Carbonate Inhibition in Au-Cu/γ-Al2O3 Catalysts for CO Oxidation
Abstract
1. Introduction
2. Results
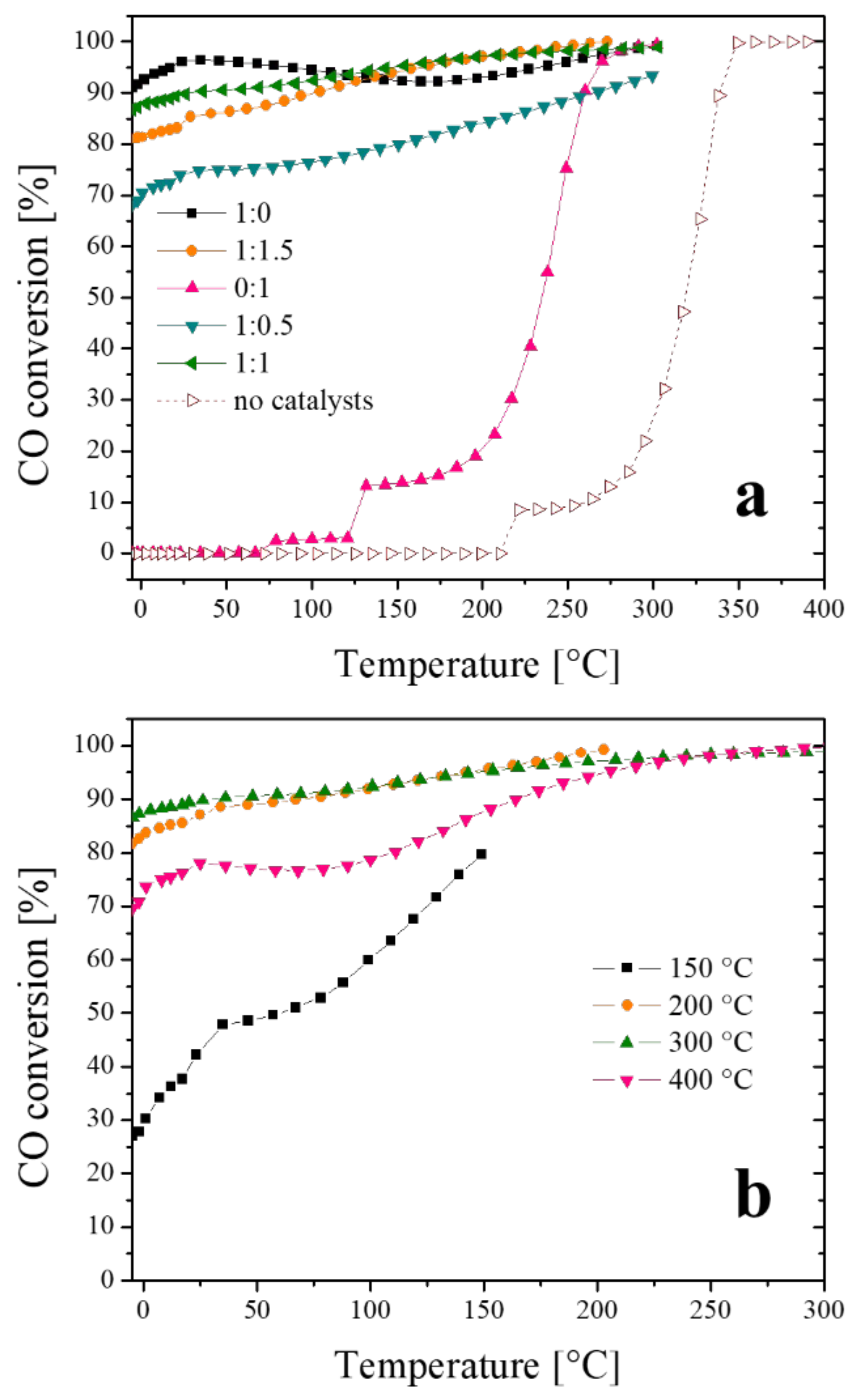
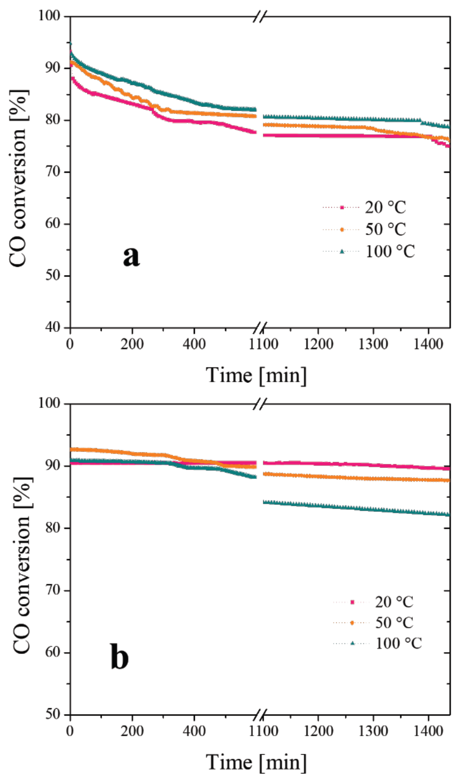
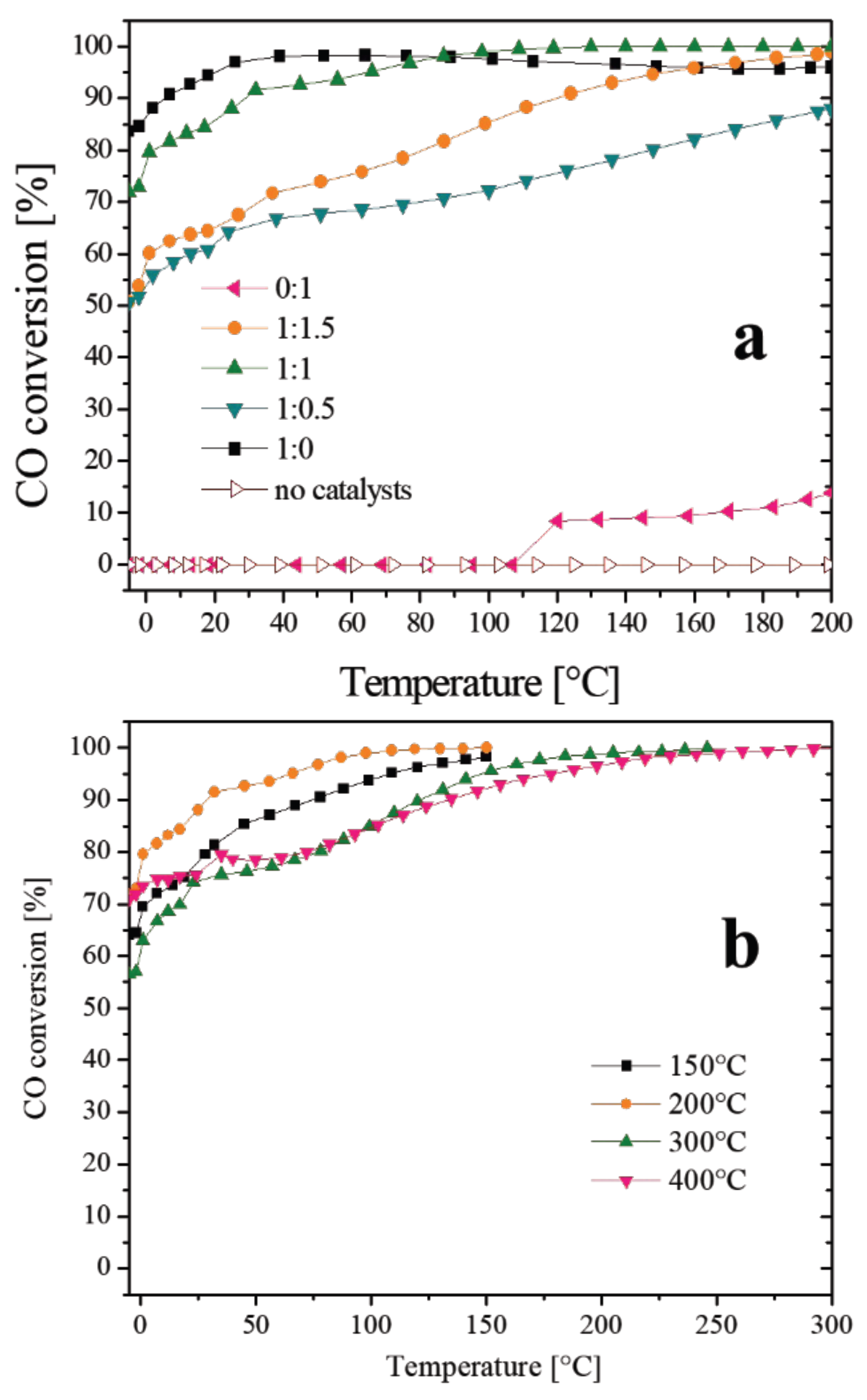
2.1. Effect of Atomic Au:Cu Ratio, Atmosphere, and Temperature Pretreatment on CO Catalytic Activity
2.2. Superficial Elemental Analysis and Textural Properties
2.3. Size of the Au Nanoparticles After Activation and Reaction
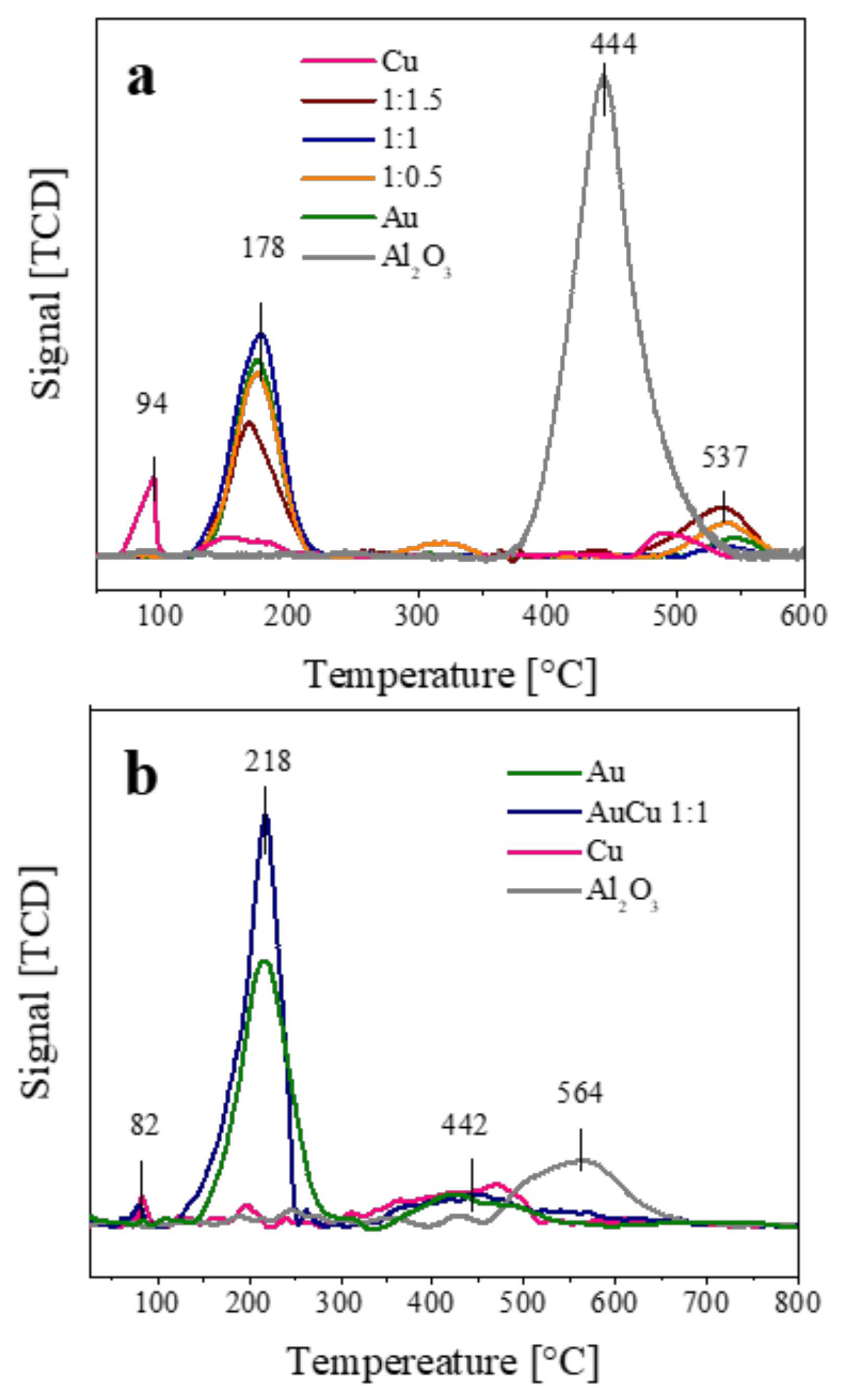
2.4. Temperature-Programmed Reduction and Oxidation (TPR/TPO) Analysis
2.4.1. XPS
2.4.2. Surface Composition by CO Adsorption by DRIFTS Analysis
2.4.3. UV-Vis Characterization
3. Discussion
3.1. Catalytic Performance over Au and AuCu/Al2O3 Catalysts
3.2. Formation of Intermediaries over AuCu/Al2O3 Catalyst
4. Experimental
4.1. Catalysts Preparation
4.1.1. Monometallic Samples
4.1.2. Bimetallic Samples
4.2. Catalytic Activity
4.3. Characterization Techniques
5. Conclusions
Supplementary Materials
Author Contributions
Funding
Data Availability Statement
Acknowledgments
Conflicts of Interest
Abbreviations
| CO | Carbon monoxide |
| DPU | Deposition–precipitation with urea |
| DRIFTS | Diffuse Reflectance Infrared Fourier Transform Spectroscopy |
| EDS | Energy Dispersive X-ray Spectroscopy |
| -TPR | Hydrogen Temperature-Programmed Reduction |
| TPO | Oxygen Temperature-Programmed Oxidation |
| RT | Room temperature |
| SPR | Surface Plasmon Resonance |
| TEM | Transmission Electron Microscopy |
| XPS | X-ray Photoelectron Spectroscopy |
References
- Kasmi, A.E.; Arshad, M.F.; Waqas, M.; Monguen, C.K.F.; Azar, F.Z.; Wu, L.N.; Tian, Z.Y. Insights into Catalytic Oxidation Mechanism of CO Over Cu Catalyst: Experimental and Modeling Study. Mater. Res. Bull. 2023, 166, 112343. [Google Scholar] [CrossRef]
- Guo, S.; Zhang, Q.; He, M.W.J.; Liu, J.; Ming, C.; Qi, J.; Wang, C. Study on CO migration characteristics and hazard potential function under ventilation after roof cutting blasting. J. Wind Eng. Ind. Aerodyn. 2023, 239, 105464. [Google Scholar] [CrossRef]
- Ruas, F.; Mendonca, C.; Corte-Real, F.; Nunp-Vieira, D.; Teixeira, H. Carbon monoxide poisoning as a cause of death and differential diagnosis in the forensic practice: A retrospective study 2000–2010. J. Forensic Leg. Med. 2014, 24, 1–6. [Google Scholar] [CrossRef]
