Abstract
MgFe-layered double hydroxides (LDH) were widely used as catalysts for Fischer–Tropsch synthesis to produce light olefins, in which the state of Fe-species may affect the resulting catalytic active sites. Herein, the typical MgFe-LDH was hydrothermally synthesized and the obtained MgFe-LDH was pretreated with H2 at different temperatures to reveal the effects of the state of Fe-species on the catalytic performance in Fischer–Tropsch synthesis. MgFe-LDH materials were characterized by X-ray diffraction (XRD), N2 adsorption–desorption, scanning electron microscopy (SEM), transmission electron microscopy (TEM), H2 temperature-programmed reduction (H2-TPR), and X-ray photoelectron spectroscopy (XPS). It was found that a MgO-FeO solid solution would be formed with the increase of the reduction temperature, which made the electrons transfer from Mg atoms to Fe atoms and strengthened the adsorption of CO. The pre-reduced treatment toward Mg-Fe-LDH enabled the FeCx active sites to be easily formed in situ during the reaction process, leading to the high conversion of CO. CO2 temperature-programmed desorption (CO2-TPD) and H2 temperature-programmed desorption (H2-TPD) analysis confirmed that the surface basicity of the catalysts was increased and the hydrogenation capacity was weakened, the secondary hydrogenation of the olefins was inhibited, and therefore as were the enhancement of O/P in the product and the high selectivity of light olefins (42.7%).
1. Introduction
As the main structural units and raw materials of many fine chemical products, light olefins (C2–C4) are traditionally mainly produced by the steam cracking and fluid catalytic cracking of naphtha [1,2]. With the increasing depletion of petroleum resources and the implementation of sustainable development strategies, it is more attractive to produce light olefins from syngas, which is extracted from non-petroleum carbon resources such as natural gas, coal and renewable biomass. The production of light olefins includes indirect routes such as methanol-to-olefins (MTO), dimethyl ether-to-olefins (DMTO), the dehydration of alcohols, and direct route FischerTropsch to olefins (FTO). Since the direct route is more economical than the indirect route after a long research period, the FTO route that directly converts syngas to lower olefins is expected to replace the traditional production route [3,4,5,6].
Since the FischerTropsch synthesis (FTS) process follows the Anderson–Schultz–Flory (ASF) distribution [7,8], resulting in wide production distribution, the selectivity of C2–C4 hydrocarbons is usually lower than 58% [6]. Therefore, the FTO reaction usually needs to be carried out at a high temperature (>200 °C) to obtain a higher selectivity to light olefins [6,8]. However, with the increase in reaction temperature, the side reaction Water Gas Shift (WGS), which is one of the primary generation pathways of CO2 [9,10], will be kinetically accelerated [11], resulting in over 40% of CO being converted to CO2 in the majority of FTO catalysts [2,8,12,13,14,15,16]. In previous work, Bao et al. and Wang et al. proposed the concept of metal oxide and zeolite (OX-ZEO) catalysts that coupled CO activation and C-C coupling processes at different active sites [17,18]. High olefin selectivity (80%) was obtained over OX-ZEO catalysts at a reaction temperature of 400 °C, but with a low CO conversion (<20%) and a fairly high CO2 selectivity (≈50%).
Among all the studied metals, such as Fe, Co and Ru [6], Fe-based catalysts attract more attention due to their lower price and higher reactivity of FTO and WGS reactions [19,20,21]. In addition, Fe-based catalysts are easier to use to generate more initial olefins in a wide range of reaction temperatures and H2/CO ratios [22,23,24,25]. Since de Jong and colleagues discovered that supported iron-based catalysts have excellent selectivity (61%) for light olefins in FTO [8], research on iron-based catalysts has increased rapidly [13,14,26,27,28]. In the research of various promoters and supports, the addition of alkaline-earth metal Mg has been found to promote the catalyst activity and olefin selectivity and also inhibit the formation of CO2 by suppressing the WGS reaction [29,30,31,32]. Niemelä and Krause reported that Mg-modified Co/SiO2 catalysts could reduce CO2 production owing to the change in the electronic structure of the active sites [29]. The effect of alkaline-earth metal on the catalytic performance of Fe-based catalysts was studied by Luo and Davis, and they found that Mg could suppress the water–gas shift reaction, thereby inhibiting the rate of CO2 formation [30]. Li and colleagues reported a similar effect of Mg on precipitated Fe/Cu/K/SiO2 catalysts [31]. Zong et al. designed Mg and K dual-decorated iron catalysts supported on reduced graphene oxide (rGO), where the modification of Mg could suppress the formation of magnetite during FTO that inhibited the water–gas shift reaction, leading to the reduce of CO2 selectivity [32].
Layered Double Hydroxide (LDH) is a unique anionic compound that belongs to a class of two-dimensional materials. The general chemical formula of LDH is [M2+1−xM3+x(OH)2]x+(An−)x/n·mH2O, where M2+ represents a divalent cation such as Mg2+, Fe2+, Co2+, Ni2+, Zn2+, and M3+ represents a trivalent cation such as Fe3+, Co3+, Al3+, etc. [33,34,35]. The divalent and trivalent metal cations in LDH are highly dispersed in the laminate and arranged in an orderly manner [36]. Therefore, the calcination of LDH under air atmosphere or its reduction under heating conditions will lead to in situ topological transformations to form metal oxides or metal–metal oxide composites [37,38]. The preparation of highly dispersed supported catalysts by calcining or reducing LDH precursors provides a new method to obtain catalysts with specific morphologies and surface structures [39,40,41]. The interaction between the active phase and support is greatly enhanced, and the particle size and stability of the catalysts can also be well controlled [42]. Ma et al. [43] synthesized the SMSI-type TiO2−x overlayers decorated Ni nanoparticle catalysts via calcination and then reduced the NiTi-LDH precursor, and obtained the CO conversion of ~19.8% with ~64.6% selectivity to C2+ paraffins in the FTS process at 220 °C under atmospheric pressure. Recently, Han and coworkers prepared FeMgAl catalysts with a controllable Mg/Al ratio by precipitation method, which inhibited CO2 selectivity to 28% when the CO conversion was 20% and the light olefin selectivity was 56%. It was proved that MgO and Al2O3 play a key role in regulating the surface/bulk properties of iron species, revealing the effect of Mg/Al ratio on CO and H2 adsorption/reactivity activities and proposing a balanced strategy to control carbon chain growth capacity (α), the ratio of olefins/paraffins (O/P) and primary/secondary CO2 formation pathways [44].
