Abstract
This study focuses on the development of a novel two-stage (esterification–transesterification) synthesis of biodiesel from used cooking oil (UCO) using ion exchange resins as catalysts. Esterification of the UCO has been conducted using various types of ion exchange resin catalysts. Purolite D5081, a hyper cross-linked resin, showed the best catalytic performance among all the catalysts investigated, with 92% of free fatty acid (FFA) conversion. The transesterification of pre-treated used cooking oil (P-UCO) was carried out sequentially using several acidic and basic ion exchange resin catalysts. In the screening process, the Diaion PA306s catalyst showed the best catalytic performance and was selected for the optimisation study. A triglyceride conversion of ca. 75% was recorded at the optimum reaction conditions (9% (w/w) catalyst loading, 328 K reaction temperature, 18:1 methanol to P-UCO feed mole ratio, and 350 rpm stirring speed). Furthermore, the reusability study of the Diaion PA306s catalyst gave a similar triglyceride conversion after a couple of cycles without losing its catalytic activity. A dry purification technique was found to give the lowest percentage of glycerides and glycerine content and, therefore, was chosen as the best biodiesel purification route.
1. Introduction
Renewable energy has become an important alternative resource in many countries and is considered to be a potential substitute for conventional fossil fuels. In particular, renewable energy in the form of biodiesel is considered to be an alternative fuel for diesel engines as it is thought to slow the progression of climate change by reducing exhaust pollutants [1,2]. Additionally, biodiesel has proved to be biodegradable and has a good combustion profile, higher cetane number, higher flash point, and higher lubricity compared to conventional diesel [3,4]. Biodiesel comprises monoalkyl esters of fatty acids derived from renewable lipid feedstocks, such as edible oils (i.e., palm, sunflower, soybean) non-edible oils (i.e., jatropha, mahua), animal fats (chicken, lard), and algae. The cost of feedstock alone comprises 75% of the overall cost of biodiesel production [5]. Currently, the popular feedstocks for biodiesel production are cereals and edible oils; however, the usage of food elements as a source of fuel will continue to influence food prices and consequently have an impact on global food security [6].
Non-edible used cooking oil (UCO) has been found to be a more cost-effective feedstock for sustainable biodiesel production [7,8]. The cost of UCO is believed to be approximately 2.5–3.5 times lower than virgin vegetable oils, and, therefore, its usage can significantly reduce the total production cost of biodiesel [9]. However, these feedstocks contain a high amount of FFA and water; as such, they cannot be used directly in a base catalysed transesterification reaction since high FFA content causes saponification and lowers the yield of biodiesel. Consequently, a high yield of biodiesel could be achieved using a two-step synthesis, i.e., a pre-treatment stage by the esterification process to reduce the amount of FFA in the feedstock, followed by a base catalysed transesterification reaction [10,11,12].
The use of heterogeneous catalysts simplifies the production and purification processes because they can be easily separated from the reaction mixture, allowing multiple usage of the catalyst through the regeneration process. Among the various kinds of acid and base catalysts used for the conversion of oil to biodiesel, ion exchange resins are becoming more popular over the last few decades as they are noncorrosive, insensitive to FFAs, and can catalyse the reaction under mild reaction conditions due to their high concentration of acid/base sites [13,14,15,16]. According to recent research, ion exchange resins have demonstrated remarkable catalytic efficiency in the production of biodiesel. These resins effectively convert the reactants into ester products with high selectivity [15]. Moreover, ion exchange resins exhibit exceptional stability under various reaction conditions. As a result, they can be easily regenerated and reused in subsequent reaction cycles. This not only provides cost-effectiveness but also contributes to sustainable biodiesel production [17,18]. From an environmental perspective, ion exchange resins are acknowledged as environmentally friendly catalysts. They are predominantly free from hazardous metals and generate minimal quantities of toxic by-products during the transesterification process. This characteristic further enhances their suitability for biodiesel production in terms of sustainability and reduced ecological impact [19]. In particular, sulphonated cation exchange resin is widely used as a catalyst for the esterification of FFA because of its acidic characteristic [20,21,22].
Several types of anion catalysts have been tested for the transesterification of triolein, namely the Diaion PA308, Diaion PA306, Diaion PA306s, and HPA 25, and it was observed that anion exchange resin with a lower cross-linking density and a smaller particle size (Diaion PA306s) gave the highest catalytic activity and resulted in approximately 98.8% purity of biodiesel fuel [23]. In a similar study, it was reported that a Diaion PA306s catalyst could act as both catalyst and adsorbent in the transesterification reaction of waste cooking with 1% FFA content [24]. A comparison of the catalytic performance of Purolite D5081 and Novozyme 435 has been reported by Haigh and co-workers [25,26]. The studies found that the Purolite D5081 resin gives higher triglyceride conversion and negligible side reactions compared to Novozyme 435.
It is noteworthy that the two-step esterification–transesterification reaction reported in this work, using a combination of catalysts, specifically the hyper cross-linked resin (Purolite D5081) and anion exchange resin (Diaion PA306s), is novel, as it provides valuable information about some of the unique features of ion exchange resins that could influence their catalytic performances; however, these important properties of the resins are rarely reported in the literature.
Therefore, in this work, biodiesel was produced from UCO using a two-stage (esterification–transesterification) catalytic reaction using ion exchange resins as catalysts. The work was conducted in collaboration with Purolite International Limited for the possible commercialisation of the novel Purolite ion exchange resins as potential biodiesel production catalysts. The influence of reaction parameters including mass transfer resistance, catalyst loading, reaction temperature, methanol to oil molar ratio, and reusability of the catalyst on the yield of biodiesel was investigated.
