Abstract
The deposition of nanostructured carbon particles on the surface of a catalyst (carburization) is routinely considered an inalienable and undesirable secondary process in Fischer–Tropsch synthesis. However, very little is known about the actual role of the nanocarbon particles and how they influence catalysis. This paper reports research on the influence of carbon deposition on the performance of a cobalt-based Fischer–Tropsch-synthesized catalyst in an industrial-scale fixed-bed reactor (length—6000 mm, inner diameter—16.5 mm). The comparison of the structure and catalytic performance of a pelletized cobalt catalyst with the same catalyst, which was preliminary carburized, is presented. Pellet pore structure, catalyst surface, cobalt cluster morphology and the main catalytic properties (CO conversion, C5+ hydrocarbon productivity and selectivity to C5+ hydrocarbons and CH4 formation) were investigated. It is shown that the primary pre-carburization effect is a result of the physical blockage of the catalyst pore structure not followed by drastic changes in the cobalt cluster’s structure.
1. Introduction
Fischer–Tropsch synthesis (FTS) is renowned as the most important part of the technology for synthetic liquid hydrocarbon production, which is often referred to as «Gas–to–Liquid» or GTL. Synthetic liquid hydrocarbons can be represented by heavy paraffins or «waxes». Waxes are considered an intermediate product because they require additional hydrocracking and/or hydroisomerization in order to produce fuel-grade fractions such as naphta, diesel, gasoline, etc. Some configurations of the FTS process exist, which are capable of producing a blend of fuel-grade fractions (light syncrude) directly at the exit of a Fischer–Tropsch reactor. In fact, GTL is not the only technology for synthetic liquid hydrocarbon production since other kinds of carbon-containing feedstock can be used such as coal, natural gas or biomass. A more general term for this group of technology is XTL or «X–to–Liquid». Cobalt-based catalysts are usually considered a primary choice for FTS aimed at selective linear hydrocarbon production. The high stability of cobalt-based catalysts to FTS water oxidation, high selectivity to higher hydrocarbons and high activity at low synthesis temperatures are objects of common knowledge [1,2].
Numerous techniques, such as variations of reactor type, FTS conditions or catalyst systems are reported in the literature to achieve the highest possible productivity to target hydrocarbons of a desired group and fractional composition. A proper selection of catalyst type and, which is even more important, a proper selection of support for the active metal is essential for achieving high-performance fixed catalyst beds. Three common oxides based on silica, alumina or titania are widely used as supports due to their long history of application and flexibility in property control [1,3,4]. Nevertheless, metal–support interactions, a low thermal conductivity coefficient together with limitations of diffusion through pore structure move researchers’ interest to other types of carbon-based supports such as silicon carbide [5,6] or active carbon, carbon fibers, carbon nanotubes, graphite-based systems, etc. [4,7,8]. The outstanding bulk thermal conductivity as well as the anisotropic and oriented pore structure of these carbon-containing materials are very attractive. However, carbon’s surface chemical properties make it difficult to ensure effective cobalt cluster immobilization on its surface, resulting in noticeable cobalt cluster agglomeration or carbon support destruction [9,10]. To avoid these drawbacks, several approaches have been proposed in the literature. The primary idea is modification of the carbon support surface with a proper agent such as an alumina shell on carbon fiber [11], surface groups [4,8] or a carbon- containing pellet composite [12]. These catalytic systems combine all advantages of the initial components and provide extra synergy, resulting in a high C5+ hydrocarbon productivity of the catalytic bed.
Nevertheless, industrial-scale cobalt Fischer–Tropsch synthesis catalysts face other operational challenges, in particular deactivation. Several main deactivation routes over industrial FTS catalysts are reviewed in the scientific literature, such as re-oxidation [3,13,14,15,16], support phase interaction [3,15,16], carburization or carbon deposition [17,18,19], cobalt carbide formation [20,21,22] and cobalt cluster agglomeration [23,24,25,26]. Carbon deposition is considered the primary reason for cobalt catalyst deactivation and can be separated into different types, such as blockage of catalyst pore structure with higher hydrocarbons and deposition of amorphous or crystalline carbon on cobalt clusters (Boudouard reaction and coke formation, respectively) [17,19,27]. This results in pore structure diffusion limitations, CO conversion and a decrease in C5+ hydrocarbon productivity, so the synthesis temperature should be risen, which can be critical for stable process operation.
Although the carburization of a catalyst surface is routinely considered undesirable for FTS, knowledge of the actual role of nanocarbon particles and how they influence catalysis is very limited. This work presents a comparative experimental study of FTS in the presence of a pelletized industrial catalyst in both pristine and pre-carburized forms. The investigated carburization procedure is a two-stage process. At the first step, it is initiated by a reverse water gas shift reaction followed by CO formation from CO2. The second step is CO hydro-polymerization on cobalt clusters and, under experimental reaction conditions, it leads to heavy hydrocarbon (linear or polyaromatic) and/or polymeric carbon surface deposition [28,29,30,31,32]. These carbon structures seem to be similar to those obtained during longstanding FTS runs (such as heavy hydrocarbons and different surface carbon structures, i.e., carbon black and amorphous carbon).
In this paper, we present a comparison study of an FTS cobalt catalyst with the same catalyst that was preliminary pre-carburized in an industrial-scale fixed-bed reactor. The pre-carburized catalyst is a model system for demonstrating the influence of carbon deposition structures on catalyst bed performance. The influence of the carburization process on both the structure and surface as well as catalytic properties is investigated by means of several physicochemical methods and techniques.
2. Results
2.1. Catalytic Testing
The initial catalyst was in the form of cylindrical pellets of a porous structured composite material consisting of components with different functional purposes: exfoliated graphite (EG) was used for macrostructural pellet frame formation and to provide heat conductivity (particles of 100–200 μm), alumina and zeolite were used as a binder (particles of 10–20 μm) and cobalt clusters were also used (10–20 nm). The catalyst’s composition and the preparation technique are shown in more detail in Section 3.1. The representative catalyst pellet structure is shown in Figure 1.