In this contribution, we successfully prepared a series of Fe-x (x represents the reduction temperature) catalysts by reducing MgFe-LDH with hydrogen at different temperatures. The state of the iron phase in Fe-x catalysts was investigated in detail by changing the reduction temperatures, and the structures and properties of various catalysts were characterized by XRD, SEM, TEM, H2-TPR, XPS, CO2-TPD, and H2-TPD technologies. The catalytic performance of such catalysts was evaluated on the FTO reaction, and the effect of reaction conditions on the catalytic results was also investigated, such as temperature, the ratio of H2/CO, and space velocity.
2. Results and Discussion
2.1. Catalyst Characterization
2.1.1. Crystalline Structure
Figure 1a confirmed the successful synthesis of MgFe-LDH nanosheets. The H2 reduction process of the MgFe-LDH nanosheet at different temperatures (from 300 to 600 °C) was tracked by X-ray diffraction (XRD) in Figure 1b. Fe-300 (reduction temperature was 300 °C) lost the characteristic diffraction peaks of the LDH precursor and showed the diffraction peaks of MgO (JCPDS No. 45-0496) at 42.9° (200) and 62.3° (220), and γ-Fe2O3 (JCPDS No. 04-0755) at 35.6° (311); this was mainly due to the removal of some interlayer anions and water molecules. When the reduction temperature rose to 400 °C (Fe-400), the crystal facets shifted to lower angles, located at 42.5° and 61.7°, respectively, between diffraction peaks of MgO and FeO, indicating that FeO (2.14 Å), gradually dissolved into the crystal lattice of MgO (2.10 Å), led to MgO-FeO (JCPDS No. 77-2366) solid solution being formed [45,46,47]. As the reduction temperature further increased to 500 °C (Fe-500), the (110) facet of Fe0 (JCPDS No. 87-0722) appeared at 44.7°. With the increase in reduction temperature, the diffraction peak intensities of MgO-FeO solid solution and Fe0 gradually increased. This showed that the reduction degree of the iron phase becomes higher, which is described in detail in the H2-TPR characterization in Section 2.1.5.
Figure 1.
XRD patterns of the catalysts: (a) MgFe-LDH precursor; (b) Fe-x reduced at different temperatures.
2.1.2. Textural Properties
N2 adsorption–desorption isotherms of the samples and the physical properties extracted from them were shown in Figure 2 and Table 1, respectively. All the catalysts showed type IV isotherms according to the IUPAC classification [48], all of them with mesoporous structures. When the relative pressure was low, the adsorption and desorption branches almost coincided due to the monolayer adsorption of N2 on the mesoporous catalysts. Hysteresis loops occurred because the adsorption branch rose faster than the desorption branch at moderate relative pressures [49]. In addition to this, all the samples exhibited H3-type hysteresis loops, which we believed were caused by the accumulation of flake particles. As shown in Table 1, the specific surface area and pore volume of Fe-400 increased, possibly due to the further removal of interlaminar anions and bound water. When the reduction temperature was further increased (>500 °C), the specific surface area and pore volume suddenly decreased, which may be related to the aggregation of MgO-FeO species [50].
Figure 2.
N2 adsorption–desorption isotherms of the catalysts.
Table 1.
The primary pore structure properties of the catalysts.
2.1.3. SEM Analysis
SEM images of MgFe-LDH and Fe-x catalysts are shown in Figure 3. MgFe-LDH precursors were made of typical flower-like nanosheets, and the reduced catalysts below 500 °C maintained the nanosheet structures. Due to the stacking and inter-embedding of the nanosheets, all of the samples showed irregular slits holy structures [51]. When the reduction temperature was below 500 °C, it can be seen that the catalysts still maintained the sheet structure of LDH. The sheet structures were destroyed in the Fe-600 catalyst, indicating that high temperatures led to pore structure reorganization, which was consistent with the trend observed in the specific surface areas [50].
Figure 3.
SEM images of the catalysts: (a) MgFe-LDH; (b) Fe-300; (c) Fe-400; (d) Fe-500; (e) Fe-600.
2.1.4. TEM Analysis
TEM images of the MgFe-LDH precursor and Fe-x catalysts are shown in Figure 4 and Figure S1. MgFe-LDH showed hexagonal lamellar structures of approximately 150 nm (Figure S1a). In the images of Fe-300, it can be seen that parts of the sheet structures fragmented into small particles, which were composed of MgO (200) and γ-Fe2O3 (311) (Figure 1b). Notably, a large number of pores appeared in the Fe-400 images (Figure S1b), which was mainly due to the layer collapse that occurred with the evolution of intercalated H2O and small molecules during the conversion of LDH to metal oxides [52,53]. For Fe-500, only one lattice fringe with an average distance of 2.14 Å can be seen, which belonged to FeO-MgO (Figure 1d). Since the ionic radius and lattice constant of MgO and FeO are similar, they can form an ideal solid solution in all composition ranges [54,55]. When the reduction temperature was further increased to 600 °C, FeO diffused from the surface layer of the solid solution to the bulk phase (Figure S1c) [56].
Figure 4.
HRTEM images of the catalysts: (a,b) Fe-300; (c,d) Fe-500.
2.1.5. H2-TPR Measurement of the Catalysts
The reduction behavior of the Fe-x series catalysts was tested by H2 temperature-programmed reduction (TPR), and the results were shown in Figure 5. It can be seen that the reduction of the catalysts was mainly divided into two stages. The peak α between 250 and 500 °C represented the transition from Fe2O3 to Fe3O4, and included some Fe3O4 to FeO transitions. Due to the poor stability of FeO, when the reduction temperature was higher than 500 °C Fe3O4 and FeO were reduced to Fe0 at the same time, which was recorded as peak β [20,57]. The peak α and peak β shifted to lower temperature regions from sample Fe-300 to Fe-500. This may be due to the electrons gradually transferring from Mg to Fe during the process of structural transition, resulting in an easier reduction of FeOx. This phenomenon would be demonstrated in the XPS characterization in Section 2.1.6. However, for Fe-600 the reduction peaks shifted significantly to a high temperature. This may be due to the high temperature intensifying the diffusion of FeO from the surface layer of the sample to the bulk phase, increasing the depth of FeO entering the MgO particles, making it difficult to reduce [56]. In addition, the positions of the two reduction peaks, peak α and peak β of the catalysts, as well as the H2 consumption, were listed in Table 2. As the reduction temperature increases, the H2 consumption of peak α decreases significantly, indicating that a large amount of Fe2O3 was reduced to FeO, which coincided with the XRD characterization results.
Figure 5.
H2-TPR profiles of the catalysts.
Table 2.
Reduction peak temperature and H2 consumption of the catalysts.