2. Results and Discussions
2.1. Esterification Reaction
Esterification of the UCO using different types of ion exchange resin catalysts has been investigated and reported by Abidin et al. (2012) [27]. Amongst all the catalysts investigated, Purolite D5081 resin showed the best catalytic performance, and this is probably due to the catalytic properties of Purolite D5081 resin, as it has the highest specific surface area and largest total pore volume. At the optimum reaction condition of 1.25% (w/w) catalyst loading, 333 K reaction temperature, 6:1 methanol to UCO molar ratio, and 475 rpm stirring speed, Purolite D5081 achieved an FFA conversion of 92%.
2.2. Catalyst Screening for Transesterification Reaction
The transesterification of biodiesel using different types of Purolite catalysts has been investigated to select the best catalyst for further optimisation work. There are two groups of catalysts involved in this work, which are the cation exchange resins (Purolite CT-122, Purolite CT-169, Purolite CT-175, Purolite CT-275, Purolite D5081) and anion exchange resin (Diaion PA306s). All catalysts were tested under the same reaction conditions, i.e., 1.5% (w/w) of catalyst loading, 333 K reaction temperature, 18:1 methanol to P-UCO feed mole ratio, and 350 rpm impeller stirring speed. As shown in Figure 1, the conversion of triglycerides was ca. 50% using the Diaion PA306s catalyst, ca. 10% using Purolite CT-275, and ca. 7% using Purolite CT-122 and Purolite CT175 after 8 h of reaction. However, there was no measurable formation of FAME when the Purolite D5081 catalyst was used. Of all the catalysts investigated, Diaion PA306s gave the highest triglyceride conversion of ca. 50%. It is noteworthy that the analytical error was found to be within ±3% for all the experiments conducted.
Figure 1.
Effect of different types of catalysts on triglyceride conversion at a stirring speed of 350 rpm; catalyst loading: 1.5% (w/w); reaction temperature: 333 K; feed mole ratio (methanol:P-UCO): 18:1.
The catalytic reaction is often influenced by the specific surface area of a catalyst, as it typically correlates with an increased number of active sites. A larger surface area facilitates greater contact between the catalyst and reactants, potentially resulting in improved conversion rates. However, our study revealed that the specific surface area had a minimal effect on the conversion process as observed when Purolite D5081, a hyper cross-linked catalyst with the highest specific surface area, was used. One theoretical explanation for this observation could be attributed to the intricate nature of the two-stage esterification–transesterification reaction. This complex process involves multiple steps, including adsorption, desorption, and reaction kinetics, which may contribute to the negligible impact of surface area on the overall conversion [28]. Therefore, although the specific surface area plays a role in providing active sites for adsorption and reaction, the overall conversion rate can be more influenced by factors such as mass transport limitations and the various reaction steps involved.
However, the degree of cross-linking of the resin shows a varying effect on the catalytic performance as a low cross-linked resin, Diaion PA306s, gave the highest triglyceride conversion (ca. 50%) while another low cross-linked catalyst, Purolite CT-122, was only able to give ca. 7% of triglyceride conversion. In contrast, Purolite CT-275, which has a high degree of cross-linking, gave slightly higher triglyceride conversion (ca. 10%) compared to Purolite CT-122 (ca. 7%). On the other hand, the catalytic performance in transesterification reactions is also notably affected by the extent of cross-linking in resins. Greater cross-linking results in a more compact resin structure with reduced porosity and surface area. Consequently, this hinders the accessibility of reactants to active sites, potentially leading to decreased catalytic activity and reaction rates. Additionally, cross-linking influences the diffusion of reactants and products within the resin matrix, impeding molecular movement and possibly causing slower diffusion and limitations in mass transport. These effects on diffusion and mass transport can significantly impact both the overall reaction rate and the yield of the desired products [29].
A huge difference in catalytic performance was observed between Diaion PA306s and the other catalysts, and this was attributed to the acidity and basicity of the catalysts. For instance, Diaion PA306s was classified as a strongly basic anion exchange resin, whilst the rest of the catalysts were categorised as strongly acidic resins. Similarly, it has been reported that the adsorption strength of the alcohol on the anion exchange resin was much higher compared to cation exchange resins, which results in higher activity for anion exchange resin compared to cation exchange resin [23]. Therefore, it was concluded that the basicity of the catalyst is responsible for its transesterification activity and not specific surface area, particle size distribution, average pore diameter, or degree of cross-linking. Since Diaion PA306s showed the best catalytic performance, it was used for the subsequent transesterification reactions.
2.3. Optimisation of the Transesterification Reaction
2.3.1. Elimination of Mass Transfer Resistances
There are two types of mass transfer resistances involved in ion exchange catalysis: external mass resistance and internal mass transfer resistance. External mass transfer resistance, which takes place across the solid–liquid interface, was evaluated using different stirring speeds under the same reaction conditions. Three different agitation speeds were used, 300, 350, and 450 rpm, and the result is shown in Figure 2. It was found that the stirring speed gives a negligible impact on triglyceride conversion. Thus, it was concluded that external mass transfer resistance had no marked effect on the transesterification reaction. It is noteworthy that the internal mass transfer resistance associated with the differences in particle size of the catalysts is studied by measuring reaction rates for different average catalyst particle sizes; therefore, the absence of internal mass transfer resistance could not be verified, as the catalyst was supplied in wet form and swelling condition. Furthermore, since the moisture contained in this type of catalyst (anion exchange resin) can only be expelled by heating above 333 K, and heating at this temperature can greatly affect the stability of the resin, separation by sieving will not represent the actual size of the catalyst particle. Therefore, PA306s resin was used as received, without sieving for all transesterification reactions.
Figure 2.
Effect of stirring speed on triglyceride conversion (external mass transfer resistance) in the presence of a Diaion PA306s catalyst at catalyst loading: 1.5% (w/w); reaction temperature: 323 K; feed mole ratio (methanol:P-UCO): 18:1.