Figure 1.
Representative catalyst pellet shear surface micrograph.
Figure 1 shows the representative pellet structure formed by prolonged thin and curved EG particles separated by a homogenous binder mass consisting of γ-Al2O3 (after initial boehmite calcination) and zeolite components. However, the binder filling is not uniform and some hollow spaces between the binder and graphite particles or within them occur. This results in the formation of a macropore transport system within the catalyst pellet structure.
Both catalysts were active in the Fischer–Tropsch synthesis. The catalyst reduced in hydrogen flow is designated as «Pristine», while the catalyst reduced in hydrogen flow containing 5 vol. % of carbon dioxide is designated as «Carburized». Due to the high aspect ratio (reactor length/diameter >> 10) of the catalyst bed, the reaction temperature varied along the axis of the reactor, showing a quite distinct «hot spot». The hot spot temperature is referred to as the «FTS temperature» in the text beneath and in the legends of the figures. The features of the FTS catalyst test run at feedstock (synthesis gas) gas hour space velocity (GHSV) of 300 h−1 are shown in Figure 2 along with the main catalytic parameters.
Figure 2.
FTS main catalytic parameters of investigated catalysts as a function of time on stream: (a) CO conversion; (b) C5+ productivity; (c) selectivity to CH4 and C5+ hydrocarbon formation. The FTS reaction temperature is shown against all the dependencies for a better understanding of how a typical FTS run proceeds.
The main FTS catalytic parameters for the Pristine and Carburized catalysts as a function of time on stream are shown on Figure 2. It should be noted that FTS test runs were performed in 160–250 °C temperature range, and the Pristine catalyst catalytic parameters are shown for 250 h on stream, and the Carburized catalyst for 400 h. The increase in FTS temperature led to an increase in CO conversion, C5+ productivity and CH4 selectivity in the presence of both catalysts. The selectivity of C5+ hydrocarbons, in contrast, decreased with FTS temperature increase. It should be noted that a good agreement between the selectivity trends of CH4 and C5+ was observed for both catalysts. The main differences arose in the CO conversion and C5+ productivity trends. In the presence of the Pristine catalyst, CO conversion increased from 3–4% at 180 °C up to 52–56% at 230 °C; C5+ productivity increased from 1–2 g C5+/(kg catalyst × h) at 180 °C up to 21–23 g C5+/(kg catalyst × h) at 230 °C. The pattern for the Carburized catalyst was a bit different in the same FTS temperature range (180–230 °C): CO conversion increased from 1 to 13% and C5+ productivity increased from 2 to 5 g C5+/(kg catalyst × h). Based on the catalytic data, we suggest that the carburization phenomenon affected the accessibility of active sites. This is supported by XRD results (see Section 2.3), which showed no alteration in the phase composition of the cobalt cluster or any other structure responsible for the selectivity of the FTS process.
Figure 3 demonstrates the dependencies of C5+ and CH4 selectivity on CO conversion and synthesis temperature.
Figure 3.
Selectivity of investigated catalysts to CH4 and C5+ hydrocarbon formation as a function of (a) CO conversion; (b) synthesis temperature.
For both the Pristine and Carburized catalysts, the increase in CO conversion and the synthesis temperature followed the same trends: the selectivity of C5+ hydrocarbons decreased from nearly 100% (which is a usual value for the initial stage of the FTS process) down to 60%, while CH4 selectivity increased up to 20–30%. It should be noted that the Pristine and Carburized catalysts present very similar selectivity to methane and C5+ (difference below 5%, which is habitual for industrial-scale operations). This fact allows us to postulate that carburization results in a physical blocking of cobalt metal’s active sites. But this mechanism may be different, such as pore structure blockage, cobalt metal active site isolation or a combination of these assumptions.
2.2. Cobalt Cluster Investigation
TEM micrographs of cobalt cluster on the surface of the Carburized catalyst are shown in Figure 4 to prove the above-mentioned suggestion and for better understanding the catalyst behavior.
Figure 4.
Carburized catalyst TEM micrograph: (a) cobalt cluster; (b) general view.
It is shown in Figure 4a,b that cobalt clusters (black particles and spots) are immobilized on amorphous alumina (rice-like contoured grey structures) or zeolite particles (thin lattice structures, Figure 4b). Another important observation is the amorphous-like carbon ripples at the edge of the investigated catalyst particle that uniformly cover the observed surface.
Figure 5 demonstrates another type of surface carbon deposition structure: a turbostratic graphite-like structure. Prolonged structures of deformed carbon layers with d002 = 3.35 Å cover the surface of both the black cobalt cluster and the other catalyst. Fourier filtration shown in Figure 5c reveals its orientation only in one direction. The element composition of the investigated structure is shown in Table 1.
Figure 5.
Carburized catalyst TEM micrograph, turbostratic graphite-like structures: (a) general view; (b) Fourier-filtered micrograph; (c) Fourier filtration of turbostratic graphite-like structures.
Table 1.
EDS element composition of micrograph area in Figure 5.
The element composition obtained via EDS shows that the main structures can be assumed to be alumina, cobalt clusters and carbon-containing phases (the exact amount of turbostratic graphite-like particles cannot be obtained due to unknown amounts of EG as the main catalyst component that may have been in the surrounding area during EDS analysis).
2.3. XRD Phase Composition
As has been shown above, the carburization procedure affects the phase composition, so XRD for the Pristine and Carburized catalysts is essential for this investigation. Moreover, initial catalyst pellets before reduction have also been added to this comparative analysis. The specific conditions of the carburization procedure encourage the investigation of cobalt carbide phases. The XRD results for the main catalyst phases and the main reflexes of the cobalt carbides are shown in Figure 6.
Figure 6.
Catalysts XRD patterns: (a) main phases; (b) detection of cobalt carbide phases.