2.1.6. XPS Analysis of the Catalysts
The surface electronic structure of the catalysts was measured by XPS. As shown in Figure 6a, two peaks of the samples, at 710.8 eV and 724.4 eV, are attributed to Fe2p3/2 and Fe2p1/2 of the Fe2O3 phase, respectively [58,59,60]. Starting with Fe-400, there are two peaks attributed to FeO at 709.6 eV and 723.2 eV [60]. The peak value of FeO in Fe-500 became stronger. In addition, Fe-500 and Fe-600 also had two peaks attributed to Fe0 at 706.7 eV and 719.8 eV, and the peak value of Fe0 was stronger. Combined with the characterization results of XRD and H2-TPR, the iron phase in Fe-300 was mainly Fe2O3, which gradually transformed to FeO and Fe0 with the increase in the reduction temperature. In Table 2, the peak β H2 consumption (2.156 mmol/g) of Fe-600 is significantly lower than that of Fe-500 (3.470 mmol/g), indicating that when the reduction temperature was increased to 600 °C, the Fe0 phase increased significantly, so the consumption of H2 during H2-TPR process decreased. As can be seen in Figure 6b, the peaks that appeared at 49.7 eV belonged to MgO. As the reduction temperature increased, the binding energy of Mg atoms shifted toward higher positions; this was because electrons could transfer from Mg atoms to Fe atoms. Obviously, Fe-500 has the lowest Mg atomic valence, which is speculated to be due to the highest proportion of the MgO-FeO solid solution phase in Fe-500, and the existence of this phase is more conducive to the electron transfer from Mg atoms to Fe atoms.
Figure 6.
XPS spectra of the catalysts: (a) XPS spectra of Fe2p; (b) XPS spectra of Mg2p.
2.1.7. Chemisorption Properties of the Catalysts
The surface basicity of the catalysts was studied by CO2 temperature-programmed desorption (CO2-TPD), and the results were shown in Figure 7a. All of the samples had two desorption peaks at about 90 °C and 285 °C, the former corresponding to weakly physically adsorbed CO2 and the latter to weakly chemisorbed CO2 [60,61,62]. With the increase in the reduction temperature, the intensity of the desorption peak at 90 °C increased significantly, and reached the highest value at Fe-500, indicating that the CO2 amount of weak physical adsorption increased, and the weak basicity of the catalyst surface increased. With the increase in the reduction temperature, the intensity of the desorption peak at 285 °C also increased slightly, indicating that the medium basicity of the catalyst surface was slightly enhanced and its degree was not as obvious as that of weak physical adsorption. When the reduction temperature is increased to 600 ° C, the weak basicity of Fe-600 decreases significantly. The enhancement of the alkalinity of the catalyst surface is conducive to the adsorption and dissociation of CO, which leads to the increase of CO conversion and the length of the carbon chain, in addition to the ratio of olefins/paraffins.
Figure 7.
Chemisorption profiles of the catalysts: (a) CO2-TPD profiles; (b) H2-TPD profiles.
The adsorption capacity to hydrogen of the catalysts was studied by H2 temperature-programmed desorption (H2-TPD), and the results are shown in Figure 7b. According to previous studies, the desorption peak located at 100–300 °C represented the chemisorption of H2 [60,63]. From Fe-300 to Fe-500, the desorption temperature gradually decreased, indicating that the adsorption capacity for H2 became weaker with the increase of the reduction temperature. Fe-500 had the lowest H2 desorption temperature, indicating that its adsorption and dissociation ability to H2 was the weakest, which can inhibit the secondary hydrogenation reaction of olefins generated during FTO process well, thereby improving the selectivity of olefins. According to XPS, this may be due to the electrons transferred from Mg atoms to Fe atoms, resulting in higher electron density of the catalysts [60]. However, the desorption peak of Fe-600 shifted slightly to a high temperature, indicating that the adsorption capacity of H2 was enhanced. This would promote the secondary hydrogenation of the olefins, resulting in the increased selectivity of paraffins during the FTO process.
2.2. Catalytic Performance
2.2.1. The Activity and Selectivity of the Catalysts
The catalytic performances of the catalysts were shown in Table 3. The carbon balance of all the reactions was above 95%. From the sample Fe-300 to Fe-500, the CO conversion increased significantly from 8.11% to 29.94%. However, for Fe-600, the CO conversion suddenly dropped to 7.10%. Combined with the characterization results of XRD, H2-TPR and XPS, due to the formation of MgO-FeO solid solution, the electrons transferred from Mg atoms to Fe atoms, resulting in the high electron density of Fe atoms, which was beneficial to the adsorption of CO, thereby generating FeCx active sites in situ during the reaction process and ultimately improving CO conversion. At the same time, XPS, CO2-TPD and H2-TPD analysis proved that the strong basicity and strong electron density on the surface of the Fe-500 catalyst could inhibit the adsorption of H2; that is, it could weaken the hydrogenation reaction, which would not only reduce the selectivity of CH4 but also inhibit the secondary hydrogenation reaction of the olefins, thereby improving the ratio of olefins/paraffins (O/P) of the product [60,64]. For Fe-600, due to the stacking of lamellae when the temperature was above 600 °C, many active sites were covered, resulting in a significant decrease in CO conversion.
Table 3.
Catalytic performance of the catalysts.