2.3.2. Effect of Catalyst Loading
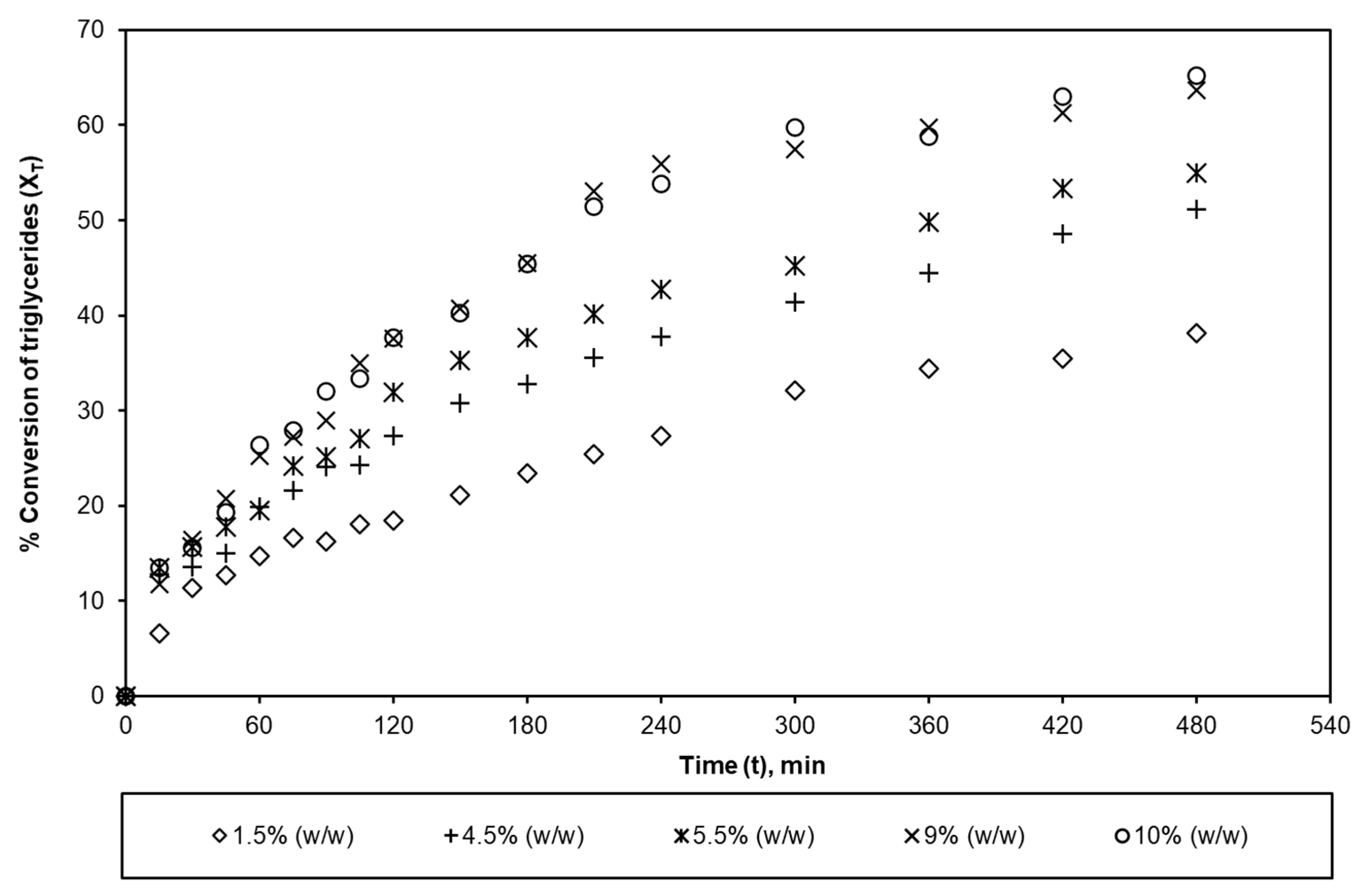
The effect of catalyst concentration on triglyceride conversion was investigated using different catalyst loadings, i.e., 1.5% (w/w), 3% (w/w), 4.5% (w/w), 5.5% (w/w), 9% (w/w), and 10% (w/w). Figure 3 shows the effect of catalyst loading on the conversion of triglycerides. The reaction was conducted at a temperature of 323 K, 18:1 methanol to P-UCO feed mole ratio, and 350 rpm stirring speed. As observed in Figure 3, increasing the catalyst concentration was found to increase triglyceride conversion. This behaviour was expected since with an increase in the number of active catalytic sites, triglyceride conversion increases. As the reaction proceeds, the changes in triglyceride conversion become less significant, indicating that the system is approaching equilibrium. It can be seen in Figure 3 that at 9% (w/w) and 10% (w/w) catalyst loading, the conversion of triglycerides was ca. 64% and ca. 65% after 480 min; thus, it could be concluded that a further increase in catalyst concentration above 9% (w/w) would cause a negligible increase in the conversion of triglycerides. Furthermore, higher catalyst dosage increases the viscosity of the reaction mixtures, which increases the mass transfer resistance in the multiphase system. Therefore, using a very high amount of catalyst is unnecessary for this reaction. For all further transesterification studies, 9% (w/w) was chosen as the optimum catalyst loading.
Figure 3.
Effect of catalyst loading on triglyceride conversion in the presence of a Diaion PA306s catalyst at stirring speed: 350 rpm; reaction temperature: 323 K; feed mole ratio (methanol:P-UCO): 18:1.