The XRD patterns demonstrate the phases of graphite and zeolite. For the initial catalyst before reduction, a Co3O4 phase has been detected while both the Carburized and Pristine catalysts show signs of a partial (for Carburized) or almost complete (for Pristine) reduction of this phase to metal cobalt with reflexes of cobalt metal clearly visible in the diffraction pattern of the Pristine catalyst (Figure 6a). The approximate cobalt cluster sizes of the investigated catalysts were about 10 nm according to coherent scattering region data. Though the cobalt carbide phases are clearly absent (Figure 6b), the carburization procedure results in 43° peak formation. The literature refers to turbostratic graphite (10l) in materials like raw carbon black or other low-structured carbon materials [33].
2.4. Pore Structure Investigation
Physical blocking followed by an observed FTS catalyst behavior and an amorphous carbon covering would have a significant influence on a catalyst’s pore structure. To make the carburization effect clear and distinguish it from FTS, the investigated catalysts were cyclic-extracted with acetone to remove linear hydrocarbons (as a main FTS product) from the pellet’s porous system. N2 sorption isotherms for the initial catalyst (before reduction and FTS) and for the Carburized catalyst (after FTS) for different parts (layers) of the catalyst bed (upper, middle and bottom) are shown in Figure 7. The catalyst bed layers are uniformly distributed along 12 thermocouples (4 thermocouple probes per layer), while the distribution of the catalyst layers is schematically shown in Section 3 from the top to the bottom of the reactor.
Figure 7.
N2 sorption isotherms for initial catalyst and Carburized one (after FTS) for different catalyst bed layers.
It is shown in Figure 7 that in comparison to the initial catalyst the Carburized one undergoes a significant drop in pore volume as a result of the pre-carburization procedure and the FTS catalytic run. Some pore structure characteristics are shown in Table 2.
Table 2.
N2 sorption pore structure catalyst properties.
The pore volume, specific surface area and average pore radius noticeably differ for the initial catalyst and catalysts after FTS: from 0.18 to 0.12–0.14 mL/g, from 200 to 102–128 m2/g and from 1.76 to 2.25–2.44 nm, respectively. The observed changes in the pore structure characteristics show unambiguous pellet structure blockage. The average shift in the pore radius to higher values for the Carburized catalyst also confirms this suggestion, and could be due to a fine catalyst structure covering and greater increases in the pore fraction resulting in effects on the entire pellet structure.
However, one can observe the effect of the position on the catalyst bed layer, which can be explained as a result of carbon deposition along the reactor. Thus, the pore volumes for catalyst pellets after FTS are very similar; however, specific areas change noticeably along the stream of the synthesis gas, i.e., from the top of the bed to the bottom, showing the lowest value in the middle and the highest in the bottom—from 102 to 128 m2/g, respectively. Another trend can be observed for the average pore radius, as the lowest value is found in the bottom layer and the highest in the upper, from 2.25 to 2.44 nm, respectively. This unobvious trend is suggested to be the result of uneven carbon deposition along the catalyst bed length, with a prominent maximum in the middle layer presumably due to the occurrence of secondary chemical reactions.
So, the pre-carburization procedure results in both cobalt clusters and catalyst pore structure blockage and leads to the appearance of diffusion limitations similar to the long-term FTS catalyst.
2.5. Catalyst Pellet Surface Investigation
It is natural to expect that the carburization procedure would also affect the surface of the catalyst. Representative shear surface micrographs of the catalyst pellet (from the upper part of the catalyst bed) obtained via SEM are shown in Figure 8.

Figure 8.
Catalyst pellet shear surface micrographs (upper catalyst bed layer): (a) general view; (b) exfoliated graphite surface, view of globular carbon deposit; (c) exfoliated graphite surface, view of platelet-like carbon deposit.
Almost the entire surface is covered with white carbon depositions (Figure 8a), which are in visual contrast with the exfoliated surface of graphite, which is a good conductor. Two main types of deposition are shown in Figure 8: separated particles with 100–1000 nm size (Figure 8b) or widespread light grey cover on the surface of black EG (Figure 8c).
Another method of detecting carbon deposition on the surface of exfoliated graphite is Raman spectroscopy. Variations in laser beam power and exposition time allow us to investigate the nature of the surface and undersurface structures as a result of the gradual removal of carbonaceous deposits through prolonged exposition to the laser beam as shown in Figure 9 (these experimental results are presented for the Carburized catalyst from the middle layer of the catalyst bed). It is common knowledge that longer exposure to laser irradiation is capable of burning carbon deposits away from any mineral substrate.
Figure 9.
Raman spectra for different laser beam exposition times.
A comparison of the spectra recorded for non-exposed catalysts with the spectra for the samples that underwent laser exposition reveals that exposition to laser irradiation leads to the permanent removal of alien carbon deposited at the surface of exfoliated graphite. This conclusion is supported by the steady disappearance of luminescence with the increase in exposure time. After 150 s exposition, the luminescence was almost absent. As a result, the prominent peaks of well-structured graphite can be observed in the spectra. The luminescence is likely caused by the presence of heavy linear and/or condensed aromatic hydrocarbons or amorphous carbon surface structures.