- Haruta, M. When gold is not noble: Catalysis by nanoparticles. Chem. Rec. 2003, 3, 75–87. [Google Scholar] [CrossRef]
- Sandoval, A.; Gómez-Cortés, A.; Zanella, R.; Díaz, G.; Saniger, J. Gold nanoparticles: Support effects for the WGS reaction. J. Mol. Catal. A Chem. 2007, 278, 200–2008. [Google Scholar] [CrossRef]
- Bocuzzi, F.; Chiorino, A.; Manzoli, M.; Andreeva, D.; Tabakova, T. FTIR study of the low-temperature water-gas shift reaction on Au/Fe2O3 and Au/TiO2 Catalysts. J. Catal. 1999, 188, 176–185. [Google Scholar] [CrossRef]
- Che-Galicia, G.; Ruíz-Santoyo, V.; Zanella, R.; Mendoza-González, N.Y.; Ruiz-López, I.I.; Sampieri, A. Kinetic mechanism of CO oxidation on gold catalyst supported on TiSBA-15 previously treated in a hydrogen atmosphere. Chem. Eng. J. 2021, 405, 126644. [Google Scholar] [CrossRef]
- Zou, X.; Qi, S.; Suo, Z.; An, L.; Li, F. Activity and deactivation of Au/Al2O3 catalyst for low-temperature CO oxidation. Catal. Commun. 2007, 8, 784–788. [Google Scholar] [CrossRef]
- Sui, Q.; Cao, M.; Zhang, Y.; Li, Q.; Ding, J. Monolithic CoMgAl mixed metal oxide nanosheets on Al2O3 granules for the efficient advanced oxidation process. Mater. Lett. 2023, 353, 135302. [Google Scholar] [CrossRef]
- Ivanova, A. Aluminum oxide and systems based on it: Properties and applications. Kinet. Catal. 2012, 53, 425–439. [Google Scholar] [CrossRef]
- Wu, X.; Xu, L.; Weng, D. The thermal stability and catalytic performance of Ce-Zr promoted Rh-Pd/γ-Al2O3 automotive catalysts. Appl. Surf. Sci. 2004, 221, 375–383. [Google Scholar] [CrossRef]
- Chen, C.; Li, Y.; Ma, W.; Guo, S.; Wang, Q.; Li, Q. Mn-Fe-Mg-Ce loaded Al2O3 catalyzed ozonation for mineralization of refractory organic chemicals in petroleum refinery wastewater. Sep. Purif. Technol. 2017, 183, 1–10. [Google Scholar] [CrossRef]
- Liu, Q.; Wang, A.; Wang, X.; Gao, P.; Wang, X.; Zhang, T. Synthesis, characterization and catalytic applications of mesoporous γ-alumina from boehmite sol. Microporous Mesoporous Mater. 2008, 111, 323–333. [Google Scholar] [CrossRef]
- Gluhoi, A.; Bogdanchikova, N.; Nieuwenhuys, B. The effect of different types of additives on the catalytic activity of Au/Al2O3 in propene total oxidation: Transition metal oxide and ceria. J. Catal. 2005, 229, 154–162. [Google Scholar] [CrossRef]