2.2.2. The Effects of the Reaction Conditions over the Fe-500 Catalyst
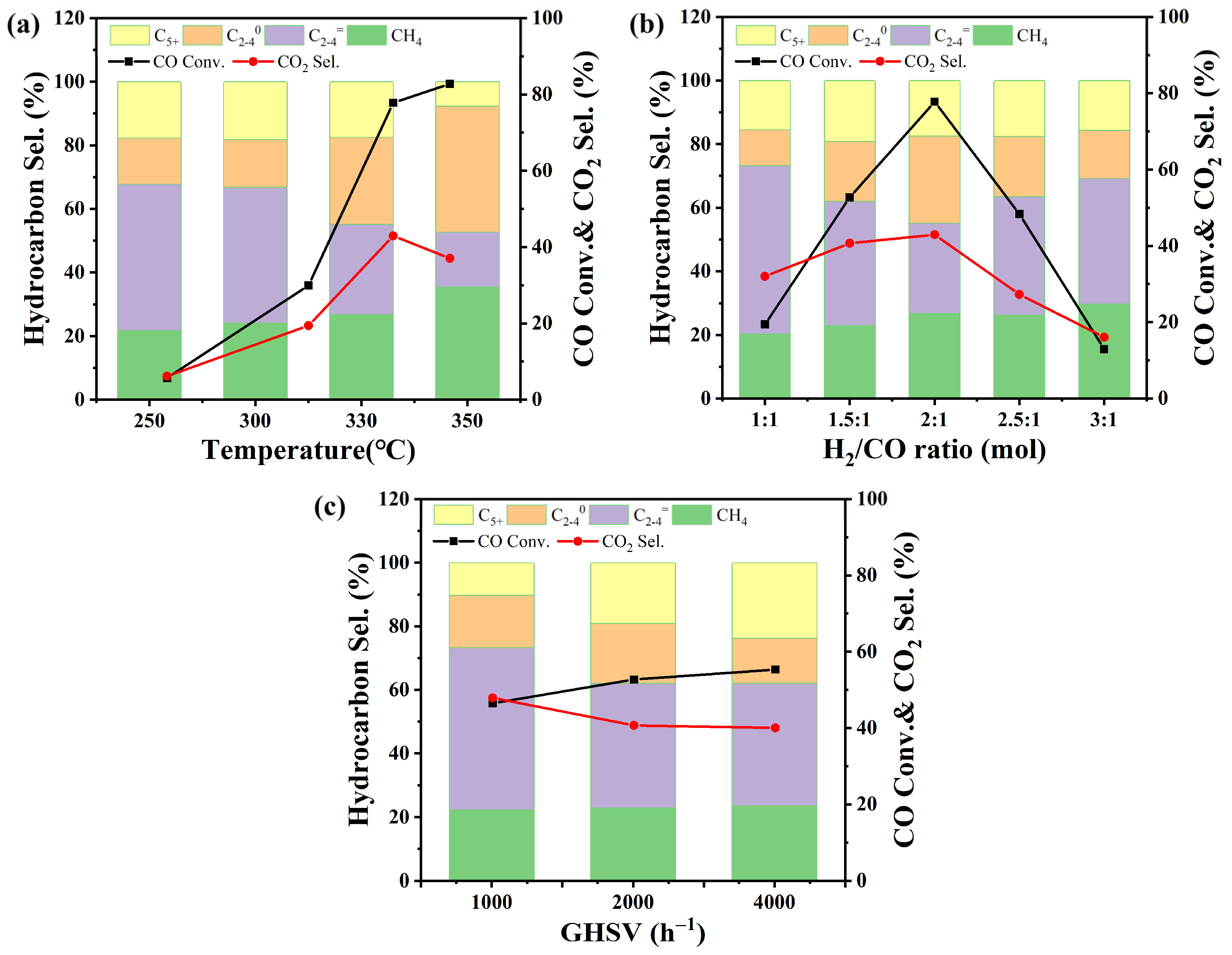
As we all know, reaction temperature is one of the important factors affecting the selectivity of the light olefins, so we evaluated the CO hydrogenation performance of the Fe-500 catalyst at different reaction temperatures, and the results are listed in Figure 8a. With the increase in reaction temperature, the CO conversion increased sharply and the selectivity of CO2 also increased significantly. For the distribution of hydrocarbon products, the increase of reaction temperature led to the movement of products in the direction of low carbon, the selectivity of CH4 increased, and the selectivity of C5+ decreased. In addition, a larger proportion of alkanes was observed, which was due to the increase in temperature, leading to the secondary hydrogenation of alkenes on the surface of the catalyst to form alkanes [65]. In contrast, we chose the reaction temperature of 330 °C for the next study.
Figure 8.
The effects of the reaction conditions for the Fe-500 catalyst: (a) reaction temperature; (b) H2/CO ratio; (c) space velocity.
As shown in Figure 8b, the effect of the H2/CO ratio of feed gas on catalytic performance has also been studied. With the increase of the H2/CO ratio, the CO conversion rate first increased and then decreased, and the CO2 selectivity showed a similar trend. When the H2/CO ratio was 2:1, CO conversion and CO2 selectivity reached the highest point: 78% and 43%, respectively. In this process, CH4 selectivity slightly increased and C5+ selectivity slightly decreased. The value of O/P changes obviously, which is the opposite trend to the change of CO conversion. With the increase of the H2/CO ratio, the content of C2–C4 olefins decreases first and then increases. To sum up, we chose the H2/CO ratio of 1.5:1 for the next study.
In addition, we also studied the effect of reaction space velocity on catalytic performance, as shown in Figure 8c. With the increase of reaction space velocity, CO conversion increased slightly and CO2 selectivity decreased. For hydrocarbons in the product, CH4 selectivity was almost unchanged (≈20%) and C5+ selectivity was significantly increased from 10% to 24%. The proportion of C2–C4 hydrocarbons decreased from 68% to 53%, with O/P slightly decreased. When GHSV was 1000 h−1, C2–C4 olefins selectivity was 51%, with O/P 3.10. In summary, the optimal reaction conditions of the Fe-500 catalyst were 330 °C, H2/CO = 1.5:1, GHSV = 1000 h−1. We compared the data with previous works, which were listed in Table S1.
3. Materials and Methods
3.1. Catalyst Preparation
3.1.1. Synthesis of the MgFe-CO3-LDH Precursor
MgFe-CO3-LDH was prepared by the hydrothermal method. In brief, 2.7602 g Na2CO3 was dissolved into 60.7 mL of distilled water, named solution A. Then, 10.4 mL of Mg(NO3)2 aqueous solution (2 mol/L) was added into solution A under vigorous stirring. Similarly, 5.2 mL of Fe(NO3)3 (2 mol/L) aqueous solution was added to the above solution. Finally, 3.9 mL of NaOH solution (9.67 mol/L) was added to adjust the pH value, with constant stirring. The obtained mixed solution was transferred into a 100 mL Teflon-lined autoclave, and then moved into the laboratory oven for further heating at 100 °C for 3 days. The obtained red-brown solid was then filtered, washed with deionized water, and dried at 100 °C for 12 h. Thus, the precursor MgFe-CO3-LDH was obtained.
3.1.2. Synthesis of Fe-X Catalysts
MgFe-CO3-LDH was reduced in an H2/Ar (10/90, v/v) flow at different reduction temperatures (300, 400, 500, 600 °C) for 180 min with a heating rate of 2 °C/min. The products were named Fe-x, where x refers to the reduction temperature.
3.2. Catalyst Characterization
Powder X-ray diffraction (XRD) patterns of all samples were determined using a Rigaku Ultima IV (Rigaku Corporation, Tokyo, Japan) powder diffractometer and tested with Cu Kα radiation at 40 kV and 40 mA.
The textural properties of the samples were obtained by recording the N2 adsorption–desorption isotherms at −196 °C on the Micromeritics ASAP 2020 PLUS HD88 (Micromeritics, Norcross, GA, USA), and the samples were pretreated at 110 °C for 10 h before testing. The specific surface area and pore size distribution of the samples were calculated by Brunauer–Emmett–Teller and Barrett-Joyner-Halenda methods, respectively.
Scanning electron microscopy (SEM) images were obtained with a JSM-7001F (Japan Electronics Co., Ltd., Tokyo, Japan) instrument with a voltage of 3.0 kV and 30,000 times amplification.
High-resolution transmission electron microscopy (HRTEM) images of the samples were acquired on a JEOL JEM 2100F (Japan Electronics Co., Ltd., Tokyo, Japan) with an acceleration voltage of 200 kV.