2.6. Catalyst Pellet Thermal Analysis
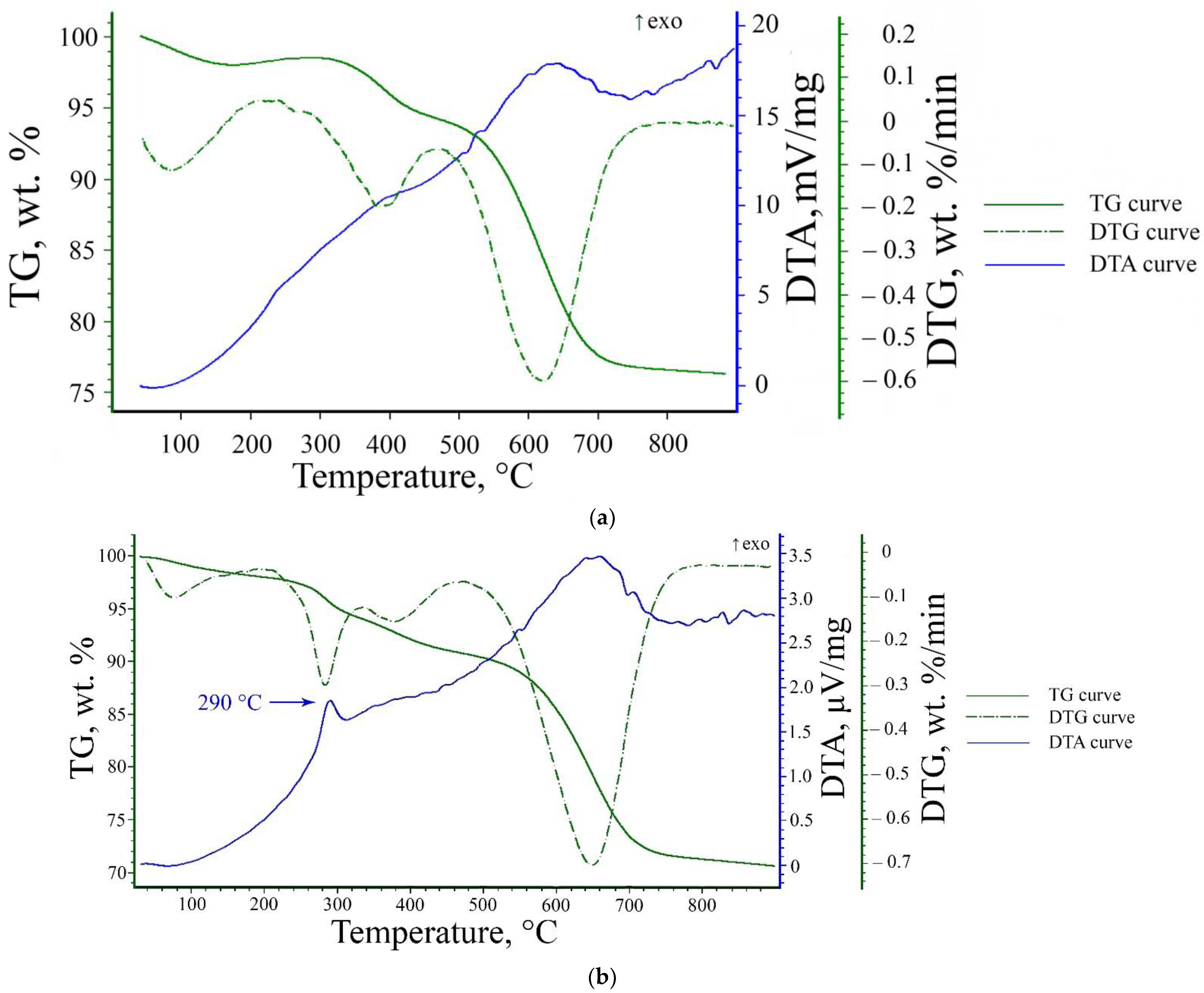
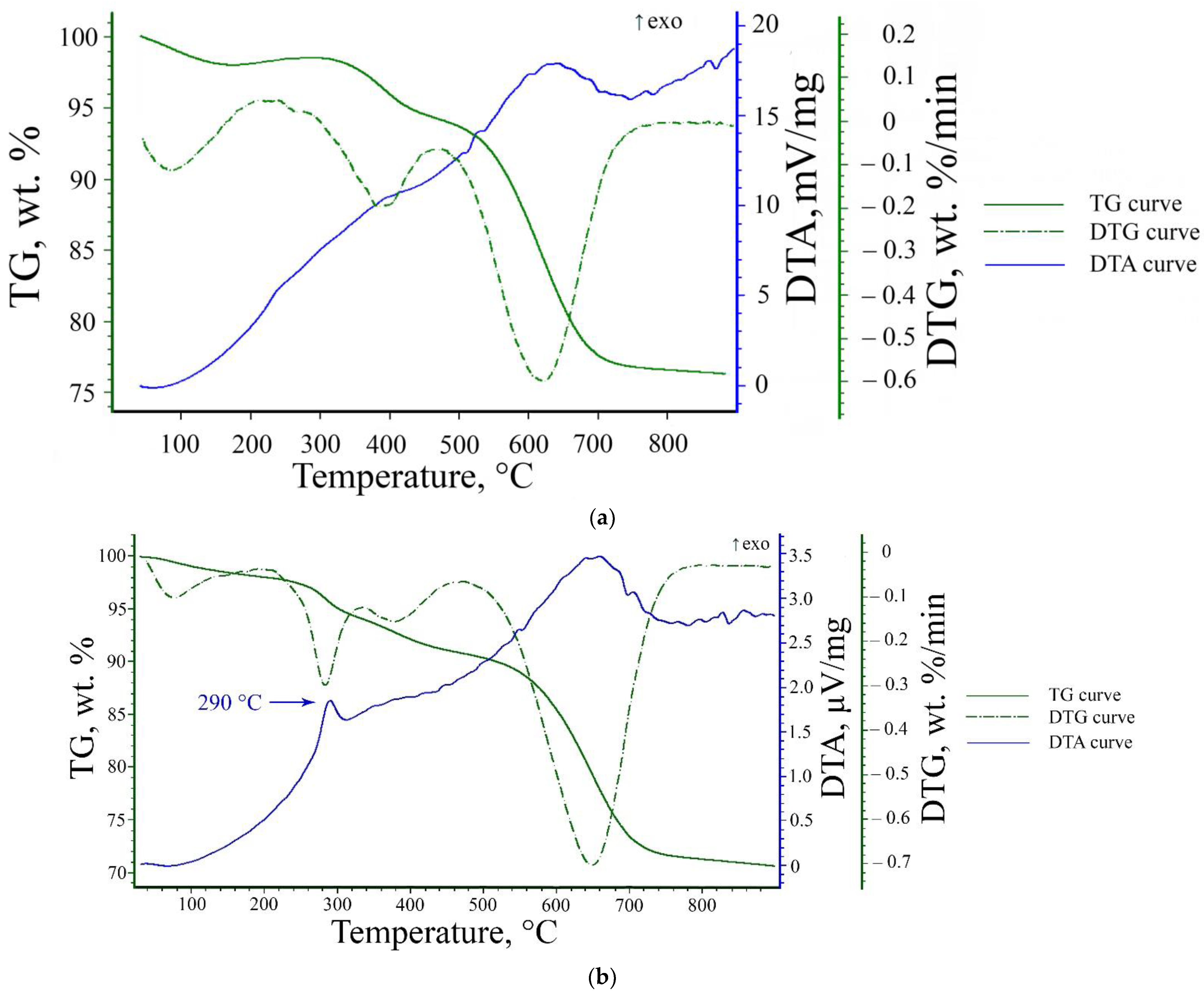
For further investigation of the nature of the carbon deposition process, a thermal analysis of the catalyst pellet from the middle part of the catalyst bed (characterized by the lowest specific area) was carried out. The results of the thermal analysis under a synthetic air atmosphere are shown in Figure 10.