2.3.3. Effect of Reaction Temperature
Figure 4 shows the plot of triglyceride conversion over time with the temperature ranging from 313 to 333 K. It can be seen in the figure that triglyceride conversion was found to increase with an increase in reaction temperature. After 8 h of reaction, the final conversion of triglycerides at 313, 325, and 328 K was approximately 50%, 64%, and 75%, respectively. Theoretically, an increase in reaction temperature leads to a reduction in the viscosity of triglycerides, which enhances the contact between methanol and triglycerides. It was also observed that triglyceride conversion for the 328 and 333 K reaction temperatures are similar, although the time for the conversion to reach a steady state was faster for 333 K (Figure 4). As the final conversion for 325 and 328 K was approximately the same as ca. 75% conversion, an increase in temperature will only increase the operating cost. Therefore, 325 K was chosen as the optimum reaction temperature and proposed for further transesterification reactions.
Figure 4.
Effect of reaction temperature on triglyceride conversion in the presence of a Diaion PA306s catalyst at stirring speed: 350 rpm; catalyst loading: 9% (w/w); feed mole ratio (methanol:P-UCO): 18:1.
2.3.4. Effect of Feed Mole Ratio of Methanol to P-UCO
Stoichiometrically, the methanolysis of triglycerides requires three moles of methanol per mole of triglyceride to yield three moles of FAME and one mole of glycerine. Given that transesterification is a reversible reaction, excess methanol should help the conversion of triglycerides. The molar mass of UCO was determined to be 871.82 g mol−1, and this was used to calculate the feed mole ratio of methanol to P-UCO. Figure 5 shows the effect of the feed mole ratio of methanol to P-UCO on the conversion of triglycerides. As observed in Figure 5, the conversion of triglycerides increased with an increase in methanol to the P-UCO feed mole ratio from 6:1 to 18:1. The conversion of triglycerides using 6:1, 12:1, and 18:1 methanol to the P-UCO feed mole ratio at 8 h are 63%, 69%, and 75%, respectively. In Figure 5, it can be seen that a further increase in the feed mole ratio of methanol to P-UCO from 18:1 to 24:1 did not result in an increase in the conversion of triglycerides, and the final triglyceride conversion for both feed mole ratios was approximately the same, i.e., 75%. A significantly high feed mole ratio is not preferable in biodiesel production because it makes the separation process difficult, and higher consumption of methanol also requires larger unit operations including reactors, separation columns, and methanol recovery equipment that will increase the overall cost of the process. An optimum operating ratio should be selected on the basis of overall economics and equilibrium conversion and, therefore, a feed mole ratio of 18:1 methanol to P-UCO was selected as the optimum ratio and used for further transesterification reaction.
Figure 5.
Effect of the feed mole ratio (methanol:P-UCO) on triglyceride conversion in the presence of a Diaion PA306s catalyst at stirring speed: 350 rpm; catalyst loading: 9% (w/w); reaction temperature: 328 K.
2.3.5. Comparison of the Obtained Biodiesel Conversion with Relevant Studies in the Literature
Table 1 shows a comprehensive comparison of our obtained conversion results with relevant findings in the literature utilizing various catalysts.
Table 1.
A comparison of triglyceride conversion results with relevant findings.
2.4. Catalyst Reusability Study
The reusability of the catalyst is an important step in determining the sustainability and overall cost of a biodiesel production process. During the preparation of the used catalyst, the displacement of a fatty acid ion with an acetate ion was investigated using acetic acid concentrations of 17.5 M and 1 M, respectively. Two analyses (FEG-SEM and elemental analysis) were conducted before the displacement process was finalised.
The FEG-SEM analysis was carried out to observe any changes on the surface of the catalysts after being treated with acetic acid. Figure 6 compares the FEG-SEM analysis for (a) fresh Diaion PA306s, (b) used Diaion PA306s (treated with 1 M acetic acid), and (c) used Diaion PA306s (treated with 17.5 M acetic acid) catalysts captured at 500× magnification.
Figure 6.
The FEG-SEM images of Diaion PA306s catalysts taken at 500× magnification: (a) fresh Diaion PA306s, (b) used Diaion PA306s (treated with 1 M acetic acid), and (c) used Diaion PA306s (treated with 17.5 M acetic acid).
In Figure 6, it can be seen that the surface morphology of fresh and used Diaion PA306s (treated with 1 M of acetic acid) catalysts appears as a smooth surface, whereas a noticeable deterioration of the surface was found when a Diaion PA306s catalyst was treated with 17.5 M of acetic acid. This suggests that the concentration of acetic acid is too high for the treatment of the used catalyst. Table 2 shows the results of the elemental analysis. It can be seen that the used Diaion PA306s catalysts treated with 17.5 and 1 M acetic acids resulted in slightly lower carbon and hydrogen content compared to the fresh Diaion PA306s. The reduction in carbon and hydrogen values in the used Diaion PA306s catalyst treated with 17.5 M of acetic acid was also found to be slightly higher than the used Diaion PA306s catalyst treated with 1 M of acetic acid. This indicates that there are some changes or damage to the structure of the Diaion PA306s catalyst when a higher acetic acid concentration was used, and this could contribute to a loss in catalytic activity. Therefore, acid displacement using 1 M acetic acid solution was selected for further displacement process, as described in Section 3.4.2.
Table 2.
Elemental analysis of fresh and used Diaion PA306s.
The reusability study was carried out under the optimum reaction conditions: 9% (w/w) catalyst loading, 328 K reaction temperature, 18:1 methanol to P-UCO feed mole ratio, and 350 rpm stirring speed. The result of the reusability study was compared with the optimum result obtained using a fresh Diaion PA306s catalyst and shown in Figure 7. It was observed that when a Diaion PA306s catalyst was reused three consecutive times, all the experiments gave a similar conversion of triglycerides compared with the fresh catalysts, as shown in Figure 7. The conversion of triglycerides for both catalysts after 8 h of reaction time was approximately 75%. It was concluded that the catalyst can be used several times without losing catalytic activity.
Figure 7.