- Sandoval, A.; Louis, C.; Zanella, R. Improved activity and stability in CO oxidation of bimetallic Au-Cu/TiO2 catalysts prepared by deposition-precipitation with urea. Appl. Catal. B Environ. 2012, 140, 363–377. [Google Scholar] [CrossRef]
- Najafishirtari, S.; Brescia, R.; Guardia, P.; Marras, S.; Manna, L.; Colombo, M. Nanoscale transformations of alumina-supported AuCu ordered phase nanocrystals and their activity in CO oxidation. ACS Catal. 2015, 5, 2154–2163. [Google Scholar] [CrossRef]
- Mozer, T.; Dziuba, D.; Vieira, C.; Passos, F. The effect of copper on the selective carbon monoxide over alumina supported gold catalysis. J. Power Sources 2009, 187, 209–215. [Google Scholar] [CrossRef]
- Stadnichenko, A.I.; Slavinskaya, E.M.; Stonkus, O.A.; Boronin, A.I. Low-Temperature CO Oxidation by the Pt/CeO2 Based Catalysts. ChemCatChem 2024, 16, e202301727. [Google Scholar] [CrossRef]
- Moroz, B.; Pyrjaev, P.; Zaikovskii, V.; Bukhtiyarov, V. Nanodispersed Au/Al2O3 catalysts for low-temperature CO oxidation: Results of research activity at the Boreskov Institute of Catalysis. Catal. Today 2009, 144, 292–305. [Google Scholar] [CrossRef]
- Miao, Y.; Wang, J.; Li, W. Enhanced catalytic activities and selectivities in preferential oxidation of CO over ceria-promoted Au/Al2O3 catalysts. Chin. J. Catal. 2016, 37, 1721–1728. [Google Scholar] [CrossRef]
- Ribeiro, N.; Mendes, F.; Perez, C.; Souza, M.; Schmal, M. Selective CO oxidation with nano gold particles-based catalysts over Al2O3 and ZrO2. Appl. Catal. A Gen. 2008, 347, 62–71. [Google Scholar] [CrossRef]
- Suo, Z.; Ma, C.; Jin, M.; He, T.; An, L. The active phase of Au-Pd/Al2O3 for CO oxidation. Catal. Comm. 2008, 9, 2187–2190. [Google Scholar] [CrossRef]
- Lu, R.; He, L.; Wang, Y.; Gao, X.; Li, W. Promotion effects of nickel-doped Al2O3-nanosheet-supported Au catalysts for CO oxidation. Chin. J. Catal. 2020, 41, 350356. [Google Scholar] [CrossRef]
- Hellmer, A.; Mendoza-Cruz, R.; Zanella, R. Enhancement of the CO oxidation reaction: Impact of the precursor addition sequence on the synthesis of Au-Co3O4/Al2O3 catalysts. MRS Commun. 2024, 14, 1184–1190. [Google Scholar] [CrossRef]
- Thommes, M.K.K.; Neimark, A.; Oliver, J.; Rodríguez-Reynoso, F.; Rouquerol, J.; Sing, K. Physisorption of gases, with special reference to the evaluation of surface area and pore size distribution (IUPAC Technical Report). Pure Appl. Chem. 2015, 87, 1051–1069. [Google Scholar] [CrossRef]