The H2 temperature-programmed reduction (H2-TPR) curves of the samples were used to record the reducibility of the catalysts on Micromeritics AutoChem II 2920 (Micromeritics, Norcross, GA, USA). A total of 50 mg of catalyst was put into a quartz tube, pretreated with He at 110 °C for 1 h, then cooled to 50 °C for 30 min. Additionally, it was then switched to a 4.85% H2/Ar mixture; after the baseline was stable, the temperature was increased to 900 °C by the rate of 10 °C/min and H2 consumption was recorded.
The chemical state of the elements on the surface of the catalysts was detected by X-ray photoelectron spectroscopy and tested on ThermoFischer ESCALAB 250Xi (Thermo Fischer Scientific, Waltham, MA, USA) equipped with a monochromatized Al Kα radiation source. The operating voltage was 12.5 kV, and the current was 16 mA. Data calibration was performed using the peak C1s of 284.6 eV.
CO2 temperature-programmed desorption (CO2-TPD) curves were recorded on the TPR-tested equipment. A total of 50 mg of the catalyst was pretreated at 500 °C for 1 h, and then cooled to 50 °C. The samples were exposed to a flow of CO2 for 40 min and then switched to a flow of He purged for 40 min to remove physically adsorbed CO2 species. Finally, the temperature was raised to 500 °C at a heating rate of 10 °C/min, and the desorption signal of CO2 was recorded by a thermal conductivity detector (TCD).
H2 temperature-programmed desorption (H2-TPD) curves were recorded on the TPD-tested equipment. A total of 50 mg of the catalyst was pretreated at 500 °C for 1 h and then cooled to 50 °C. The samples were exposed to a flow of H2 for 40 min and then switched to a flow of He purged for 40 min to remove physically adsorbed H2 species. Finally, the temperature was raised to 500 °C at a heating rate of 10 °C/min, and the desorption signal of H2 was recorded by a thermal conductivity detector (TCD).
3.3. Catalytic Activity Tests
CO hydrogenation reactions were performed in a stainless fixed-bed reactor loading 1 mL of catalyst (40–60 mesh). The feed gas (H2/CO = 2, molar ratio) was introduced into the reactor with a pressure of 2 MPa and GHSV of 2000 h−1. Nitrogen with a concentration of 10% in the syngas was used as an internal standard for the calculation of CO conversion. The reaction temperature was then ramped slowly to 300 °C. The permanent gases (H2, N2, CO, CH4), light hydrocarbon (CH4, C2–C4), and those gases (CO, CH, CO2) that can be converted into methane were monitored by an online HXSP GC-950 (Haixinsepu Instrument Co., Ltd, Shanghai, China) gas chromatograph (GC) equipped with the 5A molecular sieve, modified Al2O3, and TDX-01 columns. The oil and wax products were separated by a cold trap (0 °C) and a hot trap (150 °C). The oil products were analyzed using an Agilent 7890B (Agilent Technologies Co., Ltd, Santa Clara, CA, USA) GC with a DB-1 column. The product selectivity was calculated based on the carbon balance, and the carbon balance of each test in this work was above 95%.
CO conversion () and product selectivity are calculated as follows:
: the peak area of N2 in the inflow; : the peak area of N2 in the outflow; : the peak area of CO in the inflow; : the peak area of CO in the outflow.
: carbon number of CO2 in the products; : carbon number of corresponding products.
: carbon number of C2–4 olefins in the products; : carbon number of C2–4 paraffins in the products.
4. Conclusions
In conclusion, a series of Fe-x catalysts were prepared by reducing the MgFe-LDH precursor at different temperatures (300–600 °C). The Fe-500 catalyst acquired a CO conversion rate of 30%, light olefins selectivity of 43%, and a low CO2 selectivity (19%) under the reaction conditions of 300 °C, H2/CO = 2:1, GHSV = 2000 h−1, 2 MPa. After a series of characterizations, it was proved that, with the increase in reduction temperature, the catalyst gradually evolved into FeO-MgO solid solution and Fe0. The formation of the MgO-FeO solid solution is conductive to the electrons transfer from Mg atoms to Fe atoms, so it enhanced the adsorption of CO to generate FeCx active sites in situ during the reaction process, thereby improving CO conversion. In addition, the increase of the basicity and electron density on the surface of the catalysts weakened the adsorption of H2, inhibited the secondary hydrogenation reaction of the olefins while inhibiting the formation of methane, and improved the selectivity of light olefins and the O/P value of the product. We optimized the reaction conditions of the Fe-500 catalyst, and finally determined that the suitable reaction conditions were 330 °C, H2/CO = 1.5:1, and GHSV = 1000 h−1. Under these conditions, the CO conversion was 47%, the selectivity of light olefins was 51%, and the O/P value was 3.10. This study provides new routes for the preparation of novel FTO catalysts.
Supplementary Materials
The following supporting information can be downloaded at: https://www.mdpi.com/article/10.3390/catal13030632/s1, Figure S1: HRTEM images of the catalysts: (a) MgFe-LDH, (b) Fe-400, (c) Fe-600; Figure S2: XRD patterns of the spent catalysts; Table S1: Comparison of the catalytic performance with the previous works [8,12,13,14,17,18,26,27,28,66,67].
Author Contributions
Conceptualization, L.L. and J.D.; methodology, J.D., L.L. and J.L.; investigation, J.L. and C.L.; writing—original draft preparation, J.L.; writing—review and editing, L.L., Z.Z., Q.T. and J.L.; supervision, J.D.; project administration, J.D. and L.L.; funding acquisition, L.L. All authors have read and agreed to the published version of the manuscript.
Funding
This work was supported by the National Natural Science Foundation (U1910202 and 21978194), the Key Research and Development Program of Shanxi Province (202102090301005) and the Fund for Shanxi “1331 Project”.
Data Availability Statement
Not applicable.
Conflicts of Interest
The authors declare no conflict of interest.
