CrossRef]
- Wu, W.; Yao, W.; Liu, Y.; Xi, S.; Zhang, T. Efficient Hydrogen Production from Ammonia Using Ru Nanoparticles on Ce-Based Metal–Organic Framework (MOF)-Derived CeO2 with Oxygen Vacancies. Molecules 2025, 30, 2301. [Google Scholar] [CrossRef]
- She, S.; Chen, C.; Fan, K.; Chen, G.; Zhu, Y.; Guan, D.; Huang, Y.-C.; Chen, H.-C.; Lin, Z.; Wong, H.F. Optimizing the Ru Catalyst–Support Interaction via Tunnel Size of MnO2 Support for Enhanced Acidic Water Oxidation. J. Am. Chem. Soc. 2025, 147, 24392–24402. [Google Scholar] [CrossRef]
- Zhang, X.; Pei, C.; Chang, X.; Chen, S.; Liu, R.; Zhao, Z.-J.; Mu, R.; Gong, J. FeO6 octahedral distortion activates lattice oxygen in perovskite ferrite for methane partial oxidation coupled with CO2 splitting. J. Am. Chem. Soc. 2020, 142, 11540–11549. [Google Scholar] [CrossRef] [PubMed]
- Bao, H.; Chen, X.; Fang, J.; Jiang, Z.; Huang, W. Structure-activity relation of Fe2O3–CeO2 composite catalysts in CO oxidation. Catal. Lett. 2008, 125, 160–167. [Google Scholar] [CrossRef]
- Gu, Y.; Xu, D.; Huang, Y.; Long, Z.; Chen, G. COx-free hydrogen production via ammonia decomposition over mesoporous Co/Al2O3 catalysts with highly dispersed Co species synthesized by a facile method. Dalton Trans. 2021, 50, 1443–1452. [Google Scholar] [CrossRef]
- Gou, Z.; Huang, C.; Zhou, G.; Ren, X.; Deng, L.; Wang, T.; Peng, Q. Coupling and electronic synergistic effects of Fe/CeO2 composite to achieve high efficiency and selectivity for RWGS reaction. J. CO2 Util. 2024, 81, 102728. [Google Scholar] [CrossRef]
- Li, M.; Amari, H.; van Veen, A.C. Metal-oxide interaction enhanced CO2 activation in methanation over ceria supported nickel nanocrystallites. Appl. Catal. B Environ. 2018, 239, 27–35. [Google Scholar] [CrossRef]
- Jayababu, N.; Poloju, M.; Shruthi, J.; Reddy, M.R. NiO decorated CeO2 nanostructures as room temperature isopropanol gas sensors. RSC Adv. 2019, 9, 13765–13775. [Google Scholar] [CrossRef]
- Kim, S.B.; Eissa, A.A.-S.; Kim, M.-J.; Goda, E.S.; Youn, J.-R.; Lee, K. Sustainable synthesis of a highly stable and coke-free Ni@ CeO2 catalyst for the efficient carbon dioxide reforming of methane. Catalysts 2022, 12, 423. [Google Scholar] [CrossRef]
- Li, X.; Liu, X.; Hao, J.; Li, L.; Gao, Y.; Gu, Y.; Cao, Z.; Liu, J. Strong metal–support interactions of Ni-CeO2 effectively improve the performance of a molten hydroxide direct carbon fuel cell. ACS Omega 2022, 7, 24646–24655. [Google Scholar] [CrossRef] [PubMed]
- Kowalczyk, Z.; Sentek, J.; Jodzis, S.; Muhler, M.; Hinrichsen, O. Effect of potassium on the kinetics of ammonia synthesis and decomposition over fused iron catalyst at atmospheric pressure. J. Catal. 1997, 169, 407–414. [Google Scholar] [CrossRef]
- Kunze, J. Nitrogen and Carbon in Iron and Steel: Thermodynamics; with 48 tables; Akademie Verlag: Berlin, Germany, 1990. [Google Scholar]
- Arabczyk, W.; Narkiewicz, U. A new method for in situ determination of number of active sites in iron catalysts for ammonia synthesis and decomposition. Appl. Surf. Sci. 2002, 196, 423–428. [Google Scholar] [CrossRef]
- Kiełbasa, K.; Pelka, R.; Arabczyk, W. Studies of the kinetics of ammonia decomposition on promoted nanocrystalline iron using gas phases of different nitriding degree. J. Phys. Chem. A 2010, 114, 4531–4534. [Google Scholar] [CrossRef] [PubMed]
- Arabczyk, W.; Pelka, R. Studies of the kinetics of two parallel reactions: Ammonia decomposition and nitriding of iron catalyst. J. Phys. Chem. A 2008, 113, 411–416. [Google Scholar] [CrossRef]
- Bell, T.E.; Torrente-Murciano, L. H2 Production via Ammonia Decomposition Using Non-Noble Metal Catalysts: A Review. Top. Catal. 2016, 59, 1438–1457. [Google Scholar] [CrossRef]
- Son, T.O.; Park, J.M.; Kim, D.H. Highly dispersed ruthenium atomic-cluster adjacent to CeO2 oxygen vacancy as an active catalyst for ammonia decomposition. Catal. Today 2026, 461, 115528. [Google Scholar] [CrossRef]
- Ni, J.; Chen, L.; Lin, J.; Schreyer, M.K.; Wang, Z.; Kawi, S. High performance of Mg–La mixed oxides supported Ni catalysts for dry reforming of methane: The effect of crystal structure. Int. J. Hydrog. Energy 2013, 38, 13631–13642. [Google Scholar] [CrossRef]