Effect of Diaion PA306s catalyst reusability on the conversion of triglycerides at stirring speed: 350 rpm; catalyst loading: 9% (w/w); reaction temperature: 328 K; feed mole ratio (methanol:UCO): 18:1.
2.5. Separation and Purification Process
Once the transesterification reaction was completed, the reaction mixture was allowed to cool to room temperature. The mixture was separated from the catalyst and transferred to a separating funnel. The reaction mixture was allowed to settle overnight to form FAME-rich phase and glycerine-rich phase layers. The layers were sequentially withdrawn from the separating funnel and introduced to the washing process. Two types of washing techniques were employed, i.e., the conventional wet washing technique using water and the dry washing technique using Purolite PD206 as an adsorbent. Table 3 shows the purity of FAME using wet and dry washing and the results were compared with the unpurified biodiesel. The result in Table 3 shows a similar percentage of FAME for all purified and unpurified samples. The dry washing treatment using PD 206 gave the highest percentage of FAME purity of ca. 75%. By having the advantage of being water-free, there is less production of wastewater; hence, the purified biodiesel using the dry washing treatment was selected for further testing.
Table 3.
Purification of FAME using different treatment processes.
The purified biodiesel from the dry washing process was tested for monoglycerides, diglycerides, triglycerides, and glycerine content. The same analyses were conducted on unpurified biodiesel, and the results are presented in Table 4. It can be seen in Table 4 that biodiesel from the dry washing technique shows a lower percentage of glycerides and glycerine content compared to unpurified biodiesel. The finding contradicts the findings by Shibasaki-Kitakawa et al. (2011) [24], as they claimed that all the impurities such as the residual oil, free fatty acids (FFAs), water, and dark brown pigment can be removed from the product by adsorption on a Diaion PA306s catalyst.
Table 4.
Analysis of monoglycerides, diglycerides, triglycerides, and glycerine content (total and free glycerine).
3. Materials and Method
3.1. Materials
Ion exchange resin catalysts (Purolite CT-122, Purolite CT-169, Purolite CT-175, Purolite CT-275, and Purolite D5081) were supplied by Purolite International Limited, Pontyclun UK, and Diaion PA306s were supplied by Mitsubishi Chemicals, Tokyo Japan. All resins were supplied in wet form. The UCO was supplied by GreenFuel Oil Company Limited, Berkeley UK, with an acid value of 12 mg KOH/g oil. Methanol (>99.5% purity), sodium hydroxide (98+%) pellets, 0.1 M standardised hydrochloric acid solution, 0.1 M standardised sodium hydroxide solution, 0.1 M standardised sodium hydroxide in 2-propanol solution, toluene (99.5%), 2-propanol (99+%), glacial acetic acid (99.85%), chloroform (>99%), methyl linoleate (>99%), sodium chloride, phenolphthalein, iso-octane (>99.5), and acetonitrile (>99.8%) were purchased from Fisher Scientific, Loughborough, UK, and p-naphtholbenzein, n-hexane, methyl heptadecanoate (>99%), methyl linolenate (>99%), methyl oleate (>99%), methyl palmitate (>99%), and methyl stearate (>99%) were purchased from Sigma Aldrich, Gillingham UK. Other chemicals used were analytical reagent grade.
3.2. Catalyst Preparation
Two types of resins were used in this research work, i.e., cation exchange resin and anion exchange resin. Purolite CT-122, Purolite CT-169, Purolite CT-175, Purolite CT-275, and Purolite D5081 are classified as strongly acidic cation exchange resins, whereas Diaion PA306s (supplied in chloride form) is classified as strongly basic anion exchange resin. All of these resins were supplied in wet form. The resins were pre-treated before being used as the reaction catalysts. The cation exchange resins were immersed in methanol overnight and pre-treated with the methanol in an ultrasonic bath. The process takes a few cycles of rinsing to ensure that all contaminants were removed. The conductivity of the residual solution was recorded, and the process continued until the conductivity of the residual solution was approximately the same as the solvent. Finally, the resins were dried in a vacuum oven at 373 K for 6 h to remove any water and methanol. The dried catalyst was kept in a sealed bottle prior to use. The anion exchange resin (Diaion PA306s) was prepared prior to use. It was mixed with a 1 M solution of sodium hydroxide (NaOH) to displace the chloride ions into hydroxyl ions. Thereafter, the resin was washed with reverse osmosis (RO) water. The conductivity of the residual solution was continuously monitored and recorded during the washing process until it was approximately the same as the RO water. The catalyst was then rinsed with methanol, filtered and decanted, and left overnight in a closed environment [20].
3.3. Catalyst Characterisation
Elemental analysis was performed using a Thermoquest EA1110 Elemental Analyser (Fisons Instruments, Milan, Italy). The sulphur determination was carried out separately using an oxygen flask combustion analysis, followed by titration. All the results are reported in weight percentage of carbon, hydrogen, nitrogen, and sulphur. The percentage of oxygen content was determined by the difference from the total weight percentage of other elements (i.e., carbon, hydrogen, nitrogen, and sulphur). The true density (ρt) was measured using a Micromeritics Helium Pycnometer 1305 (Micromeritics, Georgia, GA, USA). The true density of the particles was determined using the standard density formula. A Carl Zeiss (Leo) 1530 VP) field emission gun–scanning electron microscope (FEG-SEM, Oberkochen, Germany) was used to study the morphology of the catalysts. Surface area, pore volume, and average pore diameter were determined from adsorption isotherms using a Micromeritics ASAP 2020 surface analyser (Micromeritics, Norcross, GA, USA). The samples were degassed using two-stage temperature ramping under a vacuum of <10 mm Hg, followed by sample analysis at 77 K using nitrogen gas. Table 5 shows the elemental analysis results for ion exchange resin catalysts. There was an unexpected presence of nitrogen in some of the cation exchange resins, and the value was less than 1%. In this case, nitrogen was assumed to be a contaminant in the sample. The chemical and physical properties of the catalysts used in the transesterification process are presented in Table 6.