- Xu, Y.; Du, X.; Li, J.; Wang, P.; Zhu, J.; Ge, F.; Zhou, J.; Song, M.; Zhu, W. A comparison of Al2O3 and SiO2 supported Ni-based catalysts in their performance for the dry reforming of methane. J. Fuel Chem. Technol. 2019, 47, 199–208. [Google Scholar] [CrossRef]
- Zanella, R.; Louis, C. Influence of the conditions of thermal treatments and storage on the size of the gold particles in Au/TiO2 samples. Catal. Today 2005, 107, 768–777. [Google Scholar] [CrossRef]
- Dandekar, A.; Vannice, A. Determination of the dispersion and surface oxidation states of supported Cu catalysts. J. Catal. 1998, 178, 621–639. [Google Scholar] [CrossRef]
- Yue, L.; Zhao, W.; Li, J.; Wu, R.; Wang, Y.; Zhang, H.; Zhao, Y. Low-temperature CO preferential oxidation in H2-rich stream over Indium modified Pd-Cu/Al2O3 catalyst. J. Colloid Interface Sci. 2024, 662, 109–118. [Google Scholar] [CrossRef]
- Miao, Y.; Shi, L.; Sun, Q.; Li, W. A highly efficient potassium-treated Au-Cu/Al2O3 catalyst for the preferential oxidation of carbon monoxide. RSC Adv. 2016, 6, 24603. [Google Scholar] [CrossRef]
- Svintsitskiy, D.; Kardash, T.; Stonkus, O.; Slavinskaya, E.; Stadnichenko, A.; Koscheev, S.; Chupakhin, A.; Boronin, A. In Situ XRD, XPS, TEM, and TPR study of highly active in CO oxidation CuO nanopowders. J. Phys. Chem. C 2013, 117, 14588–14599. [Google Scholar] [CrossRef]
- Poreddy, R.; Engelbrekt, C.; Riisager, A. Copper oxide as efficient catalyst for oxidative dehydrogenation of alcohols with air. Catal. Sci. Technol. 2015, 5, 2467–2477. [Google Scholar] [CrossRef]
- Camposeco, R.; Regmi, C.; Lee, S.; Rodríguez-González, V. Tailoring surface nanotube properties with copper nanoparticles for hydrogen production performance. Mater. Lett. 2021, 290, 129500. [Google Scholar] [CrossRef]
- Hoang, D.; Dang, T.; Engeldinger, J.; Schneider, M.; Radnik, J.; Richter, M.; Martin, A. TPR investigations on the reducibility of Cu supported on Al2O3, zeolite Y and SAPO-5. J. Solid State Chem. 2011, 184, 1915–1923. [Google Scholar] [CrossRef]
- Jansson, J. Low-temperature CO oxidation over Co3O4/Al2O3. J. Catal. 2000, 194, 55–60. [Google Scholar] [CrossRef]
- Tsai, H.; Hu, E.; Perng, K.; Chen, M.; Wu, J.; Chang, Y. Instability of gold oxide Au2O3. Surf. Sci. 2003, 537, 447–450. [Google Scholar] [CrossRef]