- Yin, S.F.; Xu, B.Q.; Zhou, X.P.; Au, C.T. A mini-review on ammonia decomposition catalysts for on-site generation of hydrogen for fuel cell applications. Appl. Catal. A Gen. 2004, 277, 1–9. [Google Scholar] [CrossRef]
- Qin, C.; Ruan, S.; He, C.; Zhang, L. Nickel perovskite catalysts for ammonia decomposition: DFT calculations and microreaction kinetics. Colloids Surf. A Physicochem. Eng. Asp. 2024, 691, 133898. [Google Scholar] [CrossRef]
- Zhang, L.-F.; Li, M.; Ren, T.-Z.; Liu, X.; Yuan, Z.-Y. Ce-modified Ni nanoparticles encapsulated in SiO2 for COx-free hydrogen production via ammonia decomposition. Int. J. Hydrog. Energy 2015, 40, 2648–2656. [Google Scholar] [CrossRef]
- Tabassum, H.; Mukherjee, S.; Chen, J.; Holiharimanana, D.; Karakalos, S.; Yang, X.; Hwang, S.; Zhang, T.; Lu, B.; Chen, M. Hydrogen generation via ammonia decomposition on highly efficient and stable Ru-free catalysts: Approaching complete conversion at 450 °C. Energy Environ. Sci. 2022, 15, 4190–4200. [Google Scholar] [CrossRef]
- Hu, X.-C.; Wang, W.-W.; Jin, Z.; Wang, X.; Si, R.; Jia, C.-J. Transition metal nanoparticles supported La-promoted MgO as catalysts for hydrogen production via catalytic decomposition of ammonia. J. Energy Chem. 2019, 38, 41–49. [Google Scholar] [CrossRef]
- Yu, P.; Wu, H.; Guo, J.; Wang, P.; Chang, F.; Gao, W.; Zhang, W.; Liu, L.; Chen, P. Effect of BaNH, CaNH, Mg3N2 on the activity of Co in NH3 decomposition catalysis. J. Energy Chem. 2020, 46, 16–21. [Google Scholar] [CrossRef]
- Deng, Q.-F.; Zhang, H.; Hou, X.-X.; Ren, T.-Z.; Yuan, Z.-Y. High-surface-area Ce0.8Zr0.2O2 solid solutions supported Ni catalysts for ammonia decomposition to hydrogen. Int. J. Hydrog. Energy 2012, 37, 15901–15907. [Google Scholar] [CrossRef]













| Catalyst | BET | Pore volume | Pore width |
|---|---|---|---|
| (m2 g−1) | (cc g−1) | (Å) | |
| CeO2 | 73 | 0.254 | 78 |
| CeNiO3 | 29 | 0.09 | 48 |
| CeCoO3 | 24 | 0.07 | 40 |
| CeFeO3 | 14 | 0.047 | 40 |
| Ni/CeO2 | 44 | 0.147 | 78 |
| Co/CeO2 | 39 | 0.135 | 78 |
| Fe/CeO2 | 40 | 0.148 | 78 |
| Catalysts | Surface Atomic Concentration (%) | ||||
|---|---|---|---|---|---|
| Ni2p | Co2p | Fe2p | Ce3d | O1s | |
| CeNiO3 | 29.0 | - | - | 9.94 | 29.07 |
| CeCoO3 | - | 28.14 | - | 9.80 | 27.80 |
| CeFeO3 | - | - | 24.92 | 10.93 | 27.93 |
| Ni/CeO2 | 28.62 | - | - | 6.74 | 35.10 |
| Co/CeO2 | - | 29.14 | - | 7.45 | 28.93 |
| Fe/CeO2 | - | - | 31.0 | 7.58 | 29.25 |
Disclaimer/Publisher’s Note: The statements, opinions and data contained in all publications are solely those of the individual author(s) and contributor(s) and not of MDPI and/or the editor(s). MDPI and/or the editor(s) disclaim responsibility for any injury to people or property resulting from any ideas, methods, instructions or products referred to in the content. |
© 2025 by the authors. Licensee MDPI, Basel, Switzerland. This article is an open access article distributed under the terms and conditions of the Creative Commons Attribution (CC BY) license (https://creativecommons.org/licenses/by/4.0/).
Share and Cite
Alamoudi, M.A.; Podila, S. Role of Perovskite Phase in CeXO3 (X = Ni, Co, Fe) Catalysts for Low-Temperature Hydrogen Production from Ammonia. Catalysts 2025, 15, 1079. https://doi.org/10.3390/catal15111079
Alamoudi MA, Podila S. Role of Perovskite Phase in CeXO3 (X = Ni, Co, Fe) Catalysts for Low-Temperature Hydrogen Production from Ammonia. Catalysts. 2025; 15(11):1079. https://doi.org/10.3390/catal15111079
Chicago/Turabian StyleAlamoudi, Majed A., and Seetharamulu Podila. 2025. "Role of Perovskite Phase in CeXO3 (X = Ni, Co, Fe) Catalysts for Low-Temperature Hydrogen Production from Ammonia" Catalysts 15, no. 11: 1079. https://doi.org/10.3390/catal15111079
APA StyleAlamoudi, M. A., & Podila, S. (2025). Role of Perovskite Phase in CeXO3 (X = Ni, Co, Fe) Catalysts for Low-Temperature Hydrogen Production from Ammonia. Catalysts, 15(11), 1079. https://doi.org/10.3390/catal15111079