Figure 10.
Thermal analysis data for Carburized catalyst pellets from the middle layer of catalyst bed: (a) Pristine; (b) Carburized.
The thermogravimetric (TG) curves for the Pristine (Figure 10a) and Carburized catalysts (Figure 10b) contain effects associated with stages of weight loss over the whole temperature range. The stepless weight loss from the start of the analysis up to 200 °C can be explained by gradual dehydration. For the Carburized catalyst, the stepwise weight drop in the 240–290 °C area is followed by a sharp exothermic differential thermal analysis (DTA) maximum at 290 °C and can be associated with the oxidation of heavy condensed organics (aromatics) or polymeric carbon structures [31]. In the case of the Pristine catalyst, a similar oxidation effect is stretched over the time/temperature axis, which may be associated with the oxidation of FTS-produced heavy hydrocarbons residing inside micropores. The subsequent sharp weight drop initiated at 600 °C on the TG curve refers to the oxidation of graphite for both catalysts. So, the broad DTA exothermic peak at 600–800 °C with a maximum at ~650 °C was related to the gradual oxidation of individual graphite flakes [12].
These experimental data can be considered an indirect representation of the difference in FTS activity. While the TG and DTA curves of the Pristine catalyst (Figure 10a) reveal a noticeable oxidation of heavy hydrocarbons presumably residing in micropores, the Carburized catalyst (Figure 10b) shows just a sharp peak at 290 °C corresponding to the oxidation of surface carbon structures. It is noticeable in this relation that the Carburized catalyst showed lower activity in longer FTS test run compared with the Pristine catalyst (Figure 2).
3. Materials and Methods
3.1. Catalyst Preparation
The initial catalyst was prepared according to the procedures described in [34]. The support was pellets of porous structured composite material consisting of HBeta zeolite (Zeolyst), binder (boehmite, SASOL) and exfoliated graphite (UNICHIMTEK) [12]. The support composition (presented for initial dry components) was zeolite—30 wt %, boehmite—50 wt %, exfoliated graphite—20 wt %. Support was prepared by mixing powders with liquid phase that was a mixture of 9.4% HNO3, triethyleneglycol (TEG) and C2H5OH. After achieving homogeneity, the paste was molded using a piston extruder that squeezed it out through a die with 1.5 mm hole. The extrudates were dried, calcined and ground into the intermediate cylindrical pellets (1.5 × 1.0 mm), then milled to 0.5 mm particles and pressurized to tablet pellets with 30 bar. The final pellet geometry was diameter—5 mm, height—3 mm. The general view of catalyst pellets is shown in Figure 11.
Figure 11.
Catalyst pellets.
Cobalt was used as the active component for FTS. Catalyst was prepared via the two-staged impregnation of the support with an aqueous solution of 6-aqueous cobalt nitrate (Co(NO3)2 × 6H2O), followed by 1 h calcination after each impregnation step in an air stream at 250 °C. The content of cobalt in catalysts was maintained at 20 wt %.
3.2. Scanning Electron Microscopy
Electron micrographs of internal structure of catalyst pellet shear surfaces were obtained with a TESCAN VEGA 3 scanning electron microscope. The accelerating voltage was 5 kV.
3.3. Transmission Electron Microscopy
The cobalt crystallites’ size and morphology in the catalysts were investigated using a JEM-2010 transmission electron microscope. The accelerating voltage was 160 kV.
3.4. Low-Temperature Nitrogen Sorption Measurements
Specific surface area and porous structure data for the catalysts were obtained by low-temperature nitrogen sorption with a Quantachrome Nova Touch LX-2. The catalyst after FTS was preliminary washed from C5+ hydrocarbons via multiple acetone extraction until a negligible sample mass change was achieved after several extraction–drying cycles.
3.5. Thermal Analysis
Thermal analysis data for the catalysts after FTS were obtained using a NETZSCH STA 449 F1 Jupiter instrument. The range of temperatures was 50–900 °C, and the heating rate was 10 °C/min. The medium was synthetic air (O2, 20 vol %; N2, 80 vol %) supplied at 70 mL/min.
3.6. Raman Spectroscopy
The catalysts’ Raman scattering spectra were obtained with a Renishaw inVia Raman Microscope (UK) spectrometer with 532 nm laser excitation. The power was kept below 1 mW in order to prevent thermal damage to the sample. Back-scattering configuration with 50× objective was used to collect Raman signal. Detection was achieved with an air-cooled CCD detector and a 1200 grooves/mm grating. A laser beam of 17 mW was used for research on the annealing of luminescent organic layers.
3.7. X-ray Diffraction Phase Analysis
The catalysts’ phase composition was investigated on an Empyrean Panalytical diffractometer, using Cu Kα radiation. The 2θ measurement range was 10–90°. Information on the cobalt crystallites’ average size was obtained by calculating the coherent scattering region for the corresponding phase peaks.