- Cudennec, Y.; Lecerf, A. The transformation of Cu(OH)2 into CuO, revisited. Solid State Sci. 2003, 5, 1471–1474. [Google Scholar] [CrossRef]
- Chang, S.; Jampang, A. Enhanced adsorption selectivity of Au(III) over Cu(II) from acidic chloride solution by chitosan/palm kernel fatty acid distillate/magnetite nanocomposites. Int. J. Biol. Macromol. 2023, 252, 126491. [Google Scholar] [CrossRef]
- García-Serrano, J.; Galindo, A.; Pal, U. Au-Al2O3 nanocomposites: XPS and FTIR spectroscopic studies. Sol. Energy Mater. Sol. Cells 2004, 82, 291–298. [Google Scholar] [CrossRef]
- Megginson, R.; Grillo, F.; Francis, S.; Paes, V.; Trombini, H.; Grande, P.; Rossall, A.; Van Den Berg, J.; Baddeley, C. Thermal behavior of Cu and Au nanoparticles grown on CeO2 thin films. Appl. Surf. Sci. 2022, 575, 151656. [Google Scholar] [CrossRef]
- Guan, Y.; Fu, S.; Song, W.; Zhang, X.; Liu, B.; Zhang, F.; Chai, F. Controllable synthesis of sea urchin-like Cu-Au bimetallic nanospheres and their utility as efficient catalyst for hydrogenation of 4-nitrophenol. J. Solid State Chem. 2023, 322, 123968. [Google Scholar] [CrossRef]
- Camposeco, R.; Hinojosa-Reyes, M.; Zanella, R. Highly efficient photocatalytic hydrogen evolution by using Rh as co-catalyst in the Cu/TiO2 system. Int. J. Hydrogen Energy 2021, 46, 26074–26086. [Google Scholar] [CrossRef]
- Zhou, X.; Li, L.; Li, Z.; Fan, L.; Kang, W.; Cheng, B. The preparation of continuous CeO2/CuO/Al2O3 ultrafine fibers by electro-blowing spinning (EBS) and its photocatalytic activity. J. Mater. Sci. Mater. Electron. 2017, 28, 12580–12590. [Google Scholar] [CrossRef]
- Rotole, J.; Sherwood, P. Gamma-alumina by XPS. Surf. Sci. Spectra 1998, 5, 112910. [Google Scholar] [CrossRef]
- Islas, S.; Zanella, R.; Saniger, J. Thermal activation process of Au/TiO2 system: A molecular spectroscopy study. RSC Adv. 2016, 6, 42554. [Google Scholar] [CrossRef]
- Leba, A.; Davran-Candan, T.; Önsan, Z.; Yildirim, R. DRIFTS study of selective CO oxidation over Au/γ-Al2O3 catalyst. Catal. Commun. 2012, 29, 6–10. [Google Scholar] [CrossRef]
- Zeinalipour-Yazdi, C.; Cooksy, A.; Efstathiou, A. A diffuse reflectance infrared Fourier-Transform spectra and Density Functional Theory study of CO adsorption on Rh/γ-Al2O3. J. Phys. Chem. C 2007, 111, 13872–13878. [Google Scholar] [CrossRef]