References
- Corma, A.; Melo, F.; Sauvanaud, L.; Ortega, F. Light cracked naphtha processing: Controlling chemistry for maximum propylene production. Catal. Today 2005, 107, 699–706. [Google Scholar] [CrossRef]
- Torres Galvis, H.M.; Bitter, J.H.; Davidian, T.; Ruitenbeek, M.; Dugulan, A.I.; de Jong, K.P. Iron Particle Size Effects for Direct Production of Lower Olefins from Synthesis Gas. J. Am. Chem. Soc. 2012, 134, 16207–16215. [Google Scholar] [CrossRef] [PubMed]
- Snel, R. Olefins from Syngas. Catal. Rev. Sci. Eng. 1987, 29, 361–445. [Google Scholar] [CrossRef]
- Yang, Z.; Pan, X.; Wang, J.; Bao, X. FeN particles confined inside CNT for light olefin synthesis from syngas: Effects of Mn and K additives. Catal. Today 2012, 186, 121–127. [Google Scholar] [CrossRef]
- Chen, X.; Deng, D.; Pan, X.; Hu, Y.; Bao, X. N-doped graphene as an electron donor of iron catalysts for CO hydrogenation to light olefins. Chem. Commun. 2014, 51, 217–220. [Google Scholar] [CrossRef]
- Torres Galvis, H.M.; de Jong, K.P. Catalysts for Production of Lower Olefins from Synthesis Gas: A Review. ACS Catal. 2013, 3, 2130–2149. [Google Scholar] [CrossRef]
- Puskas, I.; Hurlbut, R.S. Comments about the causes of deviations from the Anderson–Schulz–Flory distribution of the Fischer–Tropsch reaction products. Catal. Today 2003, 84, 99–109. [Google Scholar] [CrossRef]
- Galvis, H.M.T.; Bitter, J.H.; Khare, C.B.; Ruitenbeek, M.; Dugulan, A.I.; de Jong, K.P. Supported Iron Nanoparticles as Catalysts for Sustainable Production of Lower Olefins. Science 2012, 335, 835–838. [Google Scholar] [CrossRef]
- Krishnamoorthy, S.; Li, A.; Iglesia, E. Pathways for CO2 Formation and Conversion During Fischer–Tropsch Synthesis on Iron-Based Catalysts. Catal. Lett. 2002, 80, 77–86. [Google Scholar] [CrossRef]
- Botes, F.G. Water–gas-shift kinetics in the iron-based low-temperature Fischer–Tropsch synthesis. Appl. Catal. A Gen. 2007, 328, 237–242. [Google Scholar] [CrossRef]
- Pirola, C.; Bianchi, C.L.; Di Michele, A.; Vitali, S.; Ragaini, V. Fischer Tropsch and Water Gas Shift chemical regimes on supported iron-based catalysts at high metal loading. Catal. Commun. 2009, 10, 823–827. [Google Scholar] [CrossRef]
- Zhong, L.; Yu, F.; An, Y.; Zhao, Y.; Sun, Y.; Li, Z.; Lin, T.; Lin, Y.; Qi, X.; Dai, Y.; et al. Cobalt carbide nanoprisms for direct production of lower olefins from syngas. Nature 2016, 538, 84–87. [Google Scholar] [CrossRef]
- Wang, J.; Xu, Y.; Ma, G.; Lin, J.; Wang, H.; Zhang, C.; Ding, M. Directly converting syngas to linear α-olefins over core-shell Fe3O4@MnO2 catalysts. ACS Appl. Mater. Interfaces 2018, 10, 43578–43587. [Google Scholar] [CrossRef]
- Santos, V.P.; Wezendonk, T.A.; Jaén, J.J.D.; Dugulan, A.I.; Nasalevich, M.A.; Islam, H.-U.; Chojecki, A.; Sartipi, S.; Sun, X.; Hakeem, A.A.; et al. Metal organic framework-mediated synthesis of highly active and stable Fischer-Tropsch catalysts. Nat. Commun. 2015, 6, 6451. [Google Scholar] [CrossRef]
- Wang, C.; Pan, X.; Bao, X. Direct production of light olefins from syngas over a carbon nanotube confined iron catalyst. Chin. Sci. Bull. 2010, 55, 1117–1119. [Google Scholar] [CrossRef]
- Chen, X.; Deng, D.; Pan, X.; Bao, X. Iron catalyst encapsulated in carbon nanotubes for CO hydrogenation to light olefins. Chin. J. Catal. 2015, 36, 1631–1637. [Google Scholar] [CrossRef]
- Jiao, F.; Li, J.; Pan, X.; Xiao, J.; Li, H.; Ma, H.; Wei, M.; Pan, Y.; Zhou, Z.; Li, M.; et al. Selective conversion of syngas to light olefins. Science 2016, 351, 1065–1068. [Google Scholar] [CrossRef]
- Cheng, K.; Gu, B.; Liu, X.; Kang, J.; Zhang, Q.; Wang, Y. Direct and Highly Selective Conversion of Synthesis Gas into Lower Olefins: Design of a Bifunctional Catalyst Combining Methanol Synthesis and Carbon–Carbon Coupling. Angew. Chem. 2016, 128, 4803–4806. [Google Scholar] [CrossRef]
- Zhang, Y.; Ma, L.; Wang, T.; Li, X. MnO2 coated Fe2O3 spindles designed for production of C5+ hydrocarbons in Fischer–Tropsch synthesis. Fuel 2016, 177, 197–205. [Google Scholar] [CrossRef]
- Li, Z.; Liu, R.; Xu, Y.; Ma, X. Enhanced Fischer–Tropsch synthesis performance of iron-based catalysts supported on nitric acid treated N-doped CNTs. Appl. Surf. Sci. 2015, 347, 643–650. [Google Scholar] [CrossRef]
- Visconti, C.G.; Martinelli, M.; Falbo, L.; Infantes-Molina, A.; Lietti, L.; Forzatti, P.; Iaquaniello, G.; Palo, E.; Picutti, B.; Brignoli, F. CO2 hydrogenation to lower olefins on a high surface area K-promoted bulk Fe-catalyst. Appl. Catal. B Environ. 2017, 200, 530–542. [Google Scholar] [CrossRef]
- Li, S.; Krishnamoorthy, S.; Li, A.; Meitzner, G.D.; Iglesia, E. Promoted Iron-Based Catalysts for the Fischer–Tropsch Synthesis: Design, Synthesis, Site Densities, and Catalytic Properties. J. Catal. 2002, 206, 202–217. [Google Scholar] [CrossRef]
- Dictor, R.A.; Bell, A.T. Fischer-Tropsch synthesis over reduced and unreduced iron oxide catalysts. J. Catal. 1986, 97, 121–136. [Google Scholar] [CrossRef]
- Yang, Y.; Xiang, H.W.; Xu, Y.Y.; Bai, L.; Li, Y.W. Effect of potassium promoter on precipitated iron-manganese catalyst for Fischer–Tropsch synthesis. Appl. Catal. A Gen. 2004, 266, 181–194. [Google Scholar] [CrossRef]