3.8. Catalyst Activation and FTS Testing Technique
The FTS reactor was part of the pilot plant that contains all main stages of GTL technology and uses natural gas as a feedstock [35]. The catalysts were tested in the fixed-bed flow reactor with 6000 mm tube length, and inner diameter was 16.5 mm. The catalyst bed loading was 1215 cm3, which is equivalent to 982 g. Pristine catalyst was reduced in a hydrogen flow at 350 °C with a linear flow rate of 1 m/s, volumetric flow rate—12.83 L/min. For Carburized catalyst preparation, the carburization procedure was similar to standard reduction enriched with 5 vol % of carbon dioxide. After the reduction, the reactor was cooled down to 150 °C and hydrogen was replaced with synthesis gas. Then, catalysts were activated by raising the synthesis temperature from 160 to 210 °C at a rate of 10 °C/day, from 210 to 220 °C at 5 °C/day, and after that at 2–3 °C/day. Catalyst bed activation and FTS were carried out with synthesis gas GHSV 300 h−1. The general scheme of the FTS flow reactor is shown in Figure 12a, and the scheme of the catalyst bed layers (shown with different shading) is shown in Figure 12b.
Figure 12.
FTS flow reactor: (a) general reactor scheme (1—water jacket, 2—catalytic tube, 3—gas inlet, 4—gas-liquid outlet, 5—water inlet, 6—water outlet, 7—hermocouple set, 8—water inlet thermocouple, 9—water outlet thermocouple); (b) catalyst bed layers scheme.
The synthesis gas entered the upper part of reactor 2 through pipe 3 and passed through the catalyst bed, which was fixed from above and below by an inert filling (inert material layers and the catalyst bed are not shown in the figure). The spent synthesis gas, along with gaseous and liquid synthesis products, was removed through reactor outlet pipe 4. The catalyst bed temperature was measured using thermocouple set 7 (12 probes), allowing us to monitor the temperature profile along reactor length. The synthesis temperature range was maintained at the required level by pressurized-water-forced circulation in the reactor jacket. The water was heated before entering jacket 1 of reactor 2. At the inlet and outlet of the reactor jacket, thermocouples 8 and 9 were mounted in corresponding nozzles 5 and 6 to control water temperature in its lower and upper parts. Efficient removal of the reaction heat excess was maintained by the heat capacity, along with the phase transition of the water circulating in the reactor jacket. The water was cooled to the required temperature in a heat exchanger and re-supplied to the reactor under pressure.
Due to the application of a fixed catalytic bed in a long-flow reactor with a high aspect ratio length per diameter, the hot spot temperature was chosen as the «synthesis temperature» value.
3.9. Synthesis Products Analysis
The composition of the gaseous and liquid products was determined chromatographically. The initial mixture and gaseous products (CH4, CO2, C2–C4 hydrocarbons) were analyzed by gas adsorption chromatography. The detector was a katharometer. The carrier gas was helium, supplied at a flow rate of 20 mL/min. A 3 m × 3 mm column with CaA molecular sieves was used to separate CO and CH4, while an identical column with HayeSep filling was used to separate CO2 and C2–C4 hydrocarbons. Heating was realized in a temperature-programmed mode (60–200 °C at a rate of 10 °C/min).
4. Conclusions
The results for the influence of carbon deposition on pelletized cobalt-based catalysts in industrial-scale FTS runs are shown in this paper. A model pre-carburized catalyst was prepared in situ for a comparative run by combining reverse water gas shift and carbon monoxide hydro-polymerization reactions. Pre-carburization results in carbon depositions similar to those obtained during longstanding FTS runs. The comparison study of pristine and carburized catalyst bed testing reveals several conclusions:
- -
- Carbon deposition influences the catalyst pore structure in different fixed-bed layers and significantly decreases catalyst pore volume, so the diffusion limitations are tightened;
- -
- Carbon deposition results in «physical blockage», so it influences the accessibility of the cobalt cluster to the FTS reaction without affecting its chemistry. So, the pristine and carburized catalyst beds have almost identical selectivity to C5+ hydrocarbons and CH4 formation, while the only differences appear in CO conversion;
- -
- The carbon deposition phase observed in this research is composed of a combination of several carbonaceous phases, namely the formation of amorphous carbon or «polymeric carbon» surface layers during the carburization process; the formation of heavy organics (aromatics); and the formation of C5+ hydrocarbons both in the carburization procedure and in conventional FTS. The latter phase is presumably dissolved in the heavy aromatics. The carbon deposit can be destroyed by laser beam irradiation and detected through thermal analysis data. So, the re-oxidation technique for catalyst regeneration should be suitable for this type of catalyst bed deactivation [36].
Author Contributions
Conceptualization, V.M., L.S. and E.M.; methodology, K.G.; validation, V.M., L.S. and E.M.; formal analysis, K.G., E.A. and A.G.; investigation, E.A. and A.G.; writing—original draft preparation, K.G.; writing—review and editing, V.M.; visualization, K.G.; supervision, V.M.; project administration, L.S. and E.M. All authors have read and agreed to the published version of the manuscript.
Funding
This research received no external funding.
Data Availability Statement
The data presented in this study are available on request from the corresponding author. The data are not publicly available due to institutional restrictions.
Acknowledgments
This work was performed on equipment of the Shared Resource Center for Studies of Nanostructured, Carbon, and Superhard Materials. The authors are grateful to the RF Ministry of Science and Higher Education for its support as part of a State Task for the Technological Institute of Superhard and New Carbon Materials and to OOO INFRA for its support and assistance.
Conflicts of Interest
The authors declare no conflict of interest.