- Reina, T.; Ivanova, S.; Idakiev, V.; Delgado, J.; Ivanov, I.; Tabakova, T.; Centeno, M.; Odriozola, J. Impact of Ce-Fe synergism on the catalytic behavior of Au/CeO2-FeOx/Al2O3 for pure H2 production. Catal. Sci. Technol. 2013, 3, 779. [Google Scholar] [CrossRef]
- Del Río, E.; Collins, S.; Aguirre, A.; Chen, X.; Delgado, J.; Calvino, J.; Bernal, S. Reversible deactivation of Au/Ce0.62Zr0.38O2 catalyst in CO oxidation: A systematic study of CO2-triggered carbonate inhibition. J. Catal. 2014, 316, 210–218. [Google Scholar] [CrossRef]
- Vila, F.; López, M.; Ojeda, M.; Fierro, J.; Mariscal, R. Glycerol hydrogenolysis to 1,2-propanediol with Cu/gama-Al2O3: Effect of the activation process. Catal. Today 2012, 187, 122–128. [Google Scholar] [CrossRef]
- Haneda, M.; Watanabe, T.; Kamiuchi, N.; Ozawa, M. Effect of platinum dispersion on the catalytic activity of Pt/Al2O3 for the oxidation of carbon monoxide and propene. Appl. Catal. B 2013, 142, 8–14. [Google Scholar] [CrossRef]
- Liao, X.; Liu, Y.; Chu, W.; Sall, S.; Petit, C.; Pitchon, V.; Caps, V. Promoting effect of Au-Cu/CeO2-catalyzed CO oxidation: A combined kinetic and in situ DRIFT study. J. Catal. 2020, 382, 329–338. [Google Scholar] [CrossRef]
- Wijnja, H.; Schulthess, C. ATR-FTIR and DRIFT spectroscopy of carbonate species at the aged γ-Al2O3/water interface. Spectrochim. Acta Part A Mol. Biomol. Spectrosc. 1999, 55, 861–872. [Google Scholar] [CrossRef]
- Gaur, S.; Wu, H.; Stanley, G.; More, K.; Kumar, C.; Spinvey, J. CO oxidation studies over cluster-derived Au/TiO2 and AUROlite Au/TiO2 catalysts using DRIFTS. Catal. Today 2013, 208, 72–81. [Google Scholar] [CrossRef]
- Chakarova, K.; Mihaylov, M.; Ivanova, S.; Centeno, M.; Hadjiivanov, K. Well-defined negatively charged gold carbonyls on Au/SiO2. J. Phys. Chem. C 2011, 115, 21273–21282. [Google Scholar] [CrossRef]
- El-Moemen, A.; Abdel-Mageed, A.; Bansmann, J.; Parlinska-Wojtan, M.; Behm, R.; Kucerová, G. Deactivation of Au/CeO2 catalysts during CO oxidation: Influence of pretreatment and reaction conditions. J. Catal. 2016, 341, 160–179. [Google Scholar] [CrossRef]
- Yang, K.; Liu, J.; Si, R.; Chen, X.; Dai, W.; Fu, X. Comparative study of Au/TiO2 and Au/Al2O3 for oxidizing CO in the presence of H2 under visible light irradiation. J. Catal. 2014, 317, 229–239. [Google Scholar] [CrossRef]
- Chen, B.; Zhu, X.; Crocker, M.; Wang, Y.; Shi, C. Complete oxidation of formaldehyde at ambient temperature over γ-Al2O3 supported Au catalyst. Catal. Commun. 2013, 42, 93–97. [Google Scholar] [CrossRef]