- Zhang, J.-L.; Ma, L.-H.; Fan, S.-B.; Zhao, T.-S.; Sun, Y.-H. Synthesis of light olefins from CO hydrogenation over Fe–Mn catalysts: Effect of carburization pretreatment. Fuel 2013, 109, 116–123. [Google Scholar] [CrossRef]
- Lu, J.; Yang, L.; Xu, B.; Wu, Q.; Zhang, D.; Yuan, S.; Zhai, Y.; Wang, X.; Fan, Y.; Hu, Z. Promotion Effects of Nitrogen Doping into Carbon Nanotubes on Supported Iron Fischer–Tropsch Catalysts for Lower Olefins. ACS Catal. 2014, 4, 613–621. [Google Scholar] [CrossRef]
- Liu, Y.; Chen, J.-F.; Bao, J.; Zhang, Y. Manganese-Modified Fe3O4 Microsphere Catalyst with Effective Active Phase of Forming Light Olefins from Syngas. ACS Catal. 2015, 5, 3905–3909. [Google Scholar] [CrossRef]
- Zhuo, O.; Yang, L.; Gao, F.; Xu, B.; Wu, Q.; Fan, Y.; Zhang, Y.; Jiang, Y.; Huang, R.; Wang, X.; et al. Stabilizing the active phase of iron-based Fischer–Tropsch catalysts for lower olefins: Mechanism and strategy. Chem. Sci. 2019, 10, 6083–6090. [Google Scholar] [CrossRef]
- Niemelä, M.K.; Krause, A.O.I. Characterization of magnesium promoted Co/SiO2 catalysts. Catal. Lett. 1995, 34, 75–84. [Google Scholar] [CrossRef]
- Luo, M.; Davis, B.H. Fischer–Tropsch synthesis: Group II alkali-earth metal promoted catalysts. Appl. Catal. A Gen. 2003, 246, 171–181. [Google Scholar] [CrossRef]
- Yang, J.; Sun, Y.; Tang, Y.; Liu, Y.; Wang, H.; Tian, L.; Wang, H.; Zhang, Z.; Xiang, H.; Li, Y. Effect of magnesium promoter on iron-based catalyst for Fischer–Tropsch synthesis. J. Mol. Catal. A Chem. 2006, 245, 26–36. [Google Scholar] [CrossRef]
- Cheng, Y.; Lin, J.; Wu, T.; Wang, H.; Xie, S.; Pei, Y.; Yan, S.; Qiao, M.; Zong, B. Mg and K dual-decorated Fe-on-reduced graphene oxide for selective catalyzing CO hydrogenation to light olefins with mitigated CO2 emission and enhanced activity. Appl. Catal. B Environ. 2017, 204, 475–485. [Google Scholar] [CrossRef]
- Cavani, F.; Trifirò, F.; Vaccari, A. Hydrotalcite-type anionic clays: Preparation, properties and applications. Catal. Today 1991, 11, 173–301. [Google Scholar] [CrossRef]
- Brindley, G.W.; Kikkawa, S. Thermal Behavior of Hydrotalcite and of Anion-Exchanged Forms of Hydrotalcite. Clays Clay Miner. 1980, 28, 87–91. [Google Scholar] [CrossRef]
- Wang, Q.; O’Hare, D. Recent Advances in the Synthesis and Application of Layered Double Hydroxide (LDH) Nanosheets. Chem. Rev. 2012, 112, 4124–4155. [Google Scholar] [CrossRef]
- Sideris, P.J.; Nielsen, U.G.; Gan, Z.; Grey, C.P. Mg/Al Ordering in Layered Double Hydroxides Revealed by Multinuclear NMR Spectroscopy. Science 2008, 321, 113–117. [Google Scholar] [CrossRef]
- Li, C.; Wang, L.; Wei, M.; Evans, D.G.; Duan, X. Large oriented mesoporous self-supporting Ni–Al oxide films derived from layered double hydroxide precursors. J. Mater. Chem. 2008, 18, 2666–2672. [Google Scholar] [CrossRef]
- He, S.; Zhang, S.; Lu, J.; Zhao, Y.; Ma, J.; Wei, M.; Evans, D.G.; Duan, X. Enhancement of visible light photocatalysis by grafting ZnO nanoplatelets with exposed (0001) facets onto a hierarchical substrate. Chem. Commun. 2011, 47, 10797–10799. [Google Scholar] [CrossRef]
- He, S.; Li, C.; Chen, H.; Su, D.; Zhang, B.; Cao, X.; Wang, B.; Wei, M.; Evans, D.G.; Duan, X. A Surface Defect-Promoted Ni Nanocatalyst with Simultaneously Enhanced Activity and Stability. Chem. Mater. 2013, 25, 1040–1046. [Google Scholar] [CrossRef]
- Zhao, Y.; Li, Z.; Li, M.; Liu, J.; Liu, X.; Waterhouse, G.I.N.; Wang, Y.; Zhao, J.; Gao, W.; Zhang, Z.; et al. Reductive Transformation of Layered-Double-Hydroxide Nanosheets to Fe-Based Heterostructures for Efficient Visible-Light Photocatalytic Hydrogenation of CO. Adv. Mater. 2018, 30, 1803127. [Google Scholar] [CrossRef]
- Li, Z.; Liu, J.; Shi, R.; Waterhouse, G.I.; Wen, X.D.; Zhang, T. FeBased Catalysts for the Direct Photohydrogenation of CO2 to Value-Added Hydrocarbons. Adv. Energy Mater. 2021, 11, 2002783. [Google Scholar] [CrossRef]
- Fan, G.; Li, F.; Evans, D.G.; Duan, X. Catalytic applications of layered double hydroxides: Recent advances and perspectives. Chem. Soc. Rev. 2014, 43, 7040–7066. [Google Scholar] [CrossRef] [PubMed]
- Xu, M.; Qin, X.; Xu, Y.; Zhang, X.; Zheng, L.; Liu, J.-X.; Wang, M.; Liu, X.; Ma, D. Boosting CO hydrogenation towards C2+ hydrocarbons over interfacial TiO2−x/Ni catalysts. Nat. Commun. 2022, 13, 6720. [Google Scholar] [CrossRef] [PubMed]
- Liu, Y.; Xu, M.; Yang, Z.; Ding, X.; Zhu, M.; Han, Y.F. Syngas to olefins with low CO2 formation by tuning the structure of FeCx-MgO-Al2O3 catalysts. Chem. Eng. J. 2022, 450, 137167. [Google Scholar] [CrossRef]
- Hu, Y.H.; Ruckenstein, E. High-Resolution Transmission Electron Microscopy Study of Carbon Deposited on the NiO/MgO Solid Solution Catalysts. J. Catal. 1999, 184, 298–302. [Google Scholar] [CrossRef]
- Lu, Y.; Jiang, S.; Wang, S.; Zhao, Y.; Ma, X. Effect of the addition of Ce and Zr over a flower-like NiO-MgO (111) solid solution for CO2 reforming of methane. J. CO2 Util. 2018, 26, 123–132. [Google Scholar] [CrossRef]