References
- Steynberg, A.; Dry, M. Fischer–Tropsch Technology: Studies in Surface Science and Catalysis, 1st ed.; Steynberg, A., Dry, M., Eds.; Elsevier Science: Amsterdam, The Netherlands, 2004; Volume 152, p. 722. [Google Scholar]
- Maitlis, P.M.; de Klerk, A. Greener Fischer-Tropsch Processes for Fuels and Feedstocks, 1st ed.; Maitlis, P.M., de Klerk, A., Eds.; Wiley-VCH Verlag GmbH & Co. KGaA: Weinheim, Germany, 2013; p. 390. [Google Scholar]
- Iglesia, E. Design, synthesis, and use of cobalt-based Fischer-Tropsch synthesis catalysts. Appl. Catal. A Gen. 1997, 161, 59–78. [Google Scholar] [CrossRef]
- Gholami, Z.; Tišler, Z.; Rubáš, V. Recent advances in Fischer-Tropsch synthesis using cobalt-based catalysts: A review on supports, promoters, and reactors. Catal. Rev. 2021, 63, 512–595. [Google Scholar] [CrossRef]
- De la Osa, A.R.; Romero, A.; Dorado, F.; Valverde, J.L.; Sánchez, P. Influence of Cobalt Precursor on Efficient Production of Commercial Fuels over FTS Co/SiC Catalyst. Catalysts 2016, 6, 98. [Google Scholar] [CrossRef]
- Lee, J.S.; Jung, J.S.; Moon, D.J. The Effect of Cobalt Loading on Fischer Tropsch Synthesis Over Silicon Carbide Supported Catalyst. J. Nanosci. Nanotechnol. 2015, 15, 396–399. [Google Scholar] [CrossRef]
- Chen, Y.; Wei, J.; Duyar, M.S.; Ordomsky, V.V.; Khodakov, A.Y.; Liu, J. Carbon-based catalysts for Fischer–Tropsch synthesis. Chem. Soc. Rev. 2021, 50, 2337–2366. [Google Scholar] [CrossRef]
- Valero-Romero, M.J.; Rodríguez-Cano, M.; Palomo, J.; Rodríguez-Mirasol, J.; Cordero, T. Carbon-Based Materials as Catalyst Supports for Fischer–Tropsch Synthesis: A Review. Front. Mater. 2021, 7, 617432. [Google Scholar] [CrossRef]
- Kazakova, M.A.; Andreev, A.S.; Selyutin, A.G.; Ishchenko, A.V.; Shuvaev, A.V.; Kuznetsov, V.L.; Lapina, O.B.; de Lacaillerie, J.-B.D. Co metal nanoparticles deposition inside or outside multi-walled carbon nanotubes via facile support pretreatment. Appl. Surf. Sci. 2018, 456, 657–665. [Google Scholar] [CrossRef]
- Larrude, D.G.; Ayala, P.; da Costa, M.E.H.M.; Freire, F.L. Multiwalled Carbon Nanotubes Decorated with Cobalt Oxide Nanoparticles. J. Nanomater. 2012, 2012, 695453. [Google Scholar] [CrossRef]
- Solomonik, I.G.; Gryaznov, K.O.; Pushina, E.A.; Prikhodko, D.D.; Mordkovich, V.Z. Creation and Study of a Model Cobalt Catalyst for High-Performance Fischer–Tropsch Synthesis Using Nonporous Carbon Fiber as a Support. Kinet. Catal. 2022, 63, 279–291. [Google Scholar] [CrossRef]
- Asalieva, E.; Sineva, L.; Sinichkina, S.; Solomonik, I.; Gryaznov, K.; Pushina, E.; Kulchakovskaya, E.; Gorshkov, A.; Kulnitskiy, B.; Ovsyannikov, D.; et al. Exfoliated graphite as a heat-conductive frame for a new pelletized Fischer–Tropsch synthesis catalyst. Appl. Catal. A Gen. 2020, 601, 117639. [Google Scholar] [CrossRef]
- Lancelot, C.; Ordomsky, V.V.; Stéphan, O.; Sadeqzadeh, M.; Karaca, H.; Lacroix, M.; Curulla-Ferré, D.; Luck, F.; Fongarland, P.; Griboval-Constant, A.; et al. Direct Evidence of Surface Oxidation of Cobalt Nanoparticles in Alumina-Supported Catalysts for Fischer–Tropsch Synthesis. ACS Catal. 2014, 4, 4510–4515. [Google Scholar] [CrossRef]
- Okoye-Chine, C.G.; Moyo, M.; Liu, X.; Hildebrandt, D. A critical review of the impact of water on cobalt-based catalysts in Fischer-Tropsch synthesis. Fuel Process. Technol. 2019, 192, 105–129. [Google Scholar] [CrossRef]
- Tucker, C.L.; Claeys, M.; van Steen, E. Decoupling the deactivation mechanisms of a cobalt Fischer–Tropsch catalyst operated at high conversion and ‘simulated’ high conversion. Catal. Sci. Technol. 2020, 10, 7056–7066. [Google Scholar] [CrossRef]
- Wolf, M.; Gibson, E.K.; Olivier, E.J.; Neethling, J.H.; Catlow, C.R.A.; Fischer, N.; Claeys, M. In-depth characterisation of metal-support compounds in spent Co/SiO2 Fischer–Tropsch model catalysts. Nat. Today 2020, 342, 71–78. [Google Scholar] [CrossRef]
- Saib, A.; Moodley, D.; Ciobîcă, I.; Hauman, M.; Sigwebela, B.; Weststrate, C.; Niemantsverdriet, J.; van de Loosdrecht, J. Fundamental understanding of deactivation and regeneration of cobalt Fischer–Tropsch synthesis catalysts. Catal. Today 2010, 154, 271–282. [Google Scholar] [CrossRef]
- Tsakoumis, N.E.; Rønning, M.; Borg, Ø.; Rytter, E.; Holmen, A. Deactivation of cobalt based Fischer–Tropsch catalysts: A review. Catal. Today 2010, 154, 162–182. [Google Scholar] [CrossRef]
- Have, I.C.T.; Weckhuysen, B.M. The active phase in cobalt-based Fischer-Tropsch synthesis. Chem Catal. 2021, 1, 339–363. [Google Scholar] [CrossRef]