- Eskandari, M.; Shafyei, V.; Karimzadeh, F. One-step fabrication of Au@Al2O3 core-shell nanoparticles by continuous-wave fiber laser ablation of thin gold layer on aluminum surface: Structural and optical properties. Opt. Laser Technol. 2020, 126, 106066. [Google Scholar] [CrossRef]
- Park, E.; Lee, J. Effects of pretreatment conditions on CO oxidation over supported Au catalysts. J. Catal. 1999, 186, 1–11. [Google Scholar] [CrossRef]
- Costello, C.; Yang, J.; Law, H.; Wang, Y.; Lin, J.; Marks, L.; Kung, M.; Kung, H. On the potential role of hydroxyl groups in CO oxidation over Au/Al2O3. Appl. Catal. A 2003, 243, 15–24. [Google Scholar] [CrossRef]
- Kung, M.; Davis, R.; Kung, H. Understanding Au-catalyzed low-temperature CO oxidation. J. Phys. Chem. A 2007, 111, 11768. [Google Scholar] [CrossRef]
- Miao, Y.; Shi, L.; Cai, L.; Li, W. Alumina hollow microsphere supported gold catalysts for low temperature CO oxidation: Effect of the pretreatment atmospheres on the catalytic activity and stability. Gold Bull. 2014, 47, 275–282. [Google Scholar] [CrossRef]
- Wang, D.; Hao, Z.; Cheng, D.; Shi, X.; Hu, C. Influence of pretreatment conditions on low-temperature CO oxidation over Au/MOx/Al2O3 catalysts. J. Mol. Catal. A Chem. 2003, 200, 229–238. [Google Scholar] [CrossRef]
- Min, B.; Friend, C. Heterogeneous gold-based catalysis for green chemistry: Low temperature CO oxidation and propene oxidation. Chem. Rev. 2007, 107, 2709–2724. [Google Scholar] [CrossRef] [PubMed]
- Daté, M.; Imai, H.; Tsubota, S.; Haruta, M. In situ measurements under flow condition of the CO oxidation over supported gold nanoparticles. Catal. Today 2007, 1222, 222–225. [Google Scholar] [CrossRef]
- Perego, C.; Peratello, S. Experimental methods in catalytic kinetics. Catal. Today 1999, 52, 133–145. [Google Scholar] [CrossRef]













| Material | Nominal Au Loading | EDS Au Surface Loading + | Nominal Cu Loading | EDS Cu Surface Loading + | Actual Atomic Ratio | Nanoparticle Size [nm] | Specific Surface Area | Pore Size | |
|---|---|---|---|---|---|---|---|---|---|
| wt.% | wt.% | wt.% | wt.% | Au:Cu | Air * | ** | [m2/g] | [nm] | |
| Au | 3 | 2.56 | - | - | 1 | 2.83 | 2.36 | 91.77 | 32.19 |
| (0.25) | |||||||||
| Cu | - | - | 0.98 | 0.74 | 1 | - | - | 68.64 | 34.32 |
| (0.14) | |||||||||