- Chen, Z.; Liu, J.; Li, R. Simulation and property prediction of MgO-FeO-MnO solid solution in steel slag. Mater. Lett. 2020, 273, 127930. [Google Scholar] [CrossRef]
- Liu, H.; Xu, S.; Zhou, G.; Xiong, K.; Jiao, Z.; Wang, S. CO2 hydrogenation to methane over Co/KIT-6 catalysts: Effect of Co content. Fuel 2018, 217, 570–576. [Google Scholar] [CrossRef]
- Zhou, G.; Liu, H.; Cui, K.; Xie, H.; Jiao, Z.; Zhang, G.; Xiong, K.; Zheng, X. Methanation of carbon dioxide over Ni/CeO2 catalysts: Effects of support CeO2 structure. Int. J. Hydrogen Energy 2017, 42, 16108–16117. [Google Scholar] [CrossRef]
- Liu, Z.; Gao, X.; Liu, B.; Song, W.; Ma, Q.; Zhao, T.-S.; Wang, X.; Bae, J.W.; Zhang, X.; Zhang, J. Highly stable and selective layered Co-Al-O catalysts for low-temperature CO2 methanation. Appl. Catal. B Environ. 2022, 310, 121303. [Google Scholar] [CrossRef]
- Zhang, F.; Lu, B.; Sun, P. Co-Promoted Ni Nanocatalysts Derived from NiCoAl-LDHs for Low Temperature CO2 Methanation. Catalysts 2021, 11, 121. [Google Scholar] [CrossRef]
- Kobayashi, Y.; Ke, X.; Hata, H.; Schiffer, P.; Mallouk, T.E. Soft Chemical Conversion of Layered Double Hydroxides to Superparamagnetic Spinel Platelets. Chem. Mater. 2008, 20, 2374–2381. [Google Scholar] [CrossRef]
- Xu, Y.; Wang, Z.; Tan, L.; Zhao, Y.; Duan, H.; Song, Y.-F. Fine Tuning the Heterostructured Interfaces by Topological Transformation of Layered Double Hydroxide Nanosheets. Ind. Eng. Chem. Res. 2018, 57, 10411–10420. [Google Scholar] [CrossRef]
- Yoshida, T.; Tanaka, T.; Yoshida, H.; Funabiki, T.; Yoshida, S. Study on the dispersion of nickel ions in the NiO–MgO system by X-ray absorption fine structure. J. Phys. Chem. C 1996, 100, 2302–2309. [Google Scholar] [CrossRef]
- Arena, F.; Frusteri, F.; Parmaliana, A.; Plyasova, L.; Shmakov, A.N. Effect of calcination on the structure of Ni/MgO catalyst: An X-ray diffraction study. J. Chem. Soc. Faraday Trans. 1996, 92, 469–471. [Google Scholar] [CrossRef]
- Wang, Y.; Liu, H.; Xu, B. Effect of Formation of NiO-MgO Solid Solution on Activity and Stability of Ni/MgO-AN for CO2 Reforming of Methane. Chin. J. Catal. 2005, 26, 1117. [Google Scholar]
- Qing, M.; Yang, Y.; Wu, B.; Xu, J.; Zhang, C.; Gao, P.; Li, Y. Modification of Fe–SiO2 interaction with zirconia for iron-based Fischer–Tropsch catalysts. J. Catal. 2011, 279, 111–122. [Google Scholar] [CrossRef]
- Jia, C.-J.; Sun, L.-D.; Luo, F.; Han, X.-D.; Heyderman, L.J.; Yan, Z.-G.; Yan, C.-H.; Zheng, K.; Zhang, Z.; Takano, M.; et al. Large-Scale Synthesis of Single-Crystalline Iron Oxide Magnetic Nanorings. J. Am. Chem. Soc. 2008, 130, 16968–16977. [Google Scholar] [CrossRef]
- Han, Z.; Qian, W.; Ma, H.; Wu, X.; Zhang, H.; Sun, Q.; Ying, W. Study of the Fischer–Tropsch synthesis on nano-precipitated iron-based catalysts with different particle sizes. RSC Adv. 2020, 10, 42903–42911. [Google Scholar] [CrossRef]
- Wu, X.; Qian, W.; Ma, H.; Zhang, H.; Liu, D.; Sun, Q.; Ying, W. Li-decorated Fe-Mn nanocatalyst for high-temperature Fischer–Tropsch synthesis of light olefins. Fuel 2019, 257, 116101. [Google Scholar] [CrossRef]
- Xiong, H.; Motchelaho, M.A.; Moyo, M.; Jewell, L.L.; Coville, N.J. Effect of Group I alkali metal promoters on Fe/CNT catalysts in Fischer–Tropsch synthesis. Fuel 2015, 150, 687–696. [Google Scholar] [CrossRef]
- Chen, Q.; Qian, W.; Zhang, H.; Ma, H.; Sun, Q.; Ying, W. Effect of Li promoter on FeMn/CNTs for light olefins from syngas. Catal. Commun. 2019, 124, 92–96. [Google Scholar] [CrossRef]
- Qing, M.; Yang, Y.; Wu, B.; Wang, H.; Wang, H.; Xu, J.; Zhang, C.; Xiang, H.; Li, Y. Effect of the zirconia addition manner on the modification of Fe–SiO2 interaction. Catal. Today 2012, 183, 79–87. [Google Scholar] [CrossRef]
- Zhang, Y.; Wang, T.; Ma, L.; Shi, N.; Zhou, D.; Li, X. Promotional effects of Mn on SiO2-encapsulated iron-based spindles for catalytic production of liquid hydrocarbons. J. Catal. 2017, 350, 41–47. [Google Scholar] [CrossRef]
- Van Der Laan, G.P.; Beenackers, A.A.C.M. Kinetics and selectivity of the Fischer–Tropsch synthesis: A literature review. Catal. Rev. 1999, 41, 255–318. [Google Scholar] [CrossRef]
- Xu, Y.; Li, X.; Gao, J.; Wang, J.; Ma, G.; Wen, X.; Yang, Y.; Li, Y.; Ding, M. A hydrophobic FeMn@Si catalyst increases olefins from syngas by suppressing C1 by-products. Science 2021, 371, 610–613. [Google Scholar] [CrossRef]
- Zhu, Y.; Pan, X.; Jiao, F.; Li, J.; Yang, J.; Ding, M.; Han, Y.; Liu, Z.; Bao, X. Role of Manganese Oxide in Syngas Conversion to Light Olefins. ACS Catal. 2017, 7, 2800–2804. [Google Scholar] [CrossRef]
Disclaimer/Publisher’s Note: The statements, opinions and data contained in all publications are solely those of the individual author(s) and contributor(s) and not of MDPI and/or the editor(s). MDPI and/or the editor(s) disclaim responsibility for any injury to people or property resulting from any ideas, methods, instructions or products referred to in the content. |
© 2023 by the authors. Licensee MDPI, Basel, Switzerland. This article is an open access article distributed under the terms and conditions of the Creative Commons Attribution (CC BY) license (https://creativecommons.org/licenses/by/4.0/).