Table 5.
The elemental analysis results for ion exchange resin catalysts.
Table 6.
Physical and chemical properties of the catalysts used for the transesterification process.
3.4. Experimental Methods
3.4.1. Esterification–Transesterification Reaction
The esterification process was carried out in a jacketed-glass batch reactor, and the detailed findings have been reported earlier [27]. The product from the esterification process is called pre-treated used cooking oil (P-UCO). P-UCO was used as the raw material for the transesterification process. The experimental set-up and procedure for transesterification were similar to the esterification, except that the size of the transesterification reactor was smaller, i.e., 250 mL. Samples were taken periodically from the reactor for fatty acid methyl ester (FAME) analysis using gas chromatography–mass spectrometry (GC-MS). The results were used to determine triglyceride conversion. Once the experiment was completed, the reaction mixture was separated from the spent catalyst, transferred to a separating funnel, and allowed to settle overnight. The FAME-rich phase (unpurified biodiesel) was withdrawn from the separating funnel and introduced to a rotary evaporator to remove traces of methanol, followed by a washing process. Finally, the purified biodiesel was separated from the washing agent and stored for further analysis. In terms of the reproducibility of the experimental data, selected experiments were repeated 3 times, and it was found that there was a ±2% difference in the results.
3.4.2. Catalyst Reusability Study
The spent catalyst (Diaion PA306s) was washed with glacial acetic acid in methanol to displace the fatty acid ions. This displacement step was conducted with the aid of an ultrasonic bath until there were no traces of P-UCO and a colourless solution was obtained. The catalyst was then washed using RO water to remove the excess acetic acid solution. The catalyst was mixed with 1 M NaOH to displace the acetate ions with hydroxyl ions, followed by washing with RO water to remove excess NaOH solution, as described in Section 3.2. The catalyst was rinsed with methanol, filtered, and decanted overnight in a closed environment.
3.5. GC-MS Analysis
The FAME content was assayed using a Hewlett Packard GC-MS model HP-6890 and HP5973 (mass selective detector). A DB-WAX (J & W Scientific) capillary column 30 m in length with an internal diameter of 0.25 × 10−3 m packed with polyethylene glycol (0.25 μm film thickness) was used. Helium was used as a carrier gas at a constant flow rate of 1.1 mL min−1. The temperature of both the injector and the detector was set at 523 K. An injection volume of 1 μL and a split ratio of 10:1 were used as part of the GC-MS analysis method. The initial oven temperature was held at 343 K for 2 min after the sample injection. The oven temperature was then ramped from 343 to 483 K at a rate of 40 K min−1 and from 483 to 503 K at a rate of 7 K min−1. The oven temperature was held at 503 K for 11 min to remove any remaining traces of the sample. The total run time for each sample was approximately 19.5 min. A detailed procedure for the experimental analysis has been reported elsewhere [35]. The determination of monoglycerides, diglycerides, and triglycerides in the UCO was carried out using the method established by Haigh et al. (2014) [36].
4. Conclusions
Transesterification of P-UCO using various types of catalysts has been investigated. Amongst the catalysts investigated, the Diaion PA306s catalyst exhibited the best catalytic performance, and the reason was due to the high basicity of the catalyst. As a result, Diaion PA306s was selected for the optimisation study. At the optimum reaction conditions of 9% (w/w) catalyst loading, 328 K reaction temperature, 18:1 methanol to P-UCO feed mole ratio, and 350 rpm stirring speed, triglyceride conversion was ca. 75%. The remaining 25% was predicted to be unreacted triglycerides. During the reusability study, the Diaion PA306s catalyst gave a similar triglyceride conversion after being reused three consecutive times (at the same conditions). Therefore, it was concluded that the catalyst can be used several times without losing its catalytic activity. Two types of washing techniques, wet and dry washing, were carried out during the purification process, and the results for purified biodiesel were compared with unpurified biodiesel. Biodiesel produced from the dry washing technique shows the lowest percentage of glycerides and glycerine content and, therefore, was chosen as the best treatment for biodiesel purification.
Author Contributions
Conceptualization, S.Z.A. and B.S.; methodology, S.Z.A. and B.S.; formal analysis, S.Z.A.; investigation, S.Z.A.; writing—original draft preparation, S.Z.A. and B.S.; writing—review and editing S.Z.A., M.L.M. and B.S.; visualization, S.Z.A., M.L.M. and B.S.; supervision, B.S.; project administration, B.S.; funding acquisition, B.S. All authors have read and agreed to the published version of the manuscript.
Funding
This research received no external funding.
Data Availability Statement
Data might be available on request.
Acknowledgments
We gratefully acknowledge Purolite International Ltd. (the late Jim Dale and the late Brian Windsor) for kindly supplying the catalysts for this research work, Mitsubishi Chemicals for graciously supplying the Diaion catalyst, and GreenFuel Oil Co. Ltd. for supplying the UCO. One of the authors, Sumaiya Zainal Abidin, is grateful to Universiti Malaysia Pahang Al-Sultan Abdullah and the Malaysian Government for the Ph.D. scholarship.
Conflicts of Interest
The authors declare no conflict of interest.