- Lin, Q.; Liu, B.; Jiang, F.; Fang, X.; Xu, Y.; Liu, X. Assessing the formation of cobalt carbide and its catalytic performance under realistic reaction conditions and tuning product selectivity in a cobalt-based FTS reaction. Catal. Sci. Technol. 2019, 9, 3238–3258. [Google Scholar] [CrossRef]
- Hazemann, P.; Decottignies, D.; Maury, S.; Humbert, S.; Meunier, F.C.; Schuurman, Y. Selectivity loss in Fischer-Tropsch synthesis: The effect of cobalt carbide formation. J. Catal. 2021, 397, 1–12. [Google Scholar] [CrossRef]
- van Ravenhorst, I.K.; Hoffman, A.S.; Vogt, C.; Boubnov, A.; Patra, N.; Oord, R.; Akatay, C.; Meirer, F.; Bare, S.R.; Weckhuysen, B.M. On the Cobalt Carbide Formation in a Co/TiO2 Fischer–Tropsch Synthesis Catalyst as Studied by High-Pressure, Long-Term Operando X-ray Absorption and Diffraction. ACS Catal. 2021, 11, 2956–2967. [Google Scholar] [CrossRef]
- Bartholomew, C.H.; Rahmati, M.; Reynolds, M.A. Optimizing preparations of Co Fischer-Tropsch catalysts for stability against sintering. Appl. Catal. A Gen. 2020, 602, 117609. [Google Scholar] [CrossRef]
- Carvalho, A.; Ordomsky, V.V.; Luo, Y.; Marinova, M.; Muniz, A.R.; Marcilio, N.R.; Khodakov, A.Y. Elucidation of deactivation phenomena in cobalt catalyst for Fischer-Tropsch synthesis using SSITKA. J. Catal. 2016, 344, 669–679. [Google Scholar] [CrossRef]
- Chernyak, S.; Burtsev, A.; Maksimov, S.; Kupreenko, S.; Maslakov, K.; Savilov, S. Structural evolution, stability, deactivation and regeneration of Fischer-Tropsch cobalt-based catalysts supported on carbon nanotubes. Appl. Catal. A Gen. 2020, 603, 117741. [Google Scholar] [CrossRef]
- Moodley, D.; Claeys, M.; van Steen, E.; van Helden, P.; Kistamurthy, D.; Weststrate, K.-J.; Niemantsverdriet, H.; Saib, A.; Erasmus, W.; van de Loosdrecht, J. Sintering of cobalt during FTS: Insights from industrial and model systems. Catal. Today 2020, 342, 59–70. [Google Scholar] [CrossRef]
- Moodley, D.; van de Loosdrecht, J.; Saib, A.; Overett, M.; Datye, A.; Niemantsverdriet, J. Carbon deposition as a deactivation mechanism of cobalt-based Fischer–Tropsch synthesis catalysts under realistic conditions. Appl. Catal. A Gen. 2009, 354, 102–110. [Google Scholar] [CrossRef]
- Iglesias, M.; Edzang, R.; Schaub, G. Combinations of CO/CO2 reactions with Fischer–Tropsch synthesis. Catal. Today 2013, 215, 194–200. [Google Scholar] [CrossRef]
- González-Castaño, M.; Dorneanu, B.; Arellano-García, H. The reverse water gas shift reaction: A process systems engineering perspective. React. Chem. Eng. 2021, 6, 954–976. [Google Scholar] [CrossRef]
- Wang, L.; Liu, H.; Chen, Y.; Yang, S. Reverse water–gas shift reaction over co-precipitated Co–CeO2 catalysts: Effect of Co content on selectivity and carbon formation. Int. J. Hydrogen Energy 2017, 42, 3682–3689. [Google Scholar] [CrossRef]
- Goguet, A.; Meunier, F.; Breen, J.; Burch, R.; Petch, M.; Faurghenciu, A. Study of the origin of the deactivation of a Pt/CeO2 catalyst during reverse water gas shift (RWGS) reaction. J. Catal. 2004, 226, 382–392. [Google Scholar] [CrossRef]
- Argyle, M.D.; Bartholomew, C.H. Heterogeneous Catalyst Deactivation and Regeneration: A Review. Catalysts 2015, 5, 145–269. [Google Scholar] [CrossRef]
- Lee, S.-M.; Lee, S.-H.; Roh, J.-S. Analysis of Activation Process of Carbon Black Based on Structural Parameters Obtained by XRD Analysis. Crystals 2021, 11, 153. [Google Scholar] [CrossRef]
- Mordkovich, V.Z.; Sineva, L.V.; Kulchakovskaya, E.V.; Asalieva, E.Y.; Gryaznov, K.O.; Sinichkina, S.G. Fischer–Tropsch Synthesis Catalyst and Mmethod for Producing Same. Patent WO 2018217136 A1, 29 November 2018. [Google Scholar]
- Ermolaev, V.S.; Gryaznov, K.O.; Mitberg, E.B.; Mordkovich, V.Z.; Tretyakov, V.F. Laboratory and pilot plant fixed-bed reactors for Fischer–Tropsch synthesis: Mathematical modeling and experimental investigation. Chem. Eng. Sci. 2015, 138, 1–8. [Google Scholar] [CrossRef]
- Gorshkov, A.S.; Sineva, L.V.; Gryaznov, K.O.; Asalieva, E.Y.; Mordkovich, V.Z. Deactivation and Regeneration of a Zeolite-Containing Cobalt Catalyst in a Fisher–Tropsch Synthesis Reactor. Catal. Ind. 2023, 15, 152–164. [Google Scholar] [CrossRef]
Disclaimer/Publisher’s Note: The statements, opinions and data contained in all publications are solely those of the individual author(s) and contributor(s) and not of MDPI and/or the editor(s). MDPI and/or the editor(s) disclaim responsibility for any injury to people or property resulting from any ideas, methods, instructions or products referred to in the content. |
© 2023 by the authors. Licensee MDPI, Basel, Switzerland. This article is an open access article distributed under the terms and conditions of the Creative Commons Attribution (CC BY) license (https://creativecommons.org/licenses/by/4.0/).