| AuCu 1:0.5 | 3 | 2.42 | 0.49 | 0.34 | 1:0.34 | 2.81 | 2.72 | 89.58 | 23.75 |
| (0.22) | (0.08) | ||||||||
| AuCu 1:1 | 3 | 2.64 | 0.98 | 0.97 | 1:0.98 | 2.89 | 2.78 | 82.16 | 28.37 |
| (0.44) | (0.17) | ||||||||
| AuCu 1:1.5 | 3 | 2.46 | 1.47 | 0.95 | 1:0.84 | 4.13 | 4.04 | 80.40 | 21.44 |
| (0.24) | (0.11) | ||||||||
| Material | Au | Cu | O | ||
|---|---|---|---|---|---|
| Cu+ | Cu2+ | O(I) | O(II) | ||
| Au | 100 | - | - | 31.02 | 68.98 |
| Cu | - | 78.54 | 21.46 | 54.27 | 45.73 |
| Au:Cu | 100 | 86.49 | 13.51 | 95.10 | 4.90 |
| Step | Elementary Reaction Step | |
|---|---|---|
| 1 | CO + Cu+–OH ⇌ CO(Cu+– OH) | 2 |
| 2 | + Cu+–OH ⇌ 2O(Cu+–OH) | 1 |
| 3 | CO(Cu+–OH) ⟶ CO(Cu+–OH)δ− | 1 |
| 4 | CO(Cu+–OH) + O(Cu+–OH) ⟶ + Cu+–OH | 1 |
| 5 | CO(Cu+–OH)δ− + O(Cu+–OH) ⟶ COO(Cu+–OH)δ− + Cu+–OH | 1 |
| 6 | COO(Cu+–OH)δ− + Cu+–OH ⟶ + Cu+–OH | 1 |
Disclaimer/Publisher’s Note: The statements, opinions and data contained in all publications are solely those of the individual author(s) and contributor(s) and not of MDPI and/or the editor(s). MDPI and/or the editor(s) disclaim responsibility for any injury to people or property resulting from any ideas, methods, instructions or products referred to in the content. |
© 2025 by the authors. Licensee MDPI, Basel, Switzerland. This article is an open access article distributed under the terms and conditions of the Creative Commons Attribution (CC BY) license (https://creativecommons.org/licenses/by/4.0/).
Share and Cite
López, K.; Che-Galicia, G.; Zanella, R.; Guayaquil-Sosa, J.F.; Sampieri, A. Carbonate Inhibition in Au-Cu/γ-Al2O3 Catalysts for CO Oxidation. Catalysts 2025, 15, 1080. https://doi.org/10.3390/catal15111080
López K, Che-Galicia G, Zanella R, Guayaquil-Sosa JF, Sampieri A. Carbonate Inhibition in Au-Cu/γ-Al2O3 Catalysts for CO Oxidation. Catalysts. 2025; 15(11):1080. https://doi.org/10.3390/catal15111080
Chicago/Turabian StyleLópez, Karla, Gamaliel Che-Galicia, Rodolfo Zanella, Jesús F. Guayaquil-Sosa, and Alvaro Sampieri. 2025. "Carbonate Inhibition in Au-Cu/γ-Al2O3 Catalysts for CO Oxidation" Catalysts 15, no. 11: 1080. https://doi.org/10.3390/catal15111080
APA StyleLópez, K., Che-Galicia, G., Zanella, R., Guayaquil-Sosa, J. F., & Sampieri, A. (2025). Carbonate Inhibition in Au-Cu/γ-Al2O3 Catalysts for CO Oxidation. Catalysts, 15(11), 1080. https://doi.org/10.3390/catal15111080