Abbreviations
| FAME | Fatty acid methyl ester |
| FESEM | Field emission gun–scanning electron microscope |
| FFA | Free fatty acid |
| P-UCO | Pre-treated used cooking oil |
| RO | Reverse osmosis |
| UCO | Used cooking oil |
References
- Akram, F.; Haq, I.U.; Raja, S.I.; Mir, A.S.; Qureshi, S.S.; Aqeel, A.; Shah, F.I. Current trends in biodiesel production technologies and future progressions: A possible displacement of the petro-diesel. J. Clean. Prod. 2022, 370, 133479. [Google Scholar] [CrossRef]
- Gowrishankar, S.; Krishnasamy, A. Emulsification—A promising approach to improve performance and reduce exhaust emissions of a biodiesel fuelled light-duty diesel engine. Energy 2023, 263, 125782. [Google Scholar] [CrossRef]
- Julio, A.A.V.; Milessi, T.S.; Ocampo Batlle, E.A.; Silva Lora, E.E.; Yepes Maya, D.M.; Escobar Palacio, J.C. Techno-economic and environmental potential of Renewable Diesel as complementation for diesel and biodiesel in Brazil: A comprehensive review and perspectives. J. Clean. Prod. 2022, 371, 133431. [Google Scholar] [CrossRef]
- Lin, L.; Zhou, C.; Saritporn, V.; Shen, X.; Dong, M. Opportunities and challenges for biodiesel fuel. Appl. Energy 2011, 88, 1020–1031. [Google Scholar] [CrossRef]
- Atabani, A.E.; Silitonga, A.S.; Badruddin, I.A.; Mahlia, T.M.I.; Masjuki, H.H.; Mekhilef, S. A comprehensive review on biodiesel as an alternative energy resource and its characteristics. Renew. Sustain. Energy Rev. 2012, 16, 2070–2093. [Google Scholar] [CrossRef]
- Naylor, R.L.; Higgins, M.M. The rise in global biodiesel production: Implications for food security. Glob. Food Secur. 2018, 16, 75–84. [Google Scholar] [CrossRef]
- Singh, D.; Sharma, D.; Soni, S.L.; Inda, C.S.; Sharma, S.; Sharma, P.K.; Jhalani, A. A comprehensive review of biodiesel production from waste cooking oil and its use as fuel in compression ignition engines: 3rd generation cleaner feedstock. J. Clean. Prod. 2021, 307, 127299. [Google Scholar] [CrossRef]
- Pinzi, S.; Leiva, D.; López-García, I.; Redel-Macías, M.D.; Dorado, M.P. Latest trends in feedstocks for biodiesel production. Biofuel Bioprod. Biorefin. 2014, 8, 126–143. [Google Scholar] [CrossRef]
- Balat, M. Potential alternatives to edible oils for biodiesel production—A review of current work. Energy Convers. Manag. 2011, 52, 1479–1492. [Google Scholar] [CrossRef]
- Kasirajan, R. Biodiesel production by two step process from an energy source of Chrysophyllum albidum oil using homogeneous catalyst. S. Afr. J. Chem. 2021, 37, 161–166. [Google Scholar] [CrossRef]
- Thoai, D.N.; Tongurai, C.; Prasertsit, K.; Kumar, A. Review on biodiesel production by two-step catalytic conversion. Biocatal. Agric. Biotechnol. 2019, 18, 101023. [Google Scholar] [CrossRef]
- Grosmann, M.T.; Andrade, T.A.; Bitonto, L.D.; Pastore, C.; Corazza, M.L.; Tronci, S.; Errico, M. Hydrated metal salt pretreatment and alkali catalyzed reactive distillation: A two-step production of waste cooking oil biodiesel. Chem. Eng. Process. Process Intensif. 2022, 176, 108980. [Google Scholar] [CrossRef]
- López, D.E.; Goodwin, J.G.; Bruce, D.A. Transesterification of triacetin with methanol on Nafion® acid resins. J. Catal. 2007, 245, 381–391. [Google Scholar] [CrossRef]
- Hajra, B.; Sultana, N.; Pathak, A.K.; Guria, C. Response surface method and genetic algorithm assisted optimal synthesis of biodiesel from high free fatty acid sal oil (Shorea robusta) using ion-exchange resin at high temperature. Environ. Chem. Eng. 2015, 3, 2378–2392. [Google Scholar] [CrossRef]
- Orege, J.I.; Oderinde, O.; Kifle, G.A.; Ibikunle, A.A.; Raheem, S.A.; Ejeromedoghene, O.; Okeke, E.S.; Olukowi, O.M.; Orege, O.B.; Fagbohun, E.O.; et al. Recent advances in heterogeneous catalysis for green biodiesel production by transesterification. Energy Convers. Manag. 2022, 258, 115406. [Google Scholar] [CrossRef]
- Ferreira, R.S.B.; Bejarano-Alva, I.J.; Shimamoto, G.G.; Tubino, M.; Meirelles, A.J.A.; Batista, E.A.C. Optimizing the production of biodiesel from palm olein (Elaeis guineensis Jacq.) using a strong basic anionic resin as a heterogeneous catalyst. Ind. Crop. Prod. 2021, 174, 114121. [Google Scholar] [CrossRef]
- Akkarawatkhoosith, N.; Kaewchada, A.; Ngamcharussrivichai, C.; Jaree, A. Biodiesel Production via Interesterification of Palm Oil and Ethyl Acetate Using Ion-Exchange Resin in a Packed-Bed Reactor. Bioenergy Res. 2020, 13, 542–551. [Google Scholar] [CrossRef]
- Reinoso, D.M.; Tonetto, G.M. Bioadditives synthesis from selective glycerol esterification over acidic ion exchange resin as catalyst. J. Environ. Chem. Eng. 2018, 6, 3399–3407. [Google Scholar] [CrossRef]
- Osazuwa, O.U.; Abidin, S.Z. The Functionality of Ion Exchange Resins for Esterification, Transesterification and Hydrogenation Reactions. ChemistrySelect 2020, 5, 7658–7670. [Google Scholar] [CrossRef]
- Talukder, M.M.R.; Wu, J.C.; Lau, S.K.; Cui, L.C.; Shimin, G.; Lim, A. Comparison of Novozym 435 and Amberlyst 15 as heterogeneous catalyst for production of biodiesel from palm fatty acid distillate. Energy Fuels 2009, 23, 1–4. [Google Scholar] [CrossRef]
- Roslan, N.A.; Abdullah, N.; Abidin, S.Z. The synthesis of sulphonated hypercrosslinked exchange resin for free fatty acid esterification. Comptes Rendus Chim. 2019, 22, 761–770. [Google Scholar] [CrossRef]
- Özbay, N.; Oktar, N.; Tapan, N.A. Esterification of free fatty acids in waste cooking oils (WCO): Role of ion-exchange resins. Fuel 2008, 87, 1789–1798. [Google Scholar] [CrossRef]
- Shibasaki-Kitakawa, N.; Honda, H.; Kuribayashi, H.; Toda, T.; Fukumura, T.; Yonemoto, T. Biodiesel production using anionic ion-exchange resin as heterogeneous catalyst. Bioresour. Technol. 2007, 98, 416–421. [Google Scholar] [CrossRef]
- Shibasaki-Kitakawa, N.; Tsuji, T.; Kubo, M.; Yonemoto, T. Biodiesel production from waste cooking oil using anion-exchange resin as both catalyst and adsorbent. Bioenergy Res. 2011, 4, 287–293. [Google Scholar] [CrossRef]
- Haigh, K.F.; Abidin, S.Z.; Saha, B.; Vladisavljević, G. Pretreatment of used cooking oil for the preparation of biodiesel using heterogeneous catalysis. Prog. Colloid Polym. Sci. 2012, 139, 19–23. [Google Scholar]
- Haigh, K.F.; Abidin, S.Z.; Vladisavljević, G.; Saha, B. Comparison of Novozyme 435 and Purolite D5081 as heterogeneous catalysts for the pretreatment of used cooking oil for biodiesel production. Fuel 2013, 111, 186–193. [Google Scholar] [CrossRef]
- Abidin, S.Z.; Haigh, K.F.; Saha, B. Esterification of free fatty acids in used cooking oil using ion-exchange resins as catalysts: An efficient pretreatment method for biodiesel feedstock. Ind. Eng. Chem. Res. 2012, 51, 14653–14664. [Google Scholar] [CrossRef]
- Hiromori, K.; Shibasaki-Kitakawa, N.; Nakashima, K.; Yonemoto, T. Novel simple process for tocopherols selective recovery from vegetable oils by adsorption and desorption with an anion-exchange resin. Food Chem. 2016, 194, 1–5. [Google Scholar] [CrossRef]
- Bringué, R.; Ramírez, E.; Iborra, M.; Tejero, J.; Cunill, F. Esterification of furfuryl alcohol to butyl levulinate over ion-exchange resins. Fuel 2019, 257, 116010. [Google Scholar] [CrossRef]
- Silva, A.L.; Farias, A.F.F.; Meneghetti, S.M.P.; Antonio dos Santos Filho, E.; Figueiredo de Melo Cost, A.C. Optimization of biodiesel production via transesterification of soybean oil using α-MoO3 catalyst obtained by the combustion method. Arab. J. Chem. 2022, 15, 104012. [Google Scholar] [CrossRef]
- Borah, M.J.; Devi, A.; Borah, R.; Deka, D. Synthesis and application of Co doped ZnO as heterogeneous nanocatalyst for biodiesel production from non-edible oil. Renew. Energy 2019, 133, 512–519. [Google Scholar] [CrossRef]
- Marinković, M.; Waisi, H.; Blagojević, S.; Zarubica, A.; Ljupković, R.; Krstić, A.; Janković, B. The effect of process parameters and catalyst support preparation methods on the catalytic efficiency in transesterification of sunflower oil over heterogeneous KI/Al2O3-based catalysts for biodiesel production. Fuel 2022, 315, 123246. [Google Scholar] [CrossRef]
- da Costa, J.M.; de Andrade Lima, L.R.P. Transesterification of cotton oil with ethanol for biodiesel using a KF/bentonite solid catalyst. Fuel 2021, 293, 120446. [Google Scholar] [CrossRef]
- Murguía-Ortiz, D.; Cordova, I.; Manriquez, M.E.; Ortiz-Islas, E.; Cabrera-Sierra, R.; Contreras, J.L.; Alcántar-Vázquez, B.; Trejo-Rubio, M.; Vázquez-Rodríguez, J.T.; Castro, L.V. Na-CaO/MgO dolomites used as heterogeneous catalysts in canola oil transesterification for biodiesel production. Mater. Lett. 2021, 291, 129587. [Google Scholar] [CrossRef]
- Abidin, S.Z.; Patel, D.; Saha, B. Quantitative analysis of fatty acids composition in the used cooking oil (UCO) by gas chromatography−mass spectrometry (GC–MS). Can. J. Chem. Eng. 2013, 91, 1896–1903. [Google Scholar] [CrossRef]
- Haigh, K.F.; Vladisavljević, G.T.; Reynolds, J.C.; Nagy, Z.; Saha, B. Kinetics of the pre-treatment of used cooking oil using Novozyme 435 for biodiesel production. Chem. Eng. Res. Des. 2014, 92, 713–719. [Google Scholar] [CrossRef]
Disclaimer/Publisher’s Note: The statements, opinions and data contained in all publications are solely those of the individual author(s) and contributor(s) and not of MDPI and/or the editor(s). MDPI and/or the editor(s) disclaim responsibility for any injury to people or property resulting from any ideas, methods, instructions or products referred to in the content. |
© 2023 by the authors. Licensee MDPI, Basel, Switzerland. This article is an open access article distributed under the terms and conditions of the Creative Commons Attribution (CC BY) license (https://creativecommons.org/licenses/by/4.0/).






